Intelligent Classification and Segmentation of Sandstone Thin Section Image Using a Semi-Supervised Framework and GL-SLIC
Abstract
1. Introduction
Object and Novelty
2. Methodology
2.1. Data Preparation
2.2. Methodology Sequence
2.3. GL-SLIC Algorithm
2.3.1. GLBP Feature Extraction
2.3.2. Enhanced SLIC Superpixel Segmentation Algorithm: GL-SLIC
2.3.3. Superpixel Merging Strategy
2.4. Semi-Supervised Self-Training Framework
2.4.1. Method Process
- Initial Training with Labeled Samples
- 2.
- Classification of Unlabeled Samples
- 3.
- Pseudo-Label Generation
- 4.
- Selection of High-Confidence Samples
- 5.
- Fine-Tuning with Augmented Data
- 6.
- Iterative Refinement
2.4.2. Classifier Architecture
2.4.3. Discriminator Architecture
2.5. Evaluation Metrics
3. Experiments and Results
3.1. GL-SLIC Segmentation Results
3.1.1. Comparison of Superpixel Segmentation Algorithms
3.1.2. Validation of Region Merging Algorithm
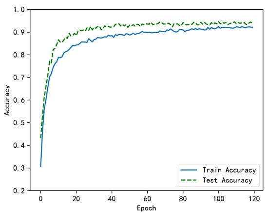
3.2. Experiments of Semi-Supervised Learning Framework
3.3. Component Identification Result
3.4. Discussion and Limitations
3.4.1. Strengths
3.4.2. Limitations
4. Conclusions
Author Contributions
Funding
Data Availability Statement
Conflicts of Interest
References
- Yousef, I.; Morozov, V.P.; Kadi, M. Influence and control of post-sedimentation changes on sandstone reservoirs quality, example, upper Triassic (Mulussa F reservoir), and lower Cretaceous (Rutbah reservoir), Euphrates graben, Syria. Russ. J. Earth Sci. 2020, 20, 1–24. [Google Scholar] [CrossRef]
- de Lima, R.P.; Duarte, D.; Nicholson, C.D.; Slatt, R.; Marfurt, K.J. Petrographic microfacies classification with deep convolutional neural networks. Comput. Geosci. 2020, 142, 104481. [Google Scholar] [CrossRef]
- Liu, H.; Ren, Y.L.; Li, X.; Hu, Y.X.; Wu, J.P.; Li, B.; Luo, L.; Tao, Z.; Liu, X.; Liang, J.; et al. Rock thin-section analysis and identification based on artificial intelligent technique. Pet. Sci. 2022, 19, 1605–1621. [Google Scholar] [CrossRef]
- Saxena, N.; Day-Stirrat, R.J.; Hows, A.; Hofmann, R. Application of deep learning for semantic segmentation of sandstone thin sections. Comput. Geosci. 2021, 146, 104895. [Google Scholar] [CrossRef]
- Ren, Y.; Li, X.; Bi, J.; Zhang, Y.; Su, Q.; Wang, W. Multi-channel attention transformer for rock thin-section image segmentation. J. Eng. Geol. 2024. [Google Scholar] [CrossRef]
- Shebl, H.T.; Al Tamimi, M.A.; Boyd, D.A. Automation of Carbonate Rock Thin Section Description Using Cognitive Image Recognition. In Proceedings of the Abu Dhabi International Petroleum Exhibition & Conference, Abu Dhabi, United Arab Emirates, 15–18 November 2021. [Google Scholar] [CrossRef]
- Yalamanchi, P.; Datta Gupta, S. Estimation of pore structure and permeability in tight carbonate reservoir based on machine learning (ML) algorithm using SEM images of Jaisalmer sub-basin, India. Sci. Rep. 2024, 14, 930. [Google Scholar] [CrossRef] [PubMed]
- Chen, Y.; Yi, Y.; Dai, Y. A multiangle polarised imaging-based method for thin section segmentation. J. Microsc. 2024, 284, 20–34. [Google Scholar] [CrossRef] [PubMed]
- Liu, Y.; Zhang, Q.; Zhang, N.; Lv, J.; Gong, M. Enhancement of thin-section image using super-resolution method with application to the mineral segmentation and classification in tight sandstone reservoir. J. Pet. Sci. Eng. 2022, 212, 110876. [Google Scholar] [CrossRef]
- Vellappally, A.; Hou, S.; Emmings, J. Automated Grain Segmentation and Mineral Classification in Rock Thin Sections. In 85th EAGE Annual Conference & Exhibition; European Association of Geoscientists & Engineers: Utrecht, The Netherlands, 2024. [Google Scholar] [CrossRef]
- Dabek, P.; Chudy, K.; Nowak, I.; Zimroz, R. Superpixel-Based Grain Segmentation in Sandstone Thin-Section. Minerals 2023, 13, 219. [Google Scholar] [CrossRef]
- Dong, L.; Gui, H.; Yu, X.; Zhang, X.; Xu, M. High-Accuracy Image Segmentation Based on Hybrid Attention Mechanism for Sandstone Analysis. Minerals 2024, 14, 544. [Google Scholar] [CrossRef]
- Caja, M.Á.; Castillo, J.N.; Santos, C.A.; Pérez-Jiménez, J.L.; García, C. Digital Rock Physics in Cuttings Using High-Resolution Thin Section Scan Images. Minerals 2023, 13, 1140. [Google Scholar] [CrossRef]
- Visalli, R.; Ortolano, G.; Godard, G.; Ziberna, L. Micro-Fabric Analyzer (MFA): A new semiautomated ArcGIS-based edge detector for quantitative microstructural analysis of rock thin-sections. ISPRS Int. J. Geo-Inf. 2021, 10, 51. [Google Scholar] [CrossRef]



















| Algorithm | UE | BR | Precision |
|---|---|---|---|
| FH | 0.1345 | 0.5847 | 0.2563 |
| QS | 0.1232 | 0.5325 | 0.3648 |
| SEEDS | 0.1078 | 0.7453 | 0.5761 |
| Watershed | 0.0934 | 0.6147 | 0.5256 |
| LSC | 0.0773 | 0.6343 | 0.5272 |
| SLIC | 0.0844 | 0.6565 | 0.5846 |
| GL-SLIC | 0.0648 | 0.6987 | 0.6053 |
| Evauation Metric | before Merging | after Merging |
|---|---|---|
| UE | 0.0648 | 0.0513 |
| BR | 0.6987 | 0.7056 |
| Precision | 0.6053 | 0.7233 |
Disclaimer/Publisher’s Note: The statements, opinions and data contained in all publications are solely those of the individual author(s) and contributor(s) and not of MDPI and/or the editor(s). MDPI and/or the editor(s) disclaim responsibility for any injury to people or property resulting from any ideas, methods, instructions or products referred to in the content. |
© 2024 by the authors. Licensee MDPI, Basel, Switzerland. This article is an open access article distributed under the terms and conditions of the Creative Commons Attribution (CC BY) license (https://creativecommons.org/licenses/by/4.0/).
Share and Cite
Han, Y.; Liu, Y. Intelligent Classification and Segmentation of Sandstone Thin Section Image Using a Semi-Supervised Framework and GL-SLIC. Minerals 2024, 14, 799. https://doi.org/10.3390/min14080799
Han Y, Liu Y. Intelligent Classification and Segmentation of Sandstone Thin Section Image Using a Semi-Supervised Framework and GL-SLIC. Minerals. 2024; 14(8):799. https://doi.org/10.3390/min14080799
Chicago/Turabian StyleHan, Yubo, and Ye Liu. 2024. "Intelligent Classification and Segmentation of Sandstone Thin Section Image Using a Semi-Supervised Framework and GL-SLIC" Minerals 14, no. 8: 799. https://doi.org/10.3390/min14080799
APA StyleHan, Y., & Liu, Y. (2024). Intelligent Classification and Segmentation of Sandstone Thin Section Image Using a Semi-Supervised Framework and GL-SLIC. Minerals, 14(8), 799. https://doi.org/10.3390/min14080799
