High Performance of Ciprofloxacin Removal Using Heterostructure Material Based on the Combination of CeO2 and Palygorskite Fibrous Clay
Abstract
1. Introduction
2. Materials and Methods
2.1. Materials
2.2. Synthesis of Cerium Oxide—CeO2
2.3. Synthesis of Hybrid Material
2.4. Characterization of Heterostructure Material
2.5. Point of Zero Charge
2.6. Adsorption Study
2.6.1. Influence of pH
2.6.2. Influence of Concentration
2.6.3. Influence of Contact Time
2.6.4. Kinetic Study Adsorption
2.6.5. Isothermal Adsorption Models
2.6.6. Regeneration and Recyclability Process
3. Results and Discussion
3.1. PXRD Measurements
3.2. FTIR Analysis
3.3. Nitrogen Desorption and Adsorption Analysis
3.4. SEM
3.5. XPS
3.6. Point of Zero Charge
3.7. Adsorption Study
3.7.1. Influence of pH
3.7.2. Influence of Concentration
3.7.3. Influence of Contact Time
3.7.4. Kinetic Study of Adsorption
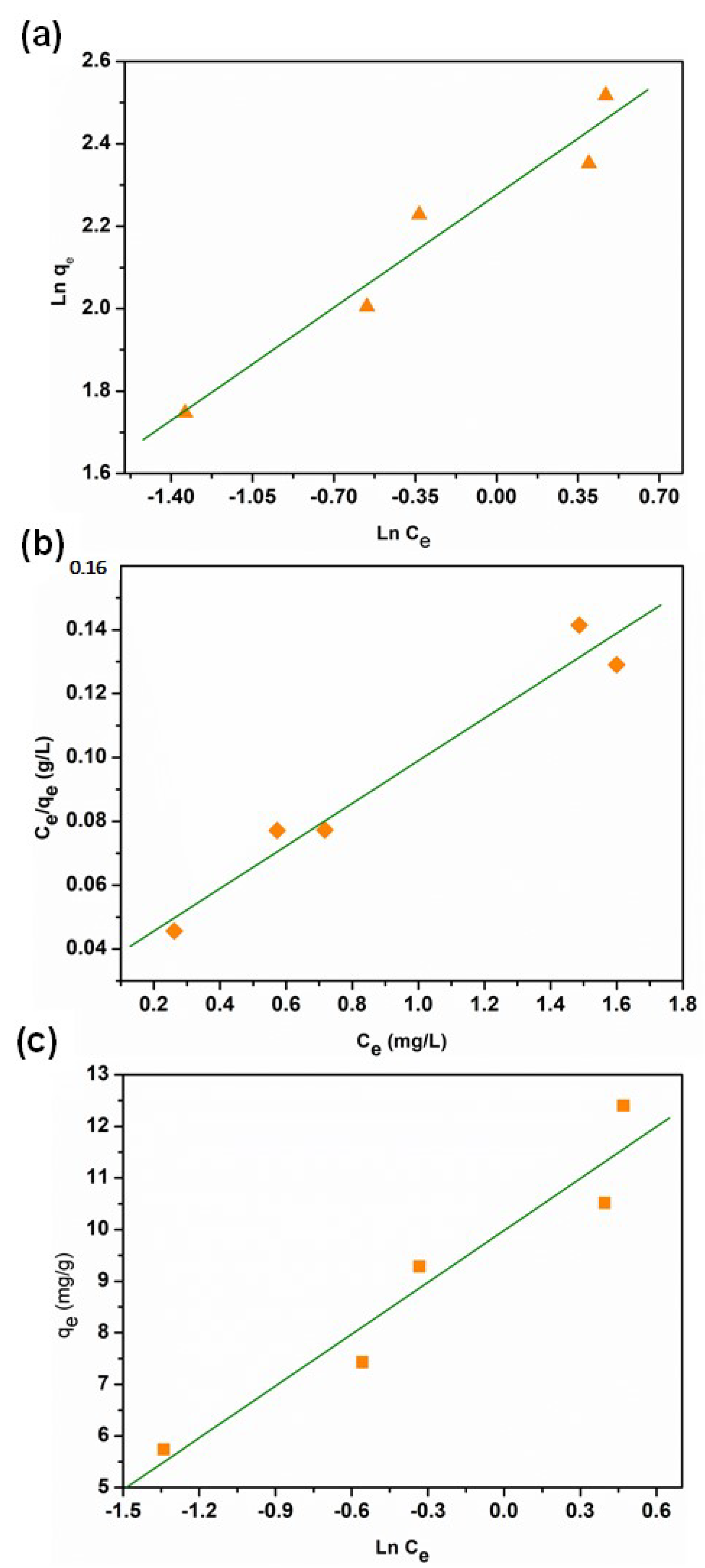
3.7.5. Isothermal Adsorption Models
3.7.6. Regeneration and Recyclability Processes
3.7.7. Characterization after the Adsorption Process
4. Conclusions
Author Contributions
Funding
Data Availability Statement
Acknowledgments
Conflicts of Interest
References
- Heidari, G.; Afruzi, F.H.; Zare, E.N. Molecularly Imprinted Magnetic Nanocomposite Based on Carboxymethyl Dextrin for Removal of Ciprofloxacin Antibiotic from Contaminated Water. Nanomaterials 2023, 13, 489. [Google Scholar] [CrossRef]
- Pham, T.D.; Vu, T.N.; Nguyen, H.L.; Le, P.H.P.; Hoang, T.S. Adsorptive removal of antibiotic ciprofloxacin from aqueous solution using protein-modified nanosilica. Polymers 2020, 12, 57. [Google Scholar] [CrossRef] [PubMed]
- Tian, G.; Wang, W.; Zong, L.; Kang, Y.; Wang, A. A functionalized hybrid silicate adsorbent derived from naturally abundant low-grade palygorskite clay for highly efficient removal of hazardous antibiotics. Chem. Eng. J. 2016, 293, 376–385. [Google Scholar] [CrossRef]
- Berhane, T.M.; Levy, J.; Krekeler, M.P.S.; Danielson, N.D. Adsorption of bisphenol A and ciprofloxacin by palygorskite-montmorillonite: Effect of granule size, solution chemistry and temperature. Appl. Clay Sci. 2016, 132–133, 518–527. [Google Scholar] [CrossRef]
- Fraiha, O.; Hadoudi, N.; Zaki, N.; Salhi, A.; Amhamdi, H.; Akichouh, E.H.; Mourabit, F.; Ahari, M. Comprehensive review on the adsorption of pharmaceutical products from wastewater by clay materials. Desalin. Water Treat. 2024, 317, 100114. [Google Scholar] [CrossRef]
- Singer, A. Chapter 18 Palygorskite and Sepiolite; Soil Science Society of America: Madison, WI, USA, 2002; pp. 555–583. [Google Scholar]
- Wang, S.; Gainey, L.; Wang, X.; Mackinnon, I.D.R.; Xi, Y. Influence of palygorskite on in-situ thermal behaviours of clay mixtures and properties of fired bricks. Appl. Clay Sci. 2022, 216, 106384. [Google Scholar] [CrossRef]
- Ruiz-Hitzky, E.; Darder, M.; Fernandes, F.M.; Wicklein, B.; Alcântara, A.C.S.; Aranda, P. Fibrous clays based bionanocomposites. Prog. Polym. Sci. 2013, 38, 1392–1414. [Google Scholar] [CrossRef]
- Giannelis, E.P. Polymer-Layered Silicate Nanocomposites: Synthesis, Properties and Applications. Appl. Organomet. Chem. 1998, 12, 675–680. [Google Scholar] [CrossRef]
- Costa, J.A.S.; De Jesus, R.A.; Santos, D.O.; Neris, J.B.; Figueiredo, R.T.; Paranhos, C.M. Synthesis, functionalization, and environmental application of silica-based mesoporous materials of the M41S and SBA-n families: A review. J. Environ. Chem. Eng. 2021, 9, 105259. [Google Scholar] [CrossRef]
- Bergaya, F.; Lagaly, G. Surface modification of clay mineral. Appl. Clay Sci. 2001, 19, 7–9. [Google Scholar] [CrossRef]
- Álvarez, A.; Santarén, J.; Esteban-Cubillo, A.; Aparicio, P. Current industrial applications of palygorskite and sepiolite. Dev. Clay Sci. 2011, 3, 281–298. [Google Scholar] [CrossRef]
- Ye, H.; Chen, F.; Sheng, Y.; Sheng, G.; Fu, J. Adsorption of phosphate from aqueous solution onto modified palygorskites. Sep. Purif. Technol. 2006, 50, 283–290. [Google Scholar] [CrossRef]
- Semwal, N.; Mahar, D.; Chatti, M.; Dandapat, A.; Chandra Arya, M. Adsorptive removal of Congo Red dye from its aqueous solution by Ag–Cu–CeO2 nanocomposites: Adsorption kinetics, isotherms, and thermodynamics. Heliyon 2023, 9, e22027. [Google Scholar] [CrossRef] [PubMed]
- Wang, J.; Jiang, C.; Shi, L.; Xue, Z.; Wang, X.; Xu, C.; Zhang, X.; Zhang, J. Hg0 Removal by a Palygorskite and Fly Ash Supported MnO2-CeO2 Catalyst at Low Temperature. Catalysts 2022, 12, 2–12. [Google Scholar] [CrossRef]
- Ouyang, J.; Zhao, Z.; Suib, S.L.; Yang, H. Degradation of Congo Red dye by a Fe2O3@CeO2-ZrO2/Palygorskite composite catalyst: Synergetic effects of Fe2O3. J. Colloid Interface Sci. 2019, 539, 135–145. [Google Scholar] [CrossRef] [PubMed]
- Oliveira, R.N.; Acchar, W.; Soares, G.D.A.; Barreto, L.S. The increase of surface area of a Brazilian palygorskite clay activatedwith sulfuric acid solutions using a factorial design. Mater. Res. 2013, 16, 924–928. [Google Scholar] [CrossRef]
- Meirelles, L.M.A.; Barbosa, R.d.M.; Sanchez-Espejo, R.; García-Villén, F.; Perioli, L.; Viseras, C.; Moura, T.F.A.d.L.e.; Raffin, F.N. Investigation into Brazilian Palygorskite for Its Potential Use as Pharmaceutical Excipient: Perspectives and Applications. Materials 2023, 16, 4962. [Google Scholar] [CrossRef] [PubMed]
- Hu, C.; Huang, Y.; Rao, R. Tuning surface termination of CeO2 nanoparticles for adsorption of anionic dyes via urea content in a simple pyrolysis technique. Appl. Surf. Sci. 2023, 635, 157671. [Google Scholar] [CrossRef]
- Zhou, X.; Maimaitiniyazi, R.; Wang, Y. Some consideration triggered by misquotation of Temkin model and the derivation of its correct form. Arab. J. Chem. 2022, 15, 104267. [Google Scholar] [CrossRef]
- Zhao, P.S.; Song, J.; Zhou, S.S.; Zhu, Y.; Jing, L.; Guo, Z.Y. Facile 1,4-dioxane-assisted solvothermal synthesis, optical and electrochemical properties of CeO2 microspheres. Mater. Res. Bull. 2013, 48, 4476–4480. [Google Scholar] [CrossRef]
- Bourliva, A.; Sikalidis, A.K.; Papadopoulou, L.; Betsiou, M.; Michailidis, K.; Sikalidis, C. Elimination of Cu2+ and Ni2+ ions in aqueous solutions by adsorption onto natural attapulgite and vermiculite. Clay Miner. 2018, 53, 1–15. [Google Scholar] [CrossRef]
- Cannane, N.O.A.; Rajendran, M.; Selvaraju, R. Mineralogical Identification on Polluted Soils Using XRD Method. J. Environ. Nanotechnol. 2014, 3, 23–29. [Google Scholar] [CrossRef]
- Soares, D.d.S.; Fernandes, C.S.; Da Costa, A.C.S.; Raffin, F.N.; Acchar, W.; De Lima E Moura, T.F.A. Characterization of palygorskite clay from Piauí, Brazil and its potential use as excipient for solid dosage forms containing anti-tuberculosis drugs. J. Therm. Anal. Calorim. 2013, 113, 551–558. [Google Scholar] [CrossRef]
- Maria Magdalane, C.; Kaviyarasu, K.; Siddhardha, B.; Ramalingam, G. Synthesis and characterization of CeO2 nanoparticles by hydrothermal method. Mater. Today Proc. 2019, 36, 130–132. [Google Scholar] [CrossRef]
- Suárez, M.; García-Romero, E. FTIR spectroscopic study of palygorskite: Influence of the composition of the octahedral sheet. Appl. Clay Sci. 2006, 31, 154–163. [Google Scholar] [CrossRef]
- Jari, Y.; Roche, N.; Necibi, M.C.; El Hajjaji, S.; Dhiba, D.; Chehbouni, A. Emerging Pollutants in Moroccan Wastewater: Occurrence, Impact, and Removal Technologies. J. Chem. 2022, 2022, 1–24. [Google Scholar] [CrossRef]
- Alcântara, A.C.S.; Darder, M.; Aranda, P.; Ruiz-Hitzky, E. Zein-fibrous clays biohybrid materials. Eur. J. Inorg. Chem. 2012, 2012, 5216–5224. [Google Scholar] [CrossRef]
- Jiang, W.; Han, Y.; Jiang, Y.; Xu, F.; Ouyang, D.; Sun, J.; Alcântara, A.C.S.; Suarez, M.; Ding, Y. Preparation and electrochemical properties of sepiolite supported Co3O4 nanoparticles. Appl. Clay Sci. 2021, 203, 106020. [Google Scholar] [CrossRef]
- Zhang, C.; Wang, X.; Wang, X.; Liu, B. Characterization of La-Mg-modified palygorskite and its adsorption of phosphate. J. Environ. Chem. Eng. 2022, 10, 107658. [Google Scholar] [CrossRef]
- Madkour, M.; Allam, O.G.; Abdel Nazeer, A.; Amin, M.O.; Al-Hetlani, E. CeO2-based nanoheterostructures with p–n and n–n heterojunction arrangements for enhancing the solar-driven photodegradation of rhodamine 6G dye. J. Mater. Sci. Mater. Electron. 2019, 30, 10857–10866. [Google Scholar] [CrossRef]
- Li, X.; Chen, F.; Lu, X.; Ni, C.; Chen, Z. Modified-EISA synthesis of mesoporous high surface area CeO2 and catalytic property for CO oxidation. J. Rare Earths 2009, 27, 943–947. [Google Scholar] [CrossRef]
- Liao, Y.; Chai, S.S.; Zhang, W.B.; Yao, Y.; Yang, J.L.; Yin, Y.; Li, J.J.; Yang, Z.Q.; Ma, X.J.; Peng, Q. Electrochemical capacitance of clay minerals by diamine modification. Appl. Clay Sci. 2024, 250, 107296. [Google Scholar] [CrossRef]
- Chai, S.S.; Zhang, W.B.; Yang, J.L.; Zhang, L.; Han, X.W.; Theint, M.M.; Ma, X.J. CeO2-clay composites for ultra-long cycle life electrochemical capacitive energy storage application. J. Rare Earths 2023, 41, 728–739. [Google Scholar] [CrossRef]
- Lian, J.; Liu, P.; Liu, Q. Nano-scale minerals in-situ supporting CeO2 nanoparticles for off-on colorimetric detection of L-penicillamine and Cu2+ ion. J. Hazard. Mater. 2022, 433, 128766. [Google Scholar] [CrossRef] [PubMed]
- Maamoun, I.; Eljamal, R.; Falyouna, O.; Bensaida, K.; Sugihara, Y.; Eljamal, O. Insights into kinetics, isotherms and thermodynamics of phosphorus sorption onto nanoscale zero-valent iron. J. Mol. Liq. 2021, 328, 115402. [Google Scholar] [CrossRef]
- Zhang, J.; Cai, D.; Zhang, G.; Cai, C.; Zhang, C.; Qiu, G.; Zheng, K.; Wu, Z. Adsorption of methylene blue from aqueous solution onto multiporous palygorskite modified by ion beam bombardment: Effect of contact time, temperature, pH and ionic strength. Appl. Clay Sci. 2013, 83–84, 137–143. [Google Scholar] [CrossRef]
- Uddin, M.K. A review on the adsorption of heavy metals by clay minerals, with special focus on the past decade. Chem. Eng. J. 2017, 308, 438–462. [Google Scholar] [CrossRef]
- Wang, J.; Guo, X. Adsorption isotherm models: Classification, physical meaning, application and solving method. Chemosphere 2020, 258, 127279. [Google Scholar] [CrossRef]
- Serafin, J.; Dziejarski, B. Application of isotherms models and error functions in activated carbon CO2 sorption processes. Microporous Mesoporous Mater. 2023, 354, 112513. [Google Scholar] [CrossRef]














| Samples | SBET (m2/g) | Pore Diameter (nm) | Pore Volume (cm3/g) | 
|---|---|---|---|
| CeO2 | 91.50 | 11.9 | 0.21 | 
| Paly | 306.0 | 1.91 | 0.58 | 
| CeO2/Paly | 443.3 | 1.91 | 0.59 | 
| Parameter/Model | Pseudo-First-Order | Pseudo-Second-Order | 
|---|---|---|
| qe experimental (mg·g−1) | 9.43 | |
| qe calculated (mg·g−1) | 0.17 | 9.41 | 
| Constant k1 (min−1) | 1.66 × 10−3 | - | 
| Constant k2 (g mg−1 min−1) | - | 5.83 × 10−1 | 
| Coefficient of determination R2 | 0.080 | 0.999 | 
| Sum of squares errors (SSE) | 3.24 × 10−3 | 6.38 × 10−3 | 
| Model | Parameter | Values | 
|---|---|---|
| Langmuir | qm (mg·g−1) | 15.0 | 
| KL (L·mg−1) | 2.07 | |
| R2 | 0.958 | |
| SSE | 2.7 × 10−4 | |
| Freundlich | KF [(mg·g−1)(L·mg−1)1/n)] | 9.75 | 
| n | 2.54 | |
| R2 | 0.946 | |
| SSE | 1.9 × 10−2 | |
| Temkim | KT (L g−1) | 19.5 | 
| b (J mol−1) | 74.103 | |
| R2 | 0.923 | |
| SSE | 2.08 | 
| Disclaimer/Publisher’s Note: The statements, opinions and data contained in all publications are solely those of the individual author(s) and contributor(s) and not of MDPI and/or the editor(s). MDPI and/or the editor(s) disclaim responsibility for any injury to people or property resulting from any ideas, methods, instructions or products referred to in the content. | 
© 2024 by the authors. Licensee MDPI, Basel, Switzerland. This article is an open access article distributed under the terms and conditions of the Creative Commons Attribution (CC BY) license (https://creativecommons.org/licenses/by/4.0/).
Share and Cite
Campos, V.N.S.; Santos, J.D.J.P.; Araújo, R.J.P.; Lopes, P.H.S.; Garcia, M.A.S.; Rojas, A.; Teixeira, M.M.; Bezerra, C.W.B.; Alcântara, A.C.S. High Performance of Ciprofloxacin Removal Using Heterostructure Material Based on the Combination of CeO2 and Palygorskite Fibrous Clay. Minerals 2024, 14, 792. https://doi.org/10.3390/min14080792
Campos VNS, Santos JDJP, Araújo RJP, Lopes PHS, Garcia MAS, Rojas A, Teixeira MM, Bezerra CWB, Alcântara ACS. High Performance of Ciprofloxacin Removal Using Heterostructure Material Based on the Combination of CeO2 and Palygorskite Fibrous Clay. Minerals. 2024; 14(8):792. https://doi.org/10.3390/min14080792
Chicago/Turabian StyleCampos, Vanessa N. S., Josefa D. J. P. Santos, Rebecca J. P. Araújo, Pedro H. S. Lopes, Marco A. S. Garcia, Alex Rojas, Mayara M. Teixeira, Cícero W. B. Bezerra, and Ana C. S. Alcântara. 2024. "High Performance of Ciprofloxacin Removal Using Heterostructure Material Based on the Combination of CeO2 and Palygorskite Fibrous Clay" Minerals 14, no. 8: 792. https://doi.org/10.3390/min14080792
APA StyleCampos, V. N. S., Santos, J. D. J. P., Araújo, R. J. P., Lopes, P. H. S., Garcia, M. A. S., Rojas, A., Teixeira, M. M., Bezerra, C. W. B., & Alcântara, A. C. S. (2024). High Performance of Ciprofloxacin Removal Using Heterostructure Material Based on the Combination of CeO2 and Palygorskite Fibrous Clay. Minerals, 14(8), 792. https://doi.org/10.3390/min14080792
 
        





 
       