Performance of Geopolymer Insulation Bricks Synthesized from Industrial Waste
Abstract
1. Introduction
2. Experimental Methodology
2.1. Raw Materials
2.2. Treatment of Aluminum Dross
2.3. Preparation of Alkaline Activator
2.4. Preparation of Geopolymer Bricks
2.5. Characterization of the Geopolymer
2.5.1. Physical Properties
Bulk Density
Water Absorption
Apparent Porosity
2.5.2. Mechanical Properties
2.5.3. Thermal Properties
3. Results and Discussion
3.1. Characterization of Raw Materials
3.1.1. Mineralogical Analysis of Raw Materials
3.1.2. Chemical Analysis of Raw Materials
3.1.3. Sieve Analysis
3.2. Mechanical Properties of Prepared Geopolymer Bricks
3.3. Physical Properties of Prepared Geopolymer Bricks
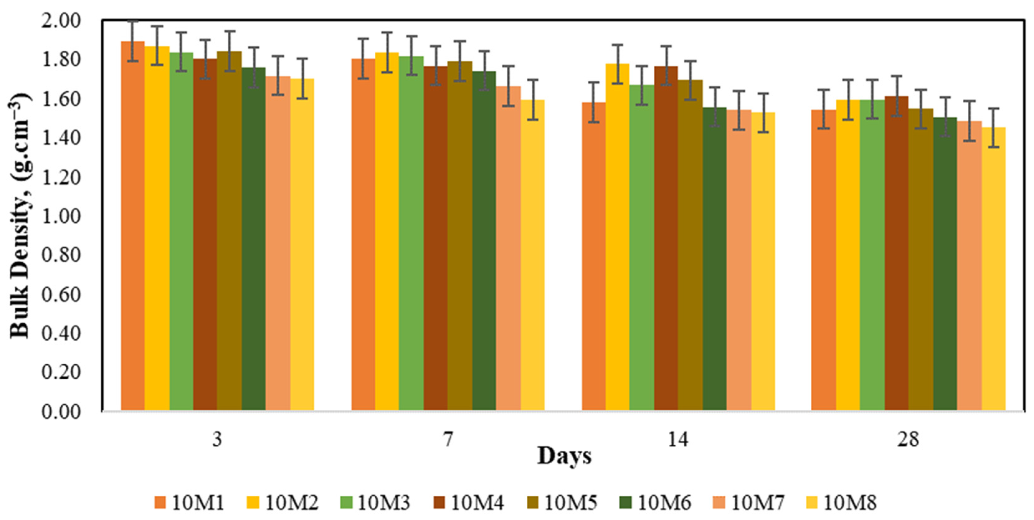
3.3.1. Bulk Density of Prepared Geopolymer Bricks
3.3.2. Water Absorption and Apparent Porosity
3.4. Thermal Conductivity
3.5. Microstructure Analysis and XRD of the Optimum Sample
3.6. Energy Simulation of the Prepared Insulation Brick
- There was split air conditioning in the room (no fresh air).
- The set point, or thermal comfort, was 24 °C.
- The other kinds of equipment and the lightning were disregarded.
- The hours of operation were 6 a.m. to 7 p.m.
- There was a single transparent 6 mm glassy material, and the window-to-wall ratio was 10%.
4. Conclusions
Author Contributions
Funding
Data Availability Statement
Acknowledgments
Conflicts of Interest
References
- Al-Fakih, A.; Mohammed, B.S.; Liew, M.S.; Nikbakht, E. Incorporation of waste materials in the manufacture of masonry bricks: An update review. J. Build. Eng. 2019, 21, 37–54. [Google Scholar] [CrossRef]
- Ahmad, M.; Rashid, K.; Hameed, R.; Haq, E.U.; Farooq, H.; Ju, M. Physico-mechanical performance of fly ash based geopolymer brick: Influence of pressure–temperature–time. J. Build. Eng. 2022, 50, 104161. [Google Scholar] [CrossRef]
- Gencel, O.; Sutcu, M.; Erdogmus, E.; Koc, V.; Cay, V.V.; Gok, M.S. Properties of bricks with waste ferrochromium slag and zeolite. J. Clean. Prod. 2013, 59, 111–119. [Google Scholar] [CrossRef]
- Ahmed, M.M.; Ali, S.A.; Tarek, D.; Maafa, I.M.; Abutaleb, A.; Yousef, A.; Fahmy, M.K. Development of bio-based lightweight and thermally insulated bricks: Efficient energy performance, thermal comfort, and CO2 emission of residential buildings in hot arid climates. J. Build. Eng. 2024, 91, 109667. [Google Scholar] [CrossRef]
- Zhang, L. Production of bricks from waste materials—A review. Constr. Build. Mater. 2013, 47, 643–655. [Google Scholar] [CrossRef]
- Zhang, Z.; Qian, J.; You, C.; Hu, C. Use of circulating fluidized bed combustion fly ash and slag in autoclaved brick. Constr. Build. Mater. 2012, 35, 109–116. [Google Scholar] [CrossRef]
- El-Hamid, H.T.A.; Hafiz, M.A.; Wenlong, W.; Qiaomin, L. Detection of Environmental Degradation in Jazan Region on the Red Sea, KSA, Using Mathematical Treatments of Remote Sensing Data. Remote Sens. Earth Syst. Sci. 2019, 2, 183–196. [Google Scholar] [CrossRef]
- Apithanyasai, S.; Supakata, N.; Papong, S. The potential of industrial waste: Using foundry sand with fly ash and electric arc furnace slag for geopolymer brick production. Heliyon 2020, 6, e03697. [Google Scholar] [CrossRef]
- Tarek, D.; Ahmed, M.; Hussein, H.S.; Zeyad, A.M.; Al-Enizi, A.M.; Yousef, A.; Ragab, A. Building envelope optimization using geopolymer bricks to improve the energy efficiency of residential buildings in hot arid regions. Case Stud. Constr. Mater. 2022, 17, e01657. [Google Scholar] [CrossRef]
- Youssef, N.; Rabenantoandro, A.Z.; Dakhli, Z.; Chapiseau, C.; Waendendries, F.; Chehade, F.H.; Lafhaj, Z. Reuse of waste bricks: A new generation of geopolymer bricks. SN Appl. Sci. 2019, 1, 1252. [Google Scholar] [CrossRef]
- Davidovits, J. Geopolymers—Inorganic polymeric new materials. J. Therm. Anal. 1991, 37, 1633–1656. [Google Scholar] [CrossRef]
- Faheem, M.T.M.; Al Bakri, A.M.M.; Kamarudin, H.; Binhussain, M.; Ruzaidi, C.M.; Izzat, A.M. Application of clay—Based geopolymer in brick production: A review. Adv. Mater. Res. 2012, 626, 878–882. [Google Scholar] [CrossRef]
- Muduli, S.D.; Nayak, B.D.; Mishra, B.K. Geopolymer fly ash building brick by atmospheric curing. Int. J. Chem. Sci. 2014, 1, 3. [Google Scholar]
- Banupriya, C.; John, S.; Suresh, R.; Divya, E.; Vinitha, D. Experimental investigations on geopolymer bricks/paver blocks. Indian J. Sci. Technol. 2016, 9, 1–5. [Google Scholar] [CrossRef]
- Usha, S.; Nair, D.G.; Vishnudas, S. Feasibility Study of Geopolymer Binder from Terracotta Roof Tile Waste. Procedia Technol. 2016, 25, 186–193. [Google Scholar] [CrossRef]
- Ramesh, G. Geopolymer Concrete: A Review. Indian J. Struct. Eng. 2021, 1, 5–8. [Google Scholar] [CrossRef]
- Singh, B.; Ishwarya, G.; Gupta, M.; Bhattacharyya, S.K. Geopolymer concrete: A review of some recent developments. Constr. Build. Mater. 2015, 85, 78–90. [Google Scholar] [CrossRef]
- Nuruddin, M.F.; Malkawi, A.B.; Fauzi, A.; Mohammed, B.S.; Almattarneh, H.M. Geopolymer concrete for structural use: Recent findings and limitations. IOP Conf. Ser. Mater. Sci. Eng. 2016, 133, 012021. [Google Scholar] [CrossRef]
- Hoy, M.; Horpibulsuk, S.; Arulrajah, A. Strength development of Recycled Asphalt Pavement—Fly ash geopolymer as a road construction material. Constr. Build. Mater. 2016, 117, 209–219. [Google Scholar] [CrossRef]
- Gargav, A.; Chauhan, J.S. Role of Geopolymer Concrete for the Construction of Rigid Pavement. Int. J. Eng. Dev. Res. 2016, 4, 473–476. [Google Scholar]
- Glasby, T.; Day, J.; Genrich, R.; Aldred, J. EFC geopolymer concrete aircraft pavements at Brisbane West Wellcamp Airport. Concrete 2015, 2015, 1051–1059. [Google Scholar]
- Zeyad, A.M.; Magbool, H.M.; Tayeh, B.A.; de Azevedo, A.R.G.; Abutaleb, A.; Hussain, Q. Production of geopolymer concrete by utilizing volcanic pumice dust. Case Stud. Constr. Mater. 2022, 16, e00802. [Google Scholar] [CrossRef]
- Magbool, H.M. Utilisation of ceramic waste aggregate and its effect on Eco-friendly concrete: A review. J. Build. Eng. 2022, 47, 103815. [Google Scholar] [CrossRef]
- Panagiotopoulou, C.; Kakali, G.; Tsivilis, S.; Perraki, T.; Perraki, M. Synthesis and characterisation of slag based geopolymers. Mater. Sci. Forum 2010, 636–637, 155–160. [Google Scholar] [CrossRef]
- Abdel-Ghani, N.T.; Elsayed, H.A.; AbdelMoied, S. Geopolymer synthesis by the alkali-activation of blast furnace steel slag and its fire-resistance. HBRC J. 2018, 14, 159–164. [Google Scholar] [CrossRef]
- Zhang, Z.; Zhang, B.; Yan, P. Comparative study of effect of raw and densified silica fume in the paste, mortar and concrete. Constr. Build. Mater. 2016, 105, 82–93. [Google Scholar] [CrossRef]
- Daniel, A.J.; Sivakamasundari, S.; Nishanth, A. Study on Partial Replacement of Silica Fume Based Geopolymer Concrete Beam Behavior under Torsion. Procedia Eng. 2017, 173, 732–739. [Google Scholar] [CrossRef]
- Kumar, A.; Kumar, S. Development of paving blocks from synergistic use of red mud and fly ash using geopolymerization. Constr. Build. Mater. 2013, 38, 865–871. [Google Scholar] [CrossRef]
- Singh, S.; Aswath, M.U.; Ranganath, R.V. Effect of curing methods on the property of red mud based geopolymer mortar. Int. J. Civ. Eng. Technol. 2017, 8, 1481–1489. [Google Scholar]
- Moungam, L.M.B.À.; Mohamed, H.; Kamseu, E.; Billong, N.; Melo, U.C. Properties of Geopolymers Made from Fired Clay Bricks Wastes and Rice Husk Ash (RHA)-Sodium Hydroxide (NaOH) Activator. Mater. Sci. Appl. 2017, 8, 537–552. [Google Scholar] [CrossRef]
- Amin, S.K.; El-Sherbiny, S.A.; El-Magd, A.A.M.A.; Belal, A.; Abadir, M.F. Fabrication of geopolymer bricks using ceramic dust waste. Constr. Build. Mater. 2017, 157, 610–620. [Google Scholar] [CrossRef]
- Zhuang, X.Y.; Chen, L.; Komarneni, S.; Zhou, C.H.; Tong, D.S.; Yang, H.M.; Yu, W.H.; Wang, H. Fly ash-based geopolymer: Clean production, properties and applications. J. Clean. Prod. 2016, 125, 253–267. [Google Scholar] [CrossRef]
- Degirmenci, F.N. Effect of sodium silicate to sodium hydroxide ratios on durability of geopolymer mortars containing natural and artificial pozzolans. Ceram.-Silik. 2017, 61, 340–350. [Google Scholar] [CrossRef]
- Abdel-Gawwad, H.A.; Abo-El-Enein, S.A. A novel method to produce dry geopolymer cement powder. HBRC J. 2016, 12, 13–24. [Google Scholar] [CrossRef]
- Selem, N.; Amin, S.K.; El, S.A.; Abadir, M.F. Effect of fineness of Homra (Clay brick dust) on the properties of geopolymer bricks produced from slaked lime. Int. J. Appl. Eng. Res. 2015, 10, 6077–6087. [Google Scholar]
- Kaur, K.; Singh, J.; Kaur, M. Compressive strength of rice husk ash based geopolymer: The effect of alkaline activator. Constr. Build. Mater. 2018, 169, 188–192. [Google Scholar] [CrossRef]
- Wen, N.; Zhao, Y.; Yu, Z.; Liu, M. A sludge and modified rice husk ash-based geopolymer: Synthesis and characterization analysis. J. Clean. Prod. 2019, 226, 805–814. [Google Scholar] [CrossRef]
- Saloni; Parveen; Pham, T.M. Enhanced properties of high-silica rice husk ash-based geopolymer paste by incorporating basalt fibers. Constr. Build. Mater. 2020, 245, 118422. [Google Scholar] [CrossRef]
- Almalkawi, A.T.; Balchandra, A.; Soroushian, P. Potential of Using Industrial Wastes for Production of Geopolymer Binder as Green Construction Materials. Constr. Build. Mater. 2019, 220, 516–524. [Google Scholar] [CrossRef]
- Zabihi, S.M.; Tavakoli, H.; Mohseni, E. Engineering and Microstructural Properties of Fiber-Reinforced Rice Husk–Ash Based Geopolymer Concrete. J. Mater. Civ. Eng. 2018, 30, 04018183. [Google Scholar] [CrossRef]
- Jindal, B.B.; Jangra, P.; Garg, A. Effects of ultra fine slag as mineral admixture on the compressive strength, water absorption and permeability of rice husk ash based geopolymer concrete. Mater. Today Proc. 2020, 32, 871–877. [Google Scholar] [CrossRef]
- Mohseni, E.; Kazemi, M.J.; Koushkbaghi, M.; Zehtab, B.; Behforouz, B. Evaluation of mechanical and durability properties of fiber-reinforced lightweight geopolymer composites based on rice husk ash and nano-alumina. Constr. Build. Mater. 2019, 209, 532–540. [Google Scholar] [CrossRef]
- Occhicone, A.; Vukčević, M.; Bosković, I.; Ferone, C. Red mud-blast furnace slag-based alkali-activated materials. Sustainability 2021, 13, 11298. [Google Scholar] [CrossRef]
- ASTM C326-09; Standard Test Method for Drying and Firing Shrinkages of Ceramic Whiteware Clays. ASTM International: West Conshohocken, PA, USA, 2018; Volume 9, No. Reapproved 2014.
- Sawan, S.E.A.; Zawrah, M.F.; Khattab, R.M.; Abdel-Shafi, A.A. In-situ formation of geopolymer foams through addition of silica fume: Preparation and sinterability. Mater. Chem. Phys. 2020, 239, 121998. [Google Scholar] [CrossRef]
- Provis, J.L.; Duxson, P.; van Deventer, J.S.J. The role of particle technology in developing sustainable construction materials. Adv. Powder Technol. 2010, 21, 2–7. [Google Scholar] [CrossRef]
- Barbosa, L.A.; Goto-Silva, L.; Redondo, P.A.; Oliveira, S.; Montesano, G.; De Souza, W.; Morgado-Díaz, J.A. TPA-induced signal transduction: A link between PKC and EGFR signaling modulates the assembly of intercellular junctions in Caco-2 cells. Cell Tissue Res. 2003, 312, 319–331. [Google Scholar] [CrossRef]
- Provis, J.L.; van Deventer, J.S.J. Alkali Activated Materials: State-of-the-Art Report, RILEM TC 224-AAM; Springer: Berlin/Heidelberg, Germany, 2014; Volume 13. [Google Scholar]
- Fahmy, M.K.; Ahmed, M.M.; Ali, S.A.; Tarek, D.; Maafa, I.M.; Yousef, A.; Ragab, A. Enhancing the Thermal and Energy Performance of Clay Bricks with Recycled Cultivated Pleurotus florida Waste. Buildings 2024, 14, 736. [Google Scholar] [CrossRef]
- Narayanan, N.; Ramamurthy, K. Structure and properties of aerated concrete: A review. Cem. Concr. Compos. 2000, 22, 321–329. [Google Scholar] [CrossRef]
- Ibrahim, W.M.W.; Hussin, K.; Abdullah, M.M.A.B.; Kadir, A.A. Geopolymer lightweight bricks manufactured from fly ash and foaming agent. In AIP Conference Proceedings; AIP Publishing: Melville, NY, USA, 2017. [Google Scholar] [CrossRef]
- Risdanareni, P.; Hilmi, A.; Susanto, P.B. The effect of foaming agent doses on lightweight geopolymer concrete metakaolin based. In AIP Conference Proceedings; AIP Publishing: Melville, NY, USA, 2017. [Google Scholar] [CrossRef]
- Roviello, G.; Menna, C.; Tarallo, O.; Ricciotti, L.; Messina, F.; Ferone, C.; Asprone, D.; Cioffi, R. Lightweight geopolymer-based hybrid materials. Compos. Part B Eng. 2017, 128, 225–237. [Google Scholar] [CrossRef]
- Bai, C.; Ni, T.; Wang, Q.; Li, H.; Colombo, P. Porosity, mechanical and insulating properties of geopolymer foams using vegetable oil as the stabilizing agent. J. Eur. Ceram. Soc. 2018, 38, 799–805. [Google Scholar] [CrossRef]
- Bai, C.; Li, H.; Bernardo, E.; Colombo, P. Waste-to-resource preparation of glass-containing foams from geopolymers. Ceram. Int. 2019, 45, 7196–7202. [Google Scholar] [CrossRef]
- Petlitckaia, S.; Poulesquen, A. Design of lightweight metakaolin based geopolymer foamed with hydrogen peroxide. Ceram. Int. 2019, 45, 1322–1330. [Google Scholar] [CrossRef]
- Lynch, J.L.V.; Baykara, H.; Cornejo, M.; Soriano, G.; Ulloa, N.A. Preparation, characterization, and determination of mechanical and thermal stability of natural zeolite-based foamed geopolymers. Constr. Build. Mater. 2018, 172, 448–456. [Google Scholar] [CrossRef]
- Ahmed, M.M.; El-Naggar, K.; Tarek, D.; Ragab, A.; Sameh, H.; Zeyad, A.M.; Tayeh, B.A.; Maafa, I.M.; Yousef, A. Fabrication of thermal insulation geopolymer bricks using ferrosilicon slag and alumina waste. Case Stud. Constr. Mater. 2021, 15, e00737. [Google Scholar] [CrossRef]
- El-Naggar, K.A.M.; Amin, S.K.; El-Sherbiny, S.A.; Abadir, M.F. Preparation of geopolymer insulating bricks from waste raw materials. Constr. Build. Mater. 2019, 222, 699–705. [Google Scholar] [CrossRef]
- Tsakiridis, P.E.; Oustadakis, P.; Agatzini-Leonardou, S. Aluminium recovery during black dross hydrothermal treatment. J. Environ. Chem. Eng. 2013, 1, 23–32. [Google Scholar] [CrossRef]
- Calder, G.V.; Stark, T.D. Aluminum reactions and problems in municipal solid waste landfills. Pract. Period. Hazard. Toxic Radioact. Waste Manag. 2010, 14, 258–265. [Google Scholar] [CrossRef]
- Tsakiridis, P.E. Aluminium salt slag characterization and utilization—A review. J. Hazard. Mater. 2012, 217–218, 1–10. [Google Scholar] [CrossRef]
- Migunthanna, J.; Rajeev, P.; Sanjayan, J. Waste Clay Brick as a Part Binder for Pavement Grade Geopolymer Concrete. Int. J. Pavement Res. Technol. 2023. [Google Scholar] [CrossRef]
- Tazune, F.K.; Tchakouté, H.K.; Rüscher, C.H.; Tchekwagep, J.J.K.; Hou, P. Effects of Fe2O3/SiO2 Molar Ratios in the Fe-Silica on the Compressive Strengths and Microstructural Properties of Geopolymer Materials Derived from Waste Fired Clay Brick and Metakaolin. J. Inorg. Organomet. Polym. Mater. 2024, 34, 1725–1737. [Google Scholar] [CrossRef]
- D422 Standard Test Method for Particle-Size Analysis of Soils. Available online: https://www.astm.org/d0422-63r07.html (accessed on 2 July 2024).
- Das, B.R.; Dash, B.; Tripathy, B.C.; Bhattacharya, I.N.; Das, S.C. Production of η-alumina from waste aluminium dross. Miner. Eng. 2007, 20, 252–258. [Google Scholar] [CrossRef]
- Sassi, M.; Simon, A. Waste-to-reuse foam glasses produced from soda-lime-silicate glass, cathode ray tube glass, and aluminium dross. Inorganics 2022, 10, 1. [Google Scholar] [CrossRef]
- ISO 5017:2013; Dense Shaped Refractory Products—Determination of Bulk Density, Apparent Porosity and True Porosity. ISO: Geneva, Switzerland, 2013. Available online: https://www.iso.org/standard/56179.html (accessed on 5 May 2024).
- ISO 9652-4:2000(en); Masonry—Part 4: Test Methods. ISO: Geneva, Switzerland, 2000. Available online: https://www.iso.org/obp/ui/#iso:std:iso:9652:-4:ed-1:v1:en (accessed on 5 May 2024).
- C20 Standard Test Methods for Apparent Porosity, Water Absorption, Apparent Specific Gravity, and Bulk Density of Burned Refractory Brick and Shapes by Boiling Water. Available online: https://www.astm.org/c0020-00r22.html (accessed on 5 May 2024).
- Sar, S.; Samuelsson, C.; Engström, F.; Ökvist, L.S. Experimental study on the dissolution behavior of calcium fluoride. Metals 2020, 10, 988. [Google Scholar] [CrossRef]
- Lorber, K.E.; Antrekowitsch, H. Treatment and Disposal of Residues from Aluminium Dross. In Proceedings of the 2nd International Conference on Hazardous and Industrial Waste Management, Chania, Greece, 5–8 October 2010. [Google Scholar]
- Xiao, Y.; Reuter, M.A.; Boin, U. Aluminium recycling and environmental issues of salt slag treatment. J. Environ. Sci. Health Part A Toxic/Hazard. Subst. Environ. Eng. 2005, 40, 1861–1875. [Google Scholar] [CrossRef] [PubMed]
- Shinzato, M.C.; Hypolito, R. Solid waste from aluminum recycling process: Characterization and reuse of its economically valuable constituents. Waste Manag. 2005, 25, 37–46. [Google Scholar] [CrossRef]
- Bruckard, W.J.; Woodcock, J.T. Recovery of valuable materials from aluminium salt cakes. Int. J. Miner. Process. 2009, 93, 1–5. [Google Scholar] [CrossRef]
- C618 Standard Specification for Coal Fly Ash and Raw or Calcined Natural Pozzolan for Use in Concrete. Available online: https://www.astm.org/c0618-22.html (accessed on 28 June 2024).
- Sheikh, T.A.; Reza, M.M. Production of Eco-Friendly Bricks from Copper Mine Tailings through Geopolymerization in India. Int. J. Trend Sci. Res. Dev. 2017, 1, 435–451. [Google Scholar] [CrossRef]
- Kumar, R.; Sharma, R.K.; Agarwal, S. Genetic predisposition for development of nephropathy in type 2 diabetes mellitus. Biochem. Genet. 2013, 51, 865–875. [Google Scholar] [CrossRef]
- Abdullah, M.M.A.; Ibrahim, W.M.W.; Tahir, M.F.M. The properties and durability of fly ash-based geopolymeric masonry bricks. In Eco-Efficient Masonry Bricks and Blocks: Design, Properties and Durability; Woodhead Publishing: Cambridge, UK, 2015; pp. 273–287. [Google Scholar] [CrossRef]
- Zawrah, M.F.; Gado, R.A.; Feltin, N.; Ducourtieux, S.; Devoille, L. Recycling and utilization assessment of waste fired clay bricks (Grog) with granulated blast-furnace slag for geopolymer production. Process Saf. Environ. Prot. 2016, 103, 237–251. [Google Scholar] [CrossRef]
- Apithanyasai, S.; Nooaek, P.; Supakata, N. The utilization of concrete residue with electric arc furnace slag in the production of geopolymer bricks. Eng. J. 2018, 22, 1–14. [Google Scholar] [CrossRef]
- Madani, H.; Ramezanianpour, A.A.; Shahbazinia, M.; Ahmadi, E. Geopolymer bricks made from less active waste materials. Constr. Build. Mater. 2020, 247, 118441. [Google Scholar] [CrossRef]
- De Vargas, A.S.; Molin, D.C.C.D.; Vilela, A.C.F.; Da Silva, F.J.; Pavão, B.; Veit, H. The effects of Na2O/SiO2 molar ratio, curing temperature and age on compressive strength, morphology and microstructure of alkali-activated fly ash-based geopolymers. Cem. Concr. Compos. 2011, 33, 653–660. [Google Scholar] [CrossRef]
- C311 Standard Test Methods for Sampling and Testing Fly Ash or Natural Pozzolans for Use as a Mineral Admixture in Portland-Cement Concrete. Available online: https://www.astm.org/c0311-00.html (accessed on 29 June 2024).
- De Witte, B.M.; Uytterhoeven, J.B. Acid and alkaline sol-gel synthesis of amorphous aluminosilicates, dry gel properties, and their use in probing sol phase reactions. J. Colloid Interface Sci. 1996, 181, 200–207. [Google Scholar] [CrossRef]
- Kouamo, H.T.; Elimbi, A.; Mbey, J.A.; Sabouang, C.J.N.; Njopwouo, D. The effect of adding alumina-oxide to metakaolin and volcanic ash on geopolymer products: A comparative study. Constr. Build. Mater. 2012, 35, 960–969. [Google Scholar] [CrossRef]
- C62 Standard Specification for Building Brick (Solid Masonry Units Made From Clay or Shale). Available online: https://www.astm.org/c0062-17.html (accessed on 30 June 2024).
- Gencel, O.; Kizinievic, O.; Erdogmus, E.; Kizinievic, V.; Sutcu, M.; Muñoz, P. Manufacturing of fired bricks derived from wastes: Utilization of water treatment sludge and concrete demolition waste. Arch. Civ. Mech. Eng. 2022, 22, 78. [Google Scholar] [CrossRef]
- Rashad, A.M.; Gharieb, M.; Shoukry, H.; Mokhtar, M.M. Valorization of sugar beet waste as a foaming agent for metakaolin geopolymer activated with phosphoric acid. Constr. Build. Mater. 2022, 344, 128240. [Google Scholar] [CrossRef]
- Si-Huy, N.; Thanh-Tam, L.T.; Trong-Phuoc, H. Effects of NaOH Concentrations on Properties of the Thermal Power Plant Ashes-Bricks by Alkaline Activation. J. Wuhan Univ. Technol. Mater. Sci. Ed. 2020, 35, 131–139. [Google Scholar] [CrossRef]
- Hamid, E.M.A. Investigation of using granite sludge waste and silica fume in clay bricks at different firing temperatures. HBRC J. 2021, 17, 123–136. [Google Scholar] [CrossRef]
- Hamid, E.M.A.; Abadir, M.F.; El-Razik, M.M.A.; El Naggar, K.A.M.; Shoukry, H. Performance assessment of fired bricks incorporating pomegranate peels waste. Innov. Infrastruct. Solut. 2023, 8, 18. [Google Scholar] [CrossRef]
- Jaya, N.A.; Yun-Ming, L.; Cheng-Yong, H.; Al Bakri Abdullah, M.M. Correlation of Thermal Conductivity Versus Bulk Density, Porosity and Compressive Strength of Metakaolin Geopolymer. IOP Conf. Ser. Mater. Sci. Eng. 2020, 864, 012009. [Google Scholar] [CrossRef]
- Hassan, H.S.; Abdel-Gawwad, H.A.; García, S.R.V.; Israde-Alcántara, I. Fabrication and characterization of thermally-insulating coconut ash-based geopolymer foam. Waste Manag. 2018, 80, 235–240. [Google Scholar] [CrossRef] [PubMed]
- Novais, R.M.; Buruberri, L.H.; Ascensão, G.; Seabra, M.P.; Labrincha, J.A. Porous biomass fly ash-based geopolymers with tailored thermal conductivity. J. Clean. Prod. 2016, 119, 99–107. [Google Scholar] [CrossRef]
- Rickard, W.D.A.; Van Riessen, A. Performance of solid and cellular structured fly ash geopolymers exposed to a simulated fire. Cem. Concr. Compos. 2014, 48, 75–82. [Google Scholar] [CrossRef]
- Kong, D.; Jiang, R. Preparation of naa zeolite from high iron and quartz contents coal gangue by acid leaching—Alkali melting activation and hydrothermal synthesis. Crystals 2021, 11, 1198. [Google Scholar] [CrossRef]
- Ashraf, N.; Nasir, M.; Al-Kutti, W.; Al-Maziad, F.A. Assessment of thermal and energy performance of masonry blocks prepared with date palm ash. Mater. Renew. Sustain. Energy 2020, 9, 17. [Google Scholar] [CrossRef]
- Loeb, A.L. Thermal Conductivity: VIII, A Theory of Thermal Conductivity of Porous Materials. J. Am. Ceram. Soc. 1954, 37, 96–99. [Google Scholar] [CrossRef]




















| Mix | Homra (%) | Alumina Dross (%) | Molarity of NaOH | Alkaline Activator (%) |
|---|---|---|---|---|
| 8M1 | 75 | 0 | 8 | 25 |
| 8M2 | 74.5 | 0.5 | 8 | 25 |
| 8M3 | 74 | 1 | 8 | 25 |
| 8M4 | 73.5 | 1.5 | 8 | 25 |
| 8M5 | 73 | 2 | 8 | 25 |
| 8M6 | 72.5 | 2.5 | 8 | 25 |
| 8M7 | 72 | 3 | 8 | 25 |
| 8M8 | 70 | 5 | 8 | 25 |
| 10M1 | 75 | 0 | 10 | 25 |
| 10M2 | 74.5 | 0.5 | 10 | 25 |
| 10M3 | 74 | 1 | 10 | 25 |
| 10M4 | 73.5 | 1.5 | 10 | 25 |
| 10M5 | 73 | 2 | 10 | 25 |
| 10M6 | 72.5 | 2.5 | 10 | 25 |
| 10M7 | 72 | 3 | 10 | 25 |
| 10M8 | 70 | 5 | 10 | 25 |
| 12M1 | 75 | 0 | 12 | 25 |
| 12M2 | 74.5 | 0.5 | 12 | 25 |
| 12M3 | 74 | 1 | 12 | 25 |
| 12M4 | 73.5 | 1.5 | 12 | 25 |
| 12M5 | 73 | 2 | 12 | 25 |
| 12M6 | 72.5 | 2.5 | 12 | 25 |
| 12M7 | 72 | 3 | 12 | 25 |
| 12M8 | 70 | 5 | 12 | 25 |
| Component | Aluminum Dross, wt. (%) | Treated Aluminum Dross, wt. (%) | Homra, wt. (%) |
|---|---|---|---|
| SiO2 | 3.52 | 8.47 | 59.57 |
| Al2O3 | 57.20 | 68.54 | 16.78 |
| Fe2O3 | 0.72 | 1.89 | 10.41 |
| MgO | 5.25 | 2.08 | 1.23 |
| CaO | 4.43 | 6.43 | 4.37 |
| Na2O | 2.84 | 0.42 | 1.12 |
| K2O | 0.52 | 0.36 | 1.45 |
| SO3 | 20.30 | 1.66 | 1.70 |
| TiO2 | 0.46 | 0.54 | 1.25 |
| P2O5 | 0.50 | 0.20 | 0.17 |
| Cr2O3 | 0.01 | 0.06 | 0.04 |
| SrO | 0.02 | 0.04 | 0.06 |
| ZrO2 | 0.01 | 0.02 | 0.06 |
| BaO | 0.11 | 0.19 | 0.04 |
| MnO | 0.15 | 0.15 | 0.05 |
| Cl− | 3.94 | 0.17 | 0.25 |
| F− | 0.001 | 0.94 | - |
| Nd2O3 | 0.001 | 0.06 | - |
| V2O5 | 0.00 | 0.13 | - |
| NiO | 0.01 | 0.03 | - |
| ZnO | 0.02 | 0.20 | - |
| CuO | 0.06 | 0.18 | - |
| LOI | - | 7.21 | 1.44 |
| Total | 100.06 | 99.99 | 99.99 |
| Aluminum Dross Waste | Molarity of NaOH | Curing Time | Compressive Strength | |
|---|---|---|---|---|
| Aluminum Dross Waste | 1 | 0 | ||
| Molarity of NaOH | 0 | 1 | ||
| Curing Time | 0 | 0 | 1 | |
| Compressive Strength | −0.596024922 | −0.241183062 | 0.599677 | 1 |
| Raw Material | Pore Formation | Compressive Strength, (MPa) | Thermal Conductivity, (W/m·K) | Bulk Density, (g/cm3) | Reference |
|---|---|---|---|---|---|
| Homra | Aluminum dross | 2.42–14.74 | 0.25–0.583 | 1.29–1.73 | Current study |
| Metakaolin | 33 | 0.4 | - | [93] | |
| Coconut ash | Aluminum slag | - | 0.045 | 0.6 | [94] |
| Dealuminated kaolin | Aluminum trimmings | 1.4 | 0.26 | 1 | [59] |
| Ferrosilicon slag | Aluminum waste | 3.8–10.9 | 0.28–0.59 | 0.71–1.5 | [58] |
| Metakaolin | H2O2 | 1.2–7 | 0.1–0.4 | 0.6–1.2 | [95] |
| Fly ash | Al | 5.5–10.9 | 0.25–0.39 | 0.8–0.93 | [96] |
| Brick/Block Type | Thickness (m) | Density, (kg/m3) | Thermal Conductivity, (W/m·K) | Thermal Resistance (R-Value), (m2K/W) | U-Value, (W/m2·K) |
|---|---|---|---|---|---|
| Hollow Cement Brick | 0.2 | 1700 | 1 | 0.415 | 2.407 |
| Prepared Insulation Brick | 0.2 | 1307 | 0.32 | 0.882 | 1.134 |
Disclaimer/Publisher’s Note: The statements, opinions and data contained in all publications are solely those of the individual author(s) and contributor(s) and not of MDPI and/or the editor(s). MDPI and/or the editor(s) disclaim responsibility for any injury to people or property resulting from any ideas, methods, instructions or products referred to in the content. |
© 2024 by the authors. Licensee MDPI, Basel, Switzerland. This article is an open access article distributed under the terms and conditions of the Creative Commons Attribution (CC BY) license (https://creativecommons.org/licenses/by/4.0/).
Share and Cite
El Naggar, K.A.M.; Abd El-Razik, M.M.; Kuku, M.; Arishi, M.; Maafa, I.M.; Yousef, A.; Abdel Hamid, E.M. Performance of Geopolymer Insulation Bricks Synthesized from Industrial Waste. Minerals 2024, 14, 977. https://doi.org/10.3390/min14100977
El Naggar KAM, Abd El-Razik MM, Kuku M, Arishi M, Maafa IM, Yousef A, Abdel Hamid EM. Performance of Geopolymer Insulation Bricks Synthesized from Industrial Waste. Minerals. 2024; 14(10):977. https://doi.org/10.3390/min14100977
Chicago/Turabian StyleEl Naggar, Kamilia A. M., Mahmoud M. Abd El-Razik, Mohammed Kuku, Mohammad Arishi, Ibrahim M. Maafa, Ayman Yousef, and Eman M. Abdel Hamid. 2024. "Performance of Geopolymer Insulation Bricks Synthesized from Industrial Waste" Minerals 14, no. 10: 977. https://doi.org/10.3390/min14100977
APA StyleEl Naggar, K. A. M., Abd El-Razik, M. M., Kuku, M., Arishi, M., Maafa, I. M., Yousef, A., & Abdel Hamid, E. M. (2024). Performance of Geopolymer Insulation Bricks Synthesized from Industrial Waste. Minerals, 14(10), 977. https://doi.org/10.3390/min14100977

