Atomized Reagent Addition with Synchronized Jet Pre-Mineralization to Enhance the Flotation Process: Study on Atomization Parameters and Mechanisms of Enhancement
Abstract
1. Introduction
2. Materials and Methods
2.1. Samples and Reagents
2.2. Sample Mineralogy Analysis
2.3. Reagent Atomization Particle Size Testing
2.4. Collector Solubility and Particle-Bubble Induction Time Testing
2.5. Flotation Tests and Flotation Kinetic Models
2.6. Pre-Mineralization Device Numerical Simulation
3. Results
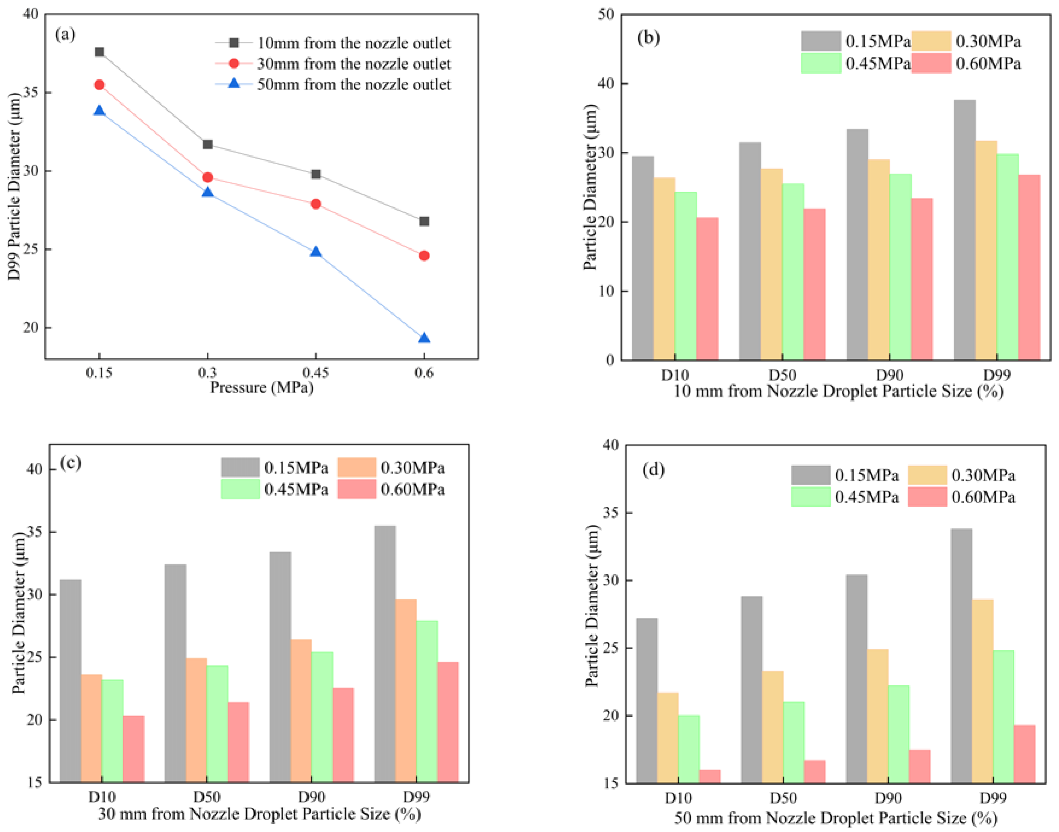
3.1. Analysis of Atomized Droplet Size of Fatty Acid Collectors
3.2. Analysis of Solubility of Fatty Acid Collectors in Water: Nebulization vs. Conventional Stirring
3.3. Analysis of Particle-Bubble Induction Time with Different Reagent Addition Methods
3.4. Flotation Test Results and Discussion
3.4.1. Analysis of Sample Characteristics
3.4.2. Flotation Performance with Different Reagent Addition Methods
3.4.3. Flotation Kinetics Fitting
3.4.4. Semi-Industrial Flotation Testing and CFD Simulation of the Pre-Mineralization System
4. Conclusions
- As the collector mass percentage increases, the particle size of the atomized collector progressively decreases. Specifically, at a collector mass percentage of 20%, the D99 particle size for jet atomization is 27.7 μm, while for ultrasonic atomization it is 12.4 μm.
- The atomization method enhances the solubility of fatty acid collectors in the solution. Under identical collector dosage conditions, the solubility of sodium oleate with conventional stirring is 82.5 mg/L, whereas the solubility achieved through atomization is 142.9 mg/L.
- The induction time between quartz particles and bubbles is significantly shorter with atomization compared to conventional stirring. Furthermore, the induction time decreases with increasing collector concentration.
- Flotation test results indicate that the jet pre-mineralization technology with atomized collector dosing can effectively reduce collector dosage, accelerate flotation rate, enhance mineralization, and improve separation indicators.
Author Contributions
Funding
Data Availability Statement
Acknowledgments
Conflicts of Interest
References
- Cebeci, Y.; Sönmez, I. A study on the relationship between critical surface tension of wetting and oil agglomeration recovery of calcite. J. Colloid Interface Sci. 2004, 273, 300–305. [Google Scholar] [CrossRef] [PubMed]
- Xu, T.; Sun, C.B.; Yan, Z.Q.; Mi, L.P.; Luo, S.K.; Wang, B.; Zhao, L.C. Aerosol flotation technology and its application status. China Min. Mag. 2011, 20, 75–78. [Google Scholar]
- May, K.R. The collison nebulizer: Description, performance, and application. J. Aerosol Sci. 1973, 4, 235–243. [Google Scholar] [CrossRef]
- Dobby, G.S.; Finch, J.A. Particle Collection in column-gas rate and bubble size effects. Can. Metall. Q. 1986, 25, 9–13. [Google Scholar] [CrossRef]
- Ulusoy, U.; Hiçyılmaz, C.; Yekeler, M. Role of shape properties of calcite and barite particles on apparent hydrophobicity. Chem. Eng. Process. Process Intensif. 2004, 43, 1047–1053. [Google Scholar] [CrossRef]
- Misra, M.; Anazia, I. Ultrafine coal flotation by gas phase transport of atomized reagents. Min. Metall. Explor. 1987, 4, 233–236. [Google Scholar] [CrossRef]
- Pan’shin, A.M.; Evdokimov, S.I.; Artemov, S.V. Investigations in the field of flotation with a steam-air mixture. Russ. J. Non-Ferrous. Met. 2012, 53, 1–7. [Google Scholar] [CrossRef]
- Wang, W.W. Comparison of four common kinds of flotation reagent atomization. Shandong Coal Sci. Technol. 2016, 12, 174–176. [Google Scholar] [CrossRef]
- Yin, Y. Feasibility exploration and practice of reducing flotation reagent consumption. Coal Process. Compr. Util. 2021, 03, 37–39. [Google Scholar] [CrossRef]
- Zhao, X.H. Transformation of nebulizer in pulp preprocessor in Tunlan coal preparation plant. Clean Coal Technol. 2012, 18, 106–108. [Google Scholar] [CrossRef]
- Xie, J.P. Practice of solving reagent backflow in “atomization” flotation with air pressure. Jiangxi Coal Sci. Technol. 2018, 96–97. [Google Scholar]
- Xu, T.; Sun, C.B.; Liu, X.G.; Zhen, C.H. The effect of floatation condition on the kerosene aerosol dosingflotation of low grade molybdenum ore. China Min. Mag. 2012, 21, 91–95. [Google Scholar]
- Xu, T.; Sun, C.B.; Mi, L.P.; Yan, Z.Q.; Luo, S.K. Improving molybdenum recovery in copper-molybdenum roughing by aerosol flotation technology. Int. J. Miner. Metall. Mater. 2012, 34, 982–986. [Google Scholar] [CrossRef]
- Huang, Y.H.; Gao, M.W.; Shang, B.Z.; Yao, J.; Peng, W.J.; Song, X.Y.; Mei, D. Gas–Liquid Mixability Study in a Jet-Stirred Tank for Mineral Flotation. Appl. Sci. 2024, 14, 8600. [Google Scholar] [CrossRef]
- Ren, L.Y.; Xiao, D.D.; Qin, W.Q. Review on fine mineral flotation: Increasing apparent particle size and decreasing bubble diameter. Conserv. Util. Miner. Resour. 2024, 44, 1–15. [Google Scholar] [CrossRef]
- Chen, P.; Li, Y.F.; Han, J.K.; Ma, M.Q. Intensification of coal slime separation in fluidized bed flotation column: Change of turbulence. Int. J. Coal Prep. Util. 2022, 43, 726–737. [Google Scholar] [CrossRef]
- Wang, H.N.; Yang, W.Q.; Yan, X.K.; Wang, L.J.; Wang, Y.T.; Zhang, H.J. Regulation of bubble size in flotation: A review. J. Environ. Chem. Eng. 2020, 8, 104070. [Google Scholar] [CrossRef]
- Han, J.K.; Chen, P.; Liu, T.S.; Li, Y.F. Research and application of fluidized flotation units: A review. J. Ind. Eng. Chem. 2023, 126, 50–68. [Google Scholar] [CrossRef]
- Sven-Nilsson, I. Effect of contact time between mineral and air bubbles on flotation. Kolloid-Z. 1934, 69, 230–232. [Google Scholar] [CrossRef]
- Nguyen, A.V.; Schulze, H.J.; Ralston, J. Elementary steps in particle—Bubble attachment. Int. J. Miner. Process. 1997, 51, 183–195. [Google Scholar] [CrossRef]
- Yin, W.Z.; Tian, D.L.; Xie, Y.; Xue, M.; Yao, J. Research progress of induction time in flotation process. Conserv. Util. Miner. Resour. 2023, 43, 1–9. [Google Scholar] [CrossRef]
- Gu, G.X.; Xu, Z.H.; Nandakumar, K.; Masliyah, J. Effects of physical environment on induction time of air–bitumen attachment. Int. J. Miner. Process. 2003, 69, 235–250. [Google Scholar] [CrossRef]
- Albijanic, B.; Ozdemir, O.; Nguyen, A.V.; Bradshaw, D. A review of induction and attachment times of wetting thin films between air bubbles and particles and its relevance in the separation of particles by flotation. Adv. Colloid Interface Sci. 2010, 159, 1–21. [Google Scholar] [CrossRef]
- Tan, S.Y.; Ata, S.; Wanless, E.J. Direct Observation of Individual Particle Armored Bubble Interaction, Stability, and Coalescence Dynamics. J. Phys. Chem. B. 2013, 117, 8579–8588. [Google Scholar] [CrossRef]
- Verrelli, D.I.; Bruckard, W.J.; Koh, P.T.L.; Schwarz, M.P.; Follink, B. Particle shape effects in flotation. Part 1: Microscale experimental observations. Miner. Eng. 2014, 58, 80–89. [Google Scholar] [CrossRef]
- Yoon, R.H.; Yordan, J.L. Induction time measurement for the quartz amine flotation system. J. Colloid Interface Sci. 1991, 141, 374–383. [Google Scholar] [CrossRef]
- Wang, R.; Tao, X.X.; Chen, S.J.; Gui, D.J.; Ding, S.H. Strengthening effect of ultrasound treatment on adhesion and flotation process of lignite. China Sciencepaper. 2021, 16, 992–998. [Google Scholar] [CrossRef]
- Niu, F.; Chen, Y.; Zhang, J.; Chang, Z. High-speed dynamic camera analysis of the hematite floc–bubble mineralization process. Minerals 2023, 13, 964. [Google Scholar] [CrossRef]
- Yin, M.; Han, N.; Yang, T.; Li, Y. Study of a novel fluidized bed flotation column with enhanced bubble dispersion. Minerals 2024, 14, 84. [Google Scholar] [CrossRef]
- Salem-Said, A.-H.; Fayed, H.; Ragab, S. Numerical simulations of two-phase flow in a Dorr-Oliver flotation cell model. Minerals 2013, 3, 284–303. [Google Scholar] [CrossRef]

















| Name | Application | Specifications | Manufacturer |
|---|---|---|---|
| Sodium hydroxide | pH Regulator | AR | Aladdin |
| Starch from corn | Depressant | LR | Macklin |
| Calcium oxide | Activator | LR | Macklin |
| Fatty acid | Collector | AR | Beneficiation Plant |
| Key Part | Parameter | Meshing | Parameter |
|---|---|---|---|
| Nozzle inner diameter (mm) | 10 | Cell type | Mixed cells |
| Air inlet inner diameter (mm) | 15 | Cells | 1,348,979 |
| Mineralization tube inner diameter (mm) | 100 | Maximum cell size (mm) | 4 |
| Mineralization tube length (mm) | 800 | Minimum cell size (mm) | 2 |
| Outlet hole inner diameter (mm) | 10 | Nodes | 3,420,094 |
| Outlet hole number | 340 | Total Volume (m3) | 5.980152 × 10−3 |
| Name | Iron | Quartz | Fayalite | Hornblende | Carbonates | Actinolite |
|---|---|---|---|---|---|---|
| Content (%) | 66.80 | 23.50 | 2.15 | 2.06 | 1.14 | 1.84 |
| Name | Mica | Chlorite | Albite | Siderite | Other | Total |
| Content (%) | 0.72 | 0.64 | 0.40 | 0.11 | 0.65 | 100.00 |
| Equipment | Condition | First-Order Kinetic Model 1 | First-Order Kinetic Model 2 | ||||
|---|---|---|---|---|---|---|---|
| r2 | r2 (Optimized) | k (s−1) | r2 | r2 (Optimized) | k (s−1) | ||
| Single tank flotation machine | Direct mixing | 0.96 | 0.95 | 1.86 × 10−2 | 0.96 | 0.95 | 2.88 × 10−4 |
| Venturi Atomization | 0.96 | 0.95 | 2.20 × 10−2 | 0.95 | 0.95 | 3.18 × 10−4 | |
| Jet pre-mineralized flotationsystem | Direct mixing 1200 (g/t) | 0.97 | 0.96 | 1.27 × 10−2 | 0.97 | 0.96 | 4.97 × 10−7 |
| Atomization 1200 (g/t) | 0.99 | 0.99 | 4.04 × 10−2 | 0.99 | 0.99 | 7.99 × 10−5 | |
| Equipment | Slurry Pressure (MPa) | Dosing Way | Dosage (g/t) | Mineral | Yield (%) | TFe Grade (%) | Recovery (%) |
|---|---|---|---|---|---|---|---|
| Cyclonic jet flotation system | 0.15 | Collector conventional dosing | 200 | Concentrate | 67.02 | 63.37 | 84.94 |
| Tailing | 32.98 | 22.83 | 15.06 | ||||
| feed | 100.00 | 50.00 | 100.00 | ||||
| 0.40 | Collector conventional dosing | 200 | Concentrate | 52.78 | 67.01 | 70.73 | |
| Tailing | 47.22 | 30.99 | 29.27 | ||||
| feed | 100.00 | 50.00 | 100.00 | ||||
| 0.15 | Collector atomization dosing | 185 | Concentrate | 66.47 | 62.85 | 83.55 | |
| Tailing | 33.53 | 24.53 | 16.45 | ||||
| feed | 100.00 | 50.00 | 100.00 | ||||
| Industrial on-site rough flotation production indicators | / | Collector conventional dosing Collector | 200 | Concentrate | 64.79 | 62.50 | 80.99 |
| Tailing | 35.21 | 27.00 | 19.01 | ||||
| feed | 100.00 | 50.00 | 100.00 |
Disclaimer/Publisher’s Note: The statements, opinions and data contained in all publications are solely those of the individual author(s) and contributor(s) and not of MDPI and/or the editor(s). MDPI and/or the editor(s) disclaim responsibility for any injury to people or property resulting from any ideas, methods, instructions or products referred to in the content. |
© 2024 by the authors. Licensee MDPI, Basel, Switzerland. This article is an open access article distributed under the terms and conditions of the Creative Commons Attribution (CC BY) license (https://creativecommons.org/licenses/by/4.0/).
Share and Cite
Jiang, Y.; Sun, C.; Wang, P.; Kou, J. Atomized Reagent Addition with Synchronized Jet Pre-Mineralization to Enhance the Flotation Process: Study on Atomization Parameters and Mechanisms of Enhancement. Minerals 2024, 14, 1053. https://doi.org/10.3390/min14101053
Jiang Y, Sun C, Wang P, Kou J. Atomized Reagent Addition with Synchronized Jet Pre-Mineralization to Enhance the Flotation Process: Study on Atomization Parameters and Mechanisms of Enhancement. Minerals. 2024; 14(10):1053. https://doi.org/10.3390/min14101053
Chicago/Turabian StyleJiang, Yongliang, Chunbao Sun, Peilong Wang, and Jue Kou. 2024. "Atomized Reagent Addition with Synchronized Jet Pre-Mineralization to Enhance the Flotation Process: Study on Atomization Parameters and Mechanisms of Enhancement" Minerals 14, no. 10: 1053. https://doi.org/10.3390/min14101053
APA StyleJiang, Y., Sun, C., Wang, P., & Kou, J. (2024). Atomized Reagent Addition with Synchronized Jet Pre-Mineralization to Enhance the Flotation Process: Study on Atomization Parameters and Mechanisms of Enhancement. Minerals, 14(10), 1053. https://doi.org/10.3390/min14101053
