Mechanisms of Reservoir Space Preservation in Ultra-Deep Shales: Insights from the Ordovician–Silurian Wufeng–Longmaxi Formation, Eastern Sichuan Basin
Abstract
1. Introduction
2. Geological Setting
3. Samples and Methods
3.1. Total Organic Carbon Analysis
3.2. Vitrinite Reflectance
3.3. X-Ray Diffraction (XRD)
3.4. Scanning Electron Microscopy and Large-Area Scanning Electron Microscopy Imaging
3.5. Nitrogen Adsorption
4. Results
4.1. Organic Matter Abundance and Maturity
4.2. Mineral Composition and Lithofacies Characteristics
4.3. Reservoir Space Characteristics
4.3.1. Qualitative Description of Pore Type
4.3.2. Quantitative Characterization of Pore Types
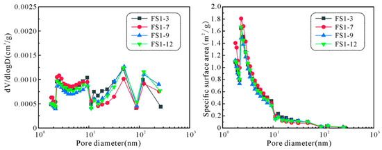
4.3.3. Pore Structure Characterization
4.4. Reservoir Property Characteristics
5. Discussion
5.1. Analysis of Influencing Factors of Shale Reservoir Space
5.2. Quartz Compressive Pore-Preserving Effect
5.3. The Pore-Preserving Effect of Fluid Overpressure
6. Conclusions
Author Contributions
Funding
Data Availability Statement
Acknowledgments
Conflicts of Interest
References
- Sohail, G.M.; Eadwan, A.E.; Mahmoud, M. A review of Pakistani shales for shale gas exploration and comparison to North American shale plays. Energy Rep. 2022, 8, 6423–6442. [Google Scholar] [CrossRef]
- Zhang, K.; Tang, X.; Liu, X.; Zhao, Z.; Li, M. Geochemical Properties and Gas-Bearing Analysis of Lower Cambrian Black Shale in Western Hunan Province. Energies 2024, 17, 1743. [Google Scholar] [CrossRef]
- Wang, Q.; Chen, X.; Jha, A.N.; Rogers, H. Natural gas from shale formation—The evolution, evidences and challenges of shale gas revolution in United States. Renew. Sust. Energ. Rev. 2014, 30, 1–28. [Google Scholar] [CrossRef]
- Dong, Y.X.; Gao, J.L.; Liu, Y.Y.; Tao, L.Z.; Wu, J.F.; Zhu, P.; Huang, H.Y.; Zheng, H.F.; Huang, T.M. Salinization of groundwater in shale gas extraction area in the Sichuan Basin, China: Implications for water protection in shale regions with well-developed faults. Sci. Total Environ. 2024, 915, 170065. [Google Scholar] [CrossRef]
- Ma, T.; Liu, K.; Su, X.; Chen, P.; Ranjith, P.G.; Martyushev, D.A. Investigation on the anisotropy of meso-mechanical properties of shale rock using micro-indentation. Bull. Eng. Geol. Environ. 2024, 83, 29. [Google Scholar] [CrossRef]
- Li, Z.; Lei, Z.; Shen, W.; Martyushev, D.A.; Hu, X. A Comprehensive Review of the Oil Flow Mechanism and Numerical Simulations in Shale Oil Reservoirs. Energies 2023, 16, 3516. [Google Scholar] [CrossRef]
- Macquaker, J.H.S.; Taylor, K.G.; Keller, M.; Polya, D. Compositional controls on early diagenetic pathways in fine-grained sedimentary rocks: Implications for predicting unconventional reservoir attributes of mudstones. AAPG Bull. 2014, 98, 587–603. [Google Scholar] [CrossRef]
- Chen, S.B.; Zhu, Y.M.; Chen, S.; Han, Y.F.; Fu, C.Q.; Fang, J.H. Hydrocarbon generation and shale gas accumulation in the Longmaxi Formation, Southern Sichuan Basin, China. Mar. Petrol. Geol. 2017, 86, 248–258. [Google Scholar]
- Jin, Z.J.; Zhu, R.K.; Liang, X.P.; Shen, Y.Q. Several issues worthy of attention in current lacustrine shale oil exploration and development. Petrol. Explor. Dev. 2021, 48, 1471–1484. [Google Scholar] [CrossRef]
- Zhou, X.F.; Guo, W.; Li, X.Z.; Zhang, X.W.; Liang, P.P.; Yu, J.M. Occurrence characteristics, genesis and petroleum geological significance of micro-nano silica-organic matter aggregate in radiolarian siliceous shell cavity: A case study of Wufeng-Longmaxi Formation in Sichuan Basin, SW China. J. Northeast Pet. Univ. 2021, 45, 68–79. [Google Scholar]
- Chen, Y.N.; Liu, J.; Nan, W.; Zhu, Y.Q.; Lin, W.; Cai, Q.S.; Chen, Y.C.; Li, M.T. Microfacies analysis of marine shale: A case study of the shales of the Wufeng–Longmaxi formation in the western Chongqing, Sichuan Basin, China. Open Geosci. 2024, 16, 309–320. [Google Scholar] [CrossRef]
- Wang, Y.; Zhang, H.Y.; Zhu, Y.M.; Chen, S.B.; Cao, Q.S.; Huang, M.L.; Yang, J.H.; Zhang, Y.S. Sedimentary environment and major controlling factors of organic matter-rich shale from the Wufeng-Longmaxi formation in eastern Sichuan Basin, China. Front. Earth Sci. 2024, 18, 649–670. [Google Scholar] [CrossRef]
- Hu, Z.Q.; Liu, Z.Q.; Du, W.; Bai, Z.R.; Wang, R.Y.; Sun, C.X.; Feng, D.J. Key geological factors governing sweet spots in the Wufeng-Longmaxi shales of the Sichuan Basin, China. Energy Geosci. 2024, 5, 100268. [Google Scholar] [CrossRef]
- Jin, Z.J.; Nie, H.K.; Liu, Q.Y.; Zhang, J.H.; Jiang, T. Source and seal coupling mechanism for shale gas enrichment in upper Ordovician Wufeng Formation-Lower Silurian Longmaxi Formation in Sichuan Basin and its periphery. Mar. Petrol. Geol. 2018, 97, 78–93. [Google Scholar] [CrossRef]
- Wang, Y.M.; Wang, H.Y.; Qiu, Z.; Shen, J.J.; Zhang, Q.; Zhang, L.F.; Wang, C.H.; Li, X.J. Basic characteristics of key interfaces in Upper Ordovician Wufeng Formation–Lower Silurian Longmaxi Formation in Sichuan Basin and its periphery, SW China. Petrol. Explor. Dev. 2022, 49, 37–51. [Google Scholar] [CrossRef]
- Ma, X.H.; Xie, J. The progress and prospects of shale gas exploration and exploitation in southern Sichuan Basin, NW China. Petrol. Explor. Dev. 2018, 45, 161–169. [Google Scholar] [CrossRef]
- Guo, X.S.; Hu, D.F.; Li, Y.P.; Duan, J.B.; Zhang, X.F.; Fan, X.J.; Duan, H.; Li, W.C. Theoretical Progress and Key Technologies of Onshore Ultra-Deep Oil/Gas Exploration. Engineering 2019, 5, 458–470. [Google Scholar] [CrossRef]
- Guo, X.S.; Hu, D.F.; Huang, R.C.; Wei, Z.H.; Duan, J.B.; Wei, X.F.; Fan, X.J.; Miao, Z.W. Deep and ultra-deep natural gas exploration in the Sichuan Basin: Progress and prospect. Nat. Gas Ind. 2020, 40, 419–432. [Google Scholar] [CrossRef]
- Wang, H.M.; Fan, C.H.; Fang, Y.; Zhao, S.X.; Shi, X.C.; Liu, J.F.; Yang, H.F.; Hu, J.; Lian, C.B. Structural Analysis and Evolution Model of the Longmaxi Formation in the Yanjin-Junlian Area of the Southern Sichuan Basin, China. Front. Earth Sci. 2022, 10, 884971. [Google Scholar] [CrossRef]
- Ma, X.; Xu, J.Q.; Liu, W.H.; Wang, Y.H.; Wu, H.R.; Tan, J.Q. Developing Characteristics of Shale Lamination and Their Impact on Reservoir Properties in the Deep Wufeng–Longmaxi Formation Shale of the Southern Sichuan Basin. Minerals 2024, 14, 171. [Google Scholar] [CrossRef]
- Tang, L.; Wang, P.F.; Zhao, Z.G.; Song, Y.; Chen, X.Z.; Jiang, Z.X.; Jiang, S.; Li, Q.W.; Li, X. Overpressure origin and evolution during burial in the shale gas plays of the Wufeng-Longmaxi formations of southern Sichuan basin. Geoenergy Sci. Eng. 2024, 236, 212729. [Google Scholar] [CrossRef]
- Liu, S.G.; Deng, B.; Li, Z.W.; Sun, W. The texture of sedimentary basin-orogenic belt system and its influence on oil/gas distribution: A case study from Sichuan basin. Acta Petrol. Sin. 2011, 27, 621–635. [Google Scholar]
- Pu, B.L.; Dong, D.Z.; Zhao, J.H.; Er, C.; Huang, J.L. Differences between Marine and Terrestrial Shale Gas Accumulation: Taking Longmaxi Shale Sichuan Basin and Yanchang Shale Ordos Basin as Example. Acta Geol. Sin. 2015, 89, 200–206. [Google Scholar] [CrossRef]
- Nie, H.K.; Jin, Z.J. Source Rock and Cap Rock Controls on the Upper Ordovician Wufeng Formation–Lower Silurian Longmaxi Formation Shale Gas Accumulation in the Sichuan Basin and its Peripheral Areas. Acta Geol. Sin. 2016, 90, 1059–1060. [Google Scholar]
- GB/T 19145-2022; Determination for Total Organic Carbon in Sedimentary Rock. Standardization Administration of China: Beijing, China, 2022.
- Cui, J.; Zhu, R.; Wang, C.; Gao, Y.; Li, S.; Kang, L. Source/reservoir characteristics and shale gas “sweet spot” interval in Shahezi mudstone of Well SKII in Songliao Basin, NE China. Arab. J. Geosci. 2020, 13, 514. [Google Scholar] [CrossRef]
- Xu, Z.; Sun, W.; Wang, X.; Yang, J.; Shen, B.; Xu, X.; Zhang, X.; Qin, J. Automatic Pretreatment Methods for Determination of Total Organic Carbon in Sedimentary Rocks. Rock Miner. Anal. 2023, 42, 1230–1239. [Google Scholar]
- Jacob, H. Disperse solid bitumens as an indicator for migration and maturity in prospecting for oil and gas. Erdol Kohle Erdgas Petrochem. 1985, 38, 365.e65. [Google Scholar]
- GB/T 18602-2012; Rock Pyrolysis Analysis. Standardization Administration of China: Beijing, China, 2012.
- Rietveld, H.M. A profile refinement method for nuclear and magnetic structures. J. Appl. Crystallogr. 1969, 2, 65–71. [Google Scholar] [CrossRef]
- Tan, J.; Zhou, K.; Zeng, L.; Zou, C.; Yan, Y.; Kong, L.; Yuan, X. Quantitative analysis method for crystalline and amorphous components in volcanic rocks: A case study on Permian volcanic rocks in the western Sichuan Basin. Nat. Gas Ind. 2022, 42, 24–33. [Google Scholar]
- Zhang, B.; Wen, S.; Yang, K.; Ma, K.; Wang, P.; Xu, C.; Cao, G. Diagenetic Evolution Sequence and Pore Evolution Characteristics: Study on Marine-Continental Transitional Facies Shale in Southeastern Sichuan Basin. Minerals 2023, 13, 1451. [Google Scholar] [CrossRef]
- Liang, F.; Zhang, Q.; Lu, B.; Chen, P.; Su, C.; Zhang, Y.; Liu, Y. Pore Structure in Shale Tested by Low Pressure N2 Adsorption Experiments: Mechanism, Geological Control and Application. Energies 2022, 15, 4875. [Google Scholar] [CrossRef]
- GB/T 19587-2017; Determination of the Specific Surface Area of Solids by Gas Adsorption Using the BET Method. Standardization Administration of China: Beijing, China, 2017.
- Katz, B.J.; Arango, I. Organic Porosity: A Geochemist’s View of the Current State of Understanding. Org. Geochem. 2008, 123, 1–16. [Google Scholar] [CrossRef]
- Faiz, M.; Altmann, C.; Baruch, E.; Côté, A.; Gong, S.; Schinteie, R.; Ranasinghe, P. Organic matter composition and thermal maturity evaluation of Mesoproterozoic source rocks in the Beetaloo Sub-Basin, Australia. Org. Geochem. 2022, 174, 104513. [Google Scholar] [CrossRef]
- Loucks, R.G.; Reed, R.M.; Ruppel, S.C.; Hammes, U. Spectrum of pore types and networks in mudrocks and a descriptive classification for matrix related pores. AAPG Bull. 2012, 96, 1071–1098. [Google Scholar] [CrossRef]
- Zou, C.N.; Zhao, Q.; Cong, L.Z.; Wang, H.Y.; Shi, Z.S.; Wu, J.; Pan, S.Q. Development progress, potential and prospect of shale gas in China. Nat. Gas Ind. 2021, 41, 1–14. [Google Scholar]
- Liang, C.; Gui, Y.; Land, C.v.d. Microscope observation of cracks of clay. E3S Web Conf. 2019, 92, 03007. [Google Scholar] [CrossRef]
- Liu, Z.; Qiu, H.; Jiang, Z.; Liu, R.; Wei, X.; Chen, F.; Wei, F.; Wang, D.; Su, Z.; Yang, Z. Types and Quantitative Characterization of Microfractures in the Continental Shale of the Da’anzhai Member of the Ziliujing Formation in Northeast Sichuan, China. Minerals 2021, 11, 870. [Google Scholar] [CrossRef]
- Deng, L.; Xie, L.Z.; He, B.; Zhang, Y.; Liu, J.; Zhao, P. Anisotropic microscale failure mechanism of shale. Acta Geotech. 2024. [Google Scholar] [CrossRef]
- Rouquerol, J.; Rouquerol, F.; Llewellyn, P. Adsorption by Powders and Porous Solids: Principles, Methodology and Applications; Academic Press: Cambridge, MA, USA, 2013. [Google Scholar]
- Dong, T.; Harris, N.B.; Ayranci, K.; Twemlow, C.E.; Nassichuk, B.R. Porosity characteristics of the Devonian Horn River shale, Canada: Insights from lithofacies classification and shale composition. Int. J. Coal Geol. 2015, 141, 74–90. [Google Scholar] [CrossRef]
- Loucks, R.G.; Reed, R.M.; Ruppel, S.C.; Jarvie, D.M. Morphology, Genesis, and Distribution of Nanometer-Scale Pores in Siliceous Mudstones of the Mississippian Barnett Shale. J. Sediment. Res. 2009, 79, 848–861. [Google Scholar] [CrossRef]
- Feng, Y.; Xiao, X.M.; Wang, E.Z.; Gao, P.; Lu, C.G.; Li, G.; Wang, Z.H.; Zhou, Q. Origins of Siliceous Minerals and Their Influences on Organic Matter Enrichment and Reservoir Physical Properties of Deep Marine Shale in the Sichuan Basin, South China. Energy Fuels 2023, 37, 11982–11995. [Google Scholar] [CrossRef]
- Zhang, J.; Cui, Z.; Chen, X.; Li, L. Research Progress on the Microfracture of Shale: Experimental Methods, Microfracture Propagation, Simulations, and Perspectives. Appl. Sci. 2024, 14, 784. [Google Scholar] [CrossRef]
- Li, S.J.; Yuan, Y.S.; Sun, W.; Sun, D.S.; Jin, Z.J. The formation and destroyment mechanism of shale gas overpressure and its main controlling factors in Silurian of Sichuan Basin. Nat. Gas Geosci. 2016, 27, 924–931. [Google Scholar]
- Zhu, W.Y.; Ma, D.X. Effective stress characteristics in shale and its effect on shale gas productivity. J. Nat. Gas Geosci. 2018, 3, 339–346. [Google Scholar] [CrossRef]
- Wang, J.; Chen, D.H.; Zhang, H.L.; Zhang, X.M.; He, X.; Wang, X.M. Studies on phase and group velocities from acoustic logging. Appl. Geophys. 2012, 9, 108–113. [Google Scholar] [CrossRef]
- Wang, X.P.; Mou, C.H.; Wang, Q.Y.; Ge, X.Y.; Chen, X.W.; Zhou, K.K.; Liang, W. Diagenesis of black shale in Longmaxi Formation, southern Sichuan Basin and its periphery. Acta Pet. Sin. 2015, 36, 1035–1047. [Google Scholar]
- Foster, M.D. The Relation Between “Illite”, Beidellite, and Montmorillonite. Clay. Clay Miner. 1953, 2, 386–397. [Google Scholar]
- Dong, C.M.; Ma, C.F.; Luan, G.Q.; Lin, C.Y.; Zhang, X.G.; Ren, L.H. Pyrolysis Simulation Experiment and Diagenesis Evolution Pattern of Shale. Acta Sedimentol. Sin. 2015, 33, 1053–1061. [Google Scholar]
- Gu, Y.; Li, X.; Yang, S.; Wan, Q. Microstructure Evolution of Organic Matter and Clay Minerals in Shales with Increasing Thermal Maturity. Acta Geol. Sin. 2020, 94, 280–289. [Google Scholar] [CrossRef]
- Liu, S.; Wang, S.; Sun, W.; Ran, B.; Yang, D.; Luo, C.; Ye, Y.; Bai, Z.; Qiu, J.; Zhang, X. Characteristics of black shale in Wufeng Formation and Longmaxi Formation in Sichuan Basin and its peripheral areas. J. Chengdu Univ. Technol. Sci. Technol. Ed. 2013, 40, 621–639. [Google Scholar]
- Ross, D.J.K.; Bustin, R.M. Characterizing the shale gas resource potential of Devonian-Mississippian strata in the western Canada sedimentary basin: Application of an integrated formation evaluation. AAPG Bull. 2008, 92, 87–125. [Google Scholar] [CrossRef]
- Nie, H.K.; Jin, Z.J.; Ma, X.; Liu, Z.B.; Lin, T.; Yang, Z.H. Graptolites zone and sedimentary characteristics of Upper Ordovician Wufeng FormationLower Silurian Longmaxi Formation in Sichuan Basin and its adjacent areas. Acta Pet. Sin. 2017, 2, 160–174. [Google Scholar]
- Kamatani, A. Dissolution rates of silica from diatoms decomposing at various temperatures. Mar. Biol. 1982, 68, 91–96. [Google Scholar] [CrossRef]
- Zhao, J.H.; Jin, Z.J.; Jin, Z.K.; Wen, X.; Geng, Y.K.; Yan, C.N. The genesis of quartz in Wufeng Longmaxi gas shales, Sichuan Basin. Nat. Gas Geosci. 2016, 27, 377–386. [Google Scholar]
- Mo, W.; Wang, M.; Chen, F.; Huang, Z.; Li, Y.; Yan, Y.; Jiang, R.; Lin, T.; Cui, J. Types and microstructures of pores in shales of the Ordovician Wulalike Formation at the western margin of the Ordos Basin, China. Energy Geosci. 2023, 4, 100155. [Google Scholar] [CrossRef]
- Zhang, Y.; Wang, G.; Wang, X.; Fan, H.; Shen, B.; Sun, K. TOC estimation from logging data using principal component analysis. Energy Geosci. 2023, 4, 100197. [Google Scholar] [CrossRef]
- Williams, L.A.; Parks, G.A.; Crerar, D.A. Silica diagenesis: I. Solubility controls. J. Sediment. Petrol. 1985, 55, 301–311. [Google Scholar]
- Liu, G.; Zhai, G.; Zou, C.; Cheng, L.; Guo, X.; Xia, X.; Shi, D.; Yang, Y.; Zhang, C.; Zhou, Z. A comparative discussion of the evidence for biogenic silica in Wufeng-Longmaxi siliceous shale reservoir in the Sichuan basin, China. Mar. Petrol. Geol. 2019, 109, 70–87. [Google Scholar] [CrossRef]
- Thyberg, B.; Jahren, J. Quartz cementation in mudstones: Sheetlike quartz cement from clay. Petrol. Geosci. 2011, 17, 53–63. [Google Scholar] [CrossRef]
- Yin, S.; Tian, T.; Wu, Z.; Li, Q. Developmental characteristics and distribution law of fractures in a tight sandstone reservoir in a low-amplitude tectonic zone, eastern Ordos Basin, China. Geol. J. 2020, 55, 1546–1562. [Google Scholar] [CrossRef]
- Yin, S.; Han, C.; Wu, Z.; Li, Q. Developmental characteristics, influencing factors and prediction of fractures for a tight gas sandstone in a gentle structural area of the Ordos Basin, China. J. Nat. Gas Sci. Eng. 2019, 72, 103032. [Google Scholar] [CrossRef]
- Liu, N.N.; Zhang, P.X.; Xia, W.; Gao, Q.F.; Wang, K.M.; Zhou, D.N. The differences in reservoir property between marine and transitional facies shale gas: A case study of the Longtan Formation and the Longmaxi Formation in Nanchuan, Sichuan, South China. Mar. Geol. Front. 2024, 40, 49–60. [Google Scholar]
- Wang, P.; Liu, Z.; Chen, X.; Feng, D.; Wang, R.; Peng, Z. Impact of coexisting clay minerals and organic matter on pore growth in the Lower Jurassic Da’anzhai lacustrine shale reservoir in the Northeast Sichuan Basin, West China. Interpret.-J. Sub. 2021, 9, T373–T384. [Google Scholar] [CrossRef]
- Liu, Z.; Chen, Y.; Xu, S.; Meng, F.; Ge, X. Evaluation of the preservation conditions of marine shale gas in Wufeng-Longmaxi Formations in eastern Sichuan Basin and peripheral areas. Chin. J. Geol. 2024, 59, 1185–1197. [Google Scholar]
- Yang, Z.H.; Tao, G.L.; Bao, Y.J.; Lu, L.F.; Sun, Y.G.; Liu, W.X.; Shen, B.J.; Ne, H.K. Differential development and maintenance mechanismof reservoir space for marine shale gas in South China’s deep strata. Petrol. Geol. Expe. 2022, 44, 845–865. [Google Scholar]
- Jarosinski, M.; Bobek, K.; Gluszynski, A.; Sowizdzal, K.; Soczynski, T. Fracture stratigraphy, stress, and strain evolution in shale succession of the lower Paleozoic Baltic Basin (Poland). AAPG Bull. 2023, 107, 1851–1881. [Google Scholar] [CrossRef]
- Tingay, M.R.P.; Hillis, R.R.; Swarbrick, R.E.; Morley, C.K.; Damit, A.R. Origin of overpressure and pore-pressure prediction in the Baram province, Brunei. AAPG Bull. 2009, 93, 51–74. [Google Scholar] [CrossRef]
- Tang, L.; Song, Y.; Zhao, Z.G.; Jiang, Z.X.; Jiang, S.; Li, Z.; Li, Q.W. Origin and evolution of overpressure in shale gas reservoirs of the Upper Ordovician Wufeng Formation–Lower Silurian Longmaxi Formation in the Sichuan Basin. Nat. Gas Ind. 2022, 42, 37–53. [Google Scholar]
- Qiu, N.S.; Liu, Y.F.; Liu, W.; Jia, J.K. Quantitative reconstruction of formation paleo-pressure in sedimentary basins and case studies. Sci. China Earth Sci. 2020, 50, 793–806. [Google Scholar] [CrossRef]
- Rashid, M.; Luo, M.; Ashraf, U.; Hussain, W.; Ali, N.; Rahman, N.; Hussain, S.; Martyushev, D.A.; Vo Thanh, H.; Anees, A. Reservoir Quality Prediction of Gas-Bearing Carbonate Sediments in the Qadirpur Field: Insights from Advanced Machine Learning Approaches of SOM and Cluster Analysis. Minerals 2023, 13, 29. [Google Scholar] [CrossRef]
- Martyushev, D.A.; Davoodi, S.; Kadkhodaie, A.; Riazi, M.; Kazemzadeh, Y.; Ma, T. Multiscale and diverse spatial heterogeneity analysis of void structures in reef carbonate reservoirs. Geoenergy Sci. Eng. 2024, 233, 212569. [Google Scholar] [CrossRef]
- Liu, Y.; Dai, S.; Zhou, Y.; Ding, F.; Li, M.; Li, X.; Zhao, Y.; Guo, B.; Li, T.; Han, J. Fault characteristics and their control on oil and gas accumulation in the southwestern Ordos Basin. Energy Geosci. 2024, 5, 100151. [Google Scholar] [CrossRef]
- Jiao, K. The Characterization, Genesis and Evolution of Nano-Pores in Coals and Shales; Nanjing University: Nanjing, China, 2015. [Google Scholar]
- Vishal; Bakshi, T. Confinement effect on CO2 and CH4 permeability in shale. Energy Geosci. 2024, 5, 100236. [Google Scholar] [CrossRef]











| Strata | Sample | Depth (m) | Litho. | TOC (%) | VRr (%) | Q (%) | PF (%) | Plag. (%) | Cal. (%) | Dol. (%) | P (%) | CM (%) | Por. (%) | TSA (cm2/g) | TPV (cm3/g) |
|---|---|---|---|---|---|---|---|---|---|---|---|---|---|---|---|
| WF | FS1-1 | 5394.33 | Shale | 4.93 | / | 54.3 | 1.2 | 4.4 | 1.7 | / | 1.9 | 36.5 | 3.45 | / | / |
| FS1-2 | 5393.95 | Shale | 5.56 | / | 72.5 | 0.9 | 4.8 | 2.5 | 4.2 | 2.3 | 12.8 | 5.61 | / | / | |
| FS1-3 | 5393.32 | Shale | 5.25 | 2.56 | 70.5 | / | 3.3 | 2.7 | / | 2.8 | 20.7 | 3.74 | 16.63 | 0.02039 | |
| FS1-4 | 5392.83 | Shale | 6.86 | / | 77.5 | 0.8 | 1.4 | 1.7 | 0.3 | 3.5 | 14.8 | 7.95 | / | / | |
| FS1-5 | 5392.09 | Shale | 3.35 | / | 36.9 | 0.6 | 1.3 | 4.1 | 8.1 | 9.2 | 39.8 | 2.69 | / | / | |
| FS1-6 | 5391.26 | Shale | 6.38 | / | 79.6 | 1.1 | 2.2 | 2.4 | / | 5.4 | 9.3 | 7.14 | / | / | |
| LMX | FS1-7 | 5390.48 | Shale | 6.35 | 2.52 | 60.6 | 1.5 | 5.5 | 0.9 | 5.2 | 3.9 | 22.4 | 2.89 | 18.36 | 0.02047 |
| FS1-8 | 5389.68 | Shale | 6.03 | / | 72.9 | 0.7 | 3.3 | 3.8 | / | 4.1 | 15.2 | 3.05 | / | / | |
| FS1-9 | 5389.03 | Shale | 5.20 | 2.68 | 64.7 | 0.8 | 5.4 | 2.5 | 5.9 | 4.2 | 16.5 | 5.55 | 15.19 | 0.01917 | |
| FS1-10 | 5388.76 | Shale | 5.98 | 2.53 | 45.4 | 1.3 | 6.5 | 6.7 | 5.5 | 6.5 | 28.1 | 2.62 | / | / | |
| FS1-11 | 5388.39 | Shale | 5.00 | / | 60.7 | 0.6 | 2.8 | 2.2 | 7 | 6.2 | 20.5 | 3.10 | / | / | |
| FS1-12 | 5387.55 | Shale | 5.55 | 3.02 | 51.6 | 0.8 | 6.2 | 2.9 | 6.3 | 6.5 | 25.7 | 5.56 | 16.29 | 0.01981 | |
| FS1-13 | 5386.4 | Shale | 3.50 | / | 26.7 | / | 8.5 | 0.6 | / | 5.2 | 59 | 1.36 | / | / | |
| FS1-14 | 5385.29 | Shale | 5.36 | 2.50 | 56.0 | 1.2 | 4.8 | 2.8 | / | 6.5 | 28.7 | 2.82 | / | / | |
| FS1-15 | 5380.37 | Shale | 5.99 | / | 65.1 | 0.9 | 4.0 | 3 | 6.4 | 3.5 | 17.1 | 3.02 | / | / |
Disclaimer/Publisher’s Note: The statements, opinions and data contained in all publications are solely those of the individual author(s) and contributor(s) and not of MDPI and/or the editor(s). MDPI and/or the editor(s) disclaim responsibility for any injury to people or property resulting from any ideas, methods, instructions or products referred to in the content. |
© 2024 by the authors. Licensee MDPI, Basel, Switzerland. This article is an open access article distributed under the terms and conditions of the Creative Commons Attribution (CC BY) license (https://creativecommons.org/licenses/by/4.0/).
Share and Cite
Wang, P.; He, X.; Chen, Y.; Xu, C.; Cao, Q.; Yang, K.; Zhang, B. Mechanisms of Reservoir Space Preservation in Ultra-Deep Shales: Insights from the Ordovician–Silurian Wufeng–Longmaxi Formation, Eastern Sichuan Basin. Minerals 2024, 14, 1046. https://doi.org/10.3390/min14101046
Wang P, He X, Chen Y, Xu C, Cao Q, Yang K, Zhang B. Mechanisms of Reservoir Space Preservation in Ultra-Deep Shales: Insights from the Ordovician–Silurian Wufeng–Longmaxi Formation, Eastern Sichuan Basin. Minerals. 2024; 14(10):1046. https://doi.org/10.3390/min14101046
Chicago/Turabian StyleWang, Pengwan, Xiaolong He, Ya’na Chen, Chuan Xu, Quanbin Cao, Kai Yang, and Bing Zhang. 2024. "Mechanisms of Reservoir Space Preservation in Ultra-Deep Shales: Insights from the Ordovician–Silurian Wufeng–Longmaxi Formation, Eastern Sichuan Basin" Minerals 14, no. 10: 1046. https://doi.org/10.3390/min14101046
APA StyleWang, P., He, X., Chen, Y., Xu, C., Cao, Q., Yang, K., & Zhang, B. (2024). Mechanisms of Reservoir Space Preservation in Ultra-Deep Shales: Insights from the Ordovician–Silurian Wufeng–Longmaxi Formation, Eastern Sichuan Basin. Minerals, 14(10), 1046. https://doi.org/10.3390/min14101046
