The Mechanism Driving Magnetic Enhancement in the Sediments of Core PT2 from Southwestern China
Abstract
1. Introduction
2. Study Area
- 0–0.22 m, brownish red clay;
- 0.22–0.68 m, brownish red clay at the top, grey mud at the bottom;
- 0.68–2.85 m, grey mud at the top, green-grey silty clay at the bottom;
- 2.85–4.98 m, green-grey clay with brown peat visible in the middle;
- 4.98–6.96 m, green-grey fine sand with two layers of lignite in the middle;
- 6.96–9.14 m, green-grey fine sand at the top, green-grey clay at the bottom;
- 9.14–15.65 m, green-grey clay;
- 15.65–29.85 m, green-grey clay, contains shell debris;
- 29.85–33.87 m, green-grey clay.
3. Materials and Methods
4. Results
4.1. χ, ARM, SIRM, and ARM/SIRM
4.2. Temperature-Dependent Magnetic Susceptibility (χ-T)
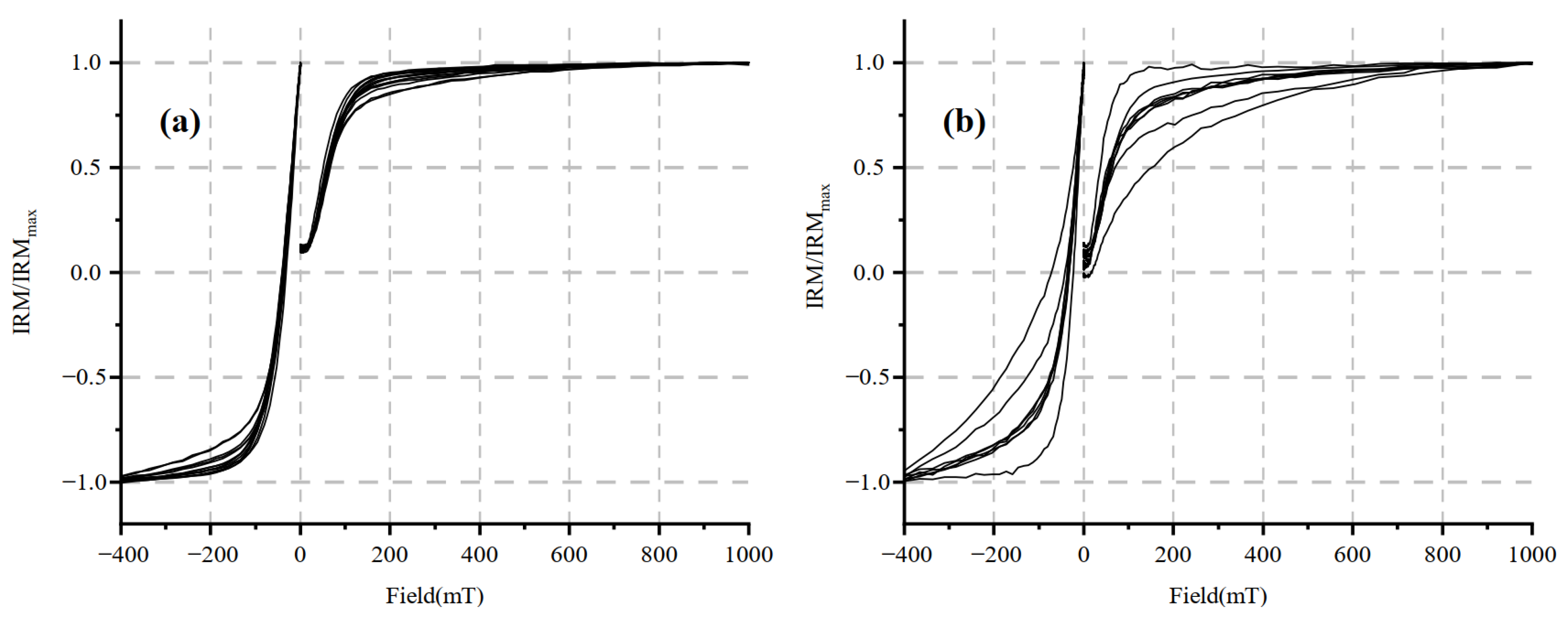
4.3. IRM Acquisition Curve and Hysteresis Loops
4.4. Hysteresis Parameters and First-Order Reversal Curve (FORC) Diagrams
5. Discussion
5.1. Characteristics of Magnetic Susceptibility
5.2. Mechanism of Magnetic Susceptibility Variability
6. Conclusions
Author Contributions
Funding
Data Availability Statement
Acknowledgments
Conflicts of Interest
References
- An, Z.S.; Sun, Y.B.; Cai, Y.J.; Zhou, W.J.; Shen, J. Asian monsoon change and its links to global climate. J. Earth Environ. 2017, 8, 1–5. [Google Scholar]
- Geen, R.; Bordoni, S.; Battisti, D.S.; Hui, K. Monsoons, ITCZs and the Concept of the Global Monsoon. Rev. Geophys. 2020, 58, e2020RG000700. [Google Scholar] [CrossRef]
- Wang, P.X. Global monsoon in a geological perspective. Chin. Sci. Bull. 2009, 54, 535–556. [Google Scholar] [CrossRef]
- Wang, X.H.; Wang, L.S.; Hu, S.Y.; Ma, M.M.; Wang, Q.; Cui, B.L.; Zhan, C.; Zeng, L.; Liu, X.B.; Shen, J. Indian summer monsoon variability over last 2000 years inferred from sediment magnetic characteristics in Lugu Lake, southwest China. Palaeogeogr. Palaeoclimatol. Palaeoecol. 2021, 578, 110581. [Google Scholar] [CrossRef]
- Pei, Y.Q.; Qiu, H.J.; Yang, D.D.; Liu, Z.J.; Ma, S.Y.; Li, J.Y.; Cao, M.M.; Wufuer, W. Increasing landslide activity in the Taxkorgan River Basin (eastern Pamirs Plateau, China) driven by climate change. Catena 2023, 223, 106911. [Google Scholar] [CrossRef]
- Shi, Z.G.; Sha, Y.Y.; Liu, X.D. Effect of Yunnan–Guizhou Topography at the Southeastern Tibetan Plateau on the Indian Monsoon. J. Clim. 2017, 30, 1259–1272. [Google Scholar] [CrossRef]
- Hu, S.Y.; Goddu, S.R.; Appel, E.; Verosub, K.; Dong, Y.X.; Wang, S.M. Palaeoclimatic changes over the past 1 million years derived from lacustrine sediments of Heqing basin (Yunnan, China). Quat. Int. 2005, 136, 123–129. [Google Scholar] [CrossRef]
- Wang, S.M.; Zhang, Z.K. New progress of lake sediments and environmental changes research in China. Sci. Bull. 1999, 44, 1744–1754. [Google Scholar] [CrossRef]
- He, Y.Q.; Wang, Y.J.; Kong, X.G.; Cheng, H. High resolution stalagmite δ18O records over the past 1000 years from Dongge Cave in Guizhou. Chin. Sci. Bull. 2005, 50, 1003–1008. [Google Scholar] [CrossRef]
- Tan, M. Climatic differences and similarities between Indian and East Asian Monsoon regions of China over the last millennium: A perspective based mainly on stalagmite records. Int. J. Speleol. 2007, 36, 75–81. [Google Scholar] [CrossRef]
- Chen, Q.M.; Cheng, X.; Cai, Y.J.; Luo, Q.Z.; Zhang, J.L.; Tang, L.; Hu, Y.; Ren, J.G.; Wang, P.; Wang, Y.; et al. Asian Summer Monsoon Changes Inferred From a Stalagmite δ18O Record in Central China During the Last Glacial Period. Front. Earth Sci. 2022, 10, 863829. [Google Scholar] [CrossRef]
- Prell, L.W. Monsoonal climate of the Arabian sea during the Late Quaternary: A response to changing solar radiation. In Milankovitch and Climate; Understanding the Response to Astronomical Forcing: NATO Advanced Research; D. Reidel: Dordrecht, The Netherland, 1984. [Google Scholar]
- Gautam, P.K.; Narayana, A.C.; Kumar, P.K.; Bhavani, P.G.; Yadava, M.G.; Jull, A.J.T. Indian monsoon variability during the last 46 kyr: Isotopic records of planktic foraminifera from southwestern Bay of Bengal. J. Quat. Sci. 2021, 36, 138–151. [Google Scholar] [CrossRef]
- Ota, Y.; Kawahata, H.; Kuroda, J.; Yamaguchi, A.; Suzuki, A.; Araoka, D.; Abe-Ouchi, A.; Yamada, Y.; Ijiri, A.; Kanamatsu, T.; et al. Indian Monsoonal Variations During the Past 80 Kyr Recorded in NGHP-02 Hole 19B, Western Bay of Bengal: Implications From Chemical and Mineral Properties. Geochem. Geophys. Geosystems 2019, 20, 148–165. [Google Scholar] [CrossRef]
- Zorzi, C.; Goni, M.F.S.; Anupama, K.; Prasad, S.; Hanquiez, V.; Johnson, J.; Giosan, L. Indian monsoon variations during three contrasting climatic periods: The Holocene, Heinrich Stadial 2 and the last interglacial-glacial transition. Quat. Sci. Rev. 2015, 125, 50–60. [Google Scholar] [CrossRef]
- Huang, M.; Deng, Y.K.; Peng, H.J.; Wen, Z.M.; Shang, G.C.; Guan, H.C.; Ma, C.M. Hydroclimatic changes since the Last Glacial Maximum recorded in mountain peat deposit on the southwestern margin of the Sichuan Basin, China. Front. Ecol. Evol. 2022, 10, 1050429. [Google Scholar] [CrossRef]
- Hu, S.Y.; Goddu, S.R.; Herb, C.; Appel, E.; Gleixner, G.; Wang, S.M.; Yang, X.D.; Zhu, X.H. Climate variability and its magnetic response recorded in a lacustrine sequence in Heqing basin at the SE Tibetan Plateau since 900 ka. Geophys. J. Int. 2015, 201, 444–458. [Google Scholar] [CrossRef]
- Day, R.; Fuller, M.; Schmidt, V.A. Hysteresis properties of titanomagnetites: Grain-size and compositional dependence. Phys. Earth Planet. Inter. 1977, 13, 260–267. [Google Scholar] [CrossRef]
- Thompson, R.; Oldfield, F. Environmental Magnetism; Springer: London, UK, 1986; pp. 101–123. [Google Scholar]
- Dunlop, D.J.; Özdemir, Ö. Magnetism of sediments and sedimentary rocks. In Rock Magnetism: Fundamentals and Frontiers; Cambridge Studies in Magnetism; Cambridge University Press: Cambridge, UK, 1997; pp. 425–460. [Google Scholar]
- Wu, Y.; Zhu, Z.Y.; Qiu, S.F.; Rao, Z.G. A rock magnetic record of Asian cooling and aridification processes during 1.95-0.40 Ma in the Southeastern Chinese Loess Plateau. Chin. Sci. Bull. 2013, 58, 3636–3644. [Google Scholar] [CrossRef]
- Xu, X.W.; Qiang, X.K.; Zhao, H.; Fu, C.F. Magnetic mineral dissolution recorded in a lacustrine sequence from the Heqing Basin, SW China, and its relationship with changes in the Indian monsoon. J. Asian Earth Sci. 2020, 188, 322–325. [Google Scholar] [CrossRef]
- Peng, J.; Yang, X.Q.; Toney, J.L.; Ruan, J.Y.; Li, G.H.; Zhou, Q.X.; Gao, H.H.; Xie, Y.X.; Chen, Q.; Zhang, T.W. Indian Summer Monsoon variations and competing influences between hemispheres since ~35 ka recorded in Tengchongqinghai Lake, southwestern China. Palaeogeogr. Palaeoclimatol. Palaeoecol. 2019, 516, 113–125. [Google Scholar] [CrossRef]
- Reimer, P.J.; Bard, E.; Bayliss, A.; Beck, J.W.; Blackwell, P.G.; Ramsey, C.B.; Buck, C.E.; Cheng, H.; Edwards, R.L.; Friedrich, M.; et al. IntCal13 and Marine13 Radiocarbon Age Calibration Curves 0–50,000 Years cal BP. Radiocarbon 2013, 55, 1869–1887. [Google Scholar] [CrossRef]
- An, Z.S.; Clemens, S.C.; Shen, J.; Qiang, X.K.; Jin, Z.D.; Sun, Y.B.; Prell, W.L.; Luo, J.J.; Wang, S.M.; Xu, H.; et al. Glacial-Interglacial Indian Summer Monsoon Dynamics. Science 2011, 333, 719–723. [Google Scholar] [CrossRef] [PubMed]
- Shen, J.; Xiao, H.F.; Wang, S.M.; An, Z.S.; Qiang, X.K.; Xiao, X.Y. The orbital scale evolution of regional climate recorded in a long sediment core from Heqing, China. Sci. Bull. 2007, 52, 1813–1819. [Google Scholar] [CrossRef]
- Liu, Q.S.; Roberts, A.P.; Larrasoaña, J.C.; Banerjee, S.K.; Guyodo, Y.; Tauxe, L.; Oldfield, F. Environmental magnetism: Principles and applications. Rev. Geophys. 2012, 50, RG4002. [Google Scholar] [CrossRef]
- Harrison, R.J.; Feinberg, J.M. FORCinel: An improved algorithm for calculating first-order reversal curve distributions using locally weighted regression smoothing. Geochem. Geophys. Geosystems 2008, 9, Q05016. [Google Scholar] [CrossRef]
- King, J.W.; Channell, J.E.T. Sedimentary magnetism, environmental magnetism, and magnetostratigraphy. Rev. Geophys. 1991, 29, 358–370. [Google Scholar] [CrossRef]
- Evans, M.E.; Heller, F.; Bloemendal, J.; Thouveny, N. Natural Magnetic Archives of Past Global Change. Surv. Geophys. 1997, 18, 183–196. [Google Scholar] [CrossRef]
- Zhao, X.Y.; Liu, Q.S. Effects of the grain size distribution on the temperature-dependent magnetic susceptibility of magnetite nanoparticles. Sci. China-Earth Sci. 2010, 53, 1071–1078. [Google Scholar] [CrossRef]
- Liu, Q.S.; Deng, C.L.; Yu, Y.; Torrent, J.; Jackson, M.J.; Banerjee, S.K.; Zhu, R.X. Temperature dependence of magnetic susceptibility in an argon environment: Implications for pedogenesis of Chinese loess/palaeosols. Geophys. J. Int. 2005, 161, 102–112. [Google Scholar] [CrossRef]
- Deng, C.L.; Zhu, R.X.; Jackson, M.J.; Verosub, K.L.; Singer, M.J. Variability of the temperature-dependent susceptibility of the Holocene eolian deposits in the Chinese loess plateau: A pedogenesis indicator. Phys. Chem. Earth Part A-Solid Earth Geod. 2001, 26, 873–878. [Google Scholar] [CrossRef]
- Hu, S.Y.; Deng, C.L.; Appel, E.; Verosub, K.L. Environmental magnetic studies of lacustrine sediments. Chin. Sci. Bull. 2002, 47, 613–616. [Google Scholar] [CrossRef]
- Ge, C.; Zhang, W.G.; Dong, C.Y.; Dong, Y.; Bai, X.X.; Liu, J.Y.; Hien, N.T.T.; Feng, H.; Yu, L.Z. Magnetic mineral diagenesis in the river-dominated inner shelf of the East China Sea, China. J. Geophys. Res. Solid Earth 2015, 120, 4720–4733. [Google Scholar] [CrossRef]
- Roberts, A.P. Magnetic properties of sedimentary greigite (Fe3S4). Earth Planet. Sci. Lett. 1995, 134, 227–236. [Google Scholar] [CrossRef]
- Zhu, R.X.; Matasova, G.; Kazansky, A.; Zykina, V.; Sun, J.M. Rock magnetic record of the last glacial-interglacial cycle from the Kurtak loess section, southern Siberia. Geophys. J. Int. 2003, 152, 335–343. [Google Scholar] [CrossRef]
- Shen, M.M.; Zan, J.B.; Yan, M.D.; Zhang, W.L.; Fang, X.M.; Zhang, D.W.; Zhang, T. Comparative Rock Magnetic Study of Eocene Volcanogenic and Sedimentary Rocks From Yunnan, Southeastern Tibetan Plateau, and Its Geological Implications. J. Geophys. Res. Solid Earth 2020, 125, e2019JB017946. [Google Scholar] [CrossRef]
- Zan, J.B.; Fang, X.M.; Yan, M.D.; Zhang, Z.G.; Zhang, D.W. Regional variations in magnetic properties of surface sediments in the Qaidam Basin and their paleoenvironmental implications. J. Appl. Geophys. 2015, 122, 86–93. [Google Scholar] [CrossRef]
- Deng, C.L.; Zhu, R.X.; Verosub, K.L.; Singer, M.J.; Yuan, B.Y. Paleoclimatic significance of the temperature-dependent susceptibility of Holocene loess along a NW-SE transect in the Chinese loess plateau. Geophys. Res. Lett. 2000, 27, 3715–3718. [Google Scholar] [CrossRef]
- Dunlop, D.J. Theory and application of the Day plot (Mrs/Ms versus Hcr/Hc) 1. Theoretical curves and tests using titanomagnetite data. J. Geophys. Res. Solid Earth 2002, 107, B3. [Google Scholar] [CrossRef]
- Roberts, A.P.; Almeida, T.P.; Church, N.S.; Harrison, R.J.; Heslop, D.; Li, Y.L.; Li, J.H.; Muxworthy, A.R.; Williams, W.; Zhao, X. Resolving the Origin of Pseudo-Single Domain Magnetic Behavior. J. Geophys. Res. Solid Earth 2017, 122, 9534–9558. [Google Scholar] [CrossRef]
- Roberts, A.P.; Hu, P.X.; Harrison, R.J.; Heslop, D.; Muxworthy, A.R.; Oda, H.; Sato, T.; Tauxe, L.; Zhao, X. Domain State Diagnosis in Rock Magnetism: Evaluation of Potential Alternatives to the Day Diagram. J. Geophys. Res. Solid Earth 2019, 124, 5286–5314. [Google Scholar] [CrossRef]
- Roberts, A.P.; Pike, C.R.; Verosub, K.L. First-order reversal curve diagrams: A new tool for characterizing the magnetic properties of natural samples. J. Geophys. Res. Solid Earth 2000, 105, 28461–28475. [Google Scholar] [CrossRef]
- Muxworthy, A.R.; King, J.G.; Heslop, D. Assessing the ability of first-order reversal curve (FORC) diagrams to unravel complex magnetic signals. J. Geophys. Res. Solid Earth 2005, 110, B01105. [Google Scholar] [CrossRef]
- Qin, H.F.; Liu, Q.S.; Pan, Y.X. The first-order reversal curve (FORC) diagram: Theory and case study. Chin. J. Geophys. Chin. Ed. 2008, 51, 743–751. [Google Scholar]
- Tan, M.Q.; Zhang, W.L.; Fang, X.M.; Yan, M.D.; Zan, J.B.; Zhang, T. Rock magnetic record of core SG-3 since 1 Ma in the western Qaidam Basin and its paleoclimate implications for the NE Tibetan Plateau. Palaeogeogr. Palaeoclimatol. Palaeoecol. 2020, 560, 109949. [Google Scholar] [CrossRef]
- Zan, J.B.; Kang, J.; Yan, M.D.; Fang, X.M.; Li, X.J.; Guan, C.; Zhang, W.L.; Fang, Y.H. A Pedogenic Model for the Magnetic Enhancement of Late Miocene Fluvial-Lacustrine Sediments From the Xining Basin, NE Tibetan Plateau. J. Geophys. Res. Solid Earth 2018, 123, 6176–6194. [Google Scholar] [CrossRef]
- Feng, X.H.; Ji, S.; Yun, X.X. Paleoenvironmental evolution of Heqing basin in Yunnan Province since 2.78 Ma. Sci. Limnol. Sin. 2006, 18, 255–260. [Google Scholar]
- Xu, X.W.; Qiang, X.K.; An, Z.S.; Li, X.B.; Li, P.; Sun, Y.F. Magnetic susceptibility of Heqing drill core and its paleoenvironmental implications. J. Geomech. 2010, 16, 372–382. [Google Scholar]
- Demory, F.; Oberhansli, H.; Nowaczyk, N.R.; Gottschalk, M.; Wirth, R.; Naumann, R. Detrital input and early diagenesis in sediments from Lake Baikal revealed by rock magnetism. Glob. Planet. Chang. 2005, 46, 145–166. [Google Scholar] [CrossRef]
- Zhang, W.L.; Appel, E.; Fang, X.M.; Song, C.H.; Cirpka, O. Magnetostratigraphy of deep drilling core SG-1 in the western Qaidam Basin (NE Tibetan Plateau) and its tectonic implications. Quat. Res. 2012, 78, 139–148. [Google Scholar] [CrossRef]
- Xu, X.W.; Qiang, X.K.; Fu, C.F.; Zhao, H.; Chen, T.; Sun, Y.F. Rock magnetic evidence for early diagenesis in the pleistocene lacustrine sediments from Heqing basin. Quat. Sci. 2012, 32, 812–819. [Google Scholar]
- Ao, H. Mineral-magnetic signal of long-term climatic variation in Pleistocene fluvio-lacustrine sediments, Nihewan Basin (North China). J. Asian Earth Sci. 2010, 39, 692–700. [Google Scholar] [CrossRef]
- Snowball, I.F. Geochemical control of magnetite dissolution in subarctic lake sediments and the implications for environmental magnetism. J. Quat. Sci. 1993, 8, 339–346. [Google Scholar] [CrossRef]
- Sun, J.M.; Zhang, M.Y.; Liu, T.S. Spatial and temporal characteristics of dust storms in China and its surrounding regions, 1960-1999: Relations to source area and climate. J. Geophys. Res. Atmos. 2001, 106, 10325–10333. [Google Scholar] [CrossRef]
- Zhang, X.X.; Lei, J.Q.; Wu, S.X.; Li, S.Y.; Liu, L.Y.; Wang, Z.F.; Huang, S.Y.; Guo, Y.H.; Wang, Y.D.; Tang, X.; et al. Spatiotemporal evolution of aeolian dust in China: An insight into the synoptic records of 1984-2020 and nationwide practices to combat desertification. Land Degrad. Dev. 2023, 34, 2005–2023. [Google Scholar] [CrossRef]
- Williamson, D.; Jelinowska, A.; Kissel, C.; Tucholka, P.; Gibert, E.; Gasse, F.; Massault, M.; Taieb, M.; Van Campo, E.; Wieckowski, K. Mineral-magnetic proxies of erosion/oxidation cycles in tropical maar-lake sediments (Lake Tritrivakely, Madagascar): Paleoenvironmental implications. Earth Planet. Sci. Lett. 1998, 155, 205–219. [Google Scholar] [CrossRef]
- Wang, L.S.; Hu, S.Y.; Yu, G.; Ma, M.M.; Liao, M.N. Paleoenvironmental reconstruction of the radial sand ridge field in the South Yellow Sea (East China) since 45ka using the sediment magnetic properties and granulometry. J. Appl. Geophys. 2015, 122, 1–10. [Google Scholar] [CrossRef]
- Roberts, A.P. Magnetic mineral diagenesis. Earth-Sci. Rev. 2015, 151, 1–47. [Google Scholar] [CrossRef]
- Wei, G.J.; Liu, Y.; Li, X.H.; Shao, L.; Liang, X.R. Climatic impact on Al, K, Sc and Ti in marine sediments: Evidence from ODP Site 1144, South China Sea. Geochem. J. 2003, 37, 593–602. [Google Scholar] [CrossRef]
- Wei, G.J.; Liu, Y.; Shao, L.; Li, X.H.; Liang, X.R. Climatic records in the major elements of the terrestrial detritus from the south china sea. Mar. Geol. Quat. Geol. 2003, 23, 1–4. [Google Scholar]
- Ouyang, T.P.; Tian, C.J.; Zhu, Z.Y.; Qiu, Y.; Appel, E.; Fu, S.Q. Magnetic characteristics and its environmental implications of core YSJD-86GC sediments from the southern South China Sea. Sci. Bull. 2014, 59, 3176–3187. [Google Scholar] [CrossRef]
- Wang, H.Y.; Huo, Y.Y.; Zeng, L.Y.; Wu, X.Q.; Cai, Y.L. A 42-yr soil erosion record inferred from mineral magnetism of reservoir sediments in a small carbonate-rock catchment, Guizhou Plateau, Southwest China. J. Paleolimnol. 2008, 40, 897–921. [Google Scholar] [CrossRef]
- Liu, C.C.; Deng, C.L. The effect of weathering on the grain-size distribution of red soils in South-Eastern China and its climatic implications. J. Asian Earth Sci. 2014, 94, 94–104. [Google Scholar] [CrossRef]









| Sample | Depth (m) | 14C Age (a BP) | Age Error |
|---|---|---|---|
| 14C-1 | 3.13 | 17,237.05 | 48.87 |
| 14C-2 | 4.78 | 23,916.33 | 117.24 |
| 14C-3 | 7.12 | 31,301.50 | 183.37 |
| 14C-4 | 9.32 | 39,550.87 | 558.24 |
Disclaimer/Publisher’s Note: The statements, opinions and data contained in all publications are solely those of the individual author(s) and contributor(s) and not of MDPI and/or the editor(s). MDPI and/or the editor(s) disclaim responsibility for any injury to people or property resulting from any ideas, methods, instructions or products referred to in the content. |
© 2023 by the authors. Licensee MDPI, Basel, Switzerland. This article is an open access article distributed under the terms and conditions of the Creative Commons Attribution (CC BY) license (https://creativecommons.org/licenses/by/4.0/).
Share and Cite
Yang, Z.; Xu, X.; Yang, F.; Wang, Q.; Qiang, X. The Mechanism Driving Magnetic Enhancement in the Sediments of Core PT2 from Southwestern China. Minerals 2023, 13, 577. https://doi.org/10.3390/min13040577
Yang Z, Xu X, Yang F, Wang Q, Qiang X. The Mechanism Driving Magnetic Enhancement in the Sediments of Core PT2 from Southwestern China. Minerals. 2023; 13(4):577. https://doi.org/10.3390/min13040577
Chicago/Turabian StyleYang, Ziyi, Xinwen Xu, Fangshe Yang, Qiongqiong Wang, and Xiaoke Qiang. 2023. "The Mechanism Driving Magnetic Enhancement in the Sediments of Core PT2 from Southwestern China" Minerals 13, no. 4: 577. https://doi.org/10.3390/min13040577
APA StyleYang, Z., Xu, X., Yang, F., Wang, Q., & Qiang, X. (2023). The Mechanism Driving Magnetic Enhancement in the Sediments of Core PT2 from Southwestern China. Minerals, 13(4), 577. https://doi.org/10.3390/min13040577

