Mineral Phase Evolution during Oxidation Roasting Pretreatment of Typical Carlin Gold Ore and Effects on Gold Leaching Efficiency
Abstract
1. Introduction
2. Material and Methods
2.1. Raw Materials
2.2. Roasting and Cyanide Leaching
3. Results and Discussion
3.1. The Oxidation Roasting Pretreatment
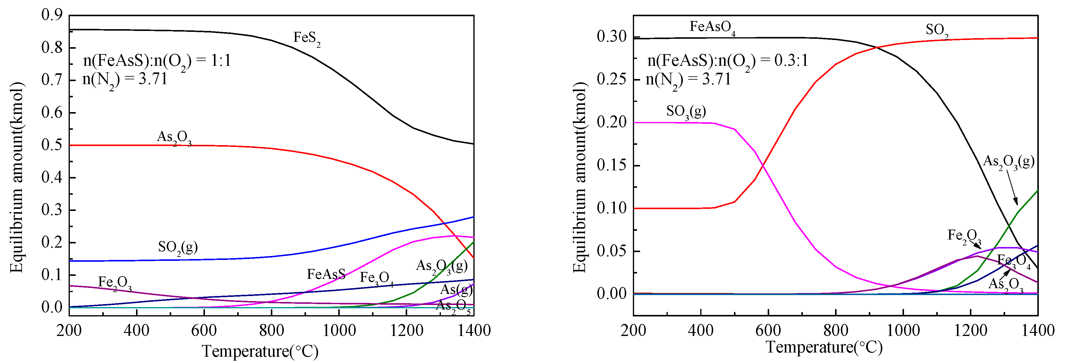
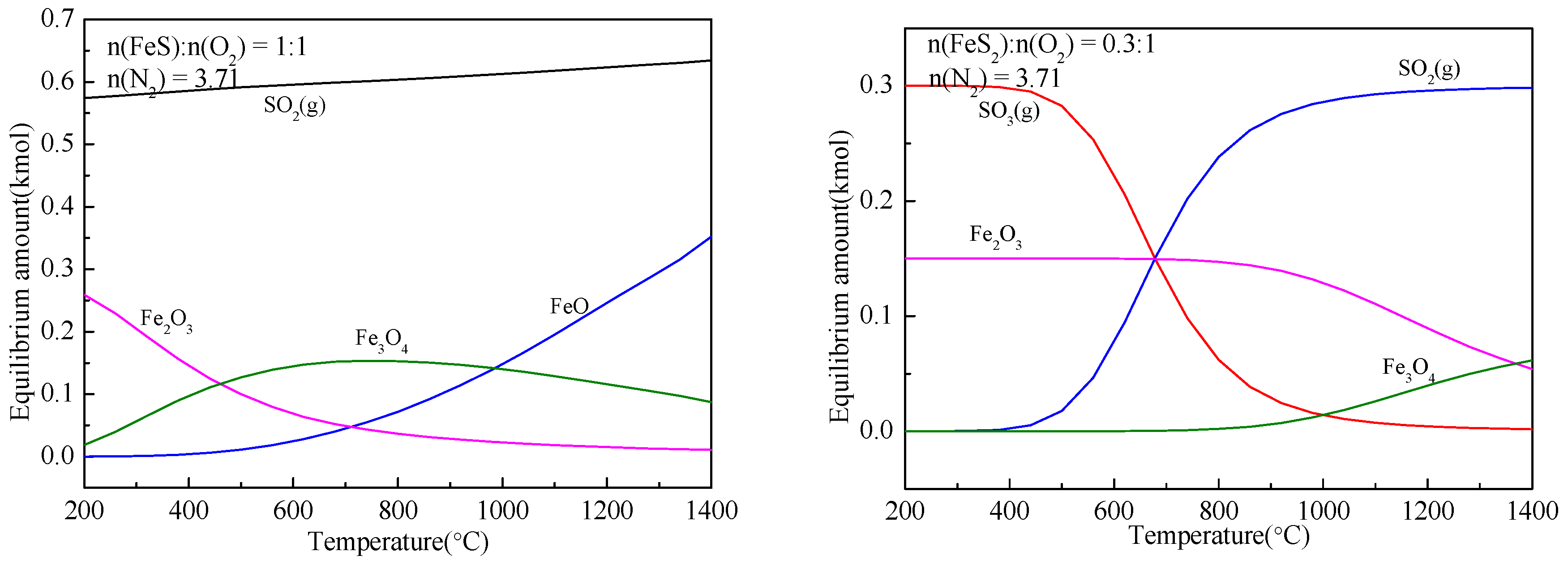
3.1.1. The Thermodynamics Fundamental of Roasting
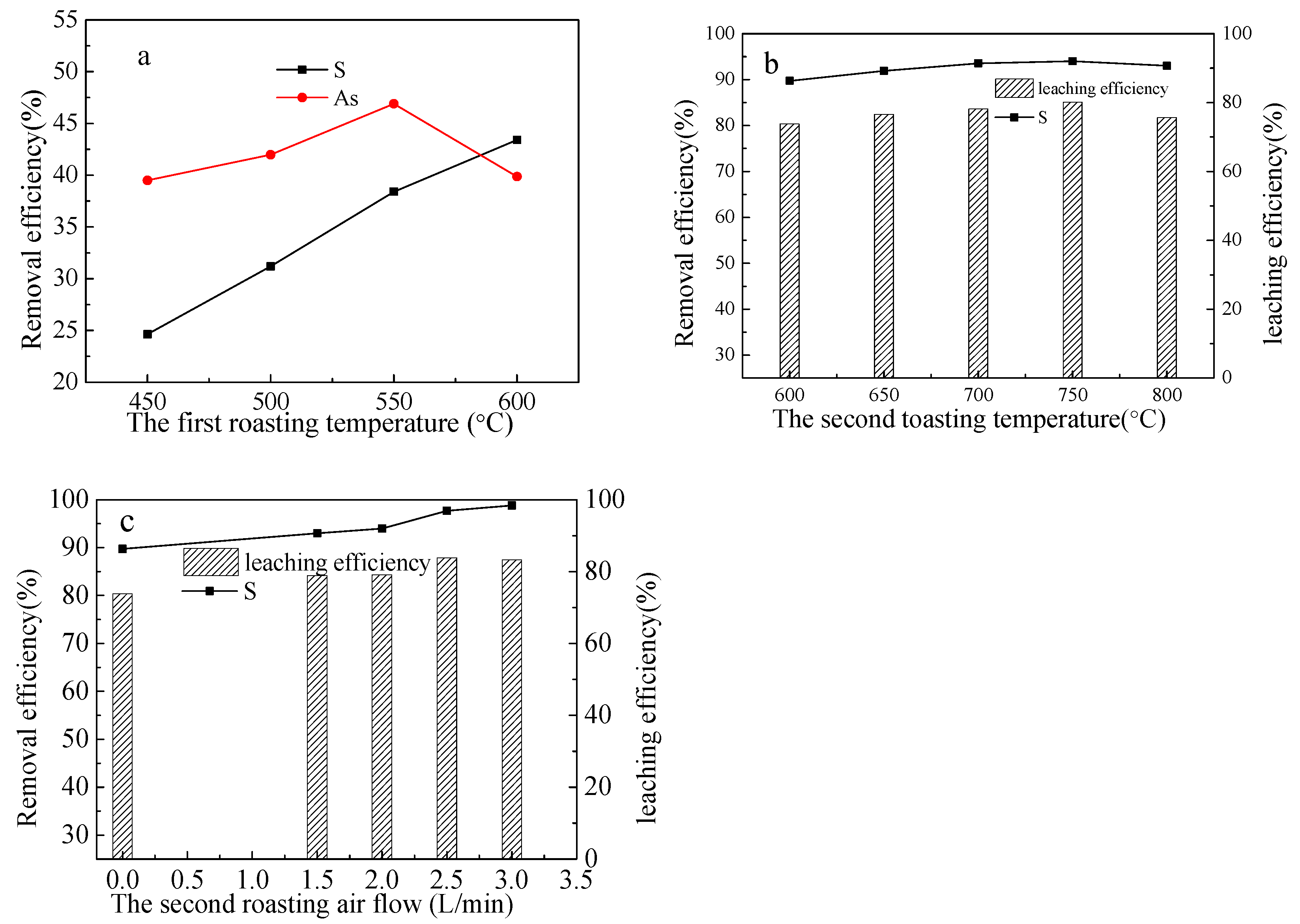
3.1.2. Effect of Roasting Condition on Removal Efficiency of As and S, and Leaching Efficiency of Gold
3.2. Mineral Phase Evolution of Carlin-Type Gold Ore
3.3. The Effects on Gold Leaching Efficiency
4. Conclusions
Author Contributions
Funding
Data Availability Statement
Conflicts of Interest
References
- Cline, J.S. Timing of gold and arsenic sulfide mineral deposition at the Getchell Carlin-type gold deposit, north-central Nevada. Econ. Geol. 2001, 96, 75–89. [Google Scholar] [CrossRef]
- Rui-Zhong, H.; Wen-Chao, S.; Xian-Wu, B.; Guang-Zhi, T.; Hofstra, A.H. Geology and geochemistry of Carlin-type gold deposits in China. Miner. Depos. 2002, 37, 378–392. [Google Scholar] [CrossRef]
- Su, W.; Xia, B.; Zhang, H.; Zhang, X.; Hu, R. Visible gold in arsenian pyrite at the Shuiyindong Carlin-type gold deposit, Guizhou, China: Implications for the environment and processes of ore formation. Ore Geol. Rev. 2008, 33, 667–679. [Google Scholar] [CrossRef]
- Corrans, I.J.; Angove, J.E. Ultra fine milling for the recovery of refractory gold. Miner. Eng. 1991, 4, 763–776. [Google Scholar] [CrossRef]
- Komnitsas, C.; Pooley, F.D. Mineralogical characteristics and treatment of refractory gold ores. Miner. Eng. 1989, 2, 449–457. [Google Scholar] [CrossRef]
- Piervandi, Z. Pretreatment of refractory gold minerals by ozonation before the cyanidation process: A review. J. Environ. Chem. Eng. 2023, 11, 109013. [Google Scholar] [CrossRef]
- Li, J.; Yang, H.; Zhao, R.; Tong, L.; Chen, Q. Mineralogical characteristics and recovery process optimization analysis of a refractory gold ore with gold particles mainly encapsulated in pyrite and Arsenopyrite. Geochemistry 2023, 83, 125941. [Google Scholar] [CrossRef]
- Majumdar, S.; Singh, S.; Sahoo, P.R. Characterization of organic matter and its implications for pyrite hosted refractory gold mineralization along the South Purulia Shear Zone, eastern India. Ore Geol. Rev. 2020, 124, 103584. [Google Scholar] [CrossRef]
- Qin, H.; Guo, X.; Tian, Q.; Yu, D.; Zhang, L. Recovery of gold from sulfide refractory gold ore: Oxidation roasting pretreatment and gold extraction. Miner. Eng. 2021, 164, 106822. [Google Scholar] [CrossRef]
- Amankwah, R.K.; Pickles, C.A. Microwave roasting of a carbonaceous sulphidic gold concentrate. Miner. Eng. 2009, 22, 1095–1101. [Google Scholar] [CrossRef]
- Fraser, K.S.; Walton, R.H.; Wells, J.A. Processing of refractory gold ores. Miner. Eng. 1991, 4, 1029–1041. [Google Scholar] [CrossRef]
- Nanthakumar, B.; Pickles, C.A.; Kelebek, S. Microwave pretreatment of a double refractory gold ore. Miner. Eng. 2007, 20, 1109–1119. [Google Scholar] [CrossRef]
- Swash, P.M. A mineralogical investigation of refractory gold ores and their beneficiation with special reference to arsenical ores. J. South Afr. Inst. Min. Metall. 1988, 88, 173–180. [Google Scholar]
- Arriagada, F.J.; Osseo-Asare, K.A. Gold extraction from refractory ores: Roasting behaviour of pyrite & arsenopyrite in Precious Metals. In Min Extn & Processing; Kudryk, V., Liang, W.W., Eds.; Metallurgical Society of AIME: Englewood, CO, USA, 1984; pp. 367–385. [Google Scholar]
- Marsden, J.; House, I. Oxidative Pre-treatment. In Chemistry of Gold Extraction; SME: Chandler, AZ, USA, 2006; Chapter 5; pp. 147–231. [Google Scholar]
- Fernández, R.R.; Collins, A.; Marczak, E. Gold recovery from high arsenic containing ores at Newmont’s roasters. Miner. Metall. Process. 2010, 27, 60–64. [Google Scholar] [CrossRef]
- Hammerschmidt, J.; Güntner, J.; Kerstiens, B.; Charitos, A. Roasting of gold ore in the circulating fluidized-bed technology. Dev. Miner. Process. 2005, 15, 433–453. [Google Scholar]
- Thomas, K.G.; Cole, A.P. Roasting developments–especially oxygenated roasting. In Gold Ore Processing; Elsevier: Amsterdam, The Netherlands, 2016; pp. 373–392. [Google Scholar]












| Element | Content (%) | Mineral | Content (%) |
|---|---|---|---|
| Au (g/t) | 2.50 | Pyrite | 22.93 |
| Ag (g/t) | 0.82 | Arsenopyrite | 1.27 |
| S | 9.15 | Sericite | 32.00 |
| As | 0.79 | Quartz | 25.09 |
| Fe | 9.55 | Dolomite | 5.95 |
| Mg | 1.75 | Calcite | 2.68 |
| Ca | 3.9 | Ferrodolomite | 3.06 |
| Ti | 1.5 | Kaoline | 2.53 |
| K | 2.46 | Chlorite | 1.51 |
| Na | 0.03 | Rutile | 1.33 |
| P | 0.33 | Others | 1.65 |
| C | 1.70 | ||
| Al | 3.12 | ||
| SiO2 | 40.74 |
Disclaimer/Publisher’s Note: The statements, opinions and data contained in all publications are solely those of the individual author(s) and contributor(s) and not of MDPI and/or the editor(s). MDPI and/or the editor(s) disclaim responsibility for any injury to people or property resulting from any ideas, methods, instructions or products referred to in the content. |
© 2023 by the authors. Licensee MDPI, Basel, Switzerland. This article is an open access article distributed under the terms and conditions of the Creative Commons Attribution (CC BY) license (https://creativecommons.org/licenses/by/4.0/).
Share and Cite
Ma, L.; Liu, X.; Wang, L.; Qi, J. Mineral Phase Evolution during Oxidation Roasting Pretreatment of Typical Carlin Gold Ore and Effects on Gold Leaching Efficiency. Minerals 2023, 13, 558. https://doi.org/10.3390/min13040558
Ma L, Liu X, Wang L, Qi J. Mineral Phase Evolution during Oxidation Roasting Pretreatment of Typical Carlin Gold Ore and Effects on Gold Leaching Efficiency. Minerals. 2023; 13(4):558. https://doi.org/10.3390/min13040558
Chicago/Turabian StyleMa, Licheng, Xiang Liu, Lei Wang, and Jungang Qi. 2023. "Mineral Phase Evolution during Oxidation Roasting Pretreatment of Typical Carlin Gold Ore and Effects on Gold Leaching Efficiency" Minerals 13, no. 4: 558. https://doi.org/10.3390/min13040558
APA StyleMa, L., Liu, X., Wang, L., & Qi, J. (2023). Mineral Phase Evolution during Oxidation Roasting Pretreatment of Typical Carlin Gold Ore and Effects on Gold Leaching Efficiency. Minerals, 13(4), 558. https://doi.org/10.3390/min13040558

