Re-Os Systematics in the Layered Rocks and Cu-Ni-PGE Sulfide Ores from the Dovyren Intrusive Complex in Southern Siberia, Russia: Implications for the Original Mantle Source and the Effects of Two-Stage Crustal Contamination
Abstract
:1. Introduction
2. General Structure of the YDM and Associated Bodies
2.1. Main Types of the Dovyren Rocks
2.1.1. Chilled Gabbronorite and Picrodolerite
2.1.2. Two Types of Plagioperidotite
2.1.3. Plagiodunite and Pl-Containing Dunite
2.1.4. Varieties of Troctolite
2.1.5. Olivine Gabbro and PGE-Mineralized Anorthosite
2.1.6. Olivine Norite and Gabbronorite
2.2. Underlying Sills/Apophyses
3. Sampled Mineralization and Methods
3.1. Samples from the YDM
3.2. Samples from the Apohysis DV10
3.3. Analytical Studies
3.3.1. Bulk Rock Compositions
3.3.2. Compositions of Rock-Forming Minerals
3.3.3. Re-Os Isotope Studies
| No | Sample | S, wt.% | Cr2O3, wt.% | Re, ppb | Os, ppb | Ir, ppb | Ru, ppb | Rh, ppb | Pd, ppb | Pt, ppb |
|---|---|---|---|---|---|---|---|---|---|---|
| 1 | DV30-1b | 0.09 | 0.17 | 0.69 | 2.42 | 1.07 | 3.13 | 0.75 | 8.44 | 7.12 |
| 2 | DV30-4b | 0.06 | 0.69 | 0.49 | 15.3 | 8.42 | 28.2 | 3.94 | 22.4 | 18.2 |
| 3 | 13DV547-16 | 0.02 | 1.05 | 0.18 | 27.6 | 13.0 | 43.8 | 5.34 | 16.4 | 32.7 |
| 4 | 13DV547-60 | 0.06 | 2.75 | 0.98 | 22.3 | 12.8 | 49.9 | 19.0 | 39.0 | 59.5 |
| 5 | 13DV554-1 | 0.09 | 0.17 | 0.39 | 6.27 | 8.62 | 7.91 | 10.5 | 232 | 182 |
| 6 | AA06a-1 | 1.47 | 0.007 | 8.17 | 3.00 | 13.0 | 6.89 | 25.3 | 2230 | 883 |
| 7 | AA06a-2 | 1.08 | 0.008 | 7.56 | 8.10 | 33.5 | 16.8 | 88.2 | 2663 | 1663 |
| 8 | DV627-1-3 | 0.54 | 0.56 | 3.30 | 8.71 | - | - | - | 231 | 65 |
| 9 | DV625-2_M | 11.5 | 0.43 | 0.98 | 1.66 | - | - | - | 2450 | 139 |
| 10 | DV628-2 | 3.43 | 1.08 | 14.7 | 22.6 | - | - | - | 440 | 30 |
| 11 | 07DV107-1 | 9.11 | 0.43 | - | - | 10.7 | 15.7 | 36.0 | 913 | 133 |

4. Results
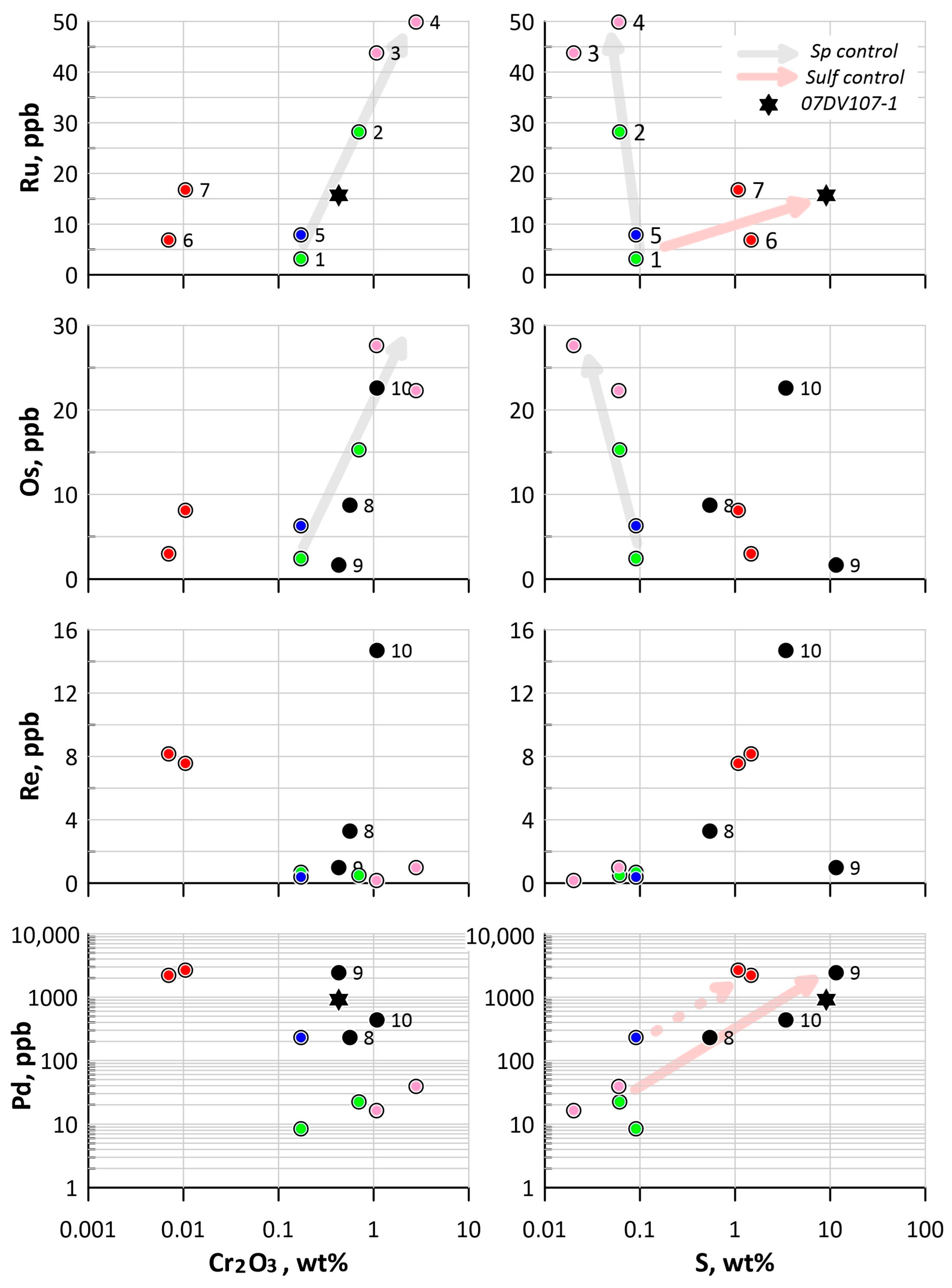
4.1. PGE-Geochemistry
4.2. Re-Os Isotope Systematics
5. Discussion
5.1. Processes Affecting Original Isotopic Characteristics
5.2. γOs(t) vs. εNd(t) Relationships as Petrologic Indicator
6. Conclusions
Author Contributions
Funding
Data Availability Statement
Acknowledgments
Conflicts of Interest
References
- Konnikov, E.G. Differentiated Ultrabasic-Basic Complexes in the Precambrian Rocks of Transbaikalia; Nauka: Novosibirsk, Russia, 1986; 127p. (In Russian) [Google Scholar]
- Kislov, E.V. The Yoko-Dovyren Layered Massif; BNTs SD RAN: Ulan-Ude, Russia, 1998; 265p. (In Russian) [Google Scholar]
- Polyakov, G.; Tolstykh, N.; Mekhonoshin, A.; Izokh, A.; Podlipskii, M.; Orsoev, D.; Kolotilina, T. Ultramafic–mafic igneous complexes of the Precambrian East Siberian metallogenic province (southern framing of the Siberian craton): Age, composition, origin, and ore potential. Russ. Geol. Geophys. 2013, 54, 1319–1331. [Google Scholar] [CrossRef]
- Ariskin, A.A.; Danyushevsky, L.V.; Konnikov, E.G.; Maas, R.; Kostitsyn, Y.A.; McNeill, A.; Meffre, S.; Nikolaev, G.S.; Kislov, E.V. The Dovyren Intrusive Complex (Northern Baikal region, Russia): Isotope-geochemical markers of contamination of parental magmas and extreme enrichment of the source. Russ. Geol. Geophys. 2015, 56, 411–434. [Google Scholar] [CrossRef]
- Ariskin, A.; Danyushevsky, L.; Nikolaev, G.; Kislov, E.; Fiorentini, M.; McNeill, A.; Kostitsyn, Y.; Goemann, K.; Feig, S.T.; Malyshev, A. The Dovyren Intrusive Complex (Southern Siberia, Russia): Insights into dynamics of an open magma chamber with implications for parental magma origin, composition, and Cu-Ni-PGE fertility. Lithos 2018, 302–303, 242–262. [Google Scholar] [CrossRef]
- Konnikov, E.G.; Meurer, W.P.; Neruchev, S.S.; Prasolov, E.M.; Kislov, E.V.; Orsoev, D.A. Fluid Regime of platinum group elements (PGE) and gold-bearing reef formation in the Dovyren mafic–ultramafic layered complex, Eastern Siberia, Russia. Miner. Depos. 2000, 35, 526–532. [Google Scholar] [CrossRef]
- Orsoev, D.A.; Rudashevsky, N.S.; Konnikov, E.G. Precious metal mineralization in low-sulfide ores of the Ioko–Dovyren layered massif, Northern Baikal region. Trans. (Dokl.) Russ. Acad. Sci. (Earth Sci. Sect.) 2003, 390, 545–549. [Google Scholar]
- Tolstykh, N.D.; Orsoev, D.A.; Krivenko, A.P.; Izokh, A.E. Noble-Metal Mineralization in Layered Ultrabasic–Basic Massifs of the Southern Siberian Platform; Parallel’: Novosibirsk, Russia, 2008; 194p. (In Russian) [Google Scholar]
- Orsoev, D.A.; Mekhonoshin, A.S.; Kanakin, S.V.; Badmatsyrenova, R.A.; Khromova, E.A. Gabbro-peridotite sills of the Late Riphean Dovyren plutonic complex (Northern Baikal area, Russia). Russ. Geol. Geophys. 2018, 59, 472–485. [Google Scholar] [CrossRef]
- Orsoev, D.A. Anorthosites of the low-sulfide platiniferous horizon (Reef I) in the upper Riphean Yoko-Dovyren massif (Northern Cisbaikalia): New data on the composition, PGE–Cu–Ni mineralization, fluid regime, and formation conditions. Geol. Ore Depos. 2019, 61, 306–332. [Google Scholar] [CrossRef]
- Ariskin, A.A.; Danyushevsky, L.V.; Fiorentini, M.; Nikolaev, G.S.; Kislov, E.V.; Pshenitsyn, I.V.; Yapaskurt, V.O.; Sobolev, S.N. Petrology, geochemistry, and the origin of sulfide-bearing and PGE-mineralized troctolites from the Konnikov Zone in the Yoko-Dovyren Layered Intrusion. Russ. Geol. Geophys. 2020, 61, 611–633. [Google Scholar] [CrossRef]
- Pshenitsyn, I.V.; Ariskin, A.A.; Nikolaev, G.S.; Kislov, E.V.; Korost, D.V.; Yapaskurt, V.O.; Sobolev, S.N. Morphology, Mineralogy, and Composition of Sulfide Droplets in Picrodolerite from a Near-Bottom Apophysis of the Yoko-Dovyren Layered Intrusion. Petrology 2020, 28, 246–262. [Google Scholar] [CrossRef]
- Pshenitsyn, I.V.; Ariskin, A.A.; Nikolaev, G.S.; Korost, D.V.; Yapaskurt, V.O.; Kislov, E.V.; Sobolev, S.N.; Kubrakova, I.V.; Tyutyunnik, O.A. Geochemistry and petrology of protosulfide melts in an ore-bearing apophysis of the Yoko-Dovyren intrusion. Geochem. Int. 2022, 60, 235–255. [Google Scholar] [CrossRef]
- Korost, D.V.; Ariskin, A.A.; Pshenitsyn, I.V.; Khomyak, A.N. X-ray computed tomography as a method for reproducing 3D characteristics of sulfides and spinel disseminated in plagiodunites from the Yoko-Dovyren intrusion. Petrology 2019, 27, 370–385. [Google Scholar] [CrossRef]
- Shirey, S.B.; Walker, R.J. Carius tube digestion for low-blank rhenium-osmium analysis. Anal. Chem. 1995, 34, 2136–2141. [Google Scholar] [CrossRef]
- Cohen, A.S.; Waters, F.G. Separation of osmium from geological materials by solvent extraction for analysis by TIMS. Anal. Chim. Acta 1996, 332, 269–275. [Google Scholar] [CrossRef]
- Birck, J.-L.; Roy-Barman, M.R.; Capmas, F. Re-Os isotopic measurements at the femtomole level in natural samples. Geostand. News Lett. 1997, 20, 19–27. [Google Scholar] [CrossRef]
- Meisel, T.; Reisberg, L.; Moser, J.; Carignan, J.; Melcher, F.; Brügmann, G. Re-Os systematics of UB-N, a serpentinized peridotite reference material. Chem. Geol. 2003, 201, 161–179. [Google Scholar] [CrossRef]
- Aulbach, S.; Creaser, R.A.; Pearson, N.J.; Simonetti, S.S.; Heaman, L.M.; Griffin, W.L.; Stachel, T. Sulfide and whole rock Re-Os systematics of eclogite and pyroxenite xenoliths from the Slave Craton, Canada. Earth Planet. Sci. Lett. 2009, 283, 48–58. [Google Scholar] [CrossRef]
- Azmy, K.; Kendall, B.; Creaser, R.A.; Heaman, L.; de Oliveira, T.F. Global correlation of the Vazante Group, São Francisco Basin, Brazil: Re–Os and U–Pb radiometric age constraints. Precambrian Res. 2008, 164, 160–172. [Google Scholar] [CrossRef]
- Kendall, B.; Creaser, R.A.; Calver, C.R.; Raub, T.D.; Evans, D.A. Correlation of Sturtian diamictite successions in southern Australia and northwestern Tasmania by Re–Os black shale geochronology and the ambiguity of “Sturtian”-type diamictite–cap carbonate pairs as chronostratigraphic marker horizons. Precambrian Res. 2009, 172, 301–310. [Google Scholar] [CrossRef]
- Rooney, A.D.; Selby, D.; Houzay, J.-P.; Renne, P.R. Re–Os geochronology of a Mesoproterozoic sedimentary succession, Taoudeni basin, Mauritania: Implications for basin-wide correlations and Re–Os organic-rich sediments systematics. Earth Planet. Sci. Lett. 2010, 289, 486–496. [Google Scholar] [CrossRef]
- Tessalina, S.G.; Malitch, K.N.; Augé, T.; Puchkov, V.N.; Belousova, E.; McInnes, B.I. Origin of the Nizhny Tagil clinopyroxenite–dunite massif, Uralian platinum belt, Russia: Insights from PGE and Os isotope systematics. J. Petrol. 2015, 56, 2297–2318. [Google Scholar] [CrossRef]
- Amelin, Y.; Neymark, L.; Ritsk, E.; Nemchin, A. Enriched Nd–Sr–Pb isotopic signatures in the Dovyren layered intrusion (Eastern Siberia, Russia): Evidence for source contamination by ancient upper-crust material. Chem. Geol. 1996, 129, 39–69. [Google Scholar] [CrossRef]
- Grinenko, L.N. Sulfur Sources of Basic-Ultrabasic Rocks and Related Sulfide Copper–Nickel Ores. Ph.D. Thesis, GEOKhI RAN, Moscow, Russia, 1986; 292p. (In Russian). [Google Scholar]
- Ariskin, A.A.; Pshenitsyn, I.V.; Dubinina, E.O.; Kossova, S.A.; Sobolev, S.N. Sulfur isotope composition of olivine gabbronorites from a mineralized apophysis of the Yoko-Dovyren intrusion, Northern Transbaikalia, Russia. Petrology 2021, 29, 597–613. [Google Scholar] [CrossRef]
- Lu, X.; Kendall, B.; Stein, H.J.; Hannah, J.L. Temporal record of osmium concentrations and 187Os/188Os in organic-rich mudrocks: Implications for the osmium geochemical cycle and the use of osmium as a paleoceanographic tracer. Geochim. Cosmochim. Acta 2017, 216, 221–241. [Google Scholar] [CrossRef]
- Saintilan, N.J.; Sproson, A.D.; Selby, D.; Rottier, B.; Casanova, V.; Creaser, R.A.; Kouzmanov, K.; Fontboté, L.; Piecha, M.; Gereke, M.; et al. Osmium isotopic constraints on sulphide formation in the epithermal environment of magmatic-hydrothermal mineral deposits. Chem. Geol. 2021, 564, 120053. [Google Scholar] [CrossRef]
- Tessalina, S.G.; Yudovskaya, M.A.; Chaplygin, I.V.; Birck, J.-L.; Capmas, F. Sources of unique rhenium enrichment in fumaroles and sulphides at Kudryavy volcano. Geochim. Cosmochim. Acta 2008, 72, 889–909. [Google Scholar] [CrossRef]







| No | Sample | h, m | Lithology | CIPW, wt.% | Mineral Compositions, mol.% | S, wt.% | Cu, ppm | ||
|---|---|---|---|---|---|---|---|---|---|
| Ol | Pl | Fo (Ol) | An (Pl) | ||||||
| Yoko–Dovyren intrusion | |||||||||
| 1 | DV30-1b | 0.4 | Chilled olivine gabbronorite | 20 | 39 | 73.3 ± 2.4 | 55.1 ± 7.8 | 0.09 | 70.0 |
| 2 | DV30-4b | 5.4 | Olivine gabbronorite | 47 | 27 | 83.2 ± 1.0 | 63.5 ± 6.3 | 0.06 | 57.0 |
| 3 | 13DV547-16 | 160 | Pl-peridotite | 65 | 13 | 85.5 ± 0.2 | 73.1 ± 4.8 | 0.02 | 28.0 |
| 4 | 13DV547-60 | 187 | Poor mineralized plagiodunite | 83 | 11 | 85.6 ± 0.2 | 75.6 ± 5.1 | 0.06 | 108 |
| 5 | 13DV554-1 | 1660 | PGE-mineralized troctolite | 57 | 42 | 84.0 ± 0.4 | 87.9 ± 1.8 | 0.09 | 486 |
| 6 | AA06a-1 | 2159 | PGE-mineralized anorthosite | 1 | 94 | 80.4 ± 0.4 | 84.4 ± 0.7 | 1.47 | 5535 |
| 7 | AA06a-2 | 2 | 92 | 1.08 | 2503 | ||||
| Ore-bearing apophysis DV10 | |||||||||
| 8 | DV627-1-3 | 8.5 | Globule-containing Ol-gabbronorite | 47 | 24 | 77.1 ± 2.1 | 67.9 ± 3.4 | 0.54 | 676 |
| 9 | DV625-2_M | 13 | Net-textured ore | 37 | 6 | 81.7 ± 0.9 | 65.6 ± 7.4 | 11.5 | 3699 |
| 10 | DV628-2 | 21 | Globular ore | 42 | 20 | 80.6 ± 3.2 | 60.2 ± 16 | 3.43 | 824 |
| Sample | Re (ppb) | Os (ppb) | Re/Os | 187Re/188Os | 2σ | 187Os/188Os | 2σ | 187Os/188Os (t) | 2σ | γOs(t) | 2σ |
|---|---|---|---|---|---|---|---|---|---|---|---|
| DV30-1b | 0.69 | 2.42 | 0.2870 | 1.387 | 0.052 | 0.1519 | 0.0007 | 0.1350 | 0.0009 | 10.5 | 0.7 |
| DV30-4b | 0.49 | 15.32 | 0.0317 | 0.153 | 0.006 | 0.1295 | 0.0003 | 0.1276 | 0.0003 | 4.5 | 0.2 |
| 13DV547-16 | 0.18 | 27.64 | 0.0066 | 0.032 | 0.004 | 0.1293 | 0.0002 | 0.1289 | 0.0002 | 5.6 | 0.2 |
| 13DV547-60 | 0.98 | 22.99 | 0.0427 | 0.206 | 0.014 | 0.1353 | 0.0012 | 0.1328 | 0.0012 | 8.7 | 0.9 |
| 13DV554-1 | 0.39 | 6.27 | 0.0630 | 0.304 | 0.022 | 0.1371 | 0.0003 | 0.1334 | 0.0004 | 9.2 | 0.3 |
| AA06a-1 | 8.17 | 3.00 | 2.7239 | 13.427 | 0.262 | 0.3032 | 0.0004 | 0.1393 | 0.0032 | 14.1 | 2.3 |
| AA06a-2 | 7.56 | 8.10 | 0.9335 | 4.532 | 0.053 | 0.1842 | 0.0008 | 0.1289 | 0.0010 | 5.6 | 0. 8 |
| 627-1-3 | 3.30 | 8.71 | 0.3789 | 1.833 | 0.021 | 0.1567 | 0.0004 | 0.1343 | 0.0004 | 10.0 | 0.3 |
| 625-2_M | 0.98 | 1.66 | 0.5917 | 2.866 | 0.027 | 0.1678 | 0.0005 | 0.1328 | 0.0006 | 8.8 | 0.5 |
| 628-2 | 14.68 | 22.63 | 0.6487 | 3.143 | 0.034 | 0.1694 | 0.0002 | 0.1311 | 0.0005 | 7.3 | 0.4 |
| Average | 0.1324 | 0.0035 | 8.4 | 2.9 | |||||||
Disclaimer/Publisher’s Note: The statements, opinions and data contained in all publications are solely those of the individual author(s) and contributor(s) and not of MDPI and/or the editor(s). MDPI and/or the editor(s) disclaim responsibility for any injury to people or property resulting from any ideas, methods, instructions or products referred to in the content. |
© 2023 by the authors. Licensee MDPI, Basel, Switzerland. This article is an open access article distributed under the terms and conditions of the Creative Commons Attribution (CC BY) license (https://creativecommons.org/licenses/by/4.0/).
Share and Cite
Ariskin, A.A.; Tessalina, S.G.; Kostitsyn, Y.A.; Pshenitsyn, I.V.; Sobolev, S.N.; Nikolaev, G.S.; Kislov, E.V. Re-Os Systematics in the Layered Rocks and Cu-Ni-PGE Sulfide Ores from the Dovyren Intrusive Complex in Southern Siberia, Russia: Implications for the Original Mantle Source and the Effects of Two-Stage Crustal Contamination. Minerals 2023, 13, 1356. https://doi.org/10.3390/min13111356
Ariskin AA, Tessalina SG, Kostitsyn YA, Pshenitsyn IV, Sobolev SN, Nikolaev GS, Kislov EV. Re-Os Systematics in the Layered Rocks and Cu-Ni-PGE Sulfide Ores from the Dovyren Intrusive Complex in Southern Siberia, Russia: Implications for the Original Mantle Source and the Effects of Two-Stage Crustal Contamination. Minerals. 2023; 13(11):1356. https://doi.org/10.3390/min13111356
Chicago/Turabian StyleAriskin, Alexey A., Svetlana G. Tessalina, Yuri A. Kostitsyn, Ivan V. Pshenitsyn, Sergei N. Sobolev, Georgy S. Nikolaev, and Evgeny V. Kislov. 2023. "Re-Os Systematics in the Layered Rocks and Cu-Ni-PGE Sulfide Ores from the Dovyren Intrusive Complex in Southern Siberia, Russia: Implications for the Original Mantle Source and the Effects of Two-Stage Crustal Contamination" Minerals 13, no. 11: 1356. https://doi.org/10.3390/min13111356
APA StyleAriskin, A. A., Tessalina, S. G., Kostitsyn, Y. A., Pshenitsyn, I. V., Sobolev, S. N., Nikolaev, G. S., & Kislov, E. V. (2023). Re-Os Systematics in the Layered Rocks and Cu-Ni-PGE Sulfide Ores from the Dovyren Intrusive Complex in Southern Siberia, Russia: Implications for the Original Mantle Source and the Effects of Two-Stage Crustal Contamination. Minerals, 13(11), 1356. https://doi.org/10.3390/min13111356

