Gold Extraction from a Refractory Sulfide Concentrate by Simultaneous Pressure Leaching/Oxidation
Abstract
1. Introduction
2. Materials and Methods
3. Results and Discussion
3.1. Mineralogy Characterization
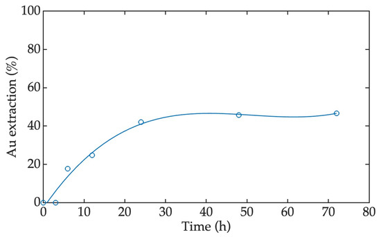
3.2. Conventional Cyanidation Test
3.3. Simultaneous Pressure Leaching and Oxidation
3.3.1. Effects of Temperature and Pressure on Gold Extraction
3.3.2. Effect of Cyanide Concentration
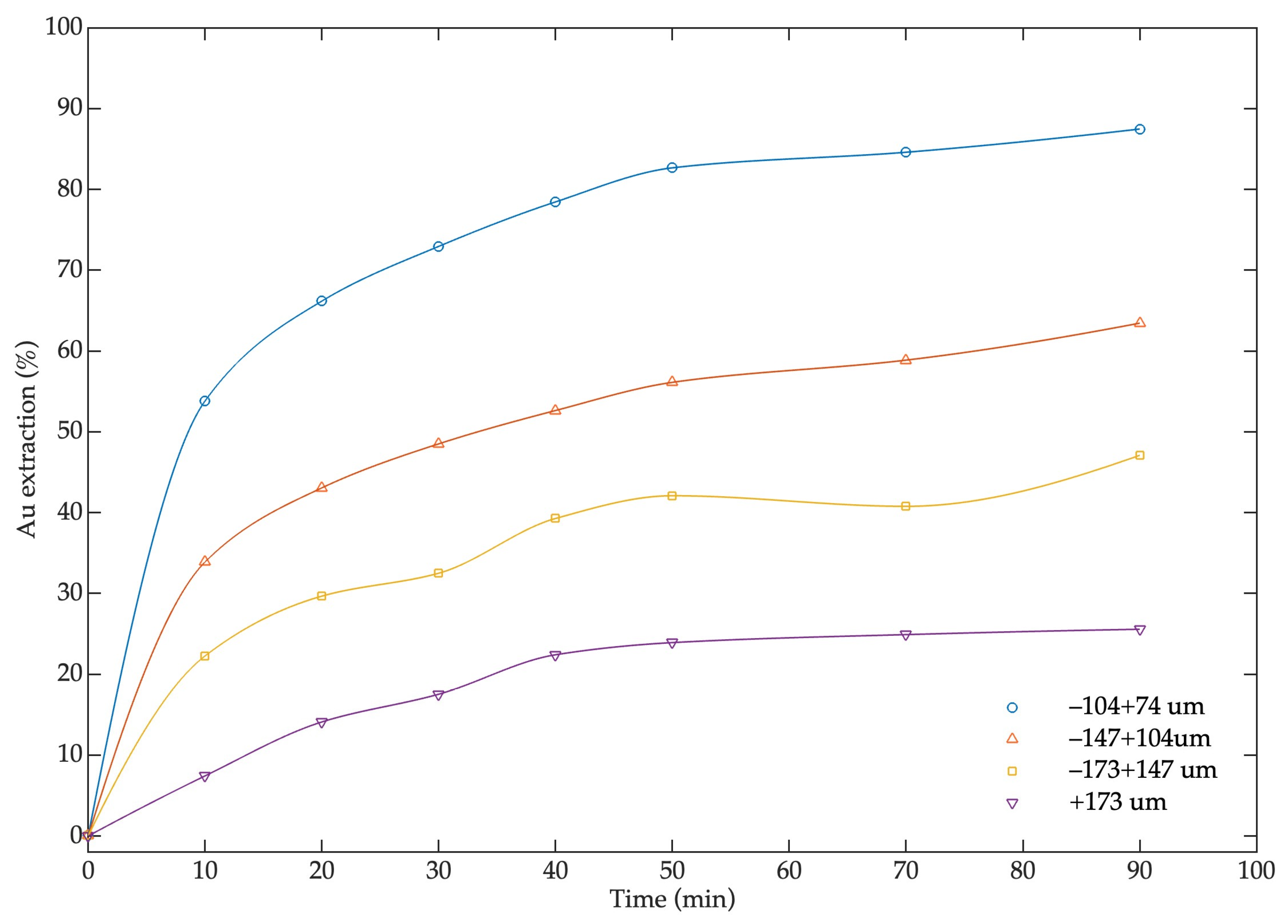
3.3.3. Effect of Particle Size on Gold Extraction
3.3.4. Simultaneous Pressure Leaching and Oxidation
4. Conclusions
Author Contributions
Funding
Acknowledgments
Conflicts of Interest
References
- Marsden, J.; House, I. The Chemistry of Gold Extraction; SME: Littleton, CO, USA, 2006; ISBN 978-0-87335-240-6. [Google Scholar]
- Fleming, C.A. Hydrometallurgy of Precious Metals Recovery. Hydrometallurgy 1992, 30, 127–162. [Google Scholar] [CrossRef]
- Lorenzen, L.; Van Deventer, J.S.J. The Mechanism of Leaching of Gold from Refractory Ores. Miner. Eng. 1992, 5, 1377–1387. [Google Scholar] [CrossRef]
- Angelidis, T.N.; Kydros, K.A. Selective Gold Dissolution from a Roasted Auriferous Pyrite-Arsenopyrite Concentrate. Hydrometallurgy 1995, 37, 75–88. [Google Scholar] [CrossRef]
- Fernández, R.R.; Sohn, H.Y.; LeVier, K.M. Process for Treating Refractory Gold Ores by Roasting under Oxidizing Conditions. Min. Metall. Explor. 2000, 17, 1–6. [Google Scholar] [CrossRef]
- Karthikeyan, O.P.; Rajasekar, A.; Balasubramanian, R. Bio-Oxidation and Biocyanidation of Refractory Mineral Ores for Gold Extraction: A Review. Crit. Rev. Environ. Sci. Technol. 2015, 45, 1611–1643. [Google Scholar] [CrossRef]
- Deng, T.L.; Liao, M.X.; Wang, M.H.; Chen, Y.-W.; Belzile, N. Investigations of Accelerating Parameters for the Bio oxidation of Low-Grade Refractory Gold Ores. Miner. Eng. 2000, 13, 1543–1553. [Google Scholar] [CrossRef]
- Ubaldini, S.; Vegliò, F.; Beolchini, F.; Toro, L.; Abbruzzese, C. Gold Recovery from a Refractory Pyrrhotite Ore by Biooxidation. Int. J. Miner. Process. 2000, 60, 247–262. [Google Scholar] [CrossRef]
- Sun, L.-X.; Zhang, X.; Tan, W.-S.; Zhu, M.-L. Effects of Dissolved Oxygen on the Biooxidation Process of Refractory Gold Ores. J. Biosci. Bioeng. 2012, 114, 531–536. [Google Scholar] [CrossRef] [PubMed]
- Pangum, L.S.; Browner, R.E. Pressure Chloride Leaching of a Refractory Gold Ore. Miner. Eng. 1996, 9, 547–556. [Google Scholar] [CrossRef]
- Rusanen, L.; Aromaa, J.; Forsen, O. Pressure Oxidation of Pyrite-Arsenopyrite Refractory Gold Concentrate. Physicochem. Probl. Miner. Process. 2013, 49, 101–109. [Google Scholar] [CrossRef]
- González-Anaya, J.A.; Nava-Alonso, F.; Pecina-Treviño, E.T. Gold Recovery Optimization of a Refractory Concentrate by Ultrafine Grinding—A Laboratory Study. Min. Metall. Explor. 2011, 28, 94–101. [Google Scholar] [CrossRef]
- Birol, O.; Uçurum, M. Investigation of the Cyanide Leaching Optimization for Ultrafine Grinding Gold–Silver Ore. Part. Sci. Technol. 2016, 34, 633–638. [Google Scholar] [CrossRef]
- Valenzuela, A.; Valenzuela, J.L.; Parga, J.R. Effect of Pretreatment of Sulfide Refractory Concentrate with Sodium Hypochlorite, Followed by Extraction of Gold by Pressure Cyanidation, on Gold Removal. Adv. Chem. Eng. Sci. 2013, 3, 171–177. [Google Scholar] [CrossRef]
- Caldeira, C.L.; Ciminelli, V.S.T.; Dias, A.; Osseo-Asare, K. Pyrite Oxidation in Alkaline Solutions: Nature of the Product Layer. Int. J. Miner. Process. 2003, 72, 373–386. [Google Scholar] [CrossRef]
- Thomas, K.G. Pressure Oxidation Overview. In Developments in Mineral Processing; Adams, M.D., Wills, B.A., Eds.; Advances in Gold Ore Processing; Elsevier: Amsterdam, The Netherlands, 2005; Volume 15, pp. 346–369. [Google Scholar]
- Li, J.; Dabrowski, B.; Miller, J.D.; Acar, S.; Dietrich, M.; LeVier, K.M.; Wan, R.Y. The Influence of Pyrite Pre-Oxidation on Gold Recovery by Cyanidation. Miner. Eng. 2006, 19, 883–895. [Google Scholar] [CrossRef]
- Parga, J.R.; Valenzuela, J.L.; Francisco, C.T. Pressure Cyanide Leaching for Precious Metals Recovery. JOM 2007, 59, 43–47. [Google Scholar] [CrossRef]
- Qin, H.; Guo, X.; Tian, Q.; Yu, D.; Zhang, L. Recovery of Gold from Sulfide Refractory Gold Ore: Oxidation Roasting Pretreatment and Gold Extraction. Miner. Eng. 2021, 164, 106822. [Google Scholar] [CrossRef]
- Lee, S.; Sadri, F.; Ghahreman, A. Enhanced Gold Recovery from Alkaline Pressure Oxidized Refractory Gold Ore After Its Mechanical Activation Followed by Thiosulfate Leaching. J. Sustain. Metall. 2022, 8, 186–196. [Google Scholar] [CrossRef]
- Mahmoodi, F.; Azizi, A. Optimizing the Alkaline Oxidation Pretreatment of a Refractory Gold Ore Using Taguchi Orthogonal Array Method. Mater. Res. Express 2018, 5, 126516. [Google Scholar] [CrossRef]
- Salazar-Campoy, M.M.; Valenzuela-García, J.L.; Quiróz-Castillo, L.S.; Encinas-Romero, M.A.; Tiburcio-Munive, G.; Guerrero-Germán, P.; Parga-Torres, J.R. Comparative Study of Gold Extraction from Refractory Pyritic Ores through Conventional Leaching and Simultaneous Pressure Leaching/Oxidation. Min. Metall. Explor. 2020, 37, 1279–1284. [Google Scholar] [CrossRef]
- Elorza-Rodríguez, E.; Nava-Alonso, F.; Jara, J.; Lara-Valenzuela, C. Treatment of Pyritic Matrix Gold–Silver Refractory Ores by Ozonization–Cyanidation. Miner. Eng. 2006, 19, 56–61. [Google Scholar] [CrossRef]
- Azizi, A.; Petre, C.F.; Larachi, F. Leveraging Strategies to Increase Gold Cyanidation in the Presence of Sulfide Minerals—Packed-Bed Electrochemical Reactor Approach. Hydrometallurgy 2012, 111–112, 73–81. [Google Scholar] [CrossRef]
- Wen, Q.; Wu, Y.; Wang, X.; Zhuang, Z.; Yu, Y. Researches on Preparation and Properties of Sodium Polysulphide as Gold Leaching Agent. Hydrometallurgy 2017, 171, 77–85. [Google Scholar] [CrossRef]
- Deschênes, G.; Prud’homme, P.J.H. Cyanidation of a Copper-Gold Ore. Int. J. Miner. Process. 1997, 50, 127–141. [Google Scholar] [CrossRef]
- Cháidez, J.; Parga, J.; Valenzuela, J.; Carrillo, R.; Almaguer, I. Leaching Chalcopyrite Concentrate with Oxygen and Sulfuric Acid Using a Low-Pressure Reactor. Metals 2019, 9, 189. [Google Scholar] [CrossRef]









| Parameter | Value |
|---|---|
| Oxygen pressure, MPa | 0.5, 0.8, and 1.1 |
| Temperature, °C | 45–75 |
| NaCN, g/L | 4–8 |
| Solids, wt.% | 20 |
| Stirring speed, rpm | 600 |
| Mineral Concentrate Sample | ||||||||
|---|---|---|---|---|---|---|---|---|
| Au, g/t | Ag, g/t | Cu, % | Zn, % | Fe, % | Pb, % | As, % | S, % | Insol., % |
| 42.2 | 3932 | 2.1 | 4.1 | 32.7 | 3.3 | 0.17 | 31.2 | 23.3 |
| Compounds | Weight % | |
|---|---|---|
| Chalcopyrite | 4.4 | |
| Galena | 3.03 | |
| Sphalerite | 4.8 | |
| Pyrite | 64.2 | |
| Arsenopyrite | 0.38 | |
| Quartz | 19.8 | |
| Calcite | 3.3 | |
Disclaimer/Publisher’s Note: The statements, opinions and data contained in all publications are solely those of the individual author(s) and contributor(s) and not of MDPI and/or the editor(s). MDPI and/or the editor(s) disclaim responsibility for any injury to people or property resulting from any ideas, methods, instructions or products referred to in the content. |
© 2023 by the authors. Licensee MDPI, Basel, Switzerland. This article is an open access article distributed under the terms and conditions of the Creative Commons Attribution (CC BY) license (https://creativecommons.org/licenses/by/4.0/).
Share and Cite
Soto-Uribe, J.C.; Valenzuela-Garcia, J.L.; Salazar-Campoy, M.M.; Parga-Torres, J.R.; Tiburcio-Munive, G.; Encinas-Romero, M.A.; Vazquez-Vazquez, V.M. Gold Extraction from a Refractory Sulfide Concentrate by Simultaneous Pressure Leaching/Oxidation. Minerals 2023, 13, 116. https://doi.org/10.3390/min13010116
Soto-Uribe JC, Valenzuela-Garcia JL, Salazar-Campoy MM, Parga-Torres JR, Tiburcio-Munive G, Encinas-Romero MA, Vazquez-Vazquez VM. Gold Extraction from a Refractory Sulfide Concentrate by Simultaneous Pressure Leaching/Oxidation. Minerals. 2023; 13(1):116. https://doi.org/10.3390/min13010116
Chicago/Turabian StyleSoto-Uribe, Juan Carlos, Jesus Leobardo Valenzuela-Garcia, Maria Mercedes Salazar-Campoy, Jose Refugio Parga-Torres, Guillermo Tiburcio-Munive, Martin Antonio Encinas-Romero, and Victor Manuel Vazquez-Vazquez. 2023. "Gold Extraction from a Refractory Sulfide Concentrate by Simultaneous Pressure Leaching/Oxidation" Minerals 13, no. 1: 116. https://doi.org/10.3390/min13010116
APA StyleSoto-Uribe, J. C., Valenzuela-Garcia, J. L., Salazar-Campoy, M. M., Parga-Torres, J. R., Tiburcio-Munive, G., Encinas-Romero, M. A., & Vazquez-Vazquez, V. M. (2023). Gold Extraction from a Refractory Sulfide Concentrate by Simultaneous Pressure Leaching/Oxidation. Minerals, 13(1), 116. https://doi.org/10.3390/min13010116

