Late Cretaceous Activity Record of the Guangsan Fault—Insights from Zircon U-Pb and Apatite Fission-Track Thermochronology
Abstract
:1. Introduction
2. Geological Setting and Sampling
3. Analytical Methods
4. Analytical Results
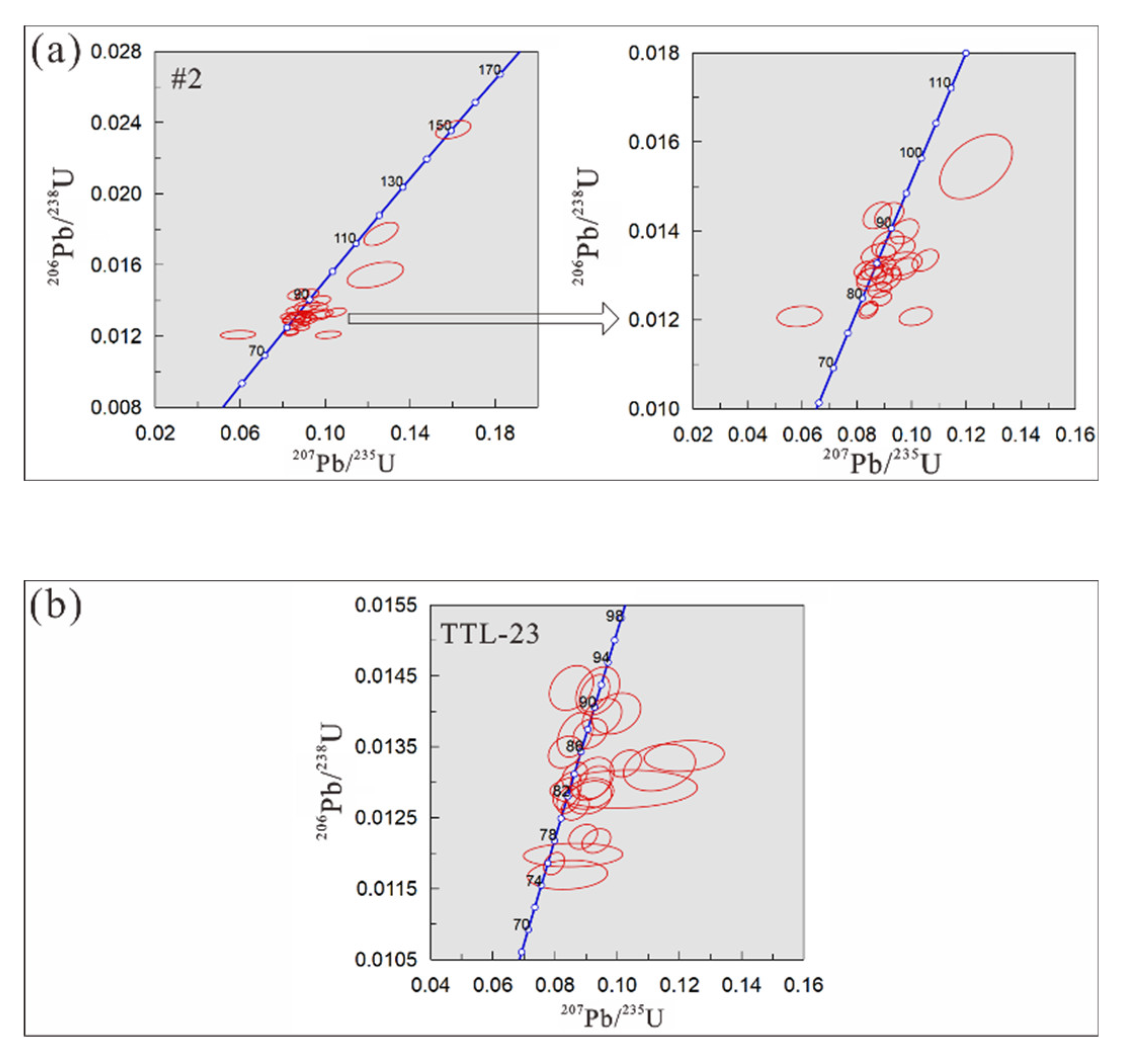
4.1. Zircon U-Pb Dating
4.2. AFT Analysis Results
5. Discussion
6. Conclusions
Author Contributions
Funding
Data Availability Statement
Conflicts of Interest
Appendix A

Appendix B


Appendix C


Appendix D
| Sample | Pb | Th | U | Th/U | 207Pb/206Pb | 207Pb/235U | 206Pb/238U | 207Pb/206U | 207Pb/235U | 206Pb/238U | ||||||
|---|---|---|---|---|---|---|---|---|---|---|---|---|---|---|---|---|
| ppm | ppm | ppm | Ratio | Ratio | 1σ | Ratio | 1σ | Ratio | 1σ | Date (Ma) | 1σ (Ma) | Date (Ma) | 1σ (Ma) | Date (Ma) | 1σ (Ma) | |
| #2—rhyolite porphyry | ||||||||||||||||
| #2-01 | 46.0 | 1950 | 2636 | 0.74 | 0.0466 | 0.0018 | 0.0918 | 0.0035 | 0.0143 | 0.0002 | 27.9 | 93 | 89.2 | 3 | 91.8 | 1 |
| #2-02 | 99.0 | 3982 | 6448 | 0.62 | 0.0517 | 0.0015 | 0.0890 | 0.0025 | 0.0125 | 0.0001 | 333 | 67 | 86.6 | 2 | 79.9 | 1 |
| #2-03 | 73.9 | 2130 | 4096 | 0.52 | 0.0521 | 0.0026 | 0.0963 | 0.0049 | 0.0133 | 0.0002 | 300 | 113 | 93.4 | 5 | 84.9 | 1 |
| #2-04 | 48.6 | 2079 | 2723 | 0.76 | 0.0444 | 0.0018 | 0.0875 | 0.0034 | 0.0143 | 0.0002 | - | - | 85.1 | 3 | 91.8 | 1 |
| #2-05 | 67.4 | 2038 | 4251 | 0.48 | 0.0573 | 0.0018 | 0.1050 | 0.0031 | 0.0133 | 0.0002 | 502 | 69 | 101 | 3 | 85.4 | 1 |
| #2-06 | 46.8 | 1764 | 2754 | 0.64 | 0.0505 | 0.0017 | 0.0974 | 0.0034 | 0.0140 | 0.0002 | 217 | 47 | 94.4 | 3 | 89.5 | 1 |
| #2-07 | 68.8 | 2277 | 4389 | 0.52 | 0.0536 | 0.0018 | 0.0974 | 0.0033 | 0.0131 | 0.0002 | 354 | 74 | 94.4 | 3 | 84.2 | 1 |
| #2-08 | 123.5 | 4288 | 6862 | 0.62 | 0.0611 | 0.0024 | 0.1015 | 0.0040 | 0.0121 | 0.0001 | 643 | 86 | 98.1 | 4 | 77.4 | 1 |
| #2-09 | 38.5 | 1245 | 2391 | 0.52 | 0.0483 | 0.0020 | 0.0914 | 0.0039 | 0.0137 | 0.0002 | 122 | 98 | 88.8 | 4 | 87.8 | 1 |
| #2-10 | 54.24 | 329 | 2139 | 0.15 | 0.0491 | 0.0016 | 0.1602 | 0.0055 | 0.0236 | 0.0003 | 150 | 81 | 151 | 5 | 150 | 2 |
| #2-11 | 30.12 | 1173 | 1834 | 0.64 | 0.0490 | 0.0021 | 0.0885 | 0.0037 | 0.0132 | 0.0002 | 146 | 106 | 86.1 | 3 | 84.4 | 1 |
| #2-12 | 49.2 | 1684 | 3045 | 0.55 | 0.0549 | 0.0024 | 0.1236 | 0.0087 | 0.0154 | 0.0005 | 406 | 98 | 118 | 8 | 98.8 | 3 |
| #2-13 | 37.0 | 1385 | 2239 | 0.62 | 0.0473 | 0.0022 | 0.0879 | 0.0042 | 0.0135 | 0.0002 | 64.9 | 104 | 85.5 | 4 | 86.2 | 1 |
| #2-14 | 26.0 | 1254 | 1483 | 0.85 | 0.0505 | 0.0026 | 0.0942 | 0.0047 | 0.0136 | 0.0002 | 217 | 119 | 91.4 | 4 | 87.1 | 1 |
| #2-15 | 39.98 | 1211 | 2593 | 0.47 | 0.0479 | 0.0020 | 0.0852 | 0.0036 | 0.0130 | 0.0001 | 100 | 91 | 83.0 | 3 | 83.0 | 1 |
| #2-16 | 41.0 | 1376 | 2598 | 0.53 | 0.0506 | 0.0020 | 0.0905 | 0.0036 | 0.0130 | 0.0001 | 233 | 97 | 87.9 | 3 | 83.4 | 1 |
| #2-17 | 56.36 | 895 | 2941 | 0.30 | 0.0507 | 0.0016 | 0.1263 | 0.0053 | 0.0177 | 0.0004 | 233 | 74 | 121 | 5 | 113 | 3 |
| #2-18 | 39.9 | 1551 | 2437 | 0.64 | 0.0469 | 0.0020 | 0.0843 | 0.0035 | 0.0131 | 0.0001 | 42.7 | 100 | 82.2 | 3 | 84.0 | 1 |
| #2-19 | 38.4 | 1182 | 2414 | 0.49 | 0.0479 | 0.0019 | 0.0864 | 0.0033 | 0.0131 | 0.0001 | 94.5 | 89 | 84.2 | 3 | 84.0 | 1 |
| #2-20 | 81.1 | 2274 | 5592 | 0.41 | 0.0500 | 0.0014 | 0.0841 | 0.0023 | 0.0122 | 0.0001 | 198 | 65 | 82.0 | 2 | 78.2 | 1 |
| #2-21 | 91.0 | 2704 | 5006 | 0.54 | 0.0359 | 0.0033 | 0.0590 | 0.0054 | 0.0121 | 0.0002 | - | - | 58.2 | 5 | 77.4 | 1 |
| #2-22 | 96.0 | 1776 | 6900 | 0.26 | 0.0497 | 0.0012 | 0.0844 | 0.0021 | 0.0123 | 0.0001 | 183 | 57 | 82.3 | 2 | 78.5 | 1 |
| #2-23 | 53.0 | 2258 | 3264 | 0.69 | 0.0514 | 0.0017 | 0.0915 | 0.0031 | 0.0129 | 0.0002 | 261 | 78 | 88.9 | 3 | 82.7 | 1 |
| #2-24 | 39.3 | 1416 | 2485 | 0.57 | 0.0488 | 0.0025 | 0.0865 | 0.0044 | 0.0129 | 0.0002 | 139 | 122 | 84.2 | 4 | 82.8 | 1 |
| #2-25 | 55.7 | 2521 | 3439 | 0.73 | 0.0504 | 0.0016 | 0.0883 | 0.0028 | 0.0127 | 0.0001 | 213 | 74 | 85.9 | 3 | 81.2 | 1 |
| #4—rhyolite porphyry | ||||||||||||||||
| #4-01 | 24.04 | 860 | 1691 | 0.51 | 0.0498 | 0.0013 | 0.0842 | 0.0024 | 0.0122 | 0.0001 | 187 | 63 | 82.1 | 2 | 78.1 | 1 |
| #4-02 | 9.37 | 433 | 556 | 0.78 | 0.0661 | 0.0031 | 0.1206 | 0.0057 | 0.0132 | 0.0001 | 809 | 98 | 116 | 5 | 84.6 | 1 |
| #4-03 | 33.6 | 1837 | 1943 | 0.95 | 0.0453 | 0.0019 | 0.0736 | 0.0030 | 0.0118 | 0.0001 | - | - | 72.1 | 3 | 75.9 | 1 |
| #4-04 | 11.86 | 635 | 703 | 0.90 | 0.0489 | 0.0021 | 0.0885 | 0.0036 | 0.0132 | 0.0002 | 139 | 102 | 86.1 | 3 | 84.4 | 1 |
| #4-05 | 23.91 | 877 | 1679 | 0.52 | 0.0487 | 0.0015 | 0.0834 | 0.0026 | 0.0124 | 0.0001 | 200 | 75 | 81.4 | 2 | 79.3 | 1 |
| #4-06 | 24.61 | 353 | 1235 | 0.29 | 0.0481 | 0.0014 | 0.1257 | 0.0038 | 0.0188 | 0.0002 | 106 | 69 | 120 | 3 | 120 | 1 |
| #4-07 | 8.33 | 426 | 462 | 0.92 | 0.0513 | 0.0028 | 0.0961 | 0.0050 | 0.0136 | 0.0002 | 254 | 128 | 93.2 | 5 | 87.2 | 1 |
| #4-08 | 8.71 | 292 | 543 | 0.54 | 0.0504 | 0.0027 | 0.0915 | 0.0045 | 0.0133 | 0.0002 | 217 | 122 | 88.9 | 4 | 85.3 | 1 |
| #4-09 | 8.39 | 363 | 519 | 0.70 | 0.0542 | 0.0024 | 0.0996 | 0.0044 | 0.0134 | 0.0002 | 389 | 102 | 96.4 | 4 | 85.8 | 1 |
| #4-10 | 6.66 | 232 | 416 | 0.56 | 0.0473 | 0.0024 | 0.0892 | 0.0043 | 0.0137 | 0.0002 | 64.9 | 124 | 86.8 | 4 | 87.8 | 1 |
| #4-11 | 24.37 | 809 | 1647 | 0.49 | 0.0489 | 0.0016 | 0.0861 | 0.0026 | 0.0128 | 0.0001 | 143 | 76 | 83.8 | 2 | 81.9 | 1 |
| #4-12 | 16.89 | 622 | 1063 | 0.59 | 0.0447 | 0.0016 | 0.0848 | 0.0030 | 0.0137 | 0.0002 | - | - | 82.7 | 3 | 88.0 | 1 |
| #4-13 | 6.31 | 297 | 373 | 0.79 | 0.0501 | 0.0027 | 0.0930 | 0.0047 | 0.0134 | 0.0002 | 211 | 121 | 90.3 | 4 | 86.1 | 1 |
| #4-14 | 2.96 | 229 | 155 | 1.48 | 0.0533 | 0.0050 | 0.0930 | 0.0070 | 0.0129 | 0.0003 | 343 | 208 | 90.3 | 7 | 82.6 | 2 |
| #4-15 | 10.94 | 512 | 657 | 0.78 | 0.0483 | 0.0023 | 0.0907 | 0.0043 | 0.0136 | 0.0002 | 122 | 98 | 88.2 | 4 | 87.0 | 1 |
| #4-16 | 10.50 | 416 | 646 | 0.64 | 0.0454 | 0.0022 | 0.0854 | 0.0042 | 0.0138 | 0.0002 | - | - | 83.2 | 4 | 88.2 | 1 |
| #4-17 | 9.54 | 404 | 544 | 0.74 | 0.0579 | 0.0025 | 0.1113 | 0.0048 | 0.0139 | 0.0002 | 528 | 96 | 107 | 4 | 89.2 | 1 |
| #4-18 | 17.97 | 763 | 1146 | 0.67 | 0.0472 | 0.0016 | 0.0842 | 0.0028 | 0.0130 | 0.0001 | 61.2 | 81 | 82.0 | 3 | 83.0 | 1 |
| #4-19 | 12.28 | 404 | 753 | 0.54 | 0.0474 | 0.0022 | 0.0921 | 0.0041 | 0.0143 | 0.0002 | 77.9 | 98 | 89.5 | 4 | 91.3 | 1 |
| #4-20 | 23.71 | 706 | 1632 | 0.43 | 0.0497 | 0.0015 | 0.0872 | 0.0027 | 0.0127 | 0.0001 | 189 | 73 | 84.9 | 3 | 81.2 | 1 |
| #4-21 | 8.92 | 380 | 536 | 0.71 | 0.0502 | 0.0026 | 0.0928 | 0.0045 | 0.0136 | 0.0002 | 211 | 119 | 90.1 | 4 | 86.9 | 1 |
| #4-22 | 94.4 | 407 | 1211 | 0.34 | 0.0557 | 0.0010 | 0.5414 | 0.0109 | 0.0702 | 0.0007 | 439 | 41 | 439 | 7 | 437 | 4 |
| #4-23 | 17.59 | 621 | 1158 | 0.54 | 0.0485 | 0.0016 | 0.0874 | 0.0029 | 0.0130 | 0.0001 | 124 | 71 | 85.1 | 3 | 83.1 | 1 |
| #4-24 | 16.05 | 437 | 979 | 0.45 | 0.0493 | 0.0017 | 0.0972 | 0.0033 | 0.0143 | 0.0001 | 161 | 81 | 94.2 | 3 | 91.5 | 1 |
| #4-25 | 17.89 | 659 | 1221 | 0.54 | 0.0475 | 0.0016 | 0.0819 | 0.0029 | 0.0125 | 0.0001 | 76.0 | 78 | 79.9 | 3 | 79.8 | 1 |
| TTL-23—rhyolite porphyry | ||||||||||||||||
| TTL-23-01 | 38.1 | 793 | 2227 | 0.36 | 0.0498 | 0.0027 | 0.0910 | 0.0052 | 0.0128 | 0.0001 | 183 | 128 | 88.5 | 5 | 82.2 | 1 |
| TTL-23-02 | 19.9 | 630 | 643 | 0.98 | 0.0520 | 0.0082 | 0.1021 | 0.0156 | 0.0129 | 0.0002 | 287 | 326 | 98.7 | 14 | 82.6 | 1 |
| TTL-23-03 | 8.12 | 414 | 424 | 0.98 | 0.0484 | 0.0026 | 0.0937 | 0.0046 | 0.0143 | 0.0002 | 117 | 126 | 91.0 | 4 | 91.4 | 1 |
| TTL-23-04 | 23.08 | 767 | 1508 | 0.51 | 0.0476 | 0.0015 | 0.0864 | 0.0027 | 0.0131 | 0.0001 | 83.4 | 74 | 84.1 | 3 | 83.9 | 1 |
| TTL-23-05 | 12.21 | 472 | 740 | 0.64 | 0.0491 | 0.0020 | 0.0952 | 0.0041 | 0.0139 | 0.0002 | 150 | 101 | 92.3 | 4 | 89.1 | 1 |
| TTL-23-06 | 6.84 | 253 | 409 | 0.62 | 0.0522 | 0.0030 | 0.0996 | 0.0053 | 0.0140 | 0.0002 | 295 | 127 | 96.4 | 5 | 89.4 | 1 |
| TTL-23-07 | 8.40 | 429 | 471 | 0.91 | 0.0439 | 0.0026 | 0.0853 | 0.0046 | 0.0143 | 0.0002 | - | - | 83.1 | 4 | 91.7 | 1 |
| TTL-23-08 | 24.13 | 1172 | 1414 | 0.83 | 0.0558 | 0.0017 | 0.1028 | 0.0033 | 0.0133 | 0.0001 | 456 | 73 | 99.4 | 3 | 84.9 | 1 |
| TTL-23-09 | 18.76 | 607 | 1269 | 0.48 | 0.0495 | 0.0017 | 0.0865 | 0.0029 | 0.0126 | 0.0001 | 169 | 84 | 84.2 | 3 | 81.0 | 1 |
| TTL-23-10 | 15.64 | 527 | 944 | 0.56 | 0.0471 | 0.0016 | 0.0927 | 0.0032 | 0.0143 | 0.0002 | 57.5 | 74 | 90.0 | 3 | 91.2 | 1 |
| TTL-23-11 | 28.58 | 600 | 1804 | 0.33 | 0.0593 | 0.0034 | 0.1136 | 0.0076 | 0.0132 | 0.0002 | 589 | 124 | 109 | 7 | 84.6 | 1 |
| TTL-23-12 | 17.04 | 1033 | 951 | 1.09 | 0.0518 | 0.0019 | 0.0926 | 0.0035 | 0.0130 | 0.0002 | 276 | 90 | 89.9 | 3 | 83.2 | 1 |
| TTL-23-13 | 9.65 | 379 | 607 | 0.62 | 0.0514 | 0.0026 | 0.0912 | 0.0047 | 0.0128 | 0.0002 | 261 | 117 | 88.6 | 4 | 81.9 | 1 |
| TTL-23-14 | 36.5 | 1032 | 2234 | 0.46 | 0.0523 | 0.0017 | 0.0890 | 0.0030 | 0.0122 | 0.0001 | 298 | 69 | 86.6 | 3 | 78.4 | 1 |
| TTL-23-15 | 37.1 | 1151 | 1978 | 0.58 | 0.0507 | 0.0049 | 0.0840 | 0.0085 | 0.0117 | 0.0001 | 233 | 202 | 81.9 | 8 | 74.9 | 1 |
| TTL-23-16 | 14.51 | 483 | 901 | 0.54 | 0.0450 | 0.0019 | 0.0833 | 0.0036 | 0.0134 | 0.0001 | - | - | 81.2 | 3 | 86.0 | 1 |
| TTL-23-17 | 13.93 | 442 | 847 | 0.52 | 0.0483 | 0.0019 | 0.0913 | 0.0036 | 0.0137 | 0.0001 | 122 | 93 | 88.7 | 3 | 87.6 | 1 |
| TTL-23-18 | 39.6 | 1020 | 1773 | 0.58 | 0.0504 | 0.0063 | 0.0858 | 0.0105 | 0.0120 | 0.0001 | 213 | 267 | 83.6 | 10 | 76.7 | 1 |
| TTL-23-19 | 26.23 | 813 | 1763 | 0.46 | 0.0552 | 0.0017 | 0.0933 | 0.0030 | 0.0122 | 0.0001 | 420 | 69 | 90.6 | 3 | 78.0 | 1 |
| TTL-23-20 | 29.51 | 780 | 2133 | 0.37 | 0.0487 | 0.0014 | 0.0797 | 0.0022 | 0.0119 | 0.0001 | 132 | 67 | 77.9 | 2 | 75.9 | 1 |
| TTL-23-21 | 12.32 | 474 | 773 | 0.61 | 0.0463 | 0.0020 | 0.0865 | 0.0038 | 0.0137 | 0.0002 | 13.1 | 109 | 84.3 | 4 | 87.5 | 1 |
| TTL-23-22 | 6.44 | 241 | 402 | 0.60 | 0.0516 | 0.0026 | 0.0919 | 0.0046 | 0.0130 | 0.0002 | 333 | 121 | 89.3 | 4 | 83.6 | 1 |
| TTL-23-23 | 21.44 | 749 | 1401 | 0.53 | 0.0470 | 0.0016 | 0.0839 | 0.0030 | 0.0129 | 0.0002 | 55.7 | 72 | 81.9 | 3 | 82.5 | 1 |
| TTL-23-24 | 15.96 | 708 | 898 | 0.79 | 0.0644 | 0.0041 | 0.1216 | 0.0085 | 0.0134 | 0.0001 | 755 | 133 | 117 | 8 | 85.6 | 1 |
| TTL-23-25 | 23.83 | 649 | 1590 | 0.41 | 0.0477 | 0.0013 | 0.0843 | 0.0025 | 0.0128 | 0.0001 | 87.1 | 67 | 82.2 | 2 | 81.7 | 1 |
| #1—fault breccia | ||||||||||||||||
| #1-01 | 100.7 | 1282 | 4216 | 0.30 | 0.0503 | 0.0014 | 0.1474 | 0.0042 | 0.0212 | 0.0002 | 209 | 65 | 140 | 4 | 135 | 1 |
| #1-02 | 15.69 | 382 | 594 | 0.64 | 0.0511 | 0.0030 | 0.1494 | 0.0082 | 0.0214 | 0.0004 | 256 | 142 | 141 | 7 | 137 | 2 |
| #1-03 | 188.3 | 1738 | 4838 | 0.36 | 0.0559 | 0.0012 | 0.2662 | 0.0062 | 0.0344 | 0.0003 | 456 | 48 | 240 | 5 | 218 | 2 |
| #1-04 | 25.71 | 130 | 310 | 0.42 | 0.0574 | 0.0029 | 0.5595 | 0.0278 | 0.0712 | 0.0009 | 506 | 109 | 451 | 18 | 443 | 6 |
| #1-05 | 98.3 | 621 | 1142 | 0.54 | 0.0563 | 0.0014 | 0.5602 | 0.0146 | 0.0720 | 0.0006 | 465 | 57 | 452 | 10 | 448 | 4 |
| #1-06 | 162.1 | 914 | 1961 | 0.47 | 0.0556 | 0.0012 | 0.5391 | 0.0119 | 0.0701 | 0.0005 | 439 | 48 | 438 | 8 | 436 | 3 |
| #1-07 | 92.1 | 1411 | 3858 | 0.37 | 0.0481 | 0.0013 | 0.1396 | 0.0039 | 0.0211 | 0.0002 | 102 | 67 | 133 | 4 | 135 | 1 |
| #1-08 | 49.0 | 331 | 561 | 0.59 | 0.0565 | 0.0020 | 0.5593 | 0.0194 | 0.0722 | 0.0008 | 472 | 78 | 451 | 13 | 450 | 5 |
| #1-09 | 85.8 | 3349 | 4834 | 0.69 | 0.0451 | 0.0029 | 0.0768 | 0.0045 | 0.0128 | 0.0002 | - | - | 75.1 | 4 | 82.1 | 1 |
| #1-10 | 55.5 | 844 | 1749 | 0.48 | 0.0477 | 0.0017 | 0.1748 | 0.0061 | 0.0266 | 0.0002 | 83.4 | 81 | 164 | 5 | 169 | 2 |
| #1-11 | 88.4 | 496 | 1035 | 0.48 | 0.0568 | 0.0016 | 0.5659 | 0.0162 | 0.0722 | 0.0007 | 483 | 63 | 455 | 11 | 449 | 4 |
| #1-12 | 45.3 | 506 | 987 | 0.51 | 0.0515 | 0.0018 | 0.2744 | 0.0100 | 0.0384 | 0.0004 | 265 | 77 | 246 | 8 | 243 | 3 |
| #1-13 | 25.90 | 502 | 998 | 0.50 | 0.0484 | 0.0025 | 0.1442 | 0.0070 | 0.0218 | 0.0003 | 120 | 115 | 137 | 6 | 139 | 2 |
| #1-14 | 84.9 | 529 | 973 | 0.54 | 0.0581 | 0.0015 | 0.5816 | 0.0148 | 0.0725 | 0.0007 | 600 | 56 | 465 | 10 | 451 | 4 |
| #1-15 | 149.2 | 745 | 1780 | 0.42 | 0.0571 | 0.0013 | 0.5709 | 0.0127 | 0.0725 | 0.0007 | 494 | 44 | 459 | 8 | 451 | 4 |
| #1-16 | 75.7 | 306 | 911 | 0.34 | 0.0579 | 0.0017 | 0.5836 | 0.0163 | 0.0732 | 0.0007 | 524 | 63 | 467 | 10 | 456 | 4 |
| #1-17 | 161.3 | 507 | 1995 | 0.25 | 0.0578 | 0.0014 | 0.5845 | 0.0142 | 0.0732 | 0.0006 | 520 | 47 | 467 | 9 | 455 | 4 |
| #1-18 | 30.17 | 201 | 346 | 0.58 | 0.0583 | 0.0025 | 0.5778 | 0.0237 | 0.0727 | 0.0008 | 539 | 94 | 463 | 15 | 452 | 5 |
| #1-19 | 108.2 | 502 | 1267 | 0.40 | 0.0564 | 0.0014 | 0.5792 | 0.0148 | 0.0743 | 0.0006 | 478 | 57 | 464 | 10 | 462 | 4 |
| #1-20 | 259.3 | 1134 | 3165 | 0.36 | 0.0573 | 0.0011 | 0.5706 | 0.0110 | 0.0719 | 0.0006 | 506 | 43 | 458 | 7 | 448 | 4 |
| #1-21 | 228.0 | 1053 | 2948 | 0.36 | 0.0581 | 0.0011 | 0.5442 | 0.0109 | 0.0677 | 0.0006 | 600 | 38 | 441 | 7 | 422 | 4 |
| #1-22 | 92.93 | 205 | 1194 | 0.17 | 0.0560 | 0.0014 | 0.5583 | 0.0139 | 0.0722 | 0.0006 | 454 | 57 | 450 | 9 | 450 | 4 |
| #1-23 | 209.6 | 555 | 2677 | 0.21 | 0.0565 | 0.0012 | 0.5636 | 0.0122 | 0.0722 | 0.0007 | 472 | 42 | 454 | 8 | 449 | 4 |
| #1-24 | 30.93 | 962 | 1939 | 0.50 | 0.0495 | 0.0023 | 0.0935 | 0.0042 | 0.0138 | 0.0002 | 172 | 107 | 90.7 | 4 | 88.2 | 1 |
| #1-25 | 289.1 | 204 | 1533 | 0.13 | 0.0743 | 0.0015 | 1.7904 | 0.0399 | 0.1740 | 0.0018 | 1050 | 46 | 1042 | 15 | 1034 | 10 |
| #3—fault breccia | ||||||||||||||||
| #3-01 | 42.6 | 1654 | 2626 | 0.63 | 0.0464 | 0.0019 | 0.0852 | 0.0036 | 0.0133 | 0.0002 | 16.8 | 106 | 83.0 | 3 | 85.5 | 1 |
| #3-02 | 39.8 | 2345 | 2217 | 1.06 | 0.0512 | 0.0020 | 0.0928 | 0.0036 | 0.0131 | 0.0001 | 250 | 92 | 90.1 | 3 | 83.8 | 1 |
| #3-03 | 49.0 | 2928 | 2841 | 1.03 | 0.0491 | 0.0019 | 0.0879 | 0.0033 | 0.0130 | 0.0001 | 154 | 89 | 85.6 | 3 | 83.4 | 1 |
| #3-04 | 55.6 | 2106 | 3661 | 0.58 | 0.0488 | 0.0016 | 0.0886 | 0.0032 | 0.0132 | 0.0002 | 139 | 78 | 86.2 | 3 | 84.3 | 1 |
| #3-05 | 29.70 | 1033 | 1817 | 0.57 | 0.0581 | 0.0024 | 0.1071 | 0.0044 | 0.0135 | 0.0002 | 532 | 89 | 103 | 4 | 86.2 | 1 |
| #3-06 | 20.44 | 900 | 1264 | 0.71 | 0.0480 | 0.0027 | 0.0863 | 0.0045 | 0.0132 | 0.0002 | 98.2 | 135 | 84.0 | 4 | 84.3 | 1 |
| #3-07 | 124.1 | 4631 | 7470 | 0.62 | 0.0500 | 0.0013 | 0.0940 | 0.0025 | 0.0136 | 0.0001 | 195 | 63 | 91.2 | 2 | 87.3 | 1 |
| #3-08 | 89.6 | 3159 | 6200 | 0.51 | 0.0490 | 0.0014 | 0.0867 | 0.0029 | 0.0128 | 0.0002 | 146 | 69 | 84.5 | 3 | 82.1 | 1 |
| #3-09 | 117.1 | 2593 | 8698 | 0.30 | 0.0494 | 0.0012 | 0.0847 | 0.0023 | 0.0124 | 0.0001 | 165 | 62 | 82.5 | 2 | 79.4 | 1 |
| #3-10 | 29.7 | 1474 | 1661 | 0.89 | 0.0494 | 0.0022 | 0.0950 | 0.0042 | 0.0141 | 0.0002 | 169 | 136 | 92.1 | 4 | 90.0 | 1 |
| #3-11 | 47.6 | 1903 | 2881 | 0.66 | 0.0475 | 0.0018 | 0.0904 | 0.0033 | 0.0139 | 0.0002 | 76.0 | 85 | 87.9 | 3 | 88.8 | 1 |
| #3-12 | 69.3 | 2731 | 4341 | 0.63 | 0.0514 | 0.0015 | 0.0947 | 0.0030 | 0.0133 | 0.0002 | 261 | 69 | 91.9 | 3 | 85.1 | 1 |
| #3-13 | 62.2 | 2212 | 4051 | 0.55 | 0.0478 | 0.0014 | 0.0865 | 0.0027 | 0.0131 | 0.0001 | 100 | 75 | 84.2 | 2 | 84.0 | 1 |
| #3-14 | 104.5 | 2375 | 7645 | 0.31 | 0.0489 | 0.0012 | 0.0842 | 0.0021 | 0.0124 | 0.0001 | 146 | 49 | 82.1 | 2 | 79.7 | 1 |
| #3-15 | 4.42 | 176 | 257 | 0.68 | 0.0524 | 0.0038 | 0.1019 | 0.0066 | 0.0145 | 0.0003 | 302 | 167 | 98.5 | 6 | 92.5 | 2 |
| #3-16 | 3.84 | 60.6 | 133 | 0.45 | 0.0495 | 0.0035 | 0.1690 | 0.0112 | 0.0253 | 0.0004 | 169 | 159 | 159 | 10 | 161 | 3 |
| #3-17 | 8.17 | 337 | 474 | 0.71 | 0.0432 | 0.0022 | 0.0850 | 0.0042 | 0.0143 | 0.0002 | - | - | 82.8 | 4 | 91.3 | 1 |
| #3-18 | 18.57 | 654 | 1046 | 0.62 | 0.0719 | 0.0039 | 0.1477 | 0.0096 | 0.0144 | 0.0002 | 983 | 111 | 140 | 8 | 92.1 | 1 |
| #3-19 | 14.87 | 433 | 941 | 0.46 | 0.0500 | 0.0017 | 0.0963 | 0.0033 | 0.0140 | 0.0002 | 195 | 75 | 93.4 | 3 | 89.7 | 1 |
| #3-20 | 13.23 | 396 | 807 | 0.49 | 0.0520 | 0.0021 | 0.1064 | 0.0050 | 0.0146 | 0.0002 | 283 | 93 | 103 | 5 | 93.5 | 1 |
| #3-21 | 49.3 | 279 | 655 | 0.43 | 0.0564 | 0.0012 | 0.5195 | 0.0122 | 0.0665 | 0.0006 | 478 | 51 | 425 | 8 | 415 | 4 |
| #3-22 | 11.86 | 494 | 702 | 0.70 | 0.0493 | 0.0021 | 0.0944 | 0.0040 | 0.0139 | 0.0002 | 165 | 96 | 91.6 | 4 | 88.9 | 1 |
| #3-23 | 5.94 | 265 | 354 | 0.75 | 0.0480 | 0.0025 | 0.0891 | 0.0043 | 0.0137 | 0.0002 | 102 | 119 | 86.6 | 4 | 87.5 | 1 |
| #3-24 | 12.74 | 657 | 775 | 0.85 | 0.0461 | 0.0017 | 0.0832 | 0.0031 | 0.0131 | 0.0001 | 400 | -300 | 81.2 | 3 | 84.0 | 1 |
| #3-25 | 11.67 | 366 | 738 | 0.50 | 0.0547 | 0.0021 | 0.1025 | 0.0039 | 0.0136 | 0.0001 | 398 | 81 | 99.0 | 4 | 86.9 | 1 |
| MKZ2-A90—fault breccia | ||||||||||||||||
| MKZ2-A90-01 | 6.92 | 345 | 408 | 0.85 | 0.0506 | 0.0029 | 0.0949 | 0.0052 | 0.0137 | 0.0002 | 220 | 135 | 92.1 | 5 | 87.7 | 1 |
| MKZ2-A90-02 | 2.31 | 140 | 132 | 1.06 | 0.0484 | 0.0053 | 0.0846 | 0.0077 | 0.0133 | 0.0003 | 117 | 237 | 82.5 | 7 | 84.9 | 2 |
| MKZ2-A90-03 | 7.43 | 371 | 416 | 0.89 | 0.0571 | 0.0030 | 0.1077 | 0.0052 | 0.0138 | 0.0002 | 494 | 115 | 104 | 5 | 88.1 | 1 |
| MKZ2-A90-04 | 28.34 | 818 | 2025 | 0.40 | 0.0496 | 0.0015 | 0.0839 | 0.0026 | 0.0122 | 0.0001 | 189 | 75 | 81.8 | 2 | 78.3 | 1 |
| MKZ2-A90-05 | 5.13 | 263 | 294 | 0.90 | 0.0782 | 0.0056 | 0.1392 | 0.0098 | 0.0130 | 0.0002 | 1151 | 138 | 132 | 9 | 83.0 | 1 |
| MKZ2-A90-06 | 2.59 | 198 | 132 | 1.49 | 0.0605 | 0.0060 | 0.1042 | 0.0084 | 0.0132 | 0.0003 | 633 | 221 | 101 | 8 | 84.4 | 2 |
| MKZ2-A90-07 | 7.03 | 196 | 465 | 0.42 | 0.0491 | 0.0027 | 0.0886 | 0.0046 | 0.0133 | 0.0002 | 154 | 128 | 86.2 | 4 | 85.0 | 1 |
| MKZ2-A90-08 | 48.20 | 423 | 1139 | 0.37 | 0.0543 | 0.0015 | 0.2812 | 0.0076 | 0.0375 | 0.0003 | 383 | 68 | 252 | 6 | 237 | 2 |
| MKZ2-A90-09 | 2.48 | 132 | 123 | 1.07 | 0.0802 | 0.0106 | 0.1710 | 0.0249 | 0.0153 | 0.0004 | 1267 | 263 | 160 | 22 | 97.8 | 2 |
| MKZ2-A90-10 | 21.5 | 1284 | 1261 | 1.02 | 0.0461 | 0.0016 | 0.0824 | 0.0030 | 0.0129 | 0.0001 | 400 | -313 | 80.4 | 3 | 82.7 | 1 |
| MKZ2-A90-11 | 7.10 | 343 | 420 | 0.82 | 0.0497 | 0.0034 | 0.0916 | 0.0053 | 0.0136 | 0.0002 | 189 | 166 | 89.0 | 5 | 86.9 | 1 |
| MKZ2-A90-12 | 3.09 | 131 | 198 | 0.66 | 0.0494 | 0.0039 | 0.0878 | 0.0065 | 0.0129 | 0.0002 | 165 | 178 | 85.4 | 6 | 82.6 | 1 |
| MKZ2-A90-13 | 37.2 | 1322 | 2274 | 0.58 | 0.0500 | 0.0023 | 0.0784 | 0.0035 | 0.0115 | 0.0001 | 195 | 109 | 76.6 | 3 | 73.9 | 1 |
| MKZ2-A90-14 | 9.18 | 259 | 532 | 0.49 | 0.0856 | 0.0060 | 0.1810 | 0.0141 | 0.0147 | 0.0002 | 1329 | 136 | 169 | 12 | 94.1 | 1 |
| MKZ2-A90-15 | 45.02 | 207 | 519 | 0.40 | 0.0570 | 0.0014 | 0.6049 | 0.0145 | 0.0765 | 0.0007 | 500 | 54 | 480 | 9 | 475 | 4 |
| MKZ2-A90-16 | 6.19 | 275 | 376 | 0.73 | 0.0490 | 0.0027 | 0.0899 | 0.0045 | 0.0134 | 0.0002 | 150 | 128 | 87.4 | 4 | 85.8 | 1 |
| MKZ2-A90-17 | 45.2 | 280 | 553 | 0.51 | 0.0589 | 0.0014 | 0.5724 | 0.0132 | 0.0701 | 0.0005 | 561 | 52 | 460 | 9 | 437 | 3 |
| MKZ2-A90-18 | 17.35 | 261 | 379 | 0.69 | 0.0517 | 0.0018 | 0.2701 | 0.0099 | 0.0376 | 0.0005 | 276 | 81 | 243 | 8 | 238 | 3 |
| MKZ2-A90-19 | 72.2 | 396 | 891 | 0.44 | 0.0568 | 0.0011 | 0.5566 | 0.0111 | 0.0707 | 0.0005 | 483 | 43 | 449 | 7 | 440 | 3 |
| MKZ2-A90-20 | 18.82 | 287 | 669 | 0.43 | 0.0510 | 0.0019 | 0.1734 | 0.0061 | 0.0247 | 0.0002 | 239 | 83 | 162 | 5 | 157 | 1 |
| MKZ2-A90-21 | 37.6 | 1232 | 2641 | 0.47 | 0.0647 | 0.0017 | 0.1059 | 0.0030 | 0.0118 | 0.0001 | 765 | 57 | 102 | 3 | 75.6 | 1 |
| MKZ2-A90-22 | 20.91 | 642 | 1419 | 0.45 | 0.0501 | 0.0017 | 0.0890 | 0.0031 | 0.0128 | 0.0001 | 198 | 78 | 86.6 | 3 | 81.9 | 1 |
| MKZ2-A90-23 | 25.81 | 812 | 1789 | 0.45 | 0.0514 | 0.0015 | 0.0883 | 0.0026 | 0.0125 | 0.0001 | 257 | 69 | 85.9 | 2 | 79.9 | 1 |
| MKZ2-A90-24 | 44.50 | 93.2 | 572 | 0.16 | 0.0561 | 0.0012 | 0.5711 | 0.0127 | 0.0738 | 0.0006 | 454 | 48 | 459 | 8 | 459 | 4 |
| MKZ2-A90-25 | 13.68 | 203 | 301 | 0.68 | 0.0487 | 0.0020 | 0.2495 | 0.0100 | 0.0372 | 0.0004 | 200 | 99 | 226 | 8 | 235 | 2 |
| #7—conglomerate | ||||||||||||||||
| #7-01 | 23.18 | 154 | 284 | 0.54 | 0.0542 | 0.0024 | 0.4903 | 0.0211 | 0.0662 | 0.0010 | 389 | 102 | 405 | 14 | 413 | 6 |
| #7-02 | 25.71 | 339 | 563 | 0.60 | 0.0479 | 0.0020 | 0.2435 | 0.0098 | 0.0368 | 0.0004 | 98.2 | 96 | 221 | 8 | 233 | 3 |
| #7-03 | 26.43 | 260 | 485 | 0.54 | 0.0552 | 0.0022 | 0.3326 | 0.0127 | 0.0438 | 0.0005 | 420 | 89 | 292 | 10 | 276 | 3 |
| #7-04 | 44.4 | 780 | 954 | 0.82 | 0.0597 | 0.0021 | 0.3005 | 0.0095 | 0.0369 | 0.0006 | 591 | 71 | 267 | 7 | 234 | 3 |
| #7-05 | 51.0 | 338 | 595 | 0.57 | 0.0539 | 0.0017 | 0.5227 | 0.0164 | 0.0697 | 0.0008 | 369 | 69 | 427 | 11 | 434 | 5 |
| #7-06 | 102.8 | 66.0 | 166 | 0.40 | 0.1782 | 0.0045 | 12.1595 | 0.3109 | 0.4897 | 0.0054 | 2637 | 43 | 2617 | 24 | 2569 | 24 |
| #7-07 | 60.0 | 138 | 392 | 0.35 | 0.0712 | 0.0023 | 1.2595 | 0.0417 | 0.1264 | 0.0015 | 965 | 65 | 828 | 19 | 767 | 9 |
| #7-08 | 13.16 | 45.8 | 90.6 | 0.51 | 0.0620 | 0.0036 | 1.0510 | 0.0578 | 0.1228 | 0.0018 | 672 | 126 | 729 | 29 | 747 | 10 |
| #7-09 | 114.7 | 113 | 460 | 0.25 | 0.0967 | 0.0025 | 2.9010 | 0.0736 | 0.2151 | 0.0022 | 1561 | 44 | 1382 | 19 | 1256 | 12 |
| #7-10 | 27.19 | 160 | 655 | 0.24 | 0.0550 | 0.0022 | 0.2839 | 0.0109 | 0.0372 | 0.0004 | 413 | 91 | 254 | 9 | 235 | 2 |
| #7-11 | 115.0 | 615 | 1379 | 0.45 | 0.0568 | 0.0014 | 0.5688 | 0.0144 | 0.0718 | 0.0008 | 483 | 56 | 457 | 9 | 447 | 5 |
| #7-12 | 32.13 | 215 | 350 | 0.62 | 0.0580 | 0.0022 | 0.6099 | 0.0229 | 0.0756 | 0.0010 | 528 | 77 | 483 | 14 | 470 | 6 |
| #7-13 | 153.7 | 118 | 407 | 0.29 | 0.1191 | 0.0031 | 5.3034 | 0.1402 | 0.3189 | 0.0031 | 1942 | 47 | 1869 | 23 | 1784 | 15 |
| #7-14 | 26.47 | 142 | 343 | 0.41 | 0.0548 | 0.0022 | 0.4917 | 0.0188 | 0.0648 | 0.0008 | 467 | 95 | 406 | 13 | 405 | 5 |
| #7-15 | 26.72 | 463 | 1374 | 0.34 | 0.0780 | 0.0028 | 0.1741 | 0.0062 | 0.0161 | 0.0002 | 1147 | 70 | 163 | 5 | 103 | 1 |
| #7-16 | 34.89 | 168 | 391 | 0.43 | 0.0568 | 0.0019 | 0.5948 | 0.0194 | 0.0754 | 0.0008 | 487 | 79 | 474 | 12 | 469 | 5 |
| #7-17 | 19.48 | 129 | 226 | 0.57 | 0.0561 | 0.0025 | 0.5358 | 0.0226 | 0.0694 | 0.0009 | 454 | 98 | 436 | 15 | 433 | 6 |
| #7-18 | 10.77 | 50.3 | 58.4 | 0.86 | 0.0673 | 0.0033 | 1.3829 | 0.0654 | 0.1489 | 0.0022 | 850 | 100 | 882 | 28 | 895 | 12 |
| #7-19 | 12.08 | 79.7 | 137 | 0.58 | 0.0574 | 0.0031 | 0.5581 | 0.0287 | 0.0707 | 0.0011 | 506 | 119 | 450 | 19 | 440 | 7 |
| #7-20 | 22.31 | 191 | 244 | 0.78 | 0.0572 | 0.0025 | 0.5616 | 0.0240 | 0.0708 | 0.0009 | 498 | 98 | 453 | 16 | 441 | 6 |
| #7-21 | 10.55 | 279 | 531 | 0.52 | 0.0557 | 0.0034 | 0.1222 | 0.0070 | 0.0160 | 0.0002 | 439 | 139 | 117 | 6 | 103 | 2 |
| #7-22 | 68.7 | 285 | 780 | 0.37 | 0.0554 | 0.0016 | 0.5835 | 0.0175 | 0.0755 | 0.0009 | 432 | 65 | 467 | 11 | 469 | 5 |
| #7-23 | 17.17 | 103 | 195 | 0.53 | 0.0590 | 0.0026 | 0.5865 | 0.0256 | 0.0717 | 0.0010 | 565 | 91 | 469 | 16 | 446 | 6 |
| #7-24 | 33.0 | 300 | 352 | 0.85 | 0.0569 | 0.0018 | 0.5452 | 0.0167 | 0.0691 | 0.0008 | 487 | 77 | 442 | 11 | 431 | 5 |
| #7-25 | 22.73 | 58.2 | 101 | 0.58 | 0.0733 | 0.0027 | 1.8182 | 0.0752 | 0.1760 | 0.0034 | 1033 | 75 | 1052 | 27 | 1045 | 19 |
Appendix E
| NS | Area (10−5) | ρS (105) | U (ppm) | AU (10−5) | 1σ (U-ppm) | Date (Ma) | 1σ (Ma) | Dpar (μm) |
|---|---|---|---|---|---|---|---|---|
| TTL-23—rhyolite porphyry | ||||||||
| 2 | 1.60 | 1.25 | 4.72 | 7.60 | 0.07 | 46.76 | 33.41 | 2.0 |
| 3 | 1.60 | 1.88 | 5.14 | 8.20 | 0.08 | 64.27 | 37.68 | 3.2 |
| 7 | 1.60 | 4.38 | 13.39 | 21.00 | 0.20 | 57.64 | 22.57 | 3.1 |
| 3 | 1.60 | 1.88 | 5.40 | 8.60 | 0.08 | 61.22 | 35.89 | 3.1 |
| 3 | 1.60 | 1.88 | 5.26 | 8.40 | 0.08 | 62.88 | 36.87 | 3.3 |
| 2 | 1.60 | 1.25 | 3.66 | 5.90 | 0.05 | 60.20 | 43.01 | 3.5 |
| 2 | 1.60 | 1.25 | 4.61 | 7.40 | 0.07 | 47.84 | 34.18 | 3.2 |
| 2 | 1.60 | 1.25 | 66.94 | 110.00 | 1.00 | 3.31 | 2.36 | 2.8 |
| 3 | 1.60 | 1.88 | 4.80 | 7.70 | 0.07 | 68.80 | 40.34 | 3.0 |
| 4 | 1.60 | 2.50 | 5.00 | 8.00 | 0.07 | 88.04 | 44.92 | 3.1 |
| 5 | 1.60 | 3.13 | 3.66 | 5.90 | 0.05 | 149.44 | 68.55 | 3.0 |
| 5 | 1.60 | 3.13 | 7.58 | 12.00 | 0.11 | 72.60 | 33.30 | 2.9 |
| 2 | 1.60 | 1.25 | 5.76 | 9.20 | 0.09 | 38.35 | 27.39 | 3.1 |
| 4 | 1.60 | 2.50 | 3.95 | 6.30 | 0.06 | 111.05 | 56.67 | 3.0 |
| 12 | 1.60 | 7.50 | 21.85 | 35.00 | 0.33 | 60.53 | 18.53 | 2.3 |
| 7 | 1.60 | 4.38 | 4.56 | 7.30 | 0.07 | 167.73 | 65.66 | 3.1 |
| 1 | 1.60 | 0.63 | 4.23 | 6.80 | 0.06 | 26.10 | 26.24 | 2.8 |
| 5 | 1.60 | 3.13 | 3.74 | 6.00 | 0.06 | 146.40 | 67.15 | 2.5 |
| 4 | 1.60 | 2.50 | 3.62 | 5.80 | 0.05 | 121.36 | 61.93 | 2.8 |
| 2 | 1.60 | 1.25 | 5.42 | 8.70 | 0.08 | 40.77 | 29.13 | 3.1 |
| 4 | 1.60 | 2.50 | 4.53 | 7.20 | 0.07 | 97.10 | 49.55 | 2.5 |
| 1 | 1.60 | 0.63 | 4.89 | 7.80 | 0.07 | 22.61 | 22.72 | 3.0 |
| 4 | 1.60 | 2.50 | 4.96 | 7.90 | 0.07 | 88.79 | 45.31 | 3.1 |
| 4 | 1.60 | 2.50 | 5.11 | 8.20 | 0.08 | 86.16 | 43.97 | 3.2 |
| 2 | 1.60 | 1.25 | 4.46 | 7.10 | 0.07 | 49.45 | 35.33 | 3.0 |
| 3 | 1.60 | 1.88 | 37.24 | 60.00 | 0.56 | 8.92 | 5.23 | 3.1 |
| 4 | 1.60 | 2.50 | 4.41 | 7.10 | 0.07 | 99.68 | 50.87 | 3.0 |
| 2 | 1.60 | 1.25 | 5.07 | 8.10 | 0.08 | 43.53 | 31.10 | 3.0 |
| 3 | 1.60 | 1.88 | 4.36 | 7.00 | 0.07 | 75.78 | 44.43 | 3.0 |
| 5 | 1.60 | 3.13 | 5.65 | 9.00 | 0.08 | 97.25 | 44.61 | 3.2 |
| 24 | 1.60 | 15.00 | 58.32 | 93.00 | 0.87 | 45.42 | 10.36 | 2.5 |
| 4 | 1.60 | 2.50 | 3.57 | 5.70 | 0.05 | 122.88 | 62.71 | 3.2 |
| 4 | 1.60 | 2.50 | 4.47 | 7.10 | 0.07 | 98.45 | 50.24 | 3.1 |
| 3 | 1.60 | 1.88 | 4.79 | 7.70 | 0.07 | 68.97 | 40.44 | 2.8 |
| 4 | 1.60 | 2.50 | 4.03 | 6.50 | 0.06 | 108.88 | 55.56 | 3.0 |
| 8 | 1.60 | 5.00 | 5.47 | 8.80 | 0.08 | 159.85 | 58.82 | 3.8 |
| 2 | 1.60 | 1.25 | 5.14 | 8.20 | 0.08 | 42.96 | 30.69 | 3.1 |
| 4 | 1.60 | 2.50 | 4.25 | 6.80 | 0.06 | 103.49 | 52.81 | 3.0 |
| 4 | 1.60 | 2.50 | 5.51 | 8.80 | 0.08 | 79.92 | 40.78 | 3.2 |
| 2 | 1.60 | 1.25 | 2.84 | 4.50 | 0.04 | 77.51 | 55.37 | 3.8 |
| #1—fault breccia | ||||||||
| 2 | 1.60 | 1.25 | 3.01 | 4.80 | 0.05 | 75.27 | 53.77 | 1.9 |
| 2 | 1.60 | 1.25 | 5.31 | 8.50 | 0.08 | 42.77 | 30.56 | 2.9 |
| 3 | 1.60 | 1.88 | 3.97 | 6.40 | 0.06 | 85.41 | 50.07 | 3.0 |
| 3 | 1.60 | 1.88 | 6.08 | 9.70 | 0.09 | 55.98 | 32.82 | 3.1 |
| 3 | 1.60 | 1.88 | 4.31 | 6.90 | 0.06 | 78.85 | 46.23 | 2.2 |
| 2 | 1.60 | 1.25 | 4.49 | 7.20 | 0.07 | 50.51 | 36.08 | 2.3 |
| 3 | 1.60 | 1.88 | 3.93 | 6.30 | 0.06 | 86.38 | 50.64 | 2.7 |
| 2 | 1.60 | 1.25 | 5.03 | 8.00 | 0.08 | 45.12 | 32.23 | 2.3 |
| 4 | 1.60 | 2.50 | 5.80 | 9.30 | 0.09 | 78.01 | 39.81 | 2.5 |
| 4 | 1.60 | 2.50 | 4.29 | 6.90 | 0.06 | 105.33 | 53.75 | 2.2 |
| 2 | 1.60 | 1.25 | 5.32 | 8.50 | 0.08 | 42.64 | 30.47 | 2.0 |
| 6 | 1.60 | 3.75 | 4.72 | 7.60 | 0.07 | 143.09 | 60.21 | 2.0 |
| 2 | 1.60 | 1.25 | 4.56 | 7.30 | 0.07 | 49.71 | 35.51 | 2.4 |
| 1 | 1.60 | 0.63 | 3.96 | 6.30 | 0.06 | 28.69 | 28.84 | 2.3 |
| 17 | 1.60 | 10.60 | 43.99 | 70.00 | 0.66 | 43.85 | 11.54 | 2.5 |
| 1 | 1.60 | 0.63 | 4.78 | 7.60 | 0.07 | 23.79 | 23.91 | 2.2 |
| 2 | 0.90 | 2.22 | 3.10 | 2.80 | 0.05 | 129.34 | 92.41 | 2.6 |
| 1 | 1.60 | 0.63 | 3.81 | 6.10 | 0.06 | 29.81 | 29.97 | 2.3 |
| 1 | 1.60 | 0.63 | 4.17 | 6.70 | 0.06 | 27.25 | 27.39 | 2.1 |
| 2 | 1.60 | 1.25 | 6.03 | 9.70 | 0.09 | 37.64 | 26.89 | 2.5 |
| 3 | 1.60 | 1.88 | 5.39 | 8.60 | 0.08 | 63.06 | 36.97 | 2.5 |
| 5 | 1.60 | 3.13 | 5.06 | 8.10 | 0.08 | 111.49 | 51.14 | 2.3 |
| 4 | 1.60 | 2.50 | 4.61 | 7.40 | 0.07 | 98.04 | 50.03 | 2.0 |
| 2 | 1.60 | 1.25 | 4.92 | 7.90 | 0.07 | 46.13 | 32.95 | 2.2 |
| 3 | 1.60 | 1.88 | 3.47 | 5.50 | 0.05 | 97.81 | 57.34 | 2.3 |
| 2 | 1.60 | 1.25 | 4.25 | 6.80 | 0.06 | 53.41 | 38.16 | 3.0 |
| 4 | 1.60 | 2.50 | 3.70 | 5.90 | 0.06 | 121.98 | 62.25 | 2.9 |
| 1 | 1.60 | 0.63 | 4.87 | 7.80 | 0.07 | 23.35 | 23.47 | 2.5 |
| 2 | 1.60 | 1.25 | 7.54 | 12.00 | 0.11 | 30.12 | 21.52 | 2.4 |
| 2 | 1.60 | 1.25 | 4.87 | 7.80 | 0.07 | 46.64 | 33.32 | 2.1 |
| 1 | 1.60 | 0.63 | 5.19 | 8.30 | 0.08 | 21.91 | 22.03 | 2.9 |
| 1 | 1.60 | 0.63 | 5.37 | 8.60 | 0.08 | 21.17 | 21.28 | 2.2 |
| 2 | 1.60 | 1.25 | 3.33 | 5.30 | 0.05 | 67.95 | 48.55 | 2.3 |
| 4 | 1.60 | 2.50 | 3.38 | 5.40 | 0.05 | 133.44 | 68.09 | 3.1 |
| 3 | 1.60 | 1.88 | 5.58 | 8.90 | 0.08 | 60.91 | 35.71 | 3.0 |
| 1 | 1.60 | 0.63 | 1.94 | 3.10 | 0.03 | 58.40 | 58.70 | 2.2 |
| 3 | 1.60 | 1.88 | 4.89 | 7.80 | 0.07 | 69.55 | 40.78 | 2.1 |
| #3—fault breccia | ||||||||
| 4 | 1.60 | 2.50 | 7.06 | 11.00 | 0.11 | 62.43 | 31.86 | 2.3 |
| 4 | 1.60 | 2.50 | 4.95 | 7.90 | 0.07 | 88.83 | 45.33 | 2.8 |
| 5 | 1.60 | 3.13 | 4.63 | 7.40 | 0.07 | 118.62 | 54.41 | 2.2 |
| 4 | 1.60 | 2.50 | 5.93 | 9.50 | 0.09 | 74.32 | 37.93 | 2.2 |
| 2 | 1.60 | 1.25 | 13.54 | 22.00 | 0.20 | 16.34 | 11.67 | 2.2 |
| 5 | 1.60 | 3.13 | 5.05 | 8.10 | 0.08 | 108.68 | 49.85 | 2.6 |
| 3 | 1.60 | 1.88 | 5.23 | 8.40 | 0.08 | 63.17 | 37.04 | 2.3 |
| 3 | 1.60 | 1.88 | 5.86 | 9.40 | 0.09 | 56.45 | 33.10 | 2.1 |
| 5 | 1.60 | 3.13 | 5.69 | 9.10 | 0.09 | 96.56 | 44.29 | 2.3 |
| 3 | 1.60 | 1.88 | 5.63 | 9.00 | 0.08 | 58.76 | 34.45 | 2.1 |
| 2 | 1.60 | 1.25 | 4.23 | 6.80 | 0.06 | 52.18 | 37.28 | 2.6 |
| 3 | 1.60 | 1.88 | 5.38 | 8.60 | 0.08 | 61.50 | 36.06 | 2.1 |
| 5 | 1.60 | 3.13 | 4.27 | 6.80 | 0.06 | 128.52 | 58.95 | 2.2 |
| 4 | 1.60 | 2.50 | 4.54 | 7.30 | 0.07 | 96.86 | 49.43 | 2.6 |
| 2 | 1.60 | 1.25 | 5.76 | 9.20 | 0.09 | 38.31 | 27.37 | 2.8 |
| 1 | 1.60 | 0.63 | 4.54 | 7.30 | 0.07 | 24.37 | 24.50 | 2.2 |
| 5 | 1.60 | 3.13 | 5.84 | 9.40 | 0.09 | 94.07 | 43.15 | 2.9 |
| 2 | 1.60 | 1.25 | 5.06 | 8.10 | 0.08 | 43.66 | 31.19 | 3.0 |
| 3 | 1.60 | 1.88 | 4.64 | 7.40 | 0.07 | 71.19 | 41.74 | 2.2 |
| 5 | 1.60 | 3.13 | 3.99 | 6.40 | 0.06 | 137.35 | 63.00 | 2.3 |
| 2 | 1.60 | 1.25 | 5.00 | 8.00 | 0.07 | 44.19 | 31.57 | 2.1 |
| 4 | 1.60 | 2.50 | 7.31 | 12.00 | 0.11 | 60.32 | 30.78 | 2.3 |
| 1 | 1.60 | 0.63 | 2.39 | 3.80 | 0.04 | 46.24 | 46.48 | 2.0 |
| 5 | 1.60 | 3.13 | 5.03 | 8.00 | 0.08 | 109.16 | 50.07 | 3.0 |
| 4 | 1.60 | 2.50 | 5.13 | 8.20 | 0.08 | 85.84 | 43.80 | 2.2 |
| 2 | 1.60 | 1.25 | 4.85 | 7.80 | 0.07 | 45.52 | 32.52 | 2.9 |
| 1 | 1.60 | 0.63 | 5.65 | 9.00 | 0.08 | 19.56 | 19.67 | 2.5 |
| 4 | 1.60 | 2.50 | 6.12 | 9.80 | 0.09 | 71.96 | 36.72 | 2.2 |
| 2 | 1.60 | 1.25 | 4.16 | 6.70 | 0.06 | 53.06 | 37.91 | 2.0 |
| 2 | 1.60 | 1.25 | 4.54 | 7.30 | 0.07 | 48.62 | 34.73 | 2.1 |
| 3 | 1.60 | 1.88 | 12.77 | 20.00 | 0.19 | 25.96 | 15.22 | 2.1 |
| 3 | 1.60 | 1.88 | 5.40 | 8.60 | 0.08 | 61.22 | 35.89 | 2.3 |
| 3 | 1.60 | 1.88 | 8.02 | 13.00 | 0.12 | 41.32 | 24.22 | 2.1 |
| 3 | 1.60 | 1.88 | 6.98 | 11.00 | 0.10 | 47.42 | 27.80 | 2.1 |
| 2 | 1.60 | 1.25 | 5.41 | 8.70 | 0.08 | 40.79 | 29.14 | 3.0 |
| 3 | 1.60 | 1.88 | 3.67 | 5.90 | 0.06 | 89.91 | 52.71 | 3.1 |
| 2 | 1.60 | 1.25 | 5.86 | 9.40 | 0.09 | 37.71 | 26.94 | 2.3 |
| 3 | 1.60 | 1.88 | 6.08 | 9.70 | 0.09 | 54.44 | 31.92 | 2.8 |
| 4 | 1.60 | 2.50 | 5.74 | 9.20 | 0.09 | 76.66 | 39.12 | 2.3 |
| 4 | 1.60 | 2.50 | 4.07 | 6.50 | 0.06 | 108.03 | 55.12 | 2.6 |
| MKZ2-A90—fault breccia | ||||||||
| 2 | 1.60 | 1.25 | 3.10 | 5.00 | 0.05 | 73.16 | 52.27 | 2.0 |
| 3 | 1.60 | 1.88 | 4.47 | 7.10 | 0.07 | 76.05 | 44.59 | 2.0 |
| 3 | 1.60 | 1.88 | 4.83 | 7.70 | 0.07 | 70.42 | 41.28 | 2.1 |
| 3 | 1.60 | 1.88 | 3.85 | 6.20 | 0.06 | 88.11 | 51.66 | 2.2 |
| 5 | 1.60 | 3.13 | 6.40 | 10.00 | 0.10 | 88.41 | 40.56 | 2.2 |
| 3 | 1.60 | 1.88 | 5.22 | 8.30 | 0.08 | 65.14 | 38.19 | 2.3 |
| 8 | 1.60 | 5.00 | 4.44 | 7.10 | 0.07 | 201.95 | 74.31 | 2.0 |
| 3 | 1.60 | 1.88 | 4.16 | 6.70 | 0.06 | 81.59 | 47.84 | 2.8 |
| 3 | 1.60 | 1.88 | 4.33 | 6.90 | 0.06 | 78.49 | 46.02 | 2.1 |
| 4 | 1.60 | 2.50 | 3.99 | 6.40 | 0.06 | 113.21 | 57.77 | 2.1 |
| 4 | 1.60 | 2.50 | 5.02 | 8.00 | 0.08 | 90.05 | 45.95 | 2.1 |
| 3 | 1.60 | 1.88 | 4.96 | 7.90 | 0.07 | 68.55 | 40.19 | 2.2 |
| 2 | 1.60 | 1.25 | 4.08 | 6.50 | 0.06 | 55.55 | 39.69 | 2.0 |
| 4 | 1.60 | 2.50 | 5.86 | 9.40 | 0.09 | 77.23 | 39.41 | 2.1 |
| 2 | 1.60 | 1.25 | 4.61 | 7.40 | 0.07 | 49.17 | 35.13 | 2.1 |
| 2 | 1.60 | 1.25 | 4.64 | 7.40 | 0.07 | 48.91 | 34.94 | 1.9 |
| 2 | 1.60 | 1.25 | 5.23 | 8.40 | 0.08 | 43.42 | 31.02 | 2.2 |
| 3 | 1.60 | 1.88 | 4.68 | 7.50 | 0.07 | 72.52 | 42.52 | 2.4 |
| 7 | 1.60 | 4.38 | 26.19 | 42.00 | 0.39 | 30.36 | 11.89 | 2.1 |
| 3 | 1.60 | 1.88 | 4.95 | 7.90 | 0.07 | 68.65 | 40.25 | 2.2 |
| 2 | 1.60 | 1.25 | 4.03 | 6.50 | 0.06 | 56.21 | 40.15 | 2.1 |
| 2 | 1.60 | 1.25 | 5.62 | 9.00 | 0.08 | 40.39 | 28.86 | 2.0 |
| 3 | 1.60 | 1.88 | 5.22 | 8.40 | 0.08 | 65.11 | 38.17 | 2.4 |
| 6 | 1.60 | 3.75 | 3.52 | 5.60 | 0.05 | 191.42 | 80.55 | 2.2 |
| 4 | 1.60 | 2.50 | 5.02 | 8.00 | 0.08 | 90.11 | 45.98 | 2.2 |
| 3 | 1.60 | 1.88 | 4.65 | 7.40 | 0.07 | 73.00 | 42.80 | 2.1 |
| 2 | 1.60 | 1.25 | 4.53 | 7.20 | 0.07 | 50.13 | 35.81 | 2.1 |
| 2 | 1.60 | 1.25 | 5.12 | 8.20 | 0.08 | 44.29 | 31.64 | 2.1 |
| 9 | 1.60 | 5.63 | 4.78 | 7.60 | 0.07 | 211.04 | 73.57 | 2.5 |
| 4 | 1.60 | 2.50 | 5.17 | 8.30 | 0.08 | 87.56 | 44.68 | 2.3 |
| 4 | 1.60 | 2.50 | 5.96 | 9.50 | 0.09 | 75.92 | 38.74 | 2.2 |
| 4 | 1.60 | 2.50 | 4.84 | 7.80 | 0.07 | 93.34 | 47.63 | 2.1 |
| 3 | 1.60 | 1.88 | 4.91 | 7.80 | 0.07 | 69.26 | 40.61 | 2.2 |
| 4 | 1.60 | 2.50 | 4.76 | 7.60 | 0.07 | 95.04 | 48.50 | 2.1 |
| 5 | 1.60 | 3.13 | 4.96 | 7.90 | 0.07 | 113.77 | 52.19 | 2.0 |
| 5 | 1.60 | 3.13 | 5.42 | 8.70 | 0.08 | 104.20 | 47.80 | 2.4 |
| 6 | 1.60 | 3.75 | 2.49 | 4.00 | 0.04 | 268.39 | 112.94 | 2.5 |
| 3 | 1.60 | 1.88 | 5.34 | 8.50 | 0.08 | 63.66 | 37.32 | 2.1 |
| 2 | 1.60 | 1.25 | 4.47 | 7.10 | 0.07 | 50.77 | 36.27 | 2.1 |
| 3 | 1.60 | 1.88 | 4.55 | 7.30 | 0.07 | 74.72 | 43.81 | 2.6 |
References
- Foster, D.A.; Ehlers, K. 40Ar/39Ar thermochronology of the southern Gawler craton, Australia: Implications for Mesoproterozoic and Neoproterozoic tectonics of east Gondwana and Rodinia. J. Geophys. Res. 1998, 103, 10177–10193. [Google Scholar] [CrossRef]
- Dezes, D.J.; Vannay, J.C.; Steck, A.; Bussy, F.; Cosca, M. Synorogenic extension: Quantitative constraints on the age and displacement of the Zanskar shear zone (northern Himalaya). Geol. Soc. Am. Bull. 1999, 111, 364–374. [Google Scholar] [CrossRef]
- Lee, H.; Yang, J. ESR dating of the Eupchon fault, South Korea. Quat. Geochronol. 2007, 2, 392–397. [Google Scholar] [CrossRef]
- Hu, L.; He, D.F.; Hu, D.G. Electron Spin Resonance Dating of the Late Cenozoic Deformation of the Huoerguosi-Manas-Tugulu Reverse Faults along Southern Edge of Junggar Basin. Acta Geosci. Sin. 2005, 2, 121–126, (In Chinese with English Abstract). [Google Scholar]
- Wang, X.M.; Zhong, D.L.; Zhang, J.J.; Ji, J.Q.; Wang, X.S. Low-Temperature Thermchronological Constraints on Sinistral Strike-Slip Movement of the Yi-Shu Fault Zone between the Late Cretaceous and Early Paleogene. Acta Geol. Sin. 2007, 81, 454–465, (In Chinese with English Abstract). [Google Scholar]
- Zhu, Y.L.; Liang, Z.R.; Shi, R.J. The Determination of Age of the Fault Activities of Shougou Hill, Guangzhou by Thermoluminescence Dating and Nuclear Fission Track Dating. Acta Sci. Nat. Univ. Sunyatseni 1996, 35, 54–58, (In Chinese with English Abstract). [Google Scholar]
- Zhang, F.; Lin, W.; Zhou, J. The age of Xiannü Mountain fracture belt in Three-Gorge region. Chin. Sci. Bull. 1999, 44, 744–747. [Google Scholar] [CrossRef]
- Wölfler, A.; Kurz, W.; Danišík, M.; Rabitsch, R. Dating of fault zone activity by apatite fission track and apatite (U–Th)/He hermochronometry: A case study from the Lavanttal fault system (Eastern Alps). Terra Nova. 2010, 22, 274–282. [Google Scholar]
- Tagami, T. Application of Fission-Track Thermochronology to Understand Fault Zones. In Fission-Track Thermochronology and its Application to Geology; Malusà, M.G., Fitzgerald, P.G., Eds.; Springer International Publishing: Cham, Switzerland, 2019; pp. 221–233. [Google Scholar]
- Xiang, H.F.; Wan, J.L.; Han, Z.J.; Guo, S.M.; Zhang, W.X.; Chen, L.C.; Dong, X.Q. Geological analysis and FT dating of the large-scale right-lateral strike-slip movement of the Red River fault zone. Sci. China Ser D-Earth Sci. 2007, 50, 331–342. [Google Scholar] [CrossRef]
- Ito, H. Apatite fission-track dating of fault-related rocks along the Nojima and Kusumoto faults and its tectonic significance. Geophys. Res. Lett. 2004, 31, 1–4. [Google Scholar] [CrossRef]
- Zhang, B.L.; Liu, R.X.; Xiang, H.F.; Wan, J.L.; Huang, X.N. FT dating of fault rocks in the central-southern section of the red river fault zone and its geological implications. Seismol. Geol. 2009, 31, 44–56, (In Chinese with English Abstract). [Google Scholar]
- Warren-Smith, E.; Lamb, S.; Seward, D.; Smith, E.; Herman, F.; Stern, T. Thermochronological evidence of a low-angle, mid-crustal detachment plane beneath the central South Island, New Zealand. Geochem. Geophys. Geosystems 2016, 17, 4212–4235. [Google Scholar] [CrossRef]
- Yamada, R.; Matsuda, T.; Omura, K. Apatite and zircon fission-track dating from the Hirabayashi-NIED borehole, Nojima Fault, Japan: Evidence for anomalous heating in fracture zones. Tectonophysics 2007, 443, 153–160. [Google Scholar] [CrossRef]
- d’Alessio, M.A.; Blythe, A.E.; Bürgman, R. No frictional heat along the San Gabriel fault, California: Evidence from fission-track thermochronology. Geology 2003, 31, 541–544. [Google Scholar] [CrossRef]
- Guangdong Geological Bureau. Regional Geological Record of Guangdong Province; Geology Press: Beijing, China, 1988. [Google Scholar]
- Ren, D.J.; Shen, S.L.; Cheng, W.C.; Zhang, N.; Wang, Z.F. Geological formation and geo-hazards during subway construction in Guangzhou. Environ. Earth Sci. 2016, 75, 1–14. [Google Scholar] [CrossRef]
- Ren, Z.H.; Ye, X.W.; Huang, J.T.; Liao, G.J.; Sun, C.C.; Liu, T.Y.; Qiao, J.H.; Wei, W. Deep faults interpreted by gravity-magnetic data in the pearl river delta region and their neotectonic significance. Quat. Sci. 2009, 29, 625–632, (In Chinese with English Abstract). [Google Scholar]
- Bi, L.S.; Huang, J.T.; Ren, Z.H.; Ye, X.W.; Lu, B.H.; Liu, T.Y.; Qiao, J.H. Deep faults in the Pearl River Delta region based on aeromagnetic data interpretation. Acta Sci. Nat. Univ. Sunyatseni 2021, 60, 90–99, (In Chinese with English Abstract). [Google Scholar]
- Zou, H.P.; Qiu, Y.X.; Zhuang, W.M.; Shao, R.S. Determination of deformation stages of the Shougouling fault zone in the Guanzhou area. Reg. Geol. China 2001, 1, 67–81, (In Chinese with English Abstract). [Google Scholar]
- Guo, Q.H.; Guo, L.T.; Chen, P.L. Assessment of Urban Seismogeologic Disasters in Guangzhou City. S. China J. Seismol. 2008, 2, 85–94, (In Chinese with English Abstract). [Google Scholar]
- Li, J.R.; Wu, Q.S.; Liu, S. Study on the Characteristics of Fault and Suggestion of Engineering Measures at Jiangtai Road Station of Guangzhou Metro Extend Two & Eight. Guangzhou Archit. 2006, 6, 28–32, (In Chinese with English Abstract). [Google Scholar]
- Pan, J.X. Seismogenic structure in Guangzhou area and its seismic risk. S. China J. Seismol. 1992, 12, 32–41, (In Chinese with English Abstract). [Google Scholar]
- Yan, P.; Liu, H.L. Temporal and spatial distributions of meso-cenozoic igneous rocks over south China sea. J. Trop. Oceanogr. 2005, 2, 33–41, (In Chinese with English Abstract). [Google Scholar]
- Lin, B.H.; Yang, S.Z.; Zhu, B.S.; Wu, H.X. Geological structure and basic geotechnical characteristics in guangdong province. Chin. J. Rock Mech. Eng. 2006, 25, 3337–3346, (In Chinese with English Abstract). [Google Scholar]
- Hou, W.S.; Chen, X.W.; Yang, Q.C.; Chen, Y.H. The uncertainty analysis of 3D fault zone model and its application in metro engineering. Acta Sci. Nat. Univ. Sunyatseni 2021, 60, 58–67, (In Chinese with English Abstract). [Google Scholar]
- Dong, H.G. Activity and Tectonic Evolution of Major North-West Trending Faults in the Pearl River Delta; China University of Geosciences Press: Wuhan, China, 2015. [Google Scholar]
- Hou, M.C.; Chen, H.D.; Li, Z.Z.; Wan, L.; Li, G.X. Study on the Depositional system of the Sanshui basin, Guangdong, China. Geol. Bull. China 2006, 25, 1175–1183, (In Chinese with English Abstract). [Google Scholar]
- Chen, P.P. The Response of Late Cretaceous-Eocene Epoch Volcanic and Sedimentary Sequence in Sanshui Basin to the Tectonic Evolution of the Northern Margin of South China Sea. Ph.D. Thesis, China University of Geosciences, Beijing, China, 2018; p. 118, (In Chinese with English Abstract). [Google Scholar]
- Liu, Y.S.; Hu, Z.C.; Zong, K.Q.; Gao, C.G.; Gao, S.; Xu, J.; Chen, H.H. Reappraisement and refinement of zircon U-Pb isotope and trace element analyses by LA-ICP-MS. Chin. Sci. Bull. 2010, 55, 1535–1546. [Google Scholar] [CrossRef]
- Ludwig, K.R. ISOPLOT 3.0: A Geochronological Toolkit for Microsoft Excel; Berkeley Geochronology Center Special Publication: Berkeley, CA, USA, 2003. [Google Scholar]
- Soares, C.J.; Guedes, S.; Hadler, J.C.; Mertz-Kraus, R.; Zack, T.; Iunes, P.J. Novel calibration for LA-ICP-MS based fission-track thermochronology. Phys. Chem. Min. 2014, 41, 65–73. [Google Scholar] [CrossRef]
- Soares, C.J.; Mertz-Klaus, R.; Guedes, S.; Stockli, D.F.; Zack, T. Characterization of apatites as potential trace element reference materials for fission-track dating by LA-ICP-MS. Geostand. Geoanalytical Res. 2014, 39, 305–313. [Google Scholar] [CrossRef]
- Ding, R.X. Low temperature thermal history reconstruction based on apatite fission-track length distribution and apatite U-Th/He age using Low-T Thermo. J. Earth Sci. China 2020, 1–24. [Google Scholar]
- Vermeesch, P. Radial Plotter: A Java application for fission track, luminescence and other radial plots. Radiat. Meas. 2009, 44, 409–410. [Google Scholar] [CrossRef]
- Ketcham, R.A.; Carter, A.; Donelick, R.A.; Barbarand, J.; Hurford, A.J. Improved modeling of fission-track annealing in apatite. Am. Miner. 2007, 92, 799–810. [Google Scholar] [CrossRef]
- Li, X.M.; Zou, H.P. Late Cretaceous-Cenozoic exhumation of the southeastern margin of Coastal Mountains, SE China, revealed by fission-track thermochronology: Implications for the topographic evolution. Solid Earth Sci. 2017, 2, 79–88. [Google Scholar] [CrossRef]
- Tang, D.L.K.; Seward, D.; Wilson, C.J.N.; Sewell, R.J.; Carter, A.; Paul, B.T. Thermotectonic history of SE China since the Late Mesozoic: Insights from detailed thermochronological studies of Hong Kong. J. Geol. Soc. 2014, 171, 591–604. [Google Scholar] [CrossRef]
- Ding, R.X.; Min, K.; Zou, H.P. Inversion of topographic evolution using low-T thermal history: A case study from coastal mountain system in Southeastern China. Gondwana Res. 2019, 67, 21–32. [Google Scholar] [CrossRef]






| Sample | Depth (m) | N (Grains) | Ns (Tracks) | Rho (s) ×106 | Rho (Zeta) ×105 | Zeta (mMS) ×103 | UUNK (µg/g) | Pooled Age (Ma) | Central Age (Ma) | Minimum Age (Ma) | p (χ2) | Mean Length (μm) | n (Tracks) |
|---|---|---|---|---|---|---|---|---|---|---|---|---|---|
| TTL-23 | 41.8–41.9 | 40 | 169 | 0.26 | 1.65 | 1.772 | 9.06 | 51.5 ± 4.2 | 71.6 ± 7.3 | 52.1 ± 13.1 | 0.01 | 14.92 ± 0.84 | 98 |
| #1 | ~24 | 37 | 106 | 0.82 | 1.65 | 1.772 | 2.25 | 57.9 ± 5.8 | 65.5 ± 6.5 | 65.4 ± 6.5 | 0.93 | 14.93 ± 0.93 | 35 |
| #3 | ~26 | 40 | 127 | 0.19 | 1.65 | 1.772 | 5.65 | 61.9 ± 5.8 | 69.3 ± 6.3 | 69.5 ± 6.8 | 0.95 | 14.77 ± 0.97 | 108 |
| MKZ2-A90 | 28 | 40 | 145 | 0.23 | 1.65 | 1.822 | 5.26 | 70.0 ± 6.8 | 85.9 ± 8.2 | 73.1 ± 8.0 | 0.49 | 14.82 ± 0.87 | 47 |
Publisher’s Note: MDPI stays neutral with regard to jurisdictional claims in published maps and institutional affiliations. |
© 2022 by the authors. Licensee MDPI, Basel, Switzerland. This article is an open access article distributed under the terms and conditions of the Creative Commons Attribution (CC BY) license (https://creativecommons.org/licenses/by/4.0/).
Share and Cite
Ding, R.; Chen, W.; Soares, C.; Hou, W.; Li, Z.; Li, Y.; Huang, R.; Zou, H. Late Cretaceous Activity Record of the Guangsan Fault—Insights from Zircon U-Pb and Apatite Fission-Track Thermochronology. Minerals 2022, 12, 1163. https://doi.org/10.3390/min12091163
Ding R, Chen W, Soares C, Hou W, Li Z, Li Y, Huang R, Zou H. Late Cretaceous Activity Record of the Guangsan Fault—Insights from Zircon U-Pb and Apatite Fission-Track Thermochronology. Minerals. 2022; 12(9):1163. https://doi.org/10.3390/min12091163
Chicago/Turabian StyleDing, Ruxin, Weihao Chen, Cleber Soares, Weisheng Hou, Zilong Li, Yangshijia Li, Rongli Huang, and Heping Zou. 2022. "Late Cretaceous Activity Record of the Guangsan Fault—Insights from Zircon U-Pb and Apatite Fission-Track Thermochronology" Minerals 12, no. 9: 1163. https://doi.org/10.3390/min12091163
APA StyleDing, R., Chen, W., Soares, C., Hou, W., Li, Z., Li, Y., Huang, R., & Zou, H. (2022). Late Cretaceous Activity Record of the Guangsan Fault—Insights from Zircon U-Pb and Apatite Fission-Track Thermochronology. Minerals, 12(9), 1163. https://doi.org/10.3390/min12091163

