Geochronology and Geochemistry of the Xianghualing Granitic Rocks: Insights into Multi-Stage Sn-Polymetallic Mineralization in South China
Abstract
:1. Introduction
2. Geological Background
3. Sampling and Analytical Techniques
4. Results
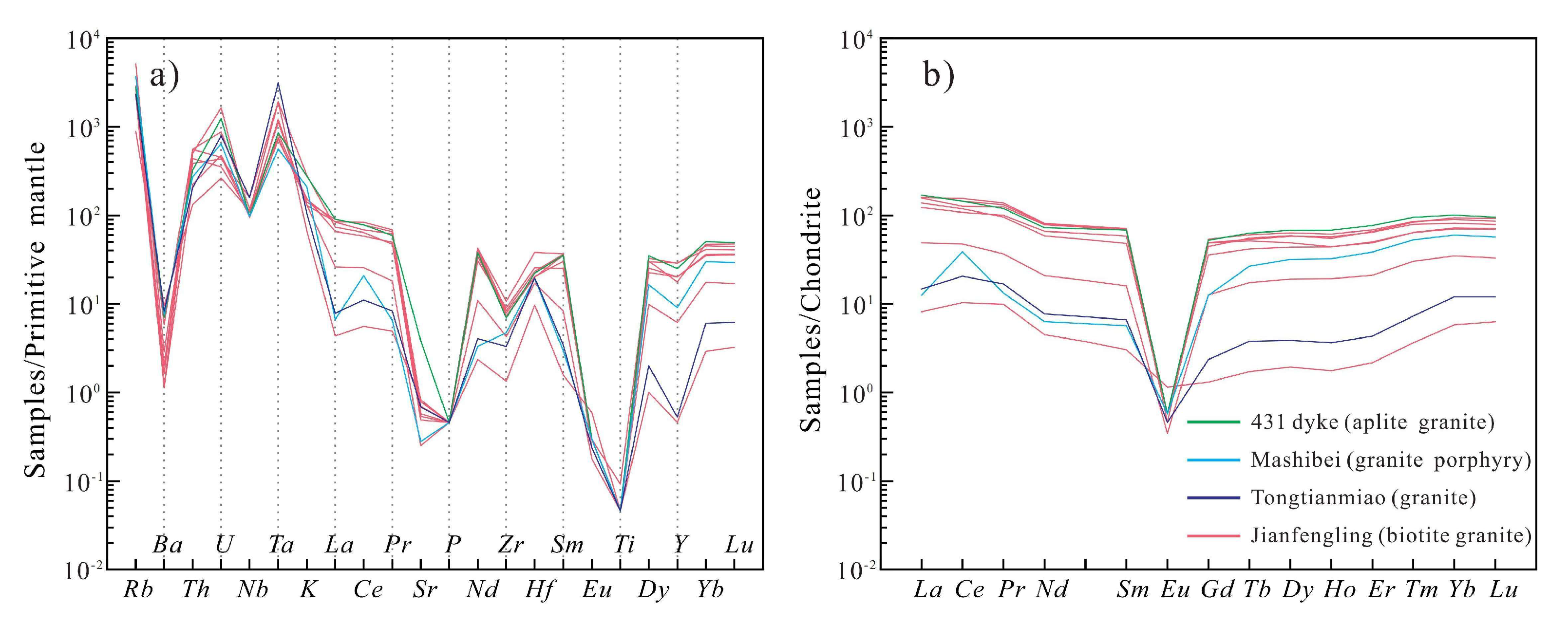
4.1. Whole-Rock Major and Trace Elements
4.2. Zircon U-Pb Geochronology
4.3. Zircon Morphology and Textures
4.4. Zircon Trace Element Geochemistry
4.5. Discrimination of Zircon Types
5. Discussion
5.1. Classification and Tectonic Setting of Granites
5.2. Magma Evolution and Provenance Characteristics
5.3. Magmatic Intrusion and Metallogenic Age
5.4. Properties and Sources of Ore-Forming Fluids
5.5. Multi-Mineralization Events
6. Conclusions
- The granites in the Xianghualing orefield are high in SiO2, Rb, Nd, Ta and Th, but low in Mg, Sr, Ti and P. The 431 aplite dyke is an A2 type peraluminous granite, whereas other granites belong to the A1 type. These A-type granites originated from partial melting of the lower crust due to decompression in an extensional within-plate environment, and later underwent significant fractional crystallization, fluid differentiation, assimilation, and contamination.
- LA-ICP-MS U-Pb dating results show that there are multiple ages and types of zircons in granites in the Xianghualing ore field, including zircons from Paleozoic (~347 Ma) and Triassic (~206 Ma) magmatic rocks, Jurassic (~161 Ma) magmatic zircons, and Early Cretaceous (~120 Ma) and Late Cretaceous (~80 Ma) hydrothermal altered zircons.
- U-Pb dating and trace element analytical results for zircons from the three plutons indicate that the ore-forming fluids associated with tin mineralization during the Cretaceous (120–80 Ma) are crust-derived, highly differentiated, and evolved P-rich and F-rich hydrothermal fluids under reducing conditions. In addition, mantle materials contributed to magma formation in the Paleozoic (~347 Ma) and Triassic (~206 Ma), suggesting that these two periods of magmatism may have led to the initial enrichment of tin elements preceding the Jurassic and Cretaceous mineralization. The Late Cretaceous (~80 Ma) zircons may be a product of superimposed alteration by cryogenic hydrothermal fluids associated with Cretaceous magmatism (relatively large intrusions at depth and/or high-level small dykes).
- The following multi-stage magmatic evolution model of the Xianghualing ore field is proposed in this paper: Paleozoic (~347 Ma) and Triassic (~206 Ma) magmatic events resulted in initial enrichment of ore-forming elements, Jurassic (~161 Ma) magmatic-hydrothermal activity gave rise to the main mineralization stage, and hydrothermal fluids developed in the Cretaceous overprinted and modified earlier mineralization with peaks in the Early Cretaceous ~120 Ma and Late Cretaceous ~80 Ma.
Supplementary Materials
Author Contributions
Funding
Data Availability Statement
Acknowledgments
Conflicts of Interest
References
- Ren, T.; Li, H. Research progress of granite-related tin mineralization. J. Cent. South Univ. Sci. Technol. 2022, 53, 514–534, (In Chinese with English abstract). [Google Scholar]
- Hu, X.J.; Li, H. Research progress and prospect of granitic pegmatite-type lithium deposits. Chin. J. Nonferrous Met. 2021, 31, 3468–3488, (In Chinese with English abstract). [Google Scholar]
- Li, H.; Watanabe, K.; Yonezu, K. Zircon morphology, geochronology and trace element geochemistry of the granites from the Huangshaping polymetallic deposit, South China: Implications for the magmatic evolution and mineralization processes. Ore Geol. Rev. 2014, 60, 14–35. [Google Scholar] [CrossRef]
- Jiang, W.C.; Li, H.; Mathur, R.; Wu, J.H. Genesis of the giant Shizhuyuan W−Sn−Mo−Bi−Pb−Zn polymetallic deposit, South China: Constraints from zircon geochronology and geochemistry in skarns. Ore Geol. Rev. 2019, 111, 102980. [Google Scholar] [CrossRef]
- Liu, B.; Wu, Q.H.; Kong, H.; Xi, X.S.; Jiang, J.B.; Li, H.; Cao, J.Y.; Tang, Y.Y. The evolution sequence of granites in the Xitian ore field in Hunan and its tungsten-tin mineralization: Constraints from zircon U-Pb dating and geochemical characteristics. Earth Sci. 2022, 47, 240–258, (In Chinese with English abstract). [Google Scholar]
- Wu, Q.; Feng, C.Y.; Mao, J.W.; Santosh, M.; Dick, J.M.; Yu, M.; Li, B. Robust monazite U-Pb and molybdenite Re−Os ages reveal the magmatic and metallogenic history of a highly evolved granitic system in the Xianghualing deposit, South China. Ore Geol. Rev. 2022, 140, 104602. [Google Scholar] [CrossRef]
- Li, H.; Wu, J.H.; Evans, N.J.; Jiang, W.C.; Zhou, Z.K. Zircon geochronology and geochemistry of the Xianghualing A-type granitic rocks: Insights into multi-stage Sn-polymetallic mineralization in South China. Lithos 2018, 312, 1–20. [Google Scholar] [CrossRef]
- Zhu, J.C.; Wang, R.C.; Lu, J.J.; Zhang, H.; Zhang, W.L.; Xie, L.; Zhang, R.Q. Fractionation, evolution, petrogenesis and mineralization of Laiziling granite pluton, southern Hunan province. Geol. J. China Univ. 2011, 17, 381–392, (In Chinese with English abstract). [Google Scholar]
- Peng, J.T.; Hu, R.Z.; Yuan, S.D.; Bi, X.W.; Shen, N.P. The time ranges of granitoid emplacement and related nonferrous metallic mineralization in southern Hunan. Geol. Rev. 2008, 54, 617–625, (In Chinese with English abstract). [Google Scholar]
- Cai, M.H.; Chen, K.X.; Qu, W.J.; Liu, G.Q.; Fu, J.M.; Yin, J.P. Geological characteristics and Re−Os dating of molybdenites in Hehuaping tin-polymetallic deposit, southern Hunan province. Miner. Depos. 2006, 25, 263–268, (In Chinese with English abstract). [Google Scholar]
- Ni, Y.J.; Shan, Y.H.; Wu, S.C.; Nie, G.J.; Zhang, X.Q.; Zhu, H.F.; Liang, X.Q. Emplacement mechanism of Indosinian Dengfuxian-Xitian granite pluton in eastern Hunan, South China. Geotecton. Metallog. 2014, 38, 82–93, (In Chinese with English abstract). [Google Scholar]
- Chen, D.; Shao, Y.J.; Liu, W.; Ma, A.J.; Liu, Y.R. Petrological and geochemical characteristics of Xitian pluton in Hunan province. Geol. Miner. Resour. South China 2015, 31, 11–25, (In Chinese with English abstract). [Google Scholar]
- Xiong, Y.Q.; Shao, Y.J.; Zhou, H.D.; Wu, Q.H.; Liu, J.P.; Wei, H.T.; Zhao, R.C.; Cao, J.Y. Ore-forming mechanism of quartz-vein-type W-Sn deposits of the Xitian district in SE China: Implications from the trace element analysis of wolframite and investigation of fluid inclusions. Ore Geol. Rev. 2017, 83, 152–173. [Google Scholar] [CrossRef]
- Zhang, R.Q.; Lu, J.J.; Wang, R.C.; Yang, P.; Zhu, J.C.; Yao, Y.; Gao, J.F.; Li, C.; Lei, Z.H.; Zhang, W.L.; et al. Constraints of in situ zircon and cassiterite U-Pb, molybdenite Re-Os and muscovite 40Ar–39Ar ages on multiple generations of granitic magmatism and related W-Sn mineralization in the Wangxianling area, Nanling Range, South China. Ore Geol. Rev. 2015, 65, 1021–1042. [Google Scholar] [CrossRef]
- Wang, M.; Bai, X.J.; Yun, J.B.; Zhao, L.H.; Li, Y.L.; Wang, Z.Y.; Pu, Z.P.; Qiu, H.N. 40Ar/39Ar dating of mineralization of Shizhuyuan polymetallic deposit. Geochimica 2016, 45, 41–51, (In Chinese with English abstract). [Google Scholar]
- Li, S.T.; Wang, J.B.; Zhu, X.Y.; Li, C. Re−Os dating of molybdenite and sulfur isotope analysis of Yaogangxian tungsten polymetallic deposits in Hunan province and their geological significance. Geosicence 2011, 25, 228–235, (In Chinese with English abstract). [Google Scholar]
- Chen, J.; Wang, R.C.; Zhu, J.C.; Lu, J.J.; Ma, D.S. Multiple-aged granitoids and related tungsten-tin mineralization in the Nanling Range, South China. Sci. China Earth Sci. 2013, 56, 2045–2055, (In Chinese with English abstract). [Google Scholar] [CrossRef]
- Yuan, S.D.; Zhang, D.L.; Shuang, Y.; Du, A.D.; Qu, W.J. Re–Os dating of molybdenite from the Xintianling giant tungsten-molybdenum deposit in southern Hunan Province, China and its geological implications. Acta Petrol. Sin. 2012, 28, 27–38, (In Chinese with English abstract). [Google Scholar]
- Yuan, S.D.; Liu, X.F.; Wang, X.D.; Wu, S.H.; Yuan, Y.B.; Li, X.K.; Wang, T.Z. Geological characteristics and 40Ar−39Ar geochronology of the Hongqiling tin deposit in southern Hunan Province. Acta Petrol. Sin. 2012, 28, 3787–3797, (In Chinese with English abstract). [Google Scholar]
- Fu, J.M.; Li, H.Q.; Qu, W.J.; Yang, X.J.; Wei, J.Q.; Liu, G.Q.; Ma, Y.L. Re−Os isotope dating of the Da’ao tungsten-tin deposit in the Jiuyi mountains, southern Hunan province. Geol. China 2007, 34, 651–656, (In Chinese with English abstract). [Google Scholar]
- Zhu, J.C.; Zhang, H.; Xie, C.F.; Zhang, P.H.; Yang, C. Zircon SHRIMP U-Pb geochronology, petrology and geochemistry of Zhujianshui granite, Qitianling pluton, southern Hunan province. Geol. J. China Univ. 2005, 11, 335–342, (In Chinese with English abstract). [Google Scholar]
- Mao, J.W.; Xie, G.Q.; Guo, C.L.; Chen, Y.C. Large-scale tungsten-tin mineralization in the Nanling region, South China: Metallogenic ages and corresponding geodynamic processes. Acta Petrol. Sin. 2007, 23, 2329–2338, (In Chinese with English abstract). [Google Scholar]
- Xu, R.C.; Long, X.R.; Liu, B.; Liu, Y.G.; Wu, Q.H.; Luo, X.Y.; Jiang, H. LA-ICP-MS trace element analysis of fluorite and implications in Jiepailing tin-polymetallic deposit from South of Hunan Province. Miner. Depos. 2022, 41, 158–173, (In Chinese with English abstract). [Google Scholar]
- Xie, L.; Wang, R.C.; Che, X.D.; Huang, F.F.; Erdmann, S.; Zhang, W.L. Tracking magmatic and hydrothermal Nb−Ta−W−Sn fractionation using mineral textures and composition: A case study from the Late Cretaceous Jiepailing ore district in the Nanling Range in South China. Ore Geol. Rev. 2016, 78, 300–321. [Google Scholar] [CrossRef]
- Yuan, S.D.; Mao, J.W.; Cook, N.J.; Wang, X.D.; Liu, X.F.; Yuan, Y.B. A Late Cretaceous tin metallogenic event in Nanling W−Sn metallogenic province: Constraints from U-Pb, Ar−Ar geochronology at the Jiepailing Sn−Be−F deposit, Hunan, China. Ore Geol. Rev. 2015, 65, 283–293. [Google Scholar] [CrossRef]
- Zhao, G.C. Jiangnan Orogen in South China: Developing from divergent double subduction. Gondwana Res. 2015, 27, 1173–1180. [Google Scholar] [CrossRef]
- Shu, X.J.; Wang, X.L.; Sun, T.; Xu, X.S.; Dai, M.N. Trace elements, U-Pb ages and Hf isotopes of zircons from Mesozoic granites in the western Nanling Range, South China: Implications for petrogenesis and W–Sn mineralization. Lithos 2011, 127, 468–482. [Google Scholar] [CrossRef]
- Hu, R.Z.; Zhou, M.F. Multiple Mesozoic mineralization events in South China–An introduction to the thematic issue. Miner. Depos. 2012, 47, 579–588. [Google Scholar] [CrossRef]
- Mao, J.W.; Cheng, Y.B.; Chen, M.H.; Pirajno, F. Major types and time-space distribution of Mesozoic ore deposits in South China and their geodynamic settings. Miner. Depos. 2013, 48, 267–294. [Google Scholar]
- Li, H.; Wu, Q.H.; Evans, N.J.; Zhou, Z.K.; Kong, H.; Xi, X.S.; Lin, Z.W. Geochemistry and geochronology of the Banxi Sb deposit: Implications for fluid origin and the evolution of Sb mineralization in Central–Western Hunan, South China. Gondwana Res. 2018, 55, 112–134. [Google Scholar] [CrossRef]
- Yu, F.; Shu, Q.H.; Niu, X.D.; Xing, K.; Li, L.L.; Lentz, D.R.; Zeng, Q.W.; Yang, W.J. Composition of garnet from the Xianghualing skarn Sn deposit, South China: Its petrogenetic significance and exploration potential. Minerals 2020, 10, 456. [Google Scholar] [CrossRef]
- Deng, J.; He, X.; Li, Z. Geological characteristics of Chashan ore section in Tieshaping Sn-Polymetallic deposit, Linwu, Hunan, and its prospecting criteria. Miner. Resour. 2020, 7, 135–136, (In Chinese with English abstract). [Google Scholar]
- Streckeisen, A.; Le Maitre, R.W. A chemical approximation to the modal QAPF classification of the igneous rocks. Neues Jahrb. Für Mineral. Abh. 1979, 136, 169–206. [Google Scholar]
- Le Maitre, R.W. A Classification of Igneous Rocks and Glossary of Terms: Recommendations of the IUGS Subcommission on the Systematics of Igneous Rocks; Blackwell: Oxford, UK, 1989; pp. 1–34. [Google Scholar]
- Roche, H.D.L.; Leterrier, J.; Grandclaude, P.; Marchal, M. A classification of volcanic and plutonic rocks using R1R2-diagram and major-element analyses—Its relationships with current nomenclature. Chem. Geol. 1980, 29, 183–210. [Google Scholar] [CrossRef]
- Frost, B.R.; Barnes, C.G.; Collins, W.J.; Arculus, R.J.; Ellis, D.J.; Frost, C.D. A geochemical classification for granitic rocks. J. Petrol. 2001, 42, 2033–2048. [Google Scholar] [CrossRef]
- Wheller, G.E.; Varne, R.; Foden, J.D.; Abbott, M.J. Geochemistry of Quaternary volcanism in the Sunda-Banda arc, Indonesia, and three-component genesis of island-arc basaltic magmas. J. Volcanol. Geotherm. Res. 1987, 32, 137–160. [Google Scholar] [CrossRef]
- Sun, W.D.; Mcdonough, W.F. Chemical and isotopic systematics of oceanic basalts: Implication for mantle composition and processes. Geol. Soc. Lond. Spec. Publ. 1989, 42, 313–345. [Google Scholar] [CrossRef]
- Taylor, S.R.; Mclennan, S.M. The Continental Crust: Its Composition and Evolution; Blackwell Scientific Publications: Oxford, UK, 1985; pp. 1–312. [Google Scholar]
- Lichtervelde, M.V.; Frank, M.; Richard, W. Magmatic vs. hydrothermal origins for zircon associated with tantalum mineralization in the Tanco pegmatite, Manitoba, Canada. Am. Mineral. 2009, 94, 439–450. [Google Scholar] [CrossRef]
- Nardi, L.V.S.; Formoso, M.L.L.; Jarvis, K.; Oliveira, L.; Neto, A.C.B.; Fontana, E. REE, Y, Nb, U, and Th contents and tetrad effect in zircon from a magmatic-hydrothermal F-rich system of Sn-rare metal-cryolite mineralized granites from the Pitinga Mine, Amazonia, Brazil. J. South Am. Earth Sci. 2012, 33, 34–42. [Google Scholar] [CrossRef]
- Hoskin, P.W.O. Trace-element composition of hydrothermal zircon and the alteration of Hadean zircon from the Jack Hills, Australia. Geochim. Cosmochim. Acta 2005, 69, 637–648. [Google Scholar] [CrossRef]
- Li, H.; Sun, H.S.; Wu, J.H.; Evans, N.J.; Xi, X.S.; Peng, N.L.; Cao, J.Y.; Gabo Ratio, J.A.S. Re−Os and U-Pb geochronology of the Shazigou Mo polymetallic ore field, Inner Mongolia: Implications for Permian–Triassic mineralization at the northern margin of the North China Craton. Ore Geol. Rev. 2017, 83, 287–299. [Google Scholar] [CrossRef]
- Sun, H.S.; Li, H.; Evans, N.J.; Yang, H.; Wu, P. Volcanism, mineralization and metamorphism at the Xitieshan Pb−Zn deposit, NW China: Insights from zircon geochronology and geochemistry. Ore Geol. Rev. 2017, 88, 289–303. [Google Scholar] [CrossRef]
- Whalen, J.B.; Currie, K.L.; Chappell, B.W. A-type granites: Geochemical characteristics, distribution and petrogenesis. Contrib. Mineral. Petrol. 1987, 95, 407–419. [Google Scholar] [CrossRef]
- Sun, H.S.; Li, H.; Danišík, M.; Xia, Q.L.; Jiang, C.L.; Wu, P.; Yang, H.; Fan, Q.R.; Zhu, D.S. U-Pb and Re−Os geochronology and geochemistry of the Donggebi Mo deposit, Eastern Tianshan, NW China: Insights into mineralization and tectonic setting. Ore Geol. Rev. 2017, 86, 584–599. [Google Scholar] [CrossRef]
- Pearce, J.A. Sources and settings of granitic rocks. Episodes 1996, 19, 120–125. [Google Scholar] [CrossRef]
- Eby, G.N. Chemical subdivision of the A-type granitoids: Petrogenetic and tectonic implications. Geology 1992, 20, 641–644. [Google Scholar] [CrossRef]
- Chen, Y.X.; Li, H.; Sun, W.D.; Ireland, T.; Tian, X.F.; Hu, Y.B.; Yang, W.B.; Chen, C.; Xu, D.R. Generation of Late Mesozoic Qianlishan A2-type granite in Nanling Range, South China: Implications for Shizhuyuan W–Sn mineralization and tectonic evolution. Lithos 2016, 266, 435–452. [Google Scholar] [CrossRef]
- Zhou, Y.; Liang, X.Q.; Wu, S.C.; Cai, Y.F.; Liang, X.R.; Shao, T.B.; Wang, C.; Fu, J.G.; Jiang, Y. Isotopic geochemistry, zircon U-Pb ages and Hf isotopes of A-type granites from the Xitian W−Sn deposit, SE China: Constraints on petrogenesis and tectonic significance. J. Asian Earth Sci. 2015, 105, 122–139. [Google Scholar] [CrossRef]
- Li, H.; Watanabe, K.; Yonezu, K. Geochemistry of A-type granites in the Huangshaping polymetallic deposit (South Hunan, China): Implications for granite evolution and associated mineralization. J. Asian Earth Sci. 2014, 88, 149–167. [Google Scholar] [CrossRef]
- Zhao, K.D.; Jiang, S.Y.; Yang, S.Y.; Dai, B.Z.; Lu, J.J. Mineral chemistry, trace elements and Sr−Nd−Hf isotope geochemistry and petrogenesis of Cailing and Furong granites and mafic enclaves from the Qitianling batholith in the Shi-Hang zone, South China. Gondwana Res. 2012, 22, 310–324. [Google Scholar] [CrossRef]
- Ding, T.; Ma, D.S.; Lu, J.J.; Zhang, R.Q.; Zhang, S.T.; Gao, S.Y. Petrogenesis of Late Jurassic granitoids and relationship to polymetallic deposits in southern China: The Huangshaping example. Int. Geol. Rev. 2016, 58, 1646–1672. [Google Scholar] [CrossRef]
- Gelman, S.E.; Deering, C.D.; Bachmann, O.; Huber, C.; Gutiérrez, F.J. Identifying the crystal graveyards remaining after large silicic eruptions. Earth Planet. Sci. Lett. 2014, 403, 299–306. [Google Scholar] [CrossRef]
- Lee, C.T.A.; Morton, D.M. High silica granites: Terminal porosity and crystal settling in shallow magma chambers. Earth Planet. Sci. Lett. 2015, 409, 23–31. [Google Scholar] [CrossRef]
- Wu, F.Y.; Liu, X.C.; Ji, W.Q.; Wang, J.M.; Yang, L. Highly fractionated granites: Recognition and research. Sci. China Earth Sci. 2017, 60, 1201–1219. [Google Scholar] [CrossRef]
- Uher, P.; Breiter, K.; Klečka, M.; Pivec, E. Zircon in highly evolved Hercynian Homolka granite, Moldanubian zone, Czech Republic: Indicator of magma source and petrogenesis. Geol. Carpathica 1998, 49, 151–160. [Google Scholar]
- Monecke, T.; Kempf, U.; Monecke, J.; Sala, M.; Wolf, D. Tetrad effect in rare earth element distribution patterns: A method of quantification with application to rock and mineral samples from granite-related rare metal deposits. Geochim. Cosmochim. Acta 2002, 66, 1185–1196. [Google Scholar] [CrossRef]
- Lee, S.G.; Asahara, Y.; Tanaka, T.; Lee, S.R.; Lee, T. Geochemical significance of the Rb−Sr, La−Ce and Sm−Nd isotope systems in A-type rocks with REE tetrad patterns and negative Eu and Ce anomalies: The Cretaceous Muamsa and Weolaksan granites, South Korea. Geochemistry 2013, 73, 75–88. [Google Scholar] [CrossRef]
- Zhao, Z.H.; Xiong, X.L.; Hen, X.D.; Wang, Y.X.; Wang, Q.; Bao, Z.W.; Jahn, B. Controls on the REE tetrad effect in granites: Evidence from the Qianlishan and Baerzhe granites, China. Geochem. J. 2002, 36, 527–543. [Google Scholar]
- Wei, D.F.; Bao, Z.Y.; Fu, J.M.; Cai, M.H. Diagenetic and mineralization age of the Hehuaping tin-polymetallic ore-field, Hunan Province. Acta Geol. Sin. 2007, 81, 244–252. [Google Scholar]
- Feng, C.Y.; Zhao, Z.; Qu, W.J.; Zeng, Z.L. Temporal consistency between granite evolution and tungsten mineralization in Huamei’ao, southern Jiangxi Province, China: Evidence from precise zircon U-Pb, molybdenite Re−Os, and muscovite 40Ar−39Ar isotope geochronology. Ore Geol. Rev. 2015, 65, 1005–1020. [Google Scholar] [CrossRef]
- Qiao, Y.S.; Wang, F.Y.; Hou, M.S.; Lei, Z.H.; Li, C.B. Geological character of Zhangjialong tungsten deposit, Hunan Province. Geol. Miner. Resour. South China 2011, 27, 125–131, (In Chinese with English abstract). [Google Scholar]
- Zhang, W.L.; Che, X.D.; Wang, R.C.; Zhang, R.Q.; Yang, Z. Geochronological framework of the Penggongmiao Granite Batholith. Acta Geol. Sin. 2014, 88, 1041–1042. [Google Scholar] [CrossRef]
- Hoskin, P.W.O.; Schaltegger, U. The composition of zircon and igneous and metamorphic petrogenesis. Rev. Mineral. Geochem. 2003, 53, 27–62. [Google Scholar] [CrossRef]
- Trail, D.; Watson, E.B.; Tailby, N.D. Ce and Eu anomalies in zircon as proxies for the oxidation state of magmas. Geochim. Cosmochim. Acta 2012, 97, 70–87. [Google Scholar] [CrossRef]
- Bai, X.J.; Wang, M.; Jiang, Y.D.; Qiu, H.N. Direct dating of tin–tungsten mineralization of the Piaotang tungsten deposit, South China, by 40Ar/39Ar progressive crushing. Geochim. Cosmochim. Acta 2013, 114, 1–12. [Google Scholar] [CrossRef]
- Bai, X.J.; Jiang, Y.D.; Hu, R.G.; Gu, X.P.; Qiu, H.N. Revealing mineralization and subsequent hydrothermal events: Insights from 40Ar/39Ar isochron and novel gas mixing lines of hydrothermal quartzs by progressive crushing. Chem. Geol. 2018, 483, 332–341. [Google Scholar] [CrossRef]
- Bai, X.J.; Qiu, H.N.; Liu, W.G.; Mei, L.F. Automatic 40Ar/39Ar Dating Techniques Using Multicollector ARGUS VI Noble Gas Mass Spectrometer with Self-Made Peripheral Apparatus. J. Earth Sci. 2018, 29, 408–415. [Google Scholar] [CrossRef]
- Bai, X.J.; Hu, R.G.; Jiang, Y.D.; Liu, X.; Qiu, H.N. Refined insight into 40Ar/39Ar progressive crushing technique from K–Cl–Ar correlations in fluid inclusions. Chem. Geol. 2019, 515, 37–49. [Google Scholar] [CrossRef]
- Xiao, M.; Jiang, Y.D.; Zhao, G.C.; Qiu, H.N.; Cai, Y.; Bai, X.J.; Yuan, C.; Zhang, W.F.; Kong, L.Z.; Wang, S. Fluid inclusion 40Ar/39Ar geochronology of andalusite from syn-tectonic quartz veins: New perspectives on dating deformation and metamorphism in low-pressure metamorphic belts. Geochim. Cosmochim. Acta 2022, 323, 141–163. [Google Scholar] [CrossRef]
- Belousova, E.A.; Griffin, W.L.; O’Reilly, S.Y.; Fisher, N.I. Igneous zircon: Trace element composition as an indicator of source rock type. Contrib. Mineral. Petrol. 2002, 143, 602–622. [Google Scholar] [CrossRef]
- Han, Y.G.; Zhang, S.H.; Franco, P.; Zhou, X.W.; Zhao, G.C.; Qu, W.J.; Liu, S.H.; Zhang, J.M.; Liang, H.B.; Yang, K. U-Pb and Re−Os isotopic systematics and zircon Ce4+/Ce3+ ratios in the Shiyaogou Mo deposit in eastern Qinling, central China: Insights into the oxidation state of granitoids and Mo (Au) mineralization. Ore Geol. Rev. 2013, 55, 29–47. [Google Scholar] [CrossRef]
- Claiborne, L.L.; Miller, C.F.; Wooden, J.L. Trace element composition of igneous zircon: A thermal and compositional record of the accumulation and evolution of a large silicic batholith, Spirit Mountain, Nevada. Contrib. Mineral. Petrol. 2010, 160, 511–531. [Google Scholar] [CrossRef]
- Ballard, J.R.; Palin, J.M.; Campbell, I.H. Relative oxidation states of magmas inferred from Ce4+/Ce3+ in zircon: Application to porphyry copper deposits of northern Chile. Contrib. Mineral. Petrol. 2002, 144, 347–364. [Google Scholar] [CrossRef]
- Liang, H.Y.; Campbell, I.H.; Allen, C.; Sun, W.D.; Liu, C.Q.; Yu, H.X.; Xie, Y.W.; Zhang, Y.Q. Zircon Ce4+/Ce3+ ratios and ages for Yulong ore-bearing porphyries in eastern Tibet. Miner. Depos. 2006, 41, 152–159. [Google Scholar] [CrossRef]
- Heinrich, C.A. Geochemical evolution and hydrothermal mineral deposition in Sn(−W−base metal) and other granite-related ore systems: Some conclusions from Australian examples. Magmas Fluids Ore Depos. 1995, 23, 203–220. [Google Scholar]
- Pérez-Soba, C.; Villaseca, C.; González, J.; Tánago, D.; Nasdala, L. The composition of zircon in the peraluminous Hercynian granites of the Spanish central system batholith. Can. Miner. 2007, 45, 509–527. [Google Scholar] [CrossRef]
- Abdalla, H.M.; Helba, H.; Matsueda, H. Chemistry of zircon in rare metal granitoids and associated rocks, Eastern Desert, Egypt. Resour. Geol. 2009, 59, 51–68. [Google Scholar] [CrossRef]
- Lei, W.Y.; Shi, G.H.; Liu, Y.X. Research progress on trace element characteristics of zircons of different origins. Earth Sci. Front. 2013, 20, 1–12, (In Chinese with English abstract). [Google Scholar]
- Münker, C.; Wörner, G.; Yogodzinski, G.; Churikova, T. Behavior of high field strength elements in subduction zones: Constraints from Kamchatka-Aleutian arc lavas. Earth Planet. Sci. Lett. 2004, 224, 275–293. [Google Scholar] [CrossRef]
- Wang, X.; Pupin, J.P. Distribution characteristics of trace elements in zircons from granitic rocks. Chin. J. Geol. 1992, 2, 131–140, (In Chinese with English abstract). [Google Scholar]
- Hoskin, P.W.O.; Kinny, P.D.; Wyborn, D.; Chappell, B.W. Identifying accessory mineral saturation during differentiation in granitoid magmas: An integrated approach. J. Petrol. 2000, 41, 1365–1396. [Google Scholar] [CrossRef]
- Huang, X.L.; Wang, R.C.; Chen, X.M.; Hu, H.; Liu, C.S. Vertical variations in the mineralogy of the Yichun topaz-lepidolite granite, Jiangxi province, southern China. Can. Mineral. 2002, 40, 1047–1068. [Google Scholar] [CrossRef]
- Černý, P.; Corkery, M.T.; Halden, N.M.; Ferreira, K.; Brisbin, W.C.; Chackowsky, L.E.; Meintzer, R.E.; Longstaffe, F.J.; Trueman, D.L. Extreme fractionation and deformation of the leucogranite–pegmatite suite at red cross lake, Manitoba, Canada. Can. Mineral. 2012, 50, 1793–1806. [Google Scholar] [CrossRef]
- Breiter, K.; Förster, H.J.; Škoda, R. Extreme P-, Bi-, Nb-, Sc-, U- and F-rich zircon from fractionated perphosphorous granites: The peraluminous podlesí granite system, Czech Republic. Lithos 2006, 88, 15–34. [Google Scholar] [CrossRef]
- Veksler, I.V.; Dorfman, A.M.; Kamenetsky, M.; Dulski, P.; Dingwell, D.B. Partitioning of lanthanides and Y between immiscible silicate and fluoride melts, fluorite and cryolite and the origin of the lanthanide tetrad effect in igneous rocks. Geochim. Cosmochim. Acta 2005, 69, 2847–2860. [Google Scholar] [CrossRef]
- Lamarão, C.N.; Dall’Agnol, R.; Soledade, G.L.D.; Barreto, C.J.S. Compositional variation in zircons of tin-specialized Paleoproterozoic A-type granites of the Amazonian Craton: Metalogenetic implications. Symp. Magmat. Crustal Evol. Metallog. Amazon. Craton 2006, 1, 60. [Google Scholar]
- Hayden, L.A.; Watson, E.B. Rutile saturation in hydrous silicate melts and its bearing on Ti-thermometry of quartz and zircon. Earth Planet. Sci. Lett. 2007, 258, 561–568. [Google Scholar] [CrossRef]
- Gao, C.G.; Liu, Y.S.; Zong, K.Q.; Hu, Z.C.; Gao, S. Microgeochemistry of rutile and zircon in eclogites from the CCSD main hole: Implications for the fluid activity and thermo-history of the UHP metamorphism. Lithos 2010, 115, 51–64. [Google Scholar] [CrossRef]
- Yang, W.B.; Niu, H.C.; Shan, Q.; Sun, W.D.; Zhang, H.; Li, N.B.; Jiang, Y.H.; Yu, X.A. Geochemistry of magmatic and hydrothermal zircon from the highly evolved Baerzhe alkaline granite: Implications for Zr−REE−Nb mineralization. Miner. Depos. 2014, 49, 451–470. [Google Scholar] [CrossRef]
- Shen, X.M.; Zhang, H.Y.; Zhang, B.Y. A preliminary study of relationship between metamorphic core complexes and lithospheric thinning over the mesozoic in South China. Geotecton. Metallog. 2008, 32, 11–19, (In Chinese with English abstract). [Google Scholar]
- Xue, H.M.; Dong, S.W.; Ma, F. Zircon SHRIMP U-Pb ages of volcanic rocks in the Luzong Basin, Middle and Lower Yangtze River Reaches: Constraints on the model of Late Mesozoic lithospheric thinning of the Eastern Yangtze Craton. Acta Geol. Sin. 2012, 86, 1569–1583, (In Chinese with English abstract). [Google Scholar]
- Zhou, S.Z.; Xu, S.F.; Yu, X.Q.; Qiu, J.T.; Yang, X.P.; Chen, Z.W.; Liu, X. Zircon LA-ICP-MS U-Pb ages and geochemical features of Taiping Pluton in South Anhui—Enlightment of Mesozoic Lithospheric thinning for South China. Geol. Rev. 2016, 62, 1549–1564, (In Chinese with English abstract). [Google Scholar]
- Li, X.F.; Xiao, R.; Feng, Z.H.; Wei, C.X.; Tang, Y.W.; Bai, Y.P.; Zhang, M.J. Ar−Ar ages of hydrothermal muscovite and igneous biotite at the Guposhan-Huashan district, Northeast Guangxi, South China: Implications for Mesozoic W−Sn mineralization. Resour. Geol. 2015, 65, 160–176. [Google Scholar] [CrossRef]
- Zheng, W.; Mao, J.W.; Zhao, C.S.; Ouyang, H.G.; Wang, X.Y. Re−Os geochronology of molybdenite from Yinyan porphyry Sn deposit in South China. Resour. Geol. 2016, 66, 63–70. [Google Scholar] [CrossRef]
- Zheng, W.; Mao, J.W.; Zhao, H.J.; Zhao, C.S.; Yu, X.F. Two Late Cretaceous A-type granites related to the Yingwuling W-Sn polymetallic mineralization in Guangdong province, South China: Implications for petrogenesis, geodynamic setting, and mineralization. Lithos 2017, 274, 106–122. [Google Scholar] [CrossRef]
- Cai, Y.F.; Feng, Z.H.; Shao, T.B.; Hu, R.G.; Xu, J.F. New precise zircon U-Pb and muscovite 40Ar–39Ar geochronology of the Late Cretaceous W-Sn mineralization in the Shanhu orefield, South China. Ore Geol. Rev. 2017, 84, 338–346. [Google Scholar] [CrossRef]
- Xu, D.R.; Chi, G.X.; Zhang, Y.H.; Zhang, Z.C.; Sun, W.D. Yanshanian (Late Mesozoic) ore deposits in China−An introduction to the Special Issue. Ore Geol. Rev. 2017, 88, 481–490. [Google Scholar]
- Cheng, Y.B.; Mao, J.W.; Chang, Z.S.; Pirajnp, F. The origin of the world class tin-polymetallic deposits in the Gejiu district, SW China: Constraints from metal zoning characteristics and 40Ar−39Ar geochronology. Ore Geol. Rev. 2013, 53, 50–62. [Google Scholar] [CrossRef]
- Xu, B.; Jiang, S.Y.; Wang, R.; Ma, L.; Zhao, K.D.; Yan, X. Late Cretaceous granites from the giant Dulong Sn-polymetallic ore district in Yunnan Province, South China: Geochronology, geochemistry, mineral chemistry and Nd−Hf isotopic compositions. Lithos 2015, 218, 54–72. [Google Scholar] [CrossRef]
- Cai, M.H.; Zhang, W.B.; Peng, Z.A.; Liu, H.; Guo, T.F.; Tan, Z.M.; Tang, L.F. Study on minerogenetic epoch of the Hehuaping tin-polymetallic deposit in southern Hunan. Acta Petrol. Sin. 2016, 32, 2111–2123, (In Chinese with English abstract). [Google Scholar]
- Cheng, Y.B.; Mao, J.W.; Liu, P. Geodynamic setting of Late Cretaceous Sn–W mineralization in southeastern Yunnan and northeastern Vietnam. Solid Earth Sci. 2016, 1, 79–88. [Google Scholar] [CrossRef]
- Cai, Y.; Lu, J.J.; Ma, D.S.; Huang, H.; Zhang, H.F.; Zhang, R.Q. The Late Triassic Dengfuxian A-type granite, Hunan Province: Age, petrogenesis, and implications for understanding the late Indosinian tectonic transition in South China. Int. Geol. Rev. 2015, 57, 428–445. [Google Scholar] [CrossRef]
- Wu, Q.H.; Cao, J.Y.; Kong, H.; Shao, Y.J.; Li, H.; Xi, X.S.; Deng, X.T. Petrogenesis and tectonic setting of the early Mesozoic Xitian granitic pluton in the middle Qin-Hang Belt, South China: Constraints from zircon U-Pb ages and bulk-rock trace element and Sr-Nd-Pb isotopic compositions. J. Asian Earth Sci. 2016, 128, 130–148. [Google Scholar] [CrossRef]
- Wang, F.Y.; Ling, M.X.; Ding, X.; Hu, Y.H.; Zhou, J.B.; Yang, X.Y.; Liang, H.Y.; Fan, W.M.; Sun, W.D. Mesozoic large magmatic events and mineralization in SE China: Oblique subduction of the Pacific plate. Int. Geol. Rev. 2011, 53, 704–726. [Google Scholar] [CrossRef]
- Cheng, Y.B.; Mao, J.W.; Yang, Z.X. Geology and vein tin mineralization in the Dadoushan deposit, Gejiu district, SW China. Miner. Depos. 2012, 47, 701–712. [Google Scholar] [CrossRef]
- Huang, F.F.; Wang, R.C.; Xie, L.; Zhu, J.C.; Erdmann, S.; Che, X.D.; Zhang, R.Q. Differentiated rare-element mineralization in an ongonite-topazite composite dike at the Xianghualing tin district, Southern China: An electron-microprobe study on the evolution from niobium-tantalum-oxides to cassiterite. Ore Geol. Rev. 2015, 65, 761–778. [Google Scholar] [CrossRef] [Green Version]















| No. | Sample No. | Pluton | Location | Rock Type |
|---|---|---|---|---|
| 1 | XHL16-2 | Laiziling | 431dyke | aplite |
| 2 | XHL17-1 | Mashibei | granite porphyry | |
| 3 | XHL18-5 | Tongtianmiao | granite | |
| 4 | XHL18-8-1 | Jianfengling | albite granite | |
| 5 | XHL18-8-2 | albite granite | ||
| 6 | XHL18-8-3 | albite granite | ||
| 7 | XHL18-8-4 | albite granite | ||
| 8 | XHL18-9 | biotite granite | ||
| 9 | XHL18-10 | K-feldspar granite | ||
| 10 | XHL18-11 | lepidolite granite |
Publisher’s Note: MDPI stays neutral with regard to jurisdictional claims in published maps and institutional affiliations. |
© 2022 by the authors. Licensee MDPI, Basel, Switzerland. This article is an open access article distributed under the terms and conditions of the Creative Commons Attribution (CC BY) license (https://creativecommons.org/licenses/by/4.0/).
Share and Cite
Luo, Z.; Li, H.; Wu, J.; Sun, W.; Zhou, J.; Maulana, A. Geochronology and Geochemistry of the Xianghualing Granitic Rocks: Insights into Multi-Stage Sn-Polymetallic Mineralization in South China. Minerals 2022, 12, 1091. https://doi.org/10.3390/min12091091
Luo Z, Li H, Wu J, Sun W, Zhou J, Maulana A. Geochronology and Geochemistry of the Xianghualing Granitic Rocks: Insights into Multi-Stage Sn-Polymetallic Mineralization in South China. Minerals. 2022; 12(9):1091. https://doi.org/10.3390/min12091091
Chicago/Turabian StyleLuo, Zhaoyang, Huan Li, Jinghua Wu, Wenbo Sun, Jianqi Zhou, and Adi Maulana. 2022. "Geochronology and Geochemistry of the Xianghualing Granitic Rocks: Insights into Multi-Stage Sn-Polymetallic Mineralization in South China" Minerals 12, no. 9: 1091. https://doi.org/10.3390/min12091091
APA StyleLuo, Z., Li, H., Wu, J., Sun, W., Zhou, J., & Maulana, A. (2022). Geochronology and Geochemistry of the Xianghualing Granitic Rocks: Insights into Multi-Stage Sn-Polymetallic Mineralization in South China. Minerals, 12(9), 1091. https://doi.org/10.3390/min12091091

