Mechanical Properties and Acoustic Emission Characteristics of Unloading Instability of Sandstone under High Stress
Abstract
:1. Introduction
2. Methods and Principles
2.1. Specimen Preparation
2.2. Experimental System
2.3. Experimental Protocol and Principle
3. Analysis of Mechanical Characteristics of Sandstone Failure under Unloading Path
3.1. Failure Strength Characteristics
3.2. Characteristics of Failure Deformation of Sandstone under Unloading Path
4. Analysis of Acoustic Emission Characteristics of Sandstone Failure under Unloading Path
4.1. Time Domain Characteristics of Acoustic Emission of Sandstone under Unloading Path
4.2. Frequency Domain Characteristics of Acoustic Emission of Sandstone under Unloading Path
4.3. Fractal Characteristics of Acoustic Emission of Sandstone under Unloading Path
5. Discussion
6. Conclusions
- (1)
- Under low stress, sandstone only exhibits compaction and elastic deformation before unloading, whereas under high stress, it exhibits elastic deformation and plastic deformation before unloading; axial strain increment (∆ε1) is positively correlated with initial confining stress, whereas radial strain increment (∆ε3) and volume strain increment (∆εv) are insensitive to the rise of initial confining stress; the unloading failure of the rock specimen shows good ductility under low confining stress and obvious brittleness under high confining stress.
- (2)
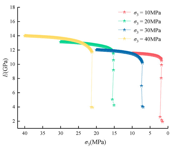
- The Poisson’s ratio of unloading failure of the rock specimen is inversely related to the initial confining stress. The lower the initial confining stress is, the more serious the expansion of the rock specimen after failure is; the elastic modulus is directly proportional to the initial confining stress, and the higher the initial confining stress is, the higher the elastic strain energy stored in the rock specimen is.
- (3)
- The higher the initial confining stress in the unloading phase (de) is, the shorter the duration of the blank period of AE count is, and the earlier the damage appears; under different initial confining stresses, the AE count of the rock specimen increases sharply before failure, and the unloading failure of the rock specimen is more sudden.
- (4)
- Before entering the accelerated damage phase, the unloading amount of confining stress is inversely proportional to the initial confining stress, and the AE cumulative count ratio is directly proportional to the initial confining stress; the excavation unloading of the high stress rock mass enters the accelerated damage phase earlier and the damage is more serious.
- (5)
- Under each initial confining stress, the AE power spectrum frequency of the rock specimen in the loading phase is mainly distributed in the intermediate frequency range of 134~155 kHz. After unloading, the intermediate frequency distribution gradually widens, and low frequency and high frequency signals begin to appear. Ultra-high frequency, high frequency, intermediate frequency and low frequency occur simultaneously before the rock specimen’s failure, which can serve as the precursors of the rock specimen’s instability.
- (6)
- AE fractal dimension can better reflect the orderliness and disorderliness of AE signals in the unloading process of the rock specimen, and the downward trend after the sharp increase in fractal dimension can serve as the precursor of the rock specimen’s failure.
Author Contributions
Funding
Institutional Review Board Statement
Informed Consent Statement
Data Availability Statement
Acknowledgments
Conflicts of Interest
References
- Zhao, S.K.; Qi, Q.X.; Li, Y.P.; Deng, Z.G.; Li, Y.Z.; Su, Z.G. Theory and Practice of Rockburst Stress Control Technology in Deep Coal Mine. J. China Coal Soc. 2020, 45, 626–636. [Google Scholar]
- Lan, H.; Chen, D.K.; Chen, D.B. Current Status of Deep Mining and Disaster Prevention in China. Coal Sci. Technol. 2016, 41, 39–46. [Google Scholar]
- Jia, P.; Yang, N.; Liu, D.Q. Effect of Unloading Direction on Rock Failure under True Triaxial Stress Conditions. J. Test. Eval. 2021, 49, 4058–4071. [Google Scholar] [CrossRef]
- Luo, Y.; Huang, J.H.; Lu, W.B.; Zhang, G.; Li, X.P.; Song, K.W. Study on Transient Unloading Loosening Simulation Test of Excavation of Jointed Rock Mass. Proc. Inst. Civ. Eng.-Geotech. Eng. 2021, 147, 645–656. [Google Scholar] [CrossRef]
- Zhao, Y.; Wang, C.L.; Bi, J. Analysis of Fractured Rock Permeability Evolution under Unloading Conditions by the Model of Elastoplastic Contact Between Rough Surfaces. Rock Mech. Rock Eng. 2020, 53, 5795–5808. [Google Scholar] [CrossRef]
- Yang, Y.Z.; Zhang, Z.N. Surrounding Rock Effect on Coal Burst under Unloading Condition:a Numerical Study. Arab. J. Geosci. 2021, 14, 1742. [Google Scholar] [CrossRef]
- Han, Y.; Ma, H.L.; Yang, C.H.; Li, H.; Yang, J. The mechanical behavior of rock salt under different confining pressure unloading rates during compressed air energy storage (CAES). J. Pet. Sci. Eng. 2021, 196, 107676. [Google Scholar] [CrossRef]
- Meng, Q.B.; Liu, J.F.; Huang, B.X.; Pu, H.; Wu, J.Y.; Zhang, Z.Z. Effects of Confining Pressure and Temperature on the Energy Evolution of Rocks under Triaxial Cyclic Loading and Unloading Conditions. Rock Mech. Rock Eng. 2022, 55, 773–798. [Google Scholar] [CrossRef]
- Wang, S.; Wang, H.; Xu, W.; Qian, W. Investigation on mechanical behaviour of dacite under loading and unloading conditions. Geotech. Lett. 2019, 9, 130–135. [Google Scholar] [CrossRef]
- Faoro, I.; Vinciguerra, S.; Marone, C.; Elsworth, D.; Schubnel, A. Linking permeability to crack density evolution in thermally stressed rocks under cyclic loading. Geophys. Res. Lett. 2013, 40, 2590–2595. [Google Scholar] [CrossRef] [Green Version]
- Zhao, H.G.; Liu, C.; Huang, G. Dilatancy Behaviour and Permeability Evolution of Sandstone Subjected to Initial Confining Pressures and Unloading Rates. R. Soc. Open Sci. 2021, 8, 201792. [Google Scholar] [CrossRef] [PubMed]
- Liu, S.L.; Zhu, Q.Z.; Shao, H.F. Deformation and Mechanical Properties of Rock: Effect of Hydromechanical Coupling under Unloading Conditions. Bull. Eng. Geol. Environ. 2020, 79, 5517–5534. [Google Scholar] [CrossRef]
- Moslehy, A.; Alshibli, K. Assessment of the properties of polycrystalline rock salt synthesized under nominally dry and wet conditions. J. Rock Mech. Geotech. Eng. 2021, 13, 311–320. [Google Scholar] [CrossRef]
- Delage, P.; Menaceur, H.; Tang, A.M.; Talandier, J. Suction effects in deep Callovo-Oxfordian claystone. Geotech. Lett. 2014, 4, 267–271. [Google Scholar] [CrossRef]
- Lyakhovsky, V.; Panteleev, I.; Shalev, E.; Browning, J.; Mitchell, T.M.; Healy, D.; Meredith, P.G. A new anisotropic poroelasticity model to describe damage accumulation during cyclic triaxial loading of rock. Geophys. J. Int. 2022, 230, 179–201. [Google Scholar] [CrossRef]
- Passelegue, F.X.; Pimienta, L.; Faulkner, D.; Schubnel, A.; Fortin, J.; Gueguen, Y. Development and Recovery of Stress-Induced Elastic Anisotropy During Cyclic Loading Experiment on Westerly Granite. Geophys. Res. Lett. 2018, 45, 8156–8166. [Google Scholar] [CrossRef] [Green Version]
- Taheri, A.; Yfantidis, N.; Olivares, C.L.; Connelly, B.J.; Bastian, T.J. Experimental Study on Degradation of Mechanical Properties of Sandstone Under Different Cyclic Loadings. Geotech. Test. J. 2016, 39, 20150231. [Google Scholar] [CrossRef]
- Munoz, H.; Taheri, A. Postpeak Deformability Parameters of Localized and Nonlocalized Damage Zones of Rocks under Cyclic Loading. Geotech. Test. J. 2019, 42, 1663–1684. [Google Scholar] [CrossRef]
- Walton, G.; Gaines, S.; Alejano, L.R. Validity of continuous-failure-state unloading triaxial tests as a means to estimate the residual strength of rocks. J. Rock Mech. Geotech. Eng. 2021, 13, 717–726. [Google Scholar] [CrossRef]
- Sone, H.; Zoback, M.D. Mechanical properties of shale-gas reservoir rocks—Part 1: Static and dynamic elastic properties and anisotropy. Geophysics 2013, 78, D378–D389. [Google Scholar] [CrossRef] [Green Version]
- Alvarado, G.; Coop, M.R.; Willso, S. On the role of bond breakage due to unloading in the behaviour of weak sandstones. Geotechnique 2012, 62, 303–316. [Google Scholar] [CrossRef]
- Zhang, Y.J.; Liu, S.J.; Kou, M.M.; Wang, Z.Q. 3-D Numerical Study on Progressive Failure Characteristics of Marbles under Unloading Conditions. Appl. Sci. 2020, 10, 3875. [Google Scholar] [CrossRef]
- Manouchehrian, A.; Cai, M. Simulation of unstable rock failure under unloading conditions. Can. Geotech. J. 2016, 53, 22–34. [Google Scholar] [CrossRef]
- Hoxha, D.; Giraud, A.; Homand, F. Modelling long-term behaviour of a natural gypsum rock. Mech. Mater. 2005, 37, 1223–1241. [Google Scholar] [CrossRef]
- Zhao, Y.L.; Wang, Y.X.; Wang, W.J.; Wan, W.; Tang, J.Z. Modeling of non-linear rheological behavior of hard rock using triaxial rheological experiment. Int. J. Rock Mech. Min. Sci. 2017, 93, 66–75. [Google Scholar] [CrossRef]
- Zhu, G.A.; Dou, L.M.; Wang, C.B.; Ding, Z.W.; Feng, Z.J. Experimental Study of Rock Burst in Coal Samples under Overstress and Truetriaxial Unloading Through Passive Velocity Tomography. Saf. Sci. 2019, 117, 388–403. [Google Scholar] [CrossRef]
- Zhang, Y.S.; Yu, B.; Zuo, S.Y.; Zheng, K.X.; Li, P.F.; He, X. Experimental and theoretical investigations of dacite under unloading lateral confining stress. Arab. J. Geosci. 2021, 14, 2659. [Google Scholar] [CrossRef]
- Yang, Y.J.; Zhou, Y.; Ma, D.P.; Ji, H.Y.; Zhang, Y.D. Acoustic Emission Characteristics of Coal under Different Triaxial Unloading Conditions. Acta Geodyn. Et Geomater. 2020, 17, 51–60. [Google Scholar] [CrossRef] [Green Version]
- Akdag, S.; Karakus, M.; Taheri, A.; Nguyen, G.; He, M.C. Effects of Thermal Damage on Strain Burst Mechanism for Brittle Rocks Under True-Triaxial Loading Conditions. Rock Mech. Rock Eng. 2018, 51, 1657–1682. [Google Scholar] [CrossRef]
- Liang, Y.P.; Li, Q.M.; Gu, Y.L.; Zou, Q.L. Mechanical and Acoustic Emission Characteristics of Rock: Effect of Loading and Unloading Confining Pressure at The Postpeak Stage. J. Nat. Gas Sci. Eng. 2017, 44, 54–64. [Google Scholar] [CrossRef]
- Ni, X.H.; Shen, X.M.; Zhu, Z.D. Mechanical and Acoustic Emission Characteristics of Sandstone through Triaxial Unloading Test after Cyclic Freezing-Thawing Treatment. Adv. Civ. Eng. 2020, 2020, 7150536. [Google Scholar] [CrossRef]
- He, M.C.; Miao, J.L.; Feng, J.L. Rock Burst Process of Limestone and Its Acoustic Emission Characteristics under True-Triaxial Unloading Conditions. Int. J. Rock Mech. Min. Sci. 2010, 47, 286–298. [Google Scholar] [CrossRef]
- He, M.C.; Zhao, F. Laboratory Study of Unloading Rate Effects on Rockburst. Disaster Adv. 2013, 6, 11–18. [Google Scholar]
- Zhao, X.G.; Wang, J.; Cai, M.; Cheng, C.; Ma, L.K.; Su, R.; Zhao, F.; Li, D.J. Influence of Unloading Rate on the Strainburst Characteristics of Beishan Granite under True-Triaxial Unloading Conditions. Rock Mech. Rock Eng. 2014, 47, 467–483. [Google Scholar] [CrossRef]
- Hou, G.Y.; Liang, J.P.; Jing, H.Y.; Tan, J.X.; Zhang, Y.K.; Yang, X. Experimental Study on Deformation and Acoustic Emission Characteristics of Arch Roadway under Different Unloading Rates. Adv. Civ. Eng. 2020, 2020, 8818242. [Google Scholar] [CrossRef]
- Zhang, M.W.; Meng, Q.B.; Liu, S.D.; Qian, D.Y.; Zhang, N. Impacts of Cyclic Loading and Unloading Rates on Acoustic Emission Evolution and Felicity Effect of Instable Rock Mass. Adv. Mater. Sci. Eng. 2018, 2018, 8365396. [Google Scholar] [CrossRef] [Green Version]
- Meng, Q.B.; Zhang, M.W.; Han, L.J.; Pu, H.; Chen, Y.L. Acoustic Emission Characteristics of Red Sandstone Specimens under Uniaxial Cyclic Loading and Unloading Compression. Rock Mech. Rock Eng. 2018, 51, 969–988. [Google Scholar] [CrossRef]
- Liang, D.X.; Zhang, N.; Xie, L.X.; Zhao, G.M.; Qian, D.Y. Damage and fractal evolution trends of sandstones under constant-amplitude and tiered cyclic loading and unloading based on acoustic emission. Int. J. Distrib. Sens. Netw. 2019, 15, 1550147718961020. [Google Scholar] [CrossRef] [Green Version]
- Meng, Q.B.; Chen, Y.L.; Zhang, M.W.; Han, L.J.; Pu, H.; Liu, J.F. On the Kaiser Effect of Rock under Cyclic Loading and Unloading Conditions: Insights from Acoustic Emission Monitoring. Energies 2019, 12, 3255. [Google Scholar] [CrossRef] [Green Version]
- Zhao, G.M.; Wang, C.; Liang, D.X. Comparative Experimental Studies of Acoustic Emission Characteristics of Sandstone and Mudstone under the Impacts of Cyclic Loading and Unloading. Int. J. Distrib. Sens. Netw. 2018, 14, 1550147718795552. [Google Scholar] [CrossRef] [Green Version]
- Meng, Q.B.; Zhang, M.W.; Han, L.J.; Pu, H.; Nie, T.Y. Effects of Acoustic Emission and Energy Evolution of Rock Specimens under the Uniaxial Cyclic Loading and Unloading Compression. Rock Mech. Rock Eng. 2016, 49, 3873–3886. [Google Scholar] [CrossRef]
- Li, D.X.; Wang, E.Y.; Kong, X.G.; Jia, H.S.; Wang, D.M.; Muhammad, A. Damage Precursor of Construction Rocks under Uniaxial Cyclic Loading Tests Analyzed by Acoustic Emission. Constr. Build. Mater. 2019, 206, 169–178. [Google Scholar]
- Zhao, K.; Xiong, L.X.; Xu, Y.D.; Xu, Z.Y.; Zeng, P. Uniaxial Compression Creep and Acoustic Emission Characteristics of Sandstone under Loading-Unloading Paths. Arab. J. Geosci. 2020, 13, 1243. [Google Scholar] [CrossRef]
- Huang, S.J.; Meng, X.R.; Zhao, G.M.; Li, Y.M.; Liu, G.; Dong, C.L.; Cheng, X.; Xu, W.S.; Liu, C.Y.; Zhou, J. Creep Mechanics of the High-Stress Soft Rock under Grade Unloading. Adv. Civ. Eng. 2020, 2020, 8822265. [Google Scholar] [CrossRef]
- Hou, Z.Y.; Hao, C.B.; Xiao, F.K.; Liu, G. Research on Energy Conversion and Damage Features of Unloading Instability of Sandstone under High Stress. Adv. Civ. Eng. 2021, 2021, 6655968. [Google Scholar] [CrossRef]
- Cai, M. Influence of intermediate principal stress on rock fracturing and strength near excavation boundaries—Insight from numerical modeling. Int. J. Rock Mech. Min. Sci. 2008, 45, 763–772. [Google Scholar] [CrossRef]
- Yang, R.; Ma, D.P.; Yang, Y.J. Experimental Investigation of Energy Evolution in Sandstone Failure during Triaxial Unloading Confining Pressure Tests. Adv. Civ. Eng. 2019, 2019, 7419752. [Google Scholar] [CrossRef] [Green Version]
- Mu, W.Q.; Wang, D.Y.; Li, L.C.; Yang, T.H.; Feng, Q.B.; Wang, S.X.; Xiao, F.K. Cement flow in interaction rock fractures and its corresponding new construction process in slope engineering. Constr. Build. Mater. 2021, 303, 124533. [Google Scholar] [CrossRef]
- Sun, X.; Li, E.B.; Han, Y.; Duan, J.L.; Pu, S.S. Experimental Study on the Deformation and Failure Characteristics of Granite under Unloading Paths. Chin. J. Undergr. Space Eng. 2020, 16, 665–679. [Google Scholar]
- Xiao, F.K.; Hou, Z.Y.; He, J.; Liu, G. Mechanical Characteristics and Acoustic Emission Characteristics of Coal Samples under Variable Angle Shear. J. China Univ. Min. Technol. 2018, 47, 822–829. [Google Scholar]
- Yang, Y.J.; Ma, D.P.; Zhou, Y. Experimental Research on Spectrum Signature Eigen of Acoustic Emission of Coal and Sandstone Damage under Triaxial Unloading Confining Pressure. J. Min. Saf. Eng. 2019, 36, 1002–1008. [Google Scholar]
- Lv, J.H. Chaos Time Series Analysis and Application; Wuhan University Press: Wuhan, China, 2002. (In Chinese) [Google Scholar]










| σ3i (MPa) | σ1i − σ3i (MPa) | σ3f (MPa) | σ1r − σ3r (MPa) | ∆ε1 | ∆ε3 | ∆εv |
|---|---|---|---|---|---|---|
| 10.00 | 95.00 | 1.80 | 28.55 | 0.105 | −0.351 | −0.596 |
| 20.00 | 121.00 | 7.64 | 63.97 | 0.201 | −0.395 | −0.589 |
| 30.00 | 157.00 | 18.60 | 78.63 | 0.230 | −0.373 | −0.516 |
| 40.00 | 184.00 | 25.22 | 97.25 | 0.248 | −0.399 | −0.549 |
Publisher’s Note: MDPI stays neutral with regard to jurisdictional claims in published maps and institutional affiliations. |
© 2022 by the authors. Licensee MDPI, Basel, Switzerland. This article is an open access article distributed under the terms and conditions of the Creative Commons Attribution (CC BY) license (https://creativecommons.org/licenses/by/4.0/).
Share and Cite
Hou, Z.; Xiao, F.; Liu, G.; Bashkov, O.V.; Lyu, L. Mechanical Properties and Acoustic Emission Characteristics of Unloading Instability of Sandstone under High Stress. Minerals 2022, 12, 722. https://doi.org/10.3390/min12060722
Hou Z, Xiao F, Liu G, Bashkov OV, Lyu L. Mechanical Properties and Acoustic Emission Characteristics of Unloading Instability of Sandstone under High Stress. Minerals. 2022; 12(6):722. https://doi.org/10.3390/min12060722
Chicago/Turabian StyleHou, Zhiyuan, Fukun Xiao, Gang Liu, Oleg Viktorovich Bashkov, and Lan Lyu. 2022. "Mechanical Properties and Acoustic Emission Characteristics of Unloading Instability of Sandstone under High Stress" Minerals 12, no. 6: 722. https://doi.org/10.3390/min12060722
APA StyleHou, Z., Xiao, F., Liu, G., Bashkov, O. V., & Lyu, L. (2022). Mechanical Properties and Acoustic Emission Characteristics of Unloading Instability of Sandstone under High Stress. Minerals, 12(6), 722. https://doi.org/10.3390/min12060722

