Next Article in Journal
Recovery of Rare Earth Elements Present in Mobile Phone Magnets with the Use of Organic Acids
Previous Article in Journal
Construction of Conceptual Prospecting Model Based on Geological Big Data: A Case Study in Songtao-Huayuan Area, Hunan Province
 
 
Font Type:
Arial Georgia Verdana
Font Size:
Aa Aa Aa
Line Spacing:
Column Width:
Background:
Article

Green and Efficient Utilization of Ferruginous Gibbsite Ore and Ferruginous Manganese Ore by Synergetic Carbothermic Co-Reduction–Magnetic Separation Process

School of Materials and Metallurgy, University of Science and Technology Liaoning, Anshan 114051, China
*
Author to whom correspondence should be addressed.
Minerals 2022, 12(6), 671; https://doi.org/10.3390/min12060671
Submission received: 20 March 2022 / Revised: 2 May 2022 / Accepted: 18 May 2022 / Published: 26 May 2022
(This article belongs to the Topic Iron Concentrate Particles)

Abstract

:
The synergetic utilization of ferruginous gibbsite ores (Al-Fe ores) and ferruginous manganese ores (Mn-Fe ores) by the carbothermic co-reduction roasting–magnetic separation process was proposed as an innovative and green process for the separation and recovery of the valuable metal elements of Mn, Fe and Al from these ores. In this paper, a ferromanganese crude alloy with 72.47% Fe and 10.19% Mn and a high recovery of 85.89% Fe was prepared, which produces an acceptable feed to produce manganese steels with an electric arc furnace. The synergistic co-reduction of the two kinds of complex and refractory minerals was favored to separate Fe, Mn and Al from these ores. The influence of the operating variables on the recovery and separation of valuable metals from Mn-Fe ores and Al-Fe ores is initially studied. Then, the stepwise reduction behaviors of a composite oxide Mn1-xFexO (0 ≤ x ≤ 1) and hercynite (Mn1−yFeyAl2O4, 0 ≤ y ≤ 1) were investigated to clarify that Mn-Fe ores have a positive impact on the reduction of fayalite and hercynite in Al-Fe ores. This study reported a simple green route, the carbothermic co-reduction–magnetic separation process, to economically and effectively treat Al-Fe ores and Mn-Fe ores.

1. Introduction

Ferruginous gibbsite ores have received more attention as an alternative for high-grade alumina ores [1,2], and the national reserve of these ores in China attains to more than 1.5 billion tons [3,4], which are an important alumina resource that can meet the needs of the developing alumina industry. Unfortunately, of these, more than 80% of the Al-Fe ores with a higher iron content are acceptable as feedstocks in blast furnaces [5], which not only wastes the limited resources extravagantly, but also smelts the difficult high-alumina slag in the blast furnace [6].
In recent years, extensive research has been successively and comprehensively utilized on high alumina iron ores. Carbothermal roasting reduction is the essential procedure for recovering and separating aluminum and iron from Al-Fe ores. However, the formation of hercynite in the reduction process has limited the separation and recovery of the valuable metal elements of iron and aluminum from the Al-Fe ores [7,8]. Moreover, approximately 10% of the Al content and 20% of the Fe content was present in nonmagnetic and magnetic products, respectively [3,9,10], and thus the higher operating temperature and considerable energy consumption limited its industrial application. In addition, researchers have previously investigated the effect of nonmetallic or sodium salts on the separation of Al and Fe in Al-Fe ores, in which the recovery and grades of the Fe were all over 90% [7,9,11,12,13,14]; however, while the alkali salt was favored to the aggregation and growth of metallic iron particles, it was harmful to ironmaking and the utilization of iron, which limited the application of the process. It is urgent to put forward an efficient, innovative and environmentally friendly technology for recovering and separating aluminum and iron from Al-Fe ores.
Previously, we have proved that MnO has a positive impact on the reduction of fayalite and hercynite in Mn-Fe ores [15]. The thermodynamic theory calculations by the Factsage 7.0 software found that MnO can lower the reduction temperature of fayalite and hercynite [16,17,18], and the experimental results showed that the iron ions in the ferromanganese complex can be used as a reduction catalyst to decrease the reduction temperature of MnO to the ferromanganese alloy [18,19,20]. In addition, the Mn-Fe ores are an important manganese resource for manganese extraction, but they are unacceptable as feedstocks for smelting ferromanganese alloys [21,22,23,24]. The considerable research has found that the carbothermic reduction or magnetic roasting reduction via the magnetic separation process presented an effective and economical route to the separation and recovery of manganese and iron from Mn-Fe ores [25,26,27,28,29,30]. Although these technology is suitable for industrial applications, approximately 10~20% of the Mn element loss was separated into the magnetic products [20,24,25,26,30,31,32,33]. In summary, it can be inferred that Mn-Fe ores not only promoted the reduction of hercynite but also reinforced the reduction of the Al-Fe ores [34,35,36].
In this paper, an innovative, efficient and sustainable technology is proposed to synchronously utilize the Al-Fe ores and Mn-Fe ores by utilizing the carbothermic co-reduction roasting process–magnetic separation process. In this new cleaning technology, the main valuable metals of Fe, Mn and Al can be effectively and environmentally recovered from the Al-Fe and Mn-Fe ores, and the obtained magnetic product, namely, a ferromanganese alloy with a low Mn content and high Fe content, can be employed as feedstocks to produce manganese steels with an electric arc furnace. In addition, the obtained nonmagnetic products are rich aluminum slags that belong to the significant aluminum resources for aluminum extraction, which can satisfy the needs of the developing aluminum industry. Furthermore, this method could be extended to extract valuable metals from complex and refractory minerals.

2. Experimental Section

2.1. Raw Materials

The high iron gibbsite ore (Al-Fe ores) used in this research was obtained from Guangxi province in China, the low grade ferromanganese ore (Mn-Fe ores) was collected from South Africa and the reduction coal was obtained from Tianjin province in China. The Al-Fe ores comprise 34.68 wt.% TFe (total iron), 49.25 wt.% Fe2O3, 23.85 wt.% Al2O3 and 7.16 wt.% SiO2, which exceeds the industrial high grade of natural ores. The XRD patterns of the raw materials (Figure 1a) displayed that the alumina elements in the Al-Fe ores mainly comprised gibbsite (Al(OH)3), boehmite (AlOOH) and kaolinite (n(Al2O3)·SiO2·n(H2O)), and the iron compounds mainly existed in the form of goethite (FeOOH) and hematite (Fe2O3). As shown in Figure 1b, the Mn-Fe ore was a typical high-alumina ferromanganese ore, which comprised 29.50 wt.% TMn (total manganese), 28.28 wt.% TFe (total iron), and which mainly included manganite MnO(OH), bixbyite ((Fe,Mn)2O3 and hematite (Fe2O3). The bitumite coal contained 52.98 wt.% fixed carbon, 40.70 wt.% volatiles, 5.30 wt.% ash and 1.02 wt.% moisture.

2.2. Carbothermic Co-Reduction via Magnetic Separation Process

The schematic diagram of recovery and separation of valuable metal elements of Fe, Mn and Al from the Al-Fe ores and Mn-Fe ores is displayed in Figure 2. Figure 2a describes the schematic diagram of the separation and recovery of the valuable metal elements of Mn, Al and Fe from the Al-Fe ores and Mn-Fe ores by rotary kiln. Figure 2b shows that the simulated experiment was carried in a vertical resistance furnace. First, the Al-Fe ores and Mn-Fe ores as a raw material were dry-ground to particles sized below 74 μm. The given amount of the Mn-Fe ores, Al-Fe ores and the reduction coal were adequately mixed in a prescribed proportion of FC/O. It should be pointed out that the FC/O is the molar ratio of the fixed carbon in coal to the reducible oxygen of iron and manganese in the Mn-Fe ores and Al-Fe ores [6,9,15,20]. After that, under a pressure of 30 MP, the mixture with the addition of 10% moisture was briquetted into a cylinder sample with a diameter of 15 mm and height of 15 mm in a cylinder mold. Then, the briquettes were dried at 110 °C for 4 h in the vacuum drying oven. After that, the briquettes in a corundum crucible were put into the vertical resistance furnace at a fixed temperature for a present reduction roasting time. The reduced briquettes were then brought out and cooled to ambient temperature in Ar atmosphere. Our previous report also reported other detailed descriptions of the reduction roasting process [15,20,21,34].

2.3. Magnetic Separation Process

The reduced briquettes were ground in a 2-MZ centrifugal grinding machine to pass through a 74 μm sieve (100%), then the pulverous samples were magnetically separated by a DTCXG-ZN50 Davies magnetic tube to utilize the separation and recovery of the valuable metal elements of Mn, Al and Fe from the Mn-Fe ores and the Al-Fe ores. The magnetic product, named as a crude low grade ferromanganese alloy powder, can be directly used as an industrial raw material for the iron and steel industry, and magnetic products, also known as rich aluminum slag, can be directly used as industrial raw material for the aluminum industry. After the magnetic separation process, the separated samples were filtered and dried at 120 °C for 4 h in a vacuum drying oven. The valuable metal elements of Mn, Al and Fe of the separated product were measured by chemical titration at Northeastern University, Shenyang, China. Further detailed descriptions of the magnetic separation technological process were reported in our previous reports [15,20,21,22].

2.4. Separation Indexes

The following experimental assessment indicators were descripted as follows: the Fe recovery (RFe) and the Mn grade, the Fe grade and the Al2O3 content in the magnetic product. The Fe recovery of the magnetic separation can be calculated as follows:
R F e = m F e × β F e M F e × γ F e × 100 %
where RFe is the recovery ratio of Fe, %; mFe is the mass of the magnetic product, g; MFe is the mass of the reduced samples, g; βFe is the Fe grade in the magnetic product, wt.%; γFe is the Fe grade in the reduced samples, wt.%.

2.5. Analysis and Characterization Methods

After the reduction roasting process, the cooled samples were ground by a 200 mesh sieve by a grinder for X-ray diffraction (XRD, PANalytical B.V, X Pertpro, Almelo, Netherlands) detection. The XRD data were scanned by 5°~90°, step length 0.024° (2θ) and scanning speed 12°/min. Then, the phase composition and microstructure of the samples were determined by the XRD peak splitting software x’ pert Highscore plus.
A scanning electron microscope (SEM, Jena, Germany) and energy dispersive spectrometer (EDS) were used to perform the point scanning on the microstructure of the products with different reduction roasting times. The interface reaction behavior in the synthetic process was also studied by SEM–EDS analysis.
Preliminary thermodynamic analysis of the sample was carried out by a synchronous thermal analyzer (DSC/DTA-TG, NETCH STA449 F3, Selb, Germany), and the preliminary results (DSC/DTA-TG) were comprehensively analyzed with the experimental results.

3. Thermodynamic Analysis of the Co-Reduced Al-Fe Ores and Mn-Fe Ores

Figure 3 displays the thermodynamic theory calculations and thermogravimetric analysis of the Al-Fe ores and the Mn-Fe ores to clarify the co-reduction mechanism of the Al-Fe ores and Mn-Fe ores. Figure 3a displays the thermodynamic theory calculation analysis of iron oxide and manganese oxide in the Al-Fe ores and Mn-Fe ores using the FACTSAGE 7.2 software. The main chemical reaction equations obtained are Equations (2)–(11). The carbothermic co-reduction mechanism of the Mn-Fe ores and Al-Fe ores has been studied in our previous research [15,20,21]. The poor separation of Fe and Al from the Al-Fe ores is mainly due to the unreduced hercynite phase and unreduced fayalite phase. The reduction temperature of the hercynite (FeAl2O4) and fayalite (Fe2SiO4) was 841.5 °C and 815.6 °C under the CO atmosphere, respectively. In the presence of MnO, the indirect reduction temperature of FeAl2O4 and Fe2SiO4 decreased to 658.6 °C and 667.9 °C under CO atmosphere, respectively. In addition, the partial pressure of the CO required for the reduction reaction was also significantly reduced. As shown in Figure 3b, in the presence of MnO, the direct reduction temperature of FeAl2O4 obviously decreased from 831 °C to 667 °C, and that of Fe2SiO4 decreased from 805 °C to 658 °C. The main chemical reaction equations obtained are Equations (12)–(15). It was proved that the participation of MnO in the Fe-Mn ores can significantly lower the reduction temperature of hercynite (FeAl2O4) and fayalite (Fe2SiO4) in the Al-Fe ores.
The thermogravimetric analysis of the Al-Fe ores and Mn-Fe ores is described in Figure 3c to clarify the different reduction stages of the Mn-Fe ores and Al-Fe ores. In the carbothermic reduction process of the Mn-Fe ores, the reduction stage A1 (MnxOy → MnO) had priority over the reduction stage A2 (FexOy → FeO). The reduction stage A3 of FeAl2O4 and Fe2SiO4 in the presence of MnO occurred before the reduction stage A4 (FeAl2O4 and Fe2SiO4 → Fe). In addition, in the carbothermic reduction process of the Al-Fe ores, the crystal water precipitation in the Al-Fe ores also initially occurred before the other reduction reaction stages. The reduction stage B2 (FexOy → FeO) occurred in advance of the reduction stage B3 (FeAl2O4 → Fe). In the process of the carbothermic co-reduction of the mixed samples containing 50% Mn-Fe ores and 50% Al-Fe ores, by focusing on the co-reduction mechanism of the two ores, the reduction stage C2 of FeAl2O4 in the presence of MnO had priority over the reduction stage C3 (FeAl2O4 → Fe).
Fe3O4 + CO = Fe + CO2
FeO + CO = Fe + CO2
Fe3O4 + CO = FeO + CO2
Al2O3 + Fe2O3 = Fe2Al2O6
C + CO2 = 2CO
FeAl2O4 + CO = Al2O3 + Fe + CO2
FeAl2O4 + MnO + CO = Fe + MnAl2O4 + CO2
Fe2SiO4 + 2CO = SiO2 + 2Fe+ + 2CO2
Fe2SiO4 + 2MnO + 2CO = 2Fe + Mn2SiO4 + 2CO2
Mn3O4 + CO = 3MnO + CO2
Fe2SiO4 + 2C = SiO2 + 2Fe+ +2CO
Fe2SiO4+ 2MnO + 2C = 2Fe+ Mn2SiO4 + 2CO
FeAl2O4 + C = Al2O3 + Fe + CO
FeAl2O4 + MnO + C = Fe + MnAl2O4 + CO
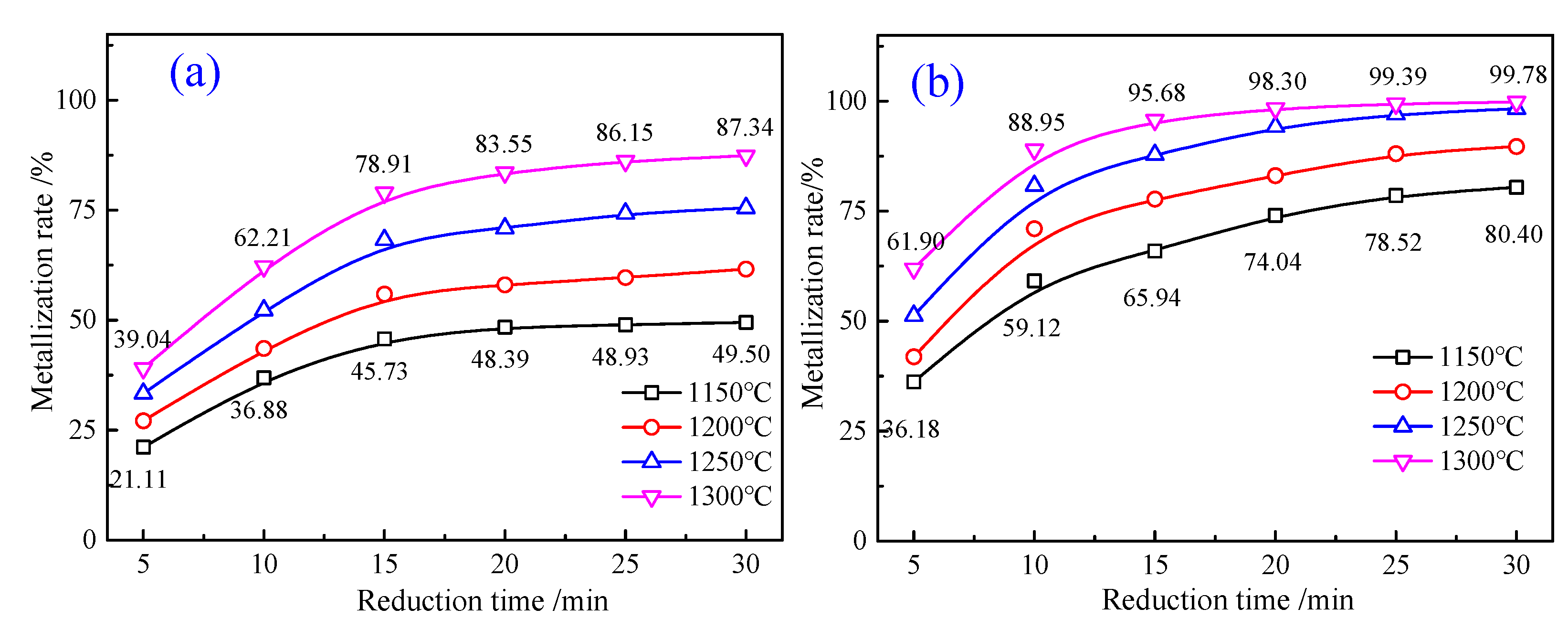
As shown in Figure 4, with the reduction time increasing from 5 min to 30 min, the metallization rate increased from 39.04% to 87.34% at 1300 °C and from 21.11% to 49.05% at 1150 °C in the carbothermic reduction process of Al-Fe ores, but when the Al-Fe ores were mixed with the Mn-Fe ores for the carbothermic reduction roasting process, the metallization rate increased from 61.90% to 99.78% at 1300 °C and from 36.18% to 80.40% at 1150 °C in the carbothermic co-reduction roasting process of the Al-Fe ores and Mn-Fe ores. In summary, the TG/DTG analysis results and the metallization rate for the reduced Mn-Fe ores and Mn-Fe ores were consistent with the thermodynamic theory calculations. In other words, it proves once again that the participation of MnO can obviously lower the reduction temperature of hercynite (FeAl2O4) and fayalite (Fe2SiO4) in Al-Fe ores. The presence of MnO can promote the reduction of Al-Fe ores, but the mechanism analysis of bauxite is not clear in the presence of MnO, so it is necessary to further study its reduction mechanism.

4. Results and Discussion

4.1. Results of the Carbothermic Co-Reduction Roasting–Magnetic Separation of Al-Fe Ores/Mn-Fe Ores

To separate the valuable metal elements of Fe and Al from the Al-Fe ores, the carbothermic reduction roasting of the reduced product was employed to transform iron oxides and manganese oxides into the ferromanganese alloy. The magnetic product, as the ferromanganese alloy, and the nonmagnetic product, as the rich aluminum slag, were recovered by the magnetic separation process. The effect of the reduction temperature, FC/O, reduction time and proportion of the Al-Fe ores/Mn-Fe ores on the recovery and grade of the Fe and Mn grade in smelting the ferromanganese alloy are displayed in Figure 5. As shown in Figure 5a, with the reduction temperature increasing from 1200 °C to 1400 °C, the Fe grade in the ferromanganese alloy continuously increased from 48.73% to 76.70%, and the Al2O3 content decreased from 21.49% to 3.23%, while the Mn grade in the alloy remained at around 10.0%. These proved that the higher reduction temperature was favorable to the reduction of hercynite in the Al-Fe ores. In Figure 5b, it can be found that the Fe recovery rapidly decreased from 92.50% to 69.21%, then slowly increased to 74.68% with the increase of FC/O from 0.7 to 1.2. The Mn grade in the alloy increased from 6.20% to 11.18%. That is to say, FC/O is not conductive to the recovery of Fe, but it is benefited in the reduction of manganese oxides. It is well known that both the reduction of iron oxides and manganese oxides is enhanced with the rise in FC/O [6,15,20]. Thus, it was deduced that there was a certain relationship between the reduction of iron and the manganese oxides. In Figure 5c, with the increase of the reduction time from 1 h to 2 h, the recovery of Fe increased from 79.97% to 89.35%, the Fe and Mn grade in alloy increased from 67.72% to 72.47% and from 8.93% to 10.19%, respectively. When the reduction time exceeded 2 h, the Fe and Mn grade in the alloy remained at 10.2% and 72.0%, respectively. As shown in Figure 5d, it can be seen that with the increase of the proportion of the Al-Fe ores/Mn-Fe ores from 5/5 to 9/1, the Fe recovery increased from 63.93% to 92.14%, and the grade of Fe in the alloy increased from 66.55% to 73.54%. The Mn grade in the alloy decreased due to the decrease of the Mn-Fe ores ratio. Under the optimum conditions, the raw Mn-Fe ores and Al-Fe ores were reduced at 1300 °C for 2 h under the FC/O of 1.0 with the proportion of Al-Fe ores/Mn-Fe ores of 7/3, which obtained a crude Mn-Fe alloy containing the Fe grade of 72.47%, the Mn grade of 10.19% and the Fe recovery of 89.35%, which can be used in an electronic furnace to produce manganese steels with an electric arc furnace.

4.2. Phase Transformation of Al-Fe Ores and Mn-Fe Ores during Carbothermic Co-Reduction Roasting

4.2.1. Phase Transformation of Al-Fe Ores in Reduction Roasting Process

Figure 6 displays the XRD analysis of the Al-Fe ores reduced at 1300 °C under the FC/O of 1.0 for a duration time of 5–90 min. When the reduction time reached 5 min, the characteristic diffraction peaks of Fe, FeAl2O4, Fe2SiO4 and SiO2 can be found. With the reduction time increased from 5 min to 90 min, the intensity of the characteristic diffraction peaks of Fe2SiO4 gradually decreased, and that of SiO2 and Al2SiO5 increased, which demonstrated that almost all of the Fe2SiO4 was converted to SiO2 and Al2SiO5. In addition, it was also observed that the intensity of the diffraction peaks of hercynite FeAl2O4 gradually decreased, and that of Fe increased, which demonstrated that FeAl2O4 was reduced to Fe and Al2O3. When the reduction reached 60 min, Al2O3 and SiO2 combined to form Al2SiO5. When the time reached 90 min, the amount of FeAl2O4 was already very small. However, the presence of FeAl2O4 was accompanied by the entire experimental process. Therefore, the reduction of hercynite FeAl2O4 was restricted to the recovery of iron from Al-Fe ores during the reduction roasting process.

4.2.2. Phase Transformation of Mn-Fe Ores in Reduction Roasting Process

Figure 7 shows the XRD patterns of the Mn-Fe ore reduced for 30 min under the FC/O of 1.0 at different reduction temperatures. As shown in Figure 7a, the intensity of the characteristic diffraction peaks of the Fe gradually increased with the rise of the reduction temperature from 800 °C to 1000 °C, and the characteristic diffraction peaks of Fe-C were detected at 1100 °C. The standard substance of the characteristic diffraction peaks of the Fe-C group are found in Figure 7d. Figure 7b shows the evolution rule of the characteristic diffraction peaks of wustite (FexMn1−xO, 1≥ x ≥0) in the carbothermal reduction process of the Mn-Fe ores. The standard substance of the characteristic diffraction peaks of the wustite FexMn1-xO group are also displayed in Figure 7g. It was also observed that the characteristic diffraction peaks (2 0 0) of the wustite FexMn1-xO transformed from 41.802 (FeO) to 40.663 (MnO), which was detected as the x-values increased from 1 to 0 with the reduction temperature rising from 800 °C to 1100 °C. Moreover, the intensity of the diffraction peaks of the wustite FexMn1-xO group remained at a level value with the increase of the reduction temperature. It was inferred that the wustite FexMn1-xO phase was continually generated from the formation of a composite oxide of Fe oxide and Mn oxide. Figure 7c displays the XRD patterns of the fayalite FeyMn2−ySiO4 and hercynite FeyMn1−yAl2O4 group in the carbothermic reduction process of the Mn-Fe ores. The standard substance of characteristic diffraction peaks of the fayalite FeyMn2−ySiO4 and the hercynite FeyMn1−yAl2O4 are illustrated in Figure 7e,f. As shown in Figure 7c, with the rising of the reduction temperature, the intensity of the characteristic diffraction peaks of the fayalite FeyMn2−ySiO4 and the hercynite FeyMn1−yAl2O4 gradually increased, and the transitional phenomenon for the characteristic diffraction peaks of the fayalite FeyMn2−ySiO4 was also observed. However, it was difficult to distinguish the y-value of the FeyMn2−ySiO4 and FeyMn1−yAl2O4 groups according to the standard substance of these groups. According to the previous study, the ionic Fe2+ in hercynite (FeAl2O4) and fayalite (Fe2SiO4) was easily replaced by ionic Mn2+ in MnO to form FeyMn2−ySiO4 and FeyMn1−yAl2O4, which promoted the stepwise co-reduction of fayalite FeyMn2−ySiO4 and FeyMn1−yAl2O4 in the Mn-Fe ores and Al-Fe ores [35,36]. The formation of the wustite FexMn1-xO phase was closely related to the stepwise co-reduction of fayalite FeyMn2−ySiO4 and FeyMn1−yAl2O4 [37,38]. The close combination of the MnO phase and a metallic Mn-Fe alloy that derived from the stepwise reduction of the wustite FexMn1-xO phase were closely related with the stepwise reduction of the hematite (Fe, Mn)2O3 phases and fayalite FeyMn2−ySiO4, hercynite (FeyMn1−y)Al2O4.

4.2.3. Phase Transformation of Al-Fe Ores/Mn-Fe Ores

Figure 8 shows the effect of the different reduction roasting times on the phase transformations of the reduced mixed samples at 1300 °C under the FC/O of 1.0 with the proportion of the Al-Fe ores/Mn-Fe ores of 7/3. It was initially found that Fe, FeAl2O4, Fe0.331Mn0.669O and FeMn(SiO4) were the major phase compositions in the Mn-Fe ores. With the reduction time increased from 5 to 90 min, the diffraction intensity peaks of the metallic Fe initially increased, then slowly decreased, which demonstrated that the formation of metallic iron was converted to the Fe-C alloy. A complex transformation phenomenon for the characteristic diffraction peaks (2 0 0) of the wustite FexMn1-xO from 41.802 (FeO) to 40.663 (MnO) was detected as the x-values decreased from 1 to 0 while the reduction time increased from 5 to 90 min. Stabilization was broken until the reaction proceeded to 60 min. Due to the phenomenon of carburization, the Fe content was lowered to produce C0.14Fe1.86. It can be seen from the XRD analysis that the peak of FeAl2O4 is constantly shifted toward the peak of MnAl2O4. This shows that FeO in FeAl2O4 is gradually replaced by MnO. It maintains the lattice structure of hercynite and exists in the form of MnxFe1-xAl2O4. As the reduction time increased, the value of x gradually increased. When the experiment was carried out for 90 min, its peak was very close to MnAl2O4. This means that a part of MnAl2O4 has been generated at this time, and the amount of FeAl2O4 was already very small.
The reduced samples were detected by XRD analysis to reveal the co-reduction mechanism of the Al-Fe ores and Mn-Fe ores. Figure 9 shows the effect of the proportion of the Al-Fe ores/Mn-Fe ores on the phase transformation of the reduced mixed samples at 1300 °C for 2 h under FC/O of 1.0. As shown in Figure 9a, where it can be found that fayalite was the major mineral in the reduced samples, with the increase of the proportion of the Al-Fe ores/Mn-Fe ores from 9/1 to 5/5, the intensity of the diffraction peaks of Fe and Al2O3 decreased and disappeared, and that of metallic iron also gradually decreased; these also demonstrate that it is much more difficult to reduce the hercynite FeAl2O4 in the Al-Fe ores, and in the presence of MnO, the Mn-Fe ores were favored to the stepwise reduction of FeAl2O4 in the Al-Fe ores. In Figure 9b, the intensity of the diffraction peaks of the hercynite (FeyMn1−y)Al2O4 gradually increased. When the proportion of the Al-Fe ores/Mn-Fe ores reached to 5/5, the intensity of the diffraction peaks of the hercynite (FeyMn1−y)Al2O4 reached its maximum. Moreover, the diffraction peaks of Al2O3 and the wustite FexMn1-xO disappeared, and the diffraction peaks of the Mn-Fe-C alloy appeared. The above results further confirm that MnO in Mn-Fe ores can catalyze the stepwise reduction of hercynite FeAl2O4 in Al-Fe ores to form metallic iron.

4.3. Morphological Characteristics of Al-Fe Ores and Mn-Fe Ores during Carbothermic Reduction Process

To further confirm these conclusions, Figure 10 displays that the SEM/EDS were used in the microstructure of the reduced samples. The white phase was mainly metallic iron. A mixture of FeAl2O4, SiO2, and so on, constitutes the gray base phase in high alumina iron ore. It can be clearly seen from the EDS detecting results that the gray phases in the mixed sample are mainly MnAl2O4 and FeAl2O4 and their transition phases. A trend of increasing particle sizes of the ferromanganese alloy with the increasing reduction time was evident. Compared with the Al-Fe ores and the Al-Fe ores/Mn-Fe ores, the additions of the Mn-Fe ores resulted in a significantly higher average and maximum of ferromanganese particle sizes. As shown in Figure 11, in the case of the pure Al-Fe ores, the metal iron formed by the reduction of the high alumina iron ore is approximately spherical. Iron particles grow slowly and are difficult to aggregate. Compared with the Al-Fe ores and the Al-Fe ores/Mn-Fe ores, the degree of aggregation and the amount of metallic iron in the mixed samples reduction product are significantly increased. In the reduction process, there is a transition state in which Fe, Mn, and Al coexist. After the transition state, the iron particles grow rapidly and aggregate into an irregular shape. These proved that the MnO element acts as reduction catalyst to aid in the growth of the ferromanganese alloy particles.

4.4. Carbothermic Co-Reduction Mechanism of Al-Fe Ores and Mn-Fe Ores

Figure 12 shows the carbothermic co-reduction mechanism of the Al-Fe ores and the Mn-Fe ores. As illustrated in Figure 12a, based on the experimental results and the thermodynamic theory calculations, the main phase consists of a spinel-type phase, a monoxide and an iron phase. Moreover, the Al-spinel refers to FeAl2O4, (FeyMn1−y)Al2O4 and MnAl2O4. The formation of the spinel phase types are favored by the theoretical calculation of thermodynamics. Figure 12b shows the crystal structure of the spinel (FeyMn1−y)Al2O4. The spinel FeAl2O4 had normal and inverse spinel structures, and the distribution of Al3+, Fe2+ and Mn2+ ions in the spinel structure were disordered at higher temperatures. The normal and inverse spinel structure of the spinel FeAl2O4 samples inevitably coexisted and were co-transformed at the same time. Therefore, it provides a comfortable physical and chemical environment for the reduction of hercynite FeAl2O4 in the Al-Fe ores. In the presence of MnO, the Mn2+ can replace Fe2+ easily in FeAl2O4, resulting in the formation of MnAl2O4 and FeO, which further promotes the reduction of Fe. In addition, the free Fe2+ ions were combined with MnO to form the wustite (FexMn1-xO), which further reduced to ferromanganese alloy.
Figure 12c displays the phase transformation of the hercynite FeAl2O4 in the reduction process of the Al-Fe ores and the Mn-Fe ores. The situation A was the formation of MnAl2O4 according to Equations (16)–(18), and in the presence of MnO, the FeAl2O4 was converted to (FeyMn1−y)Al2O4, and further converted to MnAl2O4. In addition, the replaced iron atoms were easily reduced to metallic iron at 685.6 °C in a CO atmosphere. The XRD analysis (Figure 8 and Figure 9) proved that the Fe2+ atoms were indirectly replaced by Mn2+ atoms in the spinel-type structure of FeAl2O4, resulting in the formation of FeyMn1−yAl2O4. The situation B shows that the reduction temperature of hercynite FeAl2O4 was 841 °C in a CO atmosphere or at 831 °C by carbon (Equations (19) and (20)), respectively. The situation C was the formation of the wustite (FexMn1-xO) according to Equations (21)–(24), and in the presence of MnO, the Fe2+ atoms that were substituted by Mn2+ atoms in the crystal structure of spinel (FeyMn1−y)Al2O4 were easily able to combine with the free MnO to form the new phase of FexMn1-x O. Then, it was further reduced to metallic iron by carbon at 724 °C and by CO at 731 °C. These demonstrated that MnO within Mn-Fe ores acted as a catalyst to promote the reduction of hercynite FeAl2O4 in the Al-Fe ores, and thus improve the metallization rate of Fe and Mn. The stepwise reduction reactions of FeAl2O4 by MnO were expressed as follows:
[Fe2+][Al3+]2[O2−]4 + (1−y)[Mn2+][O2−] = [Fe2+]y[Mn2+]1−y[Al3+]2[O2−]4 + (1−y)[Fe2+][O2−]
[Fe2+]y[Mn2+]1−y[Al3+]2[O2−]4 + y[Mn2+][O2−] = [Mn2+][Al3+]2[O2−]4+y[Fe2+][O2−]
[Fe2+][Al3+]2[O2−]4+(2−y−x)[Mn2+][O2−]→
[Fe2+]y[Mn2+]1−y[Al3+]2[O2−]4+[Fe2+][O2−]x[Mn2+][O2−]1−x
[Fe2+][Al3+]2[O2−]4 + CO = [Fe] + [Al3+]2[O2−]3 + CO2
[Fe2+][Al3+]2[O2−]4 + C = [Fe] + [Al3+]2[O2−]3 + CO
y[Fe2+][O2−]+(1−y) [Mn2+][O2−] = [Fe2+][O2−]y[Mn2+][O2−]1−y
[Fe2+][O2−]y[Mn2+][O2−]1−y + [C2+][O2−] = y[Fe]+1−y[Mn2+][O2−]+[C2+][O2−]2
[Mn2+][O2−]+[Fe][C] = [Fe]+[Mn] + [C2+][O2−]
[Fe2+][O2−]+[C2+][O2−] = [Fe] + [C2+][O2−]2

5. Conclusions

The synergetic utilization of ferruginous gibbsite ore and ferruginous manganese ore by carbothermic co-reduction followed by the magnetic separation process is reported as an effective technological process to separate and recover the valuable metal elements of Mn, Fe and Al from these ores, which produces an acceptable feed to produce manganese steels in an electronic furnace and the aluminum electrolysis industry.
A ferromanganese crude alloy with 72.47% Fe and 10.19% Mn was prepared under the appropriate conditions of a co-reduction temperature (1300 °C), a co-reduction duration (2 h), an FC/O (1.0), a proportion of Al-Fe ores/Mn-Fe ores (7/3) and a magnetic intensity (75 mT), which produced an acceptable feed to produce manganese steels with an electric arc furnace. The corresponding recovery of Fe can reach 89.35%. Meanwhile, the Al element from the Al-Fe ores and the Mn-Fe ores was enrichened into the nonmagnetic tailing, which can be extracted easily by the aluminum electrolysis industry.
The Mn-Fe ores were found not only to promote the reduction of hercynite but also to reinforce the reduction of the Al-Fe ores, which improved the metallization rates and the rapid formation of the ferromanganese alloy in the reduced samples. The FeAl2O4 in the Al-Fe ores was reduced to metallic iron at 841 °C in a CO atmosphere or at 831 °C by carbon. In the presence of MnO, FeAl2O4 in the Al-Fe ores was reduced to metallic iron at 731 °C in a CO atmosphere or at 724 °C by carbon. The MnO within the Mn-Fe ores acted as a catalyst to promote the reduction of hercynite FeAl2O4, and thus improved the metallization rate of Fe in the Al-Fe ores.
The synergistic co-reduction of the two kinds of complex and refractory minerals was favored to separate Fe, Mn and Al from these ores in the carbothermic reduction process. The formation mechanism and stepwise reduction of hercynite FeAl2O4 was processed as follows: FeAl2O4 was directly reduced to metallic iron in CO and C; FeAl2O4 was converted to (FeyMn1−y)Al2O4 and further converted to MnAl2O4; the Fe2+ atoms that were replaced by Mn2+ atoms in the stepwise reduction of hercynite FeAl2O4 were easily combined with free MnO to form a new ferromanganese composite phase (FeOxMn1-xO), which was further reduced to the ferromanganese alloy.

Author Contributions

L.G., methodology, investigation, and visualization; H.C., writing—original draft and writing—review and editing; W.Z., methodology, investigation, data curation, and software; Z.H., formal analysis, visualization funding acquisition and project administration. All authors have read and agreed to the published version of the manuscript.

Funding

This research was funded by the National Natural Science Foundation of China (52074150, 52104332) and the University of Science and Technology Liaoning Talent Project Grant (No. 601011507-05).

Data Availability Statement

The details of our data are presented in the full text. In addition, we have no links to publicly available datasets.

Conflicts of Interest

The authors declare that they have no known competing financial interest or personal relationships that could have appeared to influence the work reported in this paper.

References

  1. Liu, R.X.; Poon, C.S. Utilization of red mud derived from bauxite in self-compacting concrete. J. Hazard. Mater. 2016, 112, 384–391. [Google Scholar] [CrossRef]
  2. Huang, X.L.; Badawy, A.E.; Arambewela, M.; Ford, R.; Barlaz, M.; Tolaymat, T. Characterization of salt cake from secondary aluminum production. J. Hazard. Mater. 2014, 273, 192–199. [Google Scholar] [CrossRef] [PubMed]
  3. Meshram, A.; Singh, K.K. Recovery of valuable products from hazardous aluminum dross: A review. Resour. Conserv. Recy. 2018, 130, 95–108. [Google Scholar] [CrossRef]
  4. Tripathy, A.K.; Mahalik, S.; Sarangi, C.K.; Tripathy, B.C.; Sanjay, K.; Bhattacharya, I.N. A pyro-hydrometallurgical process for the recovery of alumina from waste aluminium dross. Miner. Eng. 2019, 137, 181–186. [Google Scholar] [CrossRef]
  5. Shah, S.S.; Palmieric, M.C.; Sponchiado, S.R.P.; Denise, B. Environmentally sustainable and cost-effective bioleaching of aluminum from low-grade bauxite ore using marine-derived Aspergillus niger. Hydrometallurgy 2020, 195, 105368–105378. [Google Scholar] [CrossRef]
  6. Liu, Z.G.; Chu, M.S.; Wang, Z. Study on metallized reduction and magnetic separation of iron from fine particles of high iron bauxite ore. High Temp. Mat. Process. 2017, 36, 79–88. [Google Scholar] [CrossRef]
  7. Wang, Y.X.; Zhang, T.A.; Lyu, G.Z.; Guo, F.F.; Zhang, W.G.; Zhang, Y.H. Recovery of alkali and alumina from bauxite residue (red mud) and complete reuse of the treated residue. Miner. Eng. 2018, 188, 456–465. [Google Scholar] [CrossRef]
  8. Melo, C.C.A.; Angélica, R.S.; Paz, S.P.A. A proposal for rapid grade control of gibbsitic bauxites using multivariate statistics on XRD data. Miner. Eng. 2020, 157, 106539–106548. [Google Scholar] [CrossRef]
  9. Liu, Z.G.; Wang, Z.; Tang, J.; Wang, H.T.; Long, H.M. Non-isothermal thermal decomposition kinetics of high iron gibbsite ore based on Popescu method. Trans. Nonferrous Met. Soc. China. 2015, 25, 2415–2421. [Google Scholar] [CrossRef]
  10. Gibson, B.; Wonyen, D.G.; Chelgani, S.C. A review of pretreatment of diasporic bauxite ores by flotation separation. Miner. Eng. 2017, 114, 64–73. [Google Scholar] [CrossRef]
  11. Hu, K.T.; Reed, D.; Robshaw, T.J.; Smith, R.M.; Ogden, M.D. Characterisation of aluminium black dross before and after stepwise salt phase dissolution in non-aqueous solvents. J. Hazard. Mater. 2021, 401, 123351–123360. [Google Scholar] [CrossRef] [PubMed]
  12. He, J.F.; Bai, Q.; Du, T.Y. Beneficiation and upgrading of coarse sized low-grade bauxite using a dry-based fluidized bed separator. Adv. Powder Technol. 2020, 31, 181–189. [Google Scholar] [CrossRef]
  13. Guan, F.; Zhang, H.; Liu, G.-Y.; Zhao, S.-G.; Xia, L.-Y. Flotation of aluminosilicate minerals using alkylguanidine collectors. Trans. Nonferrous Met. Soc. China. 2009, 19, 228–234. [Google Scholar] [CrossRef]
  14. David, E.; Kopac, J. The assessment of the recycling process of aluminum hazardous waste and a new route of development. Mater. Today Proc. 2019, 10, 340–347. [Google Scholar] [CrossRef]
  15. Gao, L.H.; Liu, Z.G.; Pan, Y.Z.; Feng, C.; Chu, M.S.; Tang, J. Systematic study on separation of Mn and Fe from ferruginous manganese ores by carbothermic reduction roasting process: Phase transformation and morphologies. J. Mater. Res. Technol. 2019, 8, 5591–5609. [Google Scholar] [CrossRef]
  16. Zhu, D.Q.; Xu, J.W.; Guo, Z.Q.; Pan, J.; Li, S.W.; Pan, L.T.; Yang, C.C. Synergetic utilization of copper slag and ferruginous manganese ore via co-reduction followed by magnetic separation process. J. Clean. Prod. 2020, 250, 119462–119472. [Google Scholar] [CrossRef]
  17. Coetsee, T. MnO reduction in high carbon ferromanganese production: Practice and theory. Min. Proc. Ext. Met. Rev. 2018, 39, 351–358. [Google Scholar] [CrossRef]
  18. Zhang, Y.B.; Liu, B.B.; You, Z.X.; Su, Z.J.; Luo, W.; Li, G.H.; Jiang, T. Consolidation behavior of high-Fe manganese ore sinters with natural basicity. Min. Proc. Ext. Met. Rev. 2016, 37, 333–341. [Google Scholar] [CrossRef]
  19. Liu, B.B.; Zhang, Y.B.; Wang, J.; Su, Z.J.; Li, G.H.; Jiang, T. New understanding on separation of Mn and Fe from ferruginous manganese ores by the magnetic reduction roasting process. Appl. Surf. Sci. 2018, 444, 133–144. [Google Scholar] [CrossRef]
  20. Gao, L.H.; Liu, Z.G.; Ge, Y.; Feng, C.; Chu, M.S.; Tang, J. Synthesis and characterization of manganese ferrite MnxFe3-xO4 from ferruginous manganese ores by multi-step roasting and magnetic separation. Powder Technol. 2019, 356, 373–382. [Google Scholar] [CrossRef]
  21. Gao, L.H.; Liu, Z.G.; Pan, Y.Z.; Feng, C.; Ge, Y.; Chu, M.S. A study on separation of Mn and Fe from high-alumina ferruginous manganese ores by the carbothermal roasting reduction process. Adv. Powder Technol. 2020, 31, 51–60. [Google Scholar] [CrossRef]
  22. Gao, L.H.; Liu, Z.G.; Chu, M.S.; Wang, R.; Wang, Z.H.; Feng, C. Upgrading of low-grade manganese ore based on reduction roasting and magnetic separation technique. Sep. Sci. Technol. 2019, 54, 195–206. [Google Scholar] [CrossRef]
  23. Zhang, Y.B.; Du, M.H.; Liu, B.B.; Su, Z.J.; Li, G.H.; Jiang, T. Separation and recovery of iron and manganese from high-iron manganese oxide ores by reduction roasting and magnetic separation technique. Sep. Sci. Technol. 2017, 52, 1321–1332. [Google Scholar] [CrossRef]
  24. Cheng, Z.; Zhu, G.C.; Zhao, Y.N. Study in reduction-roast leaching manganese from low-grade manganese dioxide ores using cornstalk as reductant. Hydrometallurgy 2009, 96, 176–179. [Google Scholar] [CrossRef]
  25. Ye, Q.X.; Chen, J.; Chen, G.; Peng, J.H.; Srinivasakannan, C.; Ruan, R.S. Effect of microwave heating on the microstructures and kinetics of carbothermal reduction of pyrolusite ore. Adv. Powder Technol. 2018, 29, 1871–1878. [Google Scholar] [CrossRef]
  26. Mpho, M.; Samson, B.; Ayo, A. Evaluation of reduction roasting and magnetic separation for upgrading Mn/Fe ratio of fine ferromanganese. Int. J. Min. Sci. Technol. 2013, 23, 537–541. [Google Scholar] [CrossRef]
  27. Yi, L.Y.; Huang, Z.C.; Jiang, T.; Zhao, P.; Zhong, R.H.; Liang, Z.K. Carbothermic reduction of ferruginous manganese ore for Mn/Fe beneficiation: Morphology evolution and separation characteristic. Minerals 2017, 7, 167. [Google Scholar] [CrossRef] [Green Version]
  28. Wu, Y.; Shi, B.; Ge, W.; Yan, C.J.; Yang, X. Magnetic separation and magnetic properties of low-grade manganese carbonate ore. JOM 2015, 67, 361–368. [Google Scholar] [CrossRef]
  29. Gao, Y.B.; Olivas-Martinez, M.; Sohn, H.Y.; Han, G.K.; Chan, W.K. Upgrading of low-grade manganese ore by selective reduction of iron oxide and magnetic separation. Metall. Mater. Trans. B 2012, 43, 1465–1475. [Google Scholar] [CrossRef]
  30. Peng, N.; Pan, Q.L.; Liu, H.; Yang, Z.H.; Wang, G.L. Recovery of iron and manganese from iron-bearing manganese residues by multi-step roasting and magnetic separation. Miner. Eng. 2018, 126, 177–183. [Google Scholar] [CrossRef]
  31. Singh, V.; Ghosh, T.K.; Ramamurthy, Y.; Tathavadkar, V. Beneficiation and agglomeration process to utilize low-grade ferruginous manganese ore fines. Int. J. Miner. Process 2011, 99, 84–86. [Google Scholar] [CrossRef]
  32. Singh, V.; Biswas, A. Physicochemical processing of low grade ferruginous manganese ores. Int. J. Miner. Process 2017, 158, 35–44. [Google Scholar] [CrossRef]
  33. Tripathy, S.K.; Banerjee, P.K.; Suresh, N. Effect of desliming on the magnetic separation of low-grade ferruginous manganese ore. Int. J. Min. Met. Mater. 2015, 22, 661–673. [Google Scholar] [CrossRef]
  34. Gao, L.H.; Liu, Z.G.; Yang, Z.C.; Cao, L.G.; Feng, C.; Chu, M.S.; Tang, J. Synthesis and magnetism property of manganese ferrite MnFe2O4 by selective reduction and oxidization roasting process. Appl. Surf. Sci. 2020, 508, 145292–1452099. [Google Scholar] [CrossRef]
  35. Zhu, L.; He, J.N.; Yan, D.R.; Dong, Y.C.; Zhang, J.X.; Lia, X.Z.; Liao, H.L. Atmospheric reactive plasma sprayed Al-Fe2O3-FeAl2O4 composite coating and its property evaluation. Appl. Surf. Sci. 2011, 257, 10282–10288. [Google Scholar] [CrossRef]
  36. Zhu, D.Q.; Pan, L.Q.; Guo, Z.Q.; Pan, J. Utilization of limonitic nickel laterite to produce ferronickel concentrate by the selective reduction-magnetic separation process. Adv. Powder Technol. 2019, 30, 451–460. [Google Scholar] [CrossRef]
  37. Liu, B.B.; Zhang, Y.B.; Lu, M.M.; Su, Z.J.; Li, G.H.; Jiang, T. A study on the carbonization and alloying process of MnO2 by methane-hydrogen gas mixture in the presence of Fe2O3. Powder Technol. 2018, 325, 271–279. [Google Scholar] [CrossRef]
  38. Guo, Z.Q.; Pan, J.; Zhu, D.Q.; Zhang, F. Green and efficient utilization of waste ferric-oxide desulfurizer to clean waste copper slag by the smelting reduction-sulfurizing process. J. Clean. Prod. 2018, 199, 891–899. [Google Scholar] [CrossRef]
Figure 1. XRD patterns of Fe-Al ores and Fe-Mn ores; (a) the XRD pattern of High alumina iron ore and (b) the XRD pattern of Low grade manganese iron ore.
Figure 1. XRD patterns of Fe-Al ores and Fe-Mn ores; (a) the XRD pattern of High alumina iron ore and (b) the XRD pattern of Low grade manganese iron ore.
Minerals 12 00671 g001
Figure 2. (a) Schematic diagram of the industrial separation of Al, Mn and Fe from Fe-Al ores/Fe-Mn ores inside a rotary kiln; (b) Schematic diagram of experimental equipment for the carbothermic co-reduction process.
Figure 2. (a) Schematic diagram of the industrial separation of Al, Mn and Fe from Fe-Al ores/Fe-Mn ores inside a rotary kiln; (b) Schematic diagram of experimental equipment for the carbothermic co-reduction process.
Minerals 12 00671 g002
Figure 3. (a) Gas–equilibrium diagram of Mn-Fe-C-O system; (b) ΔG0-T of FeAl2O4 and Fe2SiO4; (c) TG/DTG of the Fe-Mn ores and Fe-Al ores from ambient temperature to 1100 °C at a heating rate of 10 °C/min in a pure Ar atmosphere.
Figure 3. (a) Gas–equilibrium diagram of Mn-Fe-C-O system; (b) ΔG0-T of FeAl2O4 and Fe2SiO4; (c) TG/DTG of the Fe-Mn ores and Fe-Al ores from ambient temperature to 1100 °C at a heating rate of 10 °C/min in a pure Ar atmosphere.
Minerals 12 00671 g003
Figure 4. Effect of reduction time and temperature on metallization rate at a FC/O of 1.1 in reduction roasting process of (a) Fe-Al ores and (b) 70%Fe-Mn ore + 30% Fe-Mn ore.
Figure 4. Effect of reduction time and temperature on metallization rate at a FC/O of 1.1 in reduction roasting process of (a) Fe-Al ores and (b) 70%Fe-Mn ore + 30% Fe-Mn ore.
Minerals 12 00671 g004
Figure 5. Effect of carbothermic co-reduction temperature (a), FC/O (b), reduction time (c) and proportion of Fe-Al ores/Fe-Mn ores (d) on separation indexes of Al, Mn and Fe from Fe-Al ores/Fe-Mn ores.
Figure 5. Effect of carbothermic co-reduction temperature (a), FC/O (b), reduction time (c) and proportion of Fe-Al ores/Fe-Mn ores (d) on separation indexes of Al, Mn and Fe from Fe-Al ores/Fe-Mn ores.
Minerals 12 00671 g005
Figure 6. XRD patterns of the Fe-Al ores reduced at 1300 °C under FC/O of 1.0 for different reduction roasting times.
Figure 6. XRD patterns of the Fe-Al ores reduced at 1300 °C under FC/O of 1.0 for different reduction roasting times.
Minerals 12 00671 g006
Figure 7. XRD patterns of Fe-Mn ores reduced for 30 min under FC/O of 1.0 at different reduction temperature, (a) is the XRD pattern of 2θ =43 ~ 2θ =49; (b) is the XRD pattern of 2θ =34.1 ~ 2θ =43.3; (c) is the XRD pattern of 2θ =30 ~ 2θ =38 and XRD patterns of standard substances of the (d) FexC group, (e) FeyMn2−ySiO4 group, (f) (FeyMn1−y)Al2O4 group and (g) (FeO)x(MnO)1-x group.
Figure 7. XRD patterns of Fe-Mn ores reduced for 30 min under FC/O of 1.0 at different reduction temperature, (a) is the XRD pattern of 2θ =43 ~ 2θ =49; (b) is the XRD pattern of 2θ =34.1 ~ 2θ =43.3; (c) is the XRD pattern of 2θ =30 ~ 2θ =38 and XRD patterns of standard substances of the (d) FexC group, (e) FeyMn2−ySiO4 group, (f) (FeyMn1−y)Al2O4 group and (g) (FeO)x(MnO)1-x group.
Minerals 12 00671 g007
Figure 8. XRD patterns of the reduced mixed samples at 1300 °C under FC/O of 1.0 with proportion of Fe-Al ores/Fe-Mn ores of 7/3 for different reduction roasting times.
Figure 8. XRD patterns of the reduced mixed samples at 1300 °C under FC/O of 1.0 with proportion of Fe-Al ores/Fe-Mn ores of 7/3 for different reduction roasting times.
Minerals 12 00671 g008
Figure 9. XRD patterns of the reduced briquettes at 1300 °C for 2 h under FC/O of 1.0 with the different proportions of Fe-Al ores/Fe-Mn ores, (a) is the XRD pattern of 2θ =41.7 ~ 2θ =47.5 and (b) is the XRD pattern of 2θ =29.8 ~ 2θ =38.1.
Figure 9. XRD patterns of the reduced briquettes at 1300 °C for 2 h under FC/O of 1.0 with the different proportions of Fe-Al ores/Fe-Mn ores, (a) is the XRD pattern of 2θ =41.7 ~ 2θ =47.5 and (b) is the XRD pattern of 2θ =29.8 ~ 2θ =38.1.
Minerals 12 00671 g009
Figure 10. Micrographs of the reduced samples at 1200 °C under FC/O of 1.0 for different reduction times.
Figure 10. Micrographs of the reduced samples at 1200 °C under FC/O of 1.0 for different reduction times.
Minerals 12 00671 g010
Figure 11. SEM phase analysis for the reduced samples at 1200 °C under FC/O of 1.0 for different reduction times. (a) and (b) respectively represent The point sweep spectra of High Alumina Iron Ore and The mixed sample with a reduction time of 30 min, (c) and (d) respectively represent High Alumina Iron Ore and The mixed Sample Point scan spectrum with the reduction time of 90 min.
Figure 11. SEM phase analysis for the reduced samples at 1200 °C under FC/O of 1.0 for different reduction times. (a) and (b) respectively represent The point sweep spectra of High Alumina Iron Ore and The mixed sample with a reduction time of 30 min, (c) and (d) respectively represent High Alumina Iron Ore and The mixed Sample Point scan spectrum with the reduction time of 90 min.
Minerals 12 00671 g011
Figure 12. (a) Ternary phase diagram of Fe2O3-MnO2-Al2O3 system; (b) Crystal structure of the spinel FeAl2O4 and MnAl2O4; (c) Phase transformation of FeAl2O4 in carbothermic co-reduction process.
Figure 12. (a) Ternary phase diagram of Fe2O3-MnO2-Al2O3 system; (b) Crystal structure of the spinel FeAl2O4 and MnAl2O4; (c) Phase transformation of FeAl2O4 in carbothermic co-reduction process.
Minerals 12 00671 g012
Publisher’s Note: MDPI stays neutral with regard to jurisdictional claims in published maps and institutional affiliations.

Share and Cite

MDPI and ACS Style

Chen, H.; Gao, L.; Zhan, W.; He, Z. Green and Efficient Utilization of Ferruginous Gibbsite Ore and Ferruginous Manganese Ore by Synergetic Carbothermic Co-Reduction–Magnetic Separation Process. Minerals 2022, 12, 671. https://doi.org/10.3390/min12060671

AMA Style

Chen H, Gao L, Zhan W, He Z. Green and Efficient Utilization of Ferruginous Gibbsite Ore and Ferruginous Manganese Ore by Synergetic Carbothermic Co-Reduction–Magnetic Separation Process. Minerals. 2022; 12(6):671. https://doi.org/10.3390/min12060671

Chicago/Turabian Style

Chen, Haipeng, Lihua Gao, Wenlong Zhan, and Zhijun He. 2022. "Green and Efficient Utilization of Ferruginous Gibbsite Ore and Ferruginous Manganese Ore by Synergetic Carbothermic Co-Reduction–Magnetic Separation Process" Minerals 12, no. 6: 671. https://doi.org/10.3390/min12060671

APA Style

Chen, H., Gao, L., Zhan, W., & He, Z. (2022). Green and Efficient Utilization of Ferruginous Gibbsite Ore and Ferruginous Manganese Ore by Synergetic Carbothermic Co-Reduction–Magnetic Separation Process. Minerals, 12(6), 671. https://doi.org/10.3390/min12060671

Note that from the first issue of 2016, this journal uses article numbers instead of page numbers. See further details here.

Article Metrics

Back to TopTop