Recovery of Rare Earth Elements Present in Mobile Phone Magnets with the Use of Organic Acids
Abstract
:1. Introduction
2. Materials and Methods
2.1. Leaching NdFeB Magnets with Organic Acids
- −
- Organic acids: acetic acid (CH3COOH) and citric acid (C6H8O7);
- −
- Acid concentrations: 0.25, 0.50 and 1.0 mol/L;
- −
- Solid/liquid ratio: 1/100, 1/50 and 1/10;
- −
- Leaching time;
- −
- Leaching technique: microwave-assisted, ultrasound-assisted, and conventional leaching.
2.1.1. Microwave-Assisted Leaching
2.1.2. Ultrasound-Assisted Leaching and Conventional Leaching
3. Results and Discussion
3.1. NdFeB Magnets/Mobile Phones Ratio
3.2. Demagnetisation and Grinding of NdFeB Magnets
3.3. Chemical Composition of NdFeB Magnets Used in Mobile Phones
3.4. Leaching of REE with Organic Acids
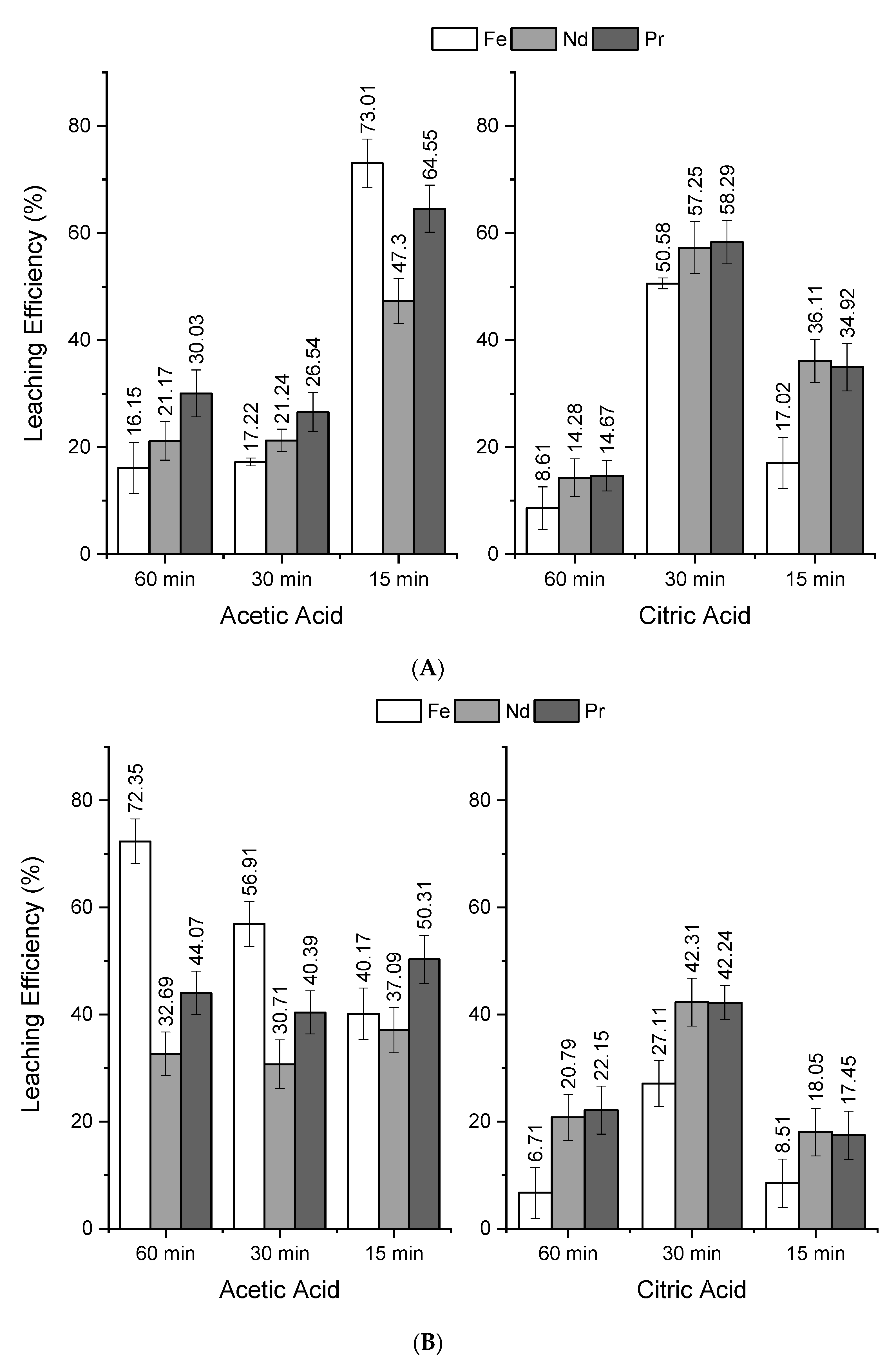
3.4.1. Microwave Leaching
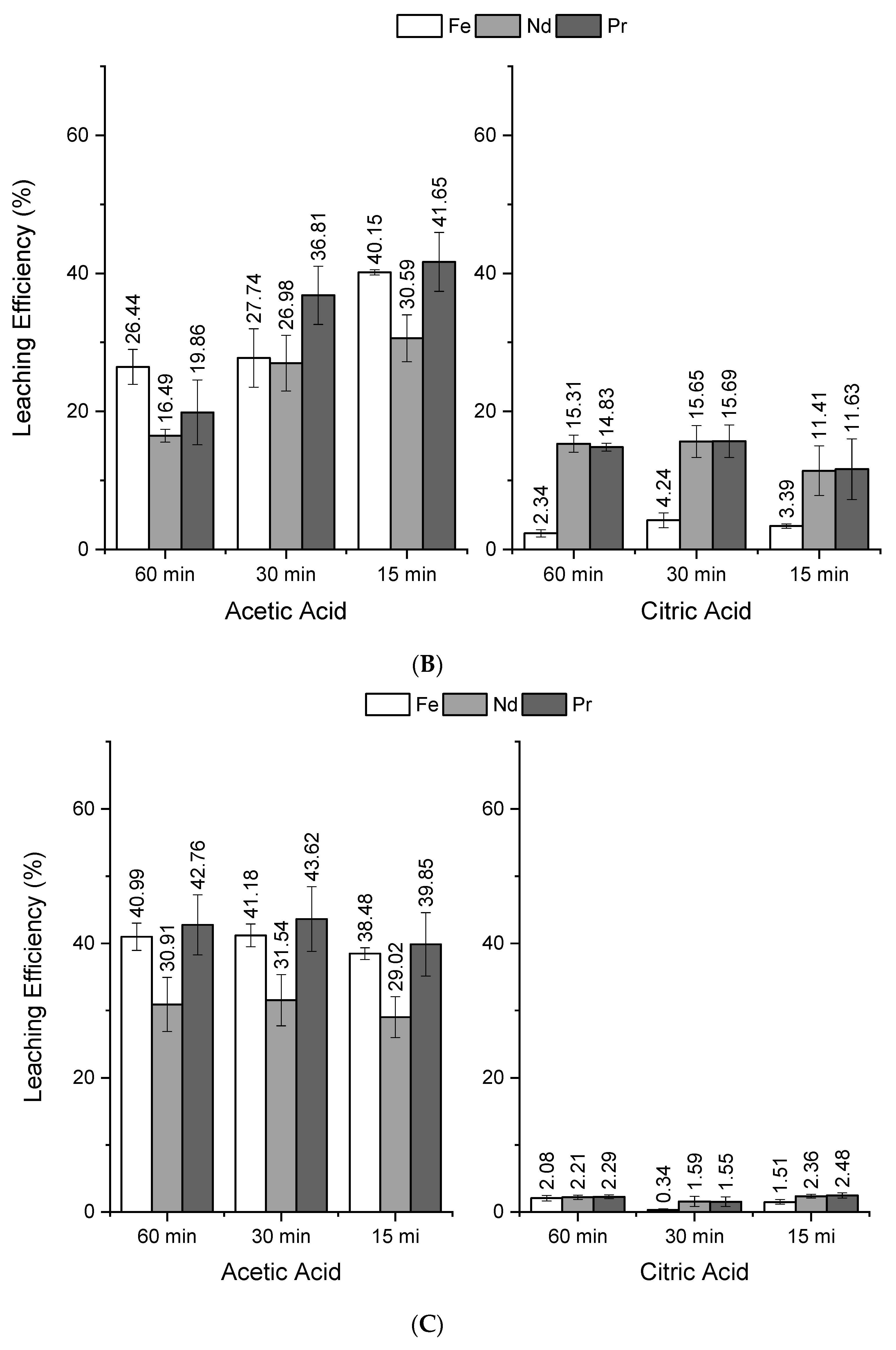
3.4.2. Ultrasound and Conventional Leaching
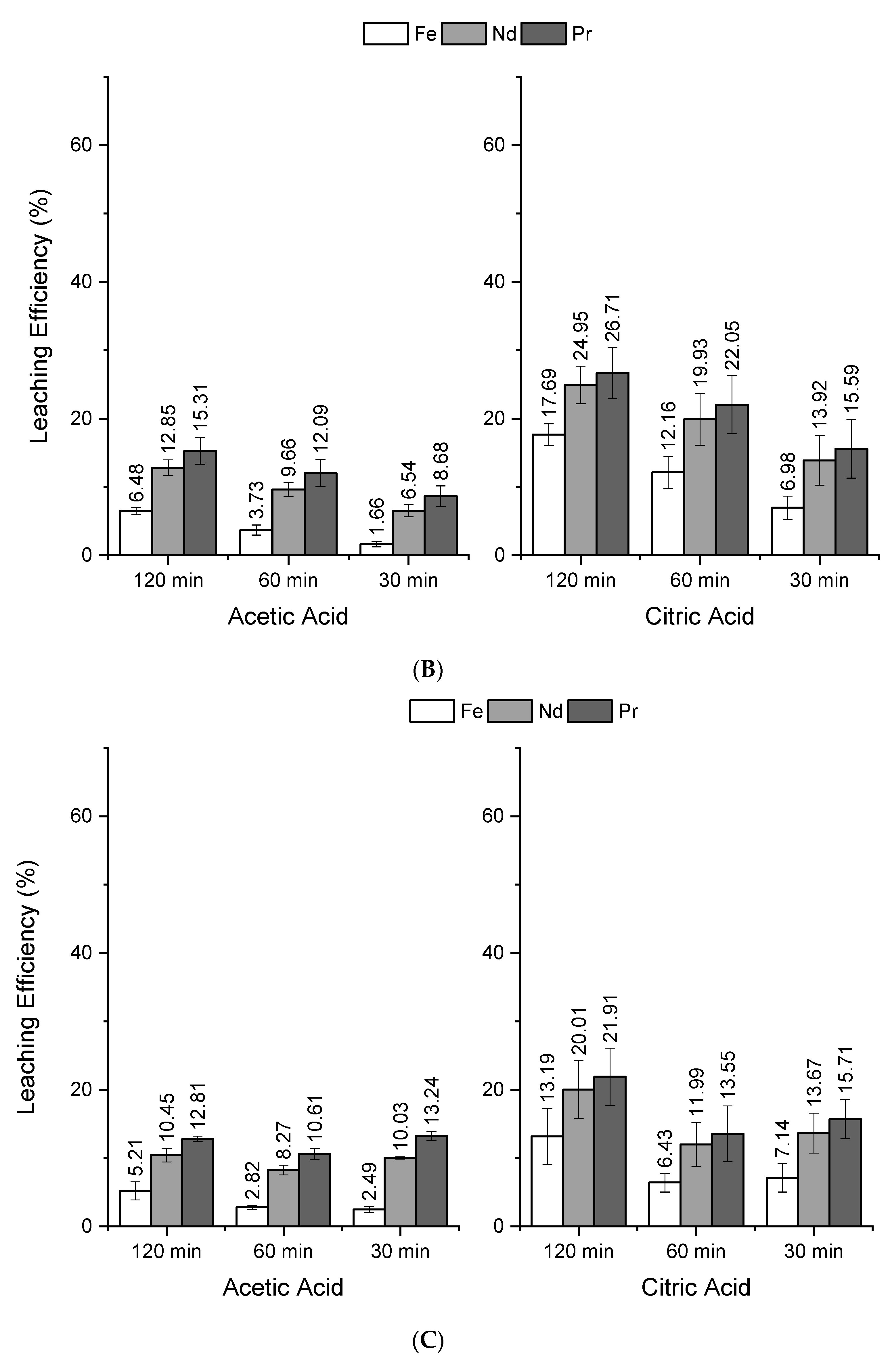
3.4.3. Ultrasound Leaching
3.4.4. Conventional Leaching
4. Conclusions
- The amount of REE present in mobile phone devices increased from 28.1% (2000–2005 models) to 34.3% (2019–2020 models);
- The studied magnets contained, on average, 28.9% of REE. On average, these magnets had 23.9% of Nd, a higher amount than that found in ores;
- Microwave leaching was the most effective compared to ultrasound and conventional methods;
- The best results for citric acid were obtained in microwaves, using a concentration of 0.5 M, s/l ratio 1/100 and 15 min; in these conditions 57% of Nd and 58% of Pr were leached. For acetic acid the best results were obtained in microwaves, using concentration 0.5 M, s/l ratio—1/100 and 15 min; in these conditions 48% of Nd and 65% of Pr were leached;
- Under the same conditions, both citric acid and acetic acid also leached high percentages of iron (51% and 72%, respectively), demonstrating low selectivity;
- Considering the results obtained, it can be concluded that there is a great potential for using organic acids (acetic and citric) in the leaching of Nd and Pr (rare earths classified as light, with similar chemical properties). However, these acids require the use of more aggressive conditions than those used in this study, such as increased temperature and leaching time.
Author Contributions
Funding
Data Availability Statement
Acknowledgments
Conflicts of Interest
References
- Du, X.; Graedel, T.E. Rare Earth Stocks in NdFeB Magnets. J. Ind. Ecol. 2011, 15, 6836–6843. [Google Scholar] [CrossRef]
- Chen, Z. Global rare earth resources and scenarios of future rare earth industry. J. Rare Earths 2011, 29, 1–6. [Google Scholar] [CrossRef]
- Wübbeke, J. Rare earth elements in China: Polices and narratives of reinventing and industry. Resour. Policy 2013, 38, 384–394. [Google Scholar] [CrossRef]
- Balaram, V. Rare earth elements: A review of applications, occurrence, exploration analysis, recycling, and environmental impact. Geosci. Front. 2019, 10, 1285–1303. [Google Scholar] [CrossRef]
- Long, K.R.; Gosen, B.S.V.; Foley, N.K.; Cordier, D. The Principal Rare Earth Elements Deposits of the United States: A Summary of Domestic Deposits and a Global Perspective. In Scientific Investigations Report; Non-Renewable Resource Issues; U.S. Geological Survey: Reston, VA, USA, 2012; pp. 131–135. [Google Scholar]
- Yang, B.Q.; Zhang, X.P. Analysis of global rare earth production and consumption structure. Chin. Rare Earths 2014, 35, 110–118. [Google Scholar]
- Goodenough, K.M.; Wall, F.; Merriman, D. The Rare Earth Elements: Demand, Global Resources, and Challenges for Resourcing Future Generations. Nat. Resour. Res. 2018, 27, 201–216. [Google Scholar] [CrossRef] [Green Version]
- Jha, M.K.; Kumari, A.; Panda, R.; Rajesh Kumar, J.; Yoo, K.; Lee, J.Y. Review on hydrometallurgical recovery of rare earth metals. Hydrometallurgy 2016, 165, 2–26. [Google Scholar] [CrossRef]
- Jordens, A.; Cheng, Y.P.; Walters, K.E. A review of the benefication of rare earth element bearing minerals. Miner. Eng. 2013, 41, 97–114. [Google Scholar] [CrossRef]
- Shin, S.H.; Kim, H.O.; Rim, K.T. Worker Safety in the Rare Earth Elements Recycling Process From the Review of Toxicity and Issues. Saf. Health Work 2019, 10, 409–419. [Google Scholar] [CrossRef]
- Koltun, P.; Tharumarajah, A. Life Cycle Impact of Rare Earth Elements. ISRN Met. 2014, 2014, 907536. [Google Scholar] [CrossRef] [Green Version]
- Humsa, T.Z.; Srivastava, R.K. Impact of Rare Earth Mining and Processing on Soil and Water Environment at Chavara, Kollam, Kerala: A Case Study. Procedia Earth Planet. Sci. 2015, 11, 566–581. [Google Scholar] [CrossRef] [Green Version]
- Amato, A.; Becci, A.; Birloaga, I.; Michelis, I.; De Ferella, F.; Innocenzi, V.; Ippolito, N.M.; Pillar, C.; Gomez, J.; Veglio, F.; et al. Sustainability analysis of innovative technologies for the rare earth elements recovery. Renew. Sustain. Energy Rev. 2019, 106, 41–53. [Google Scholar] [CrossRef]
- U.S. Department of Energy. Critical Materials Strategy; DOE/PI–0009; Department of Energy: Washington, DC, USA, 2011; 191p.
- European Commission. Critical Raw Materials for the EU, Report of the Ad-Hoc Working Group on Defining Critical Raw Materials; European Commission: Brussels, Belgium; Luxembourg, 2014; 41p. [Google Scholar]
- Van Gosen, B.S.; Verplanck, P.L.; Seal, R.R., II; Long, K.R.; Gambogi, J. Chapter O—Rare-Earth Elements. In Critical Mineral Resources of the United States–Economic and Environmental Geology and Prospects for Future Supply; Schulz, K.J., DeYoung, J.H., Jr., Seal, R.R., II, Bradley, D.C., Eds.; U.S. Geological Survey Professional Paper 1802; U.S. Geological Survey: Reston, VA, USA, 2017; pp. O1–O31. [Google Scholar]
- Makarava, I.; Kasach, A.; Kharytonau, D.; Kurilo, I.; Laatikainen, M.; Repo, E. Enhanced acid leaching of rare earths from NdCeFeB magnets. Miner. Eng. 2022, 179, 107446. [Google Scholar] [CrossRef]
- Kramer, D. US government acts to reduce dependence on China for rare-earth magnets. Phys. Today 2021, 74, 20–24. [Google Scholar] [CrossRef]
- Cui, J.; Ormerod, J.; Parker, D.; Ott, R.; Palasyuk, A.; Mccall, S.; Paranthaman, M.P.; Kesler, M.S.; McGuire, M.A.; Nlebedim, I.C.; et al. Manufacturing Processes for Permanent Magnets: Part I—Sintering and Casting. JOM 2022, 74, 1279–1295. [Google Scholar] [CrossRef]
- Coey, J.M.D. Perspective and Prospects for Rare Earth Permanent Magnets—Rare Earth Permanent Magnets—Review. Engineering 2020, 6, 119–131. [Google Scholar] [CrossRef]
- Trench, A.; Sykes, J.P. Rare Earth Permanent Magnets and Their Place in the Future Economy. Engineering 2020, 6, 115–118. [Google Scholar] [CrossRef]
- Dent, P.C. Rare earth elements and permanent magnets (invited). J. Appl. Phys. 2012, 111, 07A721. [Google Scholar] [CrossRef] [Green Version]
- Wang, H.; Li, A.; Li, W. Effect of Pr and Dy substitution on the impact resistance of sintered Nd–Fe–B magnets. Intermetallics 2007, 15, 985–988. [Google Scholar] [CrossRef]
- Coey, J.M.D. Magnetism and Magnetic Materials; Cambridge University Press: Cambridge, UK, 2010. [Google Scholar]
- Herbst, J.F.; Croat, J.J. Neodymium-iron-boron permanent magnets. J. Magn. Magn. Mater. 1991, 100, 57–78. [Google Scholar] [CrossRef]
- BMT/IDEAL MAGNET SOLUTIONS. Rare Earth Metals-12 Things You Didn’t Know. Available online: https://idealmagnetsolutions.com/knowledge-base/rare-earth-metals-12-things-about-neodymium/ (accessed on 12 February 2021).
- BMT/IDEAL MAGNET SOLUTIONS. Small NdFeB Magnets in Smartphones and Personal Electronics. Available online: https://idealmagnetsolutions.com/knowledge-base/small-ndfeb-magnets-in-smartphones-and-personal-electronics/ (accessed on 12 February 2021).
- GSM Association. The Mobile Economy Report; GSM Association: London, UK, 2021. [Google Scholar]
- Baldé, C.P.; Forti, V.; Gray, V.; Kuehr, R.; Stegmann, P. The Global e-Waste Monitor 2017; Report; United Nations University: Tokyo, Japan, 2017. [Google Scholar]
- Cordella, M.; Alfieri, F.; Sanfelix, J. Reducing the carbon footprint of ICT products through material efficiency strategies—A life cycle analysis of smartphones. J. Ind. Ecol. 2021, 25, 448–464. [Google Scholar] [CrossRef]
- Forti, V.; Baldé, C.P.; Kuehr, R.; Bel, G. The Global e-Waste Monitor 2020: Quantities, Flows, and the Circular Economy Potential; Report; United Nations University: Bonn, Germany; Geneva, Switzerland; Rotterdam, The Netherlands, 2020. [Google Scholar]
- Holgersson, S.; Steenari, B.M.; Björkman, M.; Culbrand, K. Analysis of the metal content of small-size Waste Electric and Electronic Equipment (WEEE) printed circuit boards—Part 1: Internetrouters, mobile phones and smartphones. Resour. Conserv. Recycl. 2018, 133, 300–308. [Google Scholar] [CrossRef]
- Park, Y.J.; Fray, D. Recovery of high purity precious metals from printed circuit boards. J. Hazard. Mater. 2009, 164, 1152–1158. [Google Scholar] [CrossRef]
- Lu, Z.; Xiang, X.; Xie, B.; Gao, B. Preparing lead oxide nanoparticles from waste electric and electronicequipment by high temperature oxidation-evaporationand condensation. Powder Technol. 2017, 308, 30–36. [Google Scholar]
- Antoniassi, J.L. Caracterização Tecnológica de Recursos Minerais de Terras Raras em Complexos Alcalinos e Alcalino-Carbonatíticos do Brasil. Ph.D. Thesis, Departamento de Engenharia de Minas e Petróleo, Escola Politécnica da Universidade São Paulo, São Paulo, Brazil, 2017; 207p. [Google Scholar]
- Behera, S.S.; Parhi, P.K. Leaching kinetics study of neodymium from the scrap magnet using acetic acid. Sep. Purif. Technol. 2016, 160, 59–66. [Google Scholar] [CrossRef]
- Lee, C.H.; Chen, Y.J.; Liao, C.H.; Popuri, S.R.; Tsai, S.L.; Hung, C.E. Selective Leaching Process for Neodymium Recovery from Scrap Nd-Fe-B Magnet. Metall. Mater. Trans. A 2013, 44, 5825–5833. [Google Scholar] [CrossRef]
- Abdelbasir, S.M.; Hassan, S.S.M.; Kamel, A.H.; El-Nasr, R.S. Status of electronic waste recycling techniques: A review. Environ. Sci. Pollut. Res. 2018, 25, 16533–16547. [Google Scholar] [CrossRef]
- Kumari, A.; Sinha, M.K.; Pramanik, S.; Sahu, S.K. Recovery of rare earths from spent NdFeB magnets of wind turbine: Leaching and kinetic aspects. Waste Manag. 2018, 75, 486–498. [Google Scholar] [CrossRef]
- Ni’Am, A.C.; Wang, Y.F.; Chen, S.W.; Chang, G. Simultaneous recovery of rare earth elements from waste permanent magnets (WPMs) leach liquor by solvent extraction and hollow fiber supported liquid membrane. Chem. Eng. Process. Process Intensif. 2020, 148, 107831. [Google Scholar] [CrossRef]
- Akcil, A.; Ibrahim, Y.A.; Meshram, P.; Abhilash, S.P. Hydrometallurgical recycling strategies for recovery of rare earth elements from consumer electronic scraps: A review. J. Chem. Technol. Biotechnol. 2021, 96, 1785–1797. [Google Scholar] [CrossRef]
- Rabatho, J.D.; Tongamp, W.; Takasaki, Y.; Haga, K.; Shibayama, A. Recovery of Nd and Dy from rare earth magnetic waste sludge by hidrometallurgical process. J. Mater. Cycles Waste Manag. 2013, 15, 171–178. [Google Scholar] [CrossRef]
- Lai, F.; Huang, L.; Gao, G.; Yang, R.; Xiao, Y. Recovery of rare earths from ion-absorbed rare earths ore with MgSO4-ascorbic acid compound leaching agent. J. Rare Earths 2018, 36, 521–527. [Google Scholar] [CrossRef]
- Behera, S.S.; Panda, S.K.; Mandal, D.; Parhi, P.K. Ultrasound and Microwave assisted leaching of neodymium from waste magnet using organic solvent. Hydrometallurgy 2019, 185, 61–70. [Google Scholar] [CrossRef]
- Makarova, I.; Soboleva, E.; Osipenko, M.; Kirilo, I.; Laatikainen, M.; Repo, E. Electrochemical leaching of rare-earth elements from spent NdFeB magnets. Hydromettallurgy 2020, 192, 105264. [Google Scholar] [CrossRef]
- Liu, Q.; Tu, T.; Guo, H.; Cheng, H.; Wang, X. High-efficiency simultaneous extraction of rare earth elements andiron from NdFeB waste by oxalic acid leaching. J. Rare Earths 2021, 39, 323–330. [Google Scholar] [CrossRef]
- US Environmental Protection Agency (US EPA). Method 3051A: Microwave Assisted acid Dissolution of Sediments, Sludges, Soils, and Oils, 2nd ed.; US Government Printing Office: Washington, DC, USA, 1997.
- Jiles, D. Introduction to Magnetism and Magnetic Materials; Chapman & Hall: London, UK, 1998. [Google Scholar]
- Schultz, L.; El-Aziz, A.; Barkleit, G.; Mummert, K. Corrosion behaviour of Nd–Fe–B permanent magnetic alloys. Mater. Sci. Eng. 1999, 267, 307–313. [Google Scholar] [CrossRef]
- Lowe, K. Grain Boundary Engineering in Sintered Nd-Fe-B Permanent Magnets for Efficient Utilization of Heavy Rare Earth Elements. Ph.D. Thesis, Department of Materials and Geosciences at the Technical University of Darmstadt, Darmstadt, Germany, October 2016. [Google Scholar]
- Jiles, D.C. Recent advances and future directions in magnetic Materials. Acta Mater. 2013, 51, 5907–5939. [Google Scholar] [CrossRef]
- Rademaker, J.; Kleijn, R.; Yang, Y. Recycling as a Strategy against Rare Earth Element Criticality: A Systemic Evaluation of the Potential Yield of NdFeB Magnet Recycling. Environ. Sci. Technol. 2013, 47, 10129–10136. [Google Scholar] [CrossRef]
- Dupont, D.; Binnemans, K. Recycling of rare earths from NdFeB magnets using a combined leaching/extraction system based on the acidity and thermomorphism of the ionic liquid [Hbet][Tf2N]. Green Chem. 2015, 17, 2150–2163. [Google Scholar] [CrossRef] [Green Version]
- Ueberschaar, M.; Rotter, V.S. Enabling the recycling of rare earth elements through product design and trend analyses of hard disk drives. J. Mater. Cycles Waste Manag. 2015, 17, 266–281. [Google Scholar] [CrossRef]
- Stuhlpfarrer, P.; Luidold, S.; Antrekowitsch, H. Recycling of Nd2Fe14B Magnets. In Proceedings of the EMC the European Metallurgical Conference, Düsseldorf, Germany, 14–17 June 2015; pp. 925–938. [Google Scholar]
- München, D.D.; Veit, H.M. Neodymium as the main feature of permanent magnets from hard disk drives (HDDs). Waste Manag. 2017, 61, 372–376. [Google Scholar] [CrossRef] [PubMed]
- Gergoric, M.; Ravaux, C.; Steenari, B.-M.; Espegren, F.; Retegan, T. Leaching and Recovery of Rare-Earth Elements from Neodymium Magnet Waste Using Organic Acids. Metals 2018, 8, 721. [Google Scholar] [CrossRef] [Green Version]
- Reimer, M.V.; Schenk-Mathes, H.Y.; Hoffmann, M.F.; Elwert, T. Recycling Decisions in 2020, 2030, and 2040—When Can Substantial NdFeB Extraction be Expected in the EU? Metals 2018, 8, 867. [Google Scholar] [CrossRef] [Green Version]
- Tanaka, M.; Tatsuya, O.; Kazuya, K.; Hirokazu, N.; Tetsuo, O. Recycling of rare earths from scrap. In Handbook on the Physics and Chemistry of Rare Earths; Elsevier B.V.: Amsterdam, The Netherlands, 2013; Volume 43, pp. 159–211. [Google Scholar]
- Hoogerstraete, T.V.; Blanpain, B.; Van Gerven, T.; Binnemans, K. From NdFeB magnets towards the rare-earth oxides: A recycling process consuming Only oxalic acid. RSC Adv. 2014, 4, 64099–64111. [Google Scholar] [CrossRef] [Green Version]
- Reisdörfer, G.; Bertuol, D.; Tanabe, E.H. Recovery of neodymium from the magnets of hard disk drives using organic acids. Miner. Eng. 2019, 143, 105938. [Google Scholar] [CrossRef]
















| Year | % (Average) |
|---|---|
| 1996–2000 | 0.47 |
| 2001–2005 | 0.64 |
| 2006–2010 | 1.08 |
| 2011–2015 | 1.07 |
| 2016–2018 | 1.11 |
| 2019–2020 | 1.13 |
| Element | Content % |
|---|---|
| Fe | 61.9% |
| Nd | 23.9% |
| Pr | 3.8 % |
| Dy | 1.1% |
| others | 9.3% |
Publisher’s Note: MDPI stays neutral with regard to jurisdictional claims in published maps and institutional affiliations. |
© 2022 by the authors. Licensee MDPI, Basel, Switzerland. This article is an open access article distributed under the terms and conditions of the Creative Commons Attribution (CC BY) license (https://creativecommons.org/licenses/by/4.0/).
Share and Cite
Stein, R.T.; Kasper, A.C.; Veit, H.M. Recovery of Rare Earth Elements Present in Mobile Phone Magnets with the Use of Organic Acids. Minerals 2022, 12, 668. https://doi.org/10.3390/min12060668
Stein RT, Kasper AC, Veit HM. Recovery of Rare Earth Elements Present in Mobile Phone Magnets with the Use of Organic Acids. Minerals. 2022; 12(6):668. https://doi.org/10.3390/min12060668
Chicago/Turabian StyleStein, Ronei Tiago, Angela Cristina Kasper, and Hugo Marcelo Veit. 2022. "Recovery of Rare Earth Elements Present in Mobile Phone Magnets with the Use of Organic Acids" Minerals 12, no. 6: 668. https://doi.org/10.3390/min12060668
APA StyleStein, R. T., Kasper, A. C., & Veit, H. M. (2022). Recovery of Rare Earth Elements Present in Mobile Phone Magnets with the Use of Organic Acids. Minerals, 12(6), 668. https://doi.org/10.3390/min12060668

