Response Surface Methodology Analysis of the Effect of the Addition of Silicone Oil on the Transfer of Carbon Dioxide during Bioleaching of Mining Tailings by Native Microorganisms
Abstract
:1. Introduction
2. Materials and Methods
2.1. Materials
2.2. Processing Parameters
2.3. Inoculum
2.4. Dissolved Carbon Dioxide
2.5. Statistical Design
Bioleaching Experiment
2.6. Evaluation of kLaCO2: Gassing-Out Method
2.7. Statistical Analysis
2.8. Tailings Characterization
3. Results and Discussion
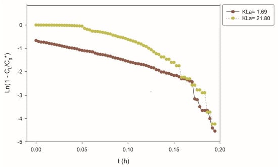
3.1. Combined Gas/Oil Mass Transfer Coefficient of Carbon Dioxide (KLaCO2)
3.2. Effect of the Operating Parameters of the Bioleaching Process on the KLaCO2
4. Conclusions
- The obtained results indicate that, in the manganese bioleaching process, the operating parameters used (concentration of ferrous sulfate, silicon oil concentration, and mining waste concentration) have a significant effect on the combined gas/oil mass transfer of CO2 into the aqueous phase. Also, there is an inversely proportional relationship between pulp density and kLaCO2 and a directly proportional correlation between the absorption and transport by silicone oil and kLaCO2.
- The interaction between the operating variables indicates the importance of the activity of silicone oil on the solubility of carbon dioxide in the system by allowing the gaseous substrate to remain for a longer time and increasing its usage by microorganisms, even during stress conditions.
- Improving the transfer of CO2 using silicone oil during the bioleaching of Mn allowed us to maintain the survival of the microbial consortium under adverse conditions, which enables the use of pulp percentages greater than 10% (w/v), which is highly useful in the characterization of the bioleaching process at the bioreactor level and promising for future scaleup.
- The evaluated operation conditions were extreme for the survival of the consortium, but it should be noted that there was a directly proportional effect upon the increase in kLaCO2 and the removal of manganese.
Author Contributions
Funding
Data Availability Statement
Conflicts of Interest
References
- Kalisz, S.; Kibort, K.; Mioduska, J.; Lieder, M.; Małachowska, A. Waste Management in the Mining Industry of Metals Ores, Coal, Oil and Natural Gas—A Review. J. Environ. Manag. 2022, 304, 114239. [Google Scholar] [CrossRef]
- Baniasadi, M.; Vakilchap, F.; Bahaloo-Horeh, N.; Mousavi, S.M.; Farnaud, S. Advances in Bioleaching as a Sustainable Method for Metal Recovery from E-Waste: A Review. J. Ind. Eng. Chem. 2019, 76, 75–90. [Google Scholar] [CrossRef]
- Kaksonen, A.H.; Morris, C.; Rea, S.; Li, J.; Wylie, J.; Usher, K.M.; Ginige, M.P.; Cheng, K.Y.; Hilario, F.; du Plessis, C.A. Biohydrometallurgical Iron Oxidation and Precipitation: Part I—Effect of PH on Process Performance. Hydrometallurgy 2014, 147–148, 255–263. [Google Scholar] [CrossRef]
- Castro, L.; Blázquez, M.L.; González, F.; Muñoz, J.Á. Biohydrometallurgy for Rare Earth Elements Recovery from Industrial Wastes. Molecules 2021, 26, 6200. [Google Scholar] [CrossRef]
- Xolo, L.; Moleko-Boyce, P.; Makelane, H.; Faleni, N.; Tshentu, Z.R. Status of Recovery of Strategic Metals from Spent Secondary Products. Minerals 2021, 11, 673. [Google Scholar] [CrossRef]
- Boxall, N.J.; Cheng, K.Y.; Bruckard, W.; Kaksonen, A.H. Application of Indirect Non-Contact Bioleaching for Extracting Metals from Waste Lithium-Ion Batteries. J. Hazard. Mater. 2018, 360, 504–511. [Google Scholar] [CrossRef]
- Bryan, C.G.; Williamson, B.J.; Całus-Moszko, J.; van Haute, Q.; Guezennec, A.-G.; Gaydardzhiev, S.; Wavrer, P.; Frączek, R. CEReS—Co-Processing of Coal Mine & Electronic Wastes: Novel Resources for a Sustainable Future. Hydrometallurgy 2020, 197, 105444. [Google Scholar] [CrossRef]
- Wang, X.; Xie, Y.; Chen, K.; Yi, L.; Wang, Y.; Zhang, Y. Bioleaching Assisted Conversion of Refractory Low-Grade Ferruginous Rhodochrosite to Mn-Fe Based Catalysts for Sulfathiazole Degradation. Chem. Eng. J. 2022, 427, 130804. [Google Scholar] [CrossRef]
- Lorenzo-Tallafigo, J.; Iglesias-González, N.; Romero-García, A.; Mazuelos, A.; del Amo, P.R.; Romero, R.; Carranza, F. The Reprocessing of Hydrometallurgical Sulphidic Tailings by Bioleaching: The Extraction of Metals and the Use of Biogenic Liquors. Miner. Eng. 2022, 176, 107343. [Google Scholar] [CrossRef]
- Pourhossein, F.; Mousavi, S.M. A Novel Step-Wise Indirect Bioleaching Using Biogenic Ferric Agent for Enhancement Recovery of Valuable Metals from Waste Light Emitting Diode (WLED). J. Hazard. Mater. 2019, 378, 120648. [Google Scholar] [CrossRef]
- Diao, M.; Taran, E.; Mahler, S.; Nguyen, A. A Concise Review of Nanoscopic Aspects of Bioleaching Bacteria-Mineral Interactions. Adv. Colloid Interface Sci. 2014, 212, 45–63. [Google Scholar] [CrossRef] [Green Version]
- Vardanyan, A.; Vyrides, I. Acidophilic Bioleaching at High Dissolved Organic Compounds: Inhibition and Strategies to Counteract This. Miner. Eng. 2019, 143, 105943. [Google Scholar] [CrossRef]
- Jia, Y.; Sun, H.; Tan, Q.; Xu, J.; Feng, X.; Ruan, R. Industrial Heap Bioleaching of Copper Sulfide Ore Started with Only Water Irrigation. Minerals 2021, 11, 1299. [Google Scholar] [CrossRef]
- Panyushkina, A.; Bulaev, A.; Belyi, A. V Unraveling the Central Role of Sulfur-Oxidizing Acidiphilium Multivorum LMS in Industrial Bioprocessing of Gold-Bearing Sulfide Concentrates. Microorganisms 2021, 9, 984. [Google Scholar] [CrossRef]
- Hao, X.; Liu, X.; Zhu, P.; Liang, Y.; Qiu, G.; Ma, H.; Liu, Y.; Liu, Q.; Ren, L.; Sarkodie, E.K.; et al. Responses of Bacterial Community to Potential Heap Construction Methods of Fine-Grained Copper Tailings in Column Bioleaching System. Trans. Nonferrous Met. Soc. China 2021, 31, 1796–1805. [Google Scholar] [CrossRef]
- Williamson, A.J.; Folens, K.; Van Damme, K.; Olaoye, O.; Abo Atia, T.; Mees, B.; Nicomel, N.R.; Verbruggen, F.; Spooren, J.; Boon, N.; et al. Conjoint Bioleaching and Zinc Recovery from an Iron Oxide Mineral Residue by a Continuous Electrodialysis System. Hydrometallurgy 2020, 195, 105409. [Google Scholar] [CrossRef]
- Núñez Ramírez, D.M.; Ramírez Torres, L.A.; Medina-Torres, L.; Calderas, F.; González Lozano, M.A.; Ponce Peña, P.; Fierros Romero, G.; Manero, O. A Rheological Study of the Bioleaching Process of an Iron Ore for the Elimination of Gangue Minerals. Miner. Eng. 2019, 144, 106023. [Google Scholar] [CrossRef]
- Borja, D.; Nguyen, K.A.; Silva, R.A.; Ngoma, E.; Petersen, J.; Harrison, S.T.L.; Park, J.H.; Kim, H. Continuous Bioleaching of Arsenopyrite from Mine Tailings Using an Adapted Mesophilic Microbial Culture. Hydrometallurgy 2019, 187, 187–194. [Google Scholar] [CrossRef]
- Watling, H.R. Review of Biohydrometallurgical Metals Extraction from Polymetallic Mineral Resources. Minerals 2015, 5, 1–60. [Google Scholar] [CrossRef]
- Mäkinen, J.; Heikola, T.; Salo, M.; Kinnunen, P. The Effects of Milling and PH on Co, Ni, Zn and Cu Bioleaching from Polymetallic Sulfide Concentrate. Minerals 2021, 11, 317. [Google Scholar] [CrossRef]
- Goltsman, D.S.A.; Dasari, M.; Thomas, B.C.; Shah, M.B.; VerBerkmoes, N.C.; Hettich, R.L.; Banfield, J.F. New Group in the Leptospirillum Clade: Cultivation-Independent Community Genomics, Proteomics, and Transcriptomics of the New Species “Leptospirillum Group IV UBA BS”. Appl. Environ. Microbiol. 2013, 79, 5384–5393. [Google Scholar] [CrossRef] [Green Version]
- Galleguillos, P. Identification and Analysis of Diazotrophy in Strains of Leptospirillum ferriphilum from Heap Bioleaching Operations; Central South University Press: Changsha, China, 2011. [Google Scholar]
- Issotta, F.; Galleguillos, P.A.; Moya-Beltrán, A.; Davis-Belmar, C.S.; Rautenbach, G.; Covarrubias, P.C.; Acosta, M.; Ossandon, F.J.; Contador, Y.; Holmes, D.S.; et al. Draft Genome Sequence of Chloride-Tolerant Leptospirillum ferriphilum Sp-Cl from Industrial Bioleaching Operations in Northern Chile. Stand. Genom. Sci. 2016, 11, 19. [Google Scholar] [CrossRef] [Green Version]
- Goltsman, D.S.A.; Denef, V.J.; Singer, S.W.; VerBerkmoes, N.C.; Lefsrud, M.; Mueller, R.S.; Dick, G.J.; Sun, C.L.; Wheeler, K.E.; Zemla, A.; et al. Community Genomic and Proteomic Analyses of Chemoautotrophic Iron-Oxidizing “Leptospirillum rubarum” (Group II) and “Leptospirillum ferrodiazotrophum” (Group III) Bacteria in Acid Mine Drainage Biofilms. Appl. Environ. Microbiol. 2009, 75, 4599–4615. [Google Scholar] [CrossRef] [Green Version]
- Lan, J.; Sun, Y.; Du, Y.; Du, D.; Zhang, T.C.; Li, J. Environmentally-Friendly Bioleaching of Manganese from Pyrolusite: Performance and Mechanisms. J. Clean. Prod. 2020, 249, 119354. [Google Scholar] [CrossRef]
- Acharya, C.; Kar, R.N.; Sukla, L.B. Studies on Reaction Mechanism of Bioleaching of Manganese Ore. Miner. Eng. 2003, 16, 1027–1030. [Google Scholar] [CrossRef]
- Zazueta-Álvarez, D.E.; Medrano-Roldán, H.; Reyes-Jáquez, D.; Rodríguez-Rosales, M.D.J.; Moreno-Medina, C.U. Effect of ph, mining tailings concentration and culture medium on the performance of polymetallic bioleaching at flask level. Rev. Int. Contam. Ambient. 2018, 34, 621–634. [Google Scholar] [CrossRef]
- Garcia-Ochoa, F.; Gomez, E. Prediction of Gas-Liquid Mass Transfer Coefficient in Sparged Stirred Tank Bioreactors. Biotechnol. Bioeng. 2005, 92, 761–772. [Google Scholar] [CrossRef]
- Garcia-Ochoa, F.; Gomez, E. Theoretical Prediction of Gas-Liquid Mass Transfer Coefficient, Specific Area and Hold-up in Sparged Stirred Tanks. Chem. Eng. Sci. 2004, 59, 2489–2501. [Google Scholar] [CrossRef]
- Tobajas, M.; García-Calvo, E.; Siegel, M.H.; Apitz, S.E. Hydrodynamics and Mass Transfer Prediction in a Three-Phase Airlift Reactor for Marine Sediment Biotreatment. Chem. Eng. Sci. 1999, 54, 5347–5354. [Google Scholar] [CrossRef]
- Zazueta-Álvarez, D.E.; Martínez-Prado, M.A.; Rosas-Flores, W.; Carmona-Jasso, J.G.; Moreno-Medina, C.U.; Rojas-Contreras, J.A. Response Surface Methodology Analysis of the Effect of the Addition of Silicone Oil on the KLa Coefficient in the Bioleaching of Mine Tailings. Water Air Soil Pollut. 2020, 231, 237. [Google Scholar] [CrossRef]
- Ndiaye, M.; Gadoin, E.; Gentric, C. CO2 Gas-Liquid Mass Transfer and KLa Estimation: Numerical Investigation in the Context of Airlift Photobioreactor Scale-Up. Chem. Eng. Res. Des. 2018, 133, 90–102. [Google Scholar] [CrossRef]
- Yu, J.; Munasinghe, P. Gas Fermentation Enhancement for Chemolithotrophic Growth of Cupriavidus Necator on Carbon Dioxide. Fermentation 2018, 4, 63. [Google Scholar] [CrossRef] [Green Version]
- Márquez, A.L.; Wild, G.; Midoux, N. A Review of Recent Chemical Techniques for the Determination of the Volumetric Mass-Transfer Coefficient KLa in Gas-Liquid Reactors. Chem. Eng. Process. Process Intensif. 1994, 33, 247–260. [Google Scholar] [CrossRef]
- Schaepe, S.; Kuprijanov, A.; Sieblist, C.; Jenzsch, M.; Simutis, R.; Lübbert, A. KLa of Stirred Tank Bioreactors Revisited. J. Biotechnol. 2013, 168, 576–583. [Google Scholar] [CrossRef]
- Quijano, G.; Chávez-Avila, R.; Muñoz, R.; Thalasso, F.; Ordaz, A. KLa Measurement in Two-Phase Partitioning Bioreactors: New Insights on Potential Errors at Low Power Input. J. Chem. Technol. Biotechnol. 2010, 85, 1407–1412. [Google Scholar] [CrossRef]
- Silverman, M.P.; Lundgren, D.G. Studies on the Chemoautotrophic Iron Bacterium Ferrobacillus Ferrooxidans. II. Manometric Studies. J. Bacteriol. 1959, 78, 326–331. [Google Scholar] [CrossRef] [Green Version]
- Galaction, A.-I.; Cascaval, D.; Oniscu, C.; Turnea, M. Prediction of Oxygen Mass Transfer Coefficients in Stirred Bioreactors for Bacteria, Yeasts and Fungus Broths. Biochem. Eng. J. 2004, 20, 85–94. [Google Scholar] [CrossRef]
- Bryan, C.G.; Davis-Belmar, C.S.; van Wyk, N.; Fraser, M.K.; Dew, D.; Rautenbach, G.F.; Harrison, S.T.L. The Effect of CO2 Availability on the Growth, Iron Oxidation and CO2-Fixation Rates of Pure Cultures of Leptospirillum ferriphilum and Acidithiobacillus Ferrooxidans. Biotechnol. Bioeng. 2012, 109, 1693–1703. [Google Scholar] [CrossRef]
- Yuan, X.-W.; Xie, X.-H.; Fan, F.-X.; Zhu, W.-X.; Liu, N.; Liu, J.-S. Effects of Mutation on a New Strain Leptospirillum ferriphilum YXW and Bioleaching of Gold Ore. Trans. Nonferrous Met. Soc. China 2013, 23, 2751–2758. [Google Scholar] [CrossRef]
- Witne, J.Y.; Phillips, C. Bioleaching of Ok Tedi Copper Concentrate in Oxygen- and Carbon Dioxide-Enriched Air. Miner. Eng. 2001, 14, 25–48. [Google Scholar] [CrossRef]
- Christel, S.; Herold, M.; Bellenberg, S.; El Hajjami, M.; Buetti-Dinh, A.; Pivkin, I.V.; Sand, W.; Wilmes, P.; Poetsch, A.; Dopson, M. Multi-Omics Reveals the Lifestyle of the Acidophilic, Mineral-Oxidizing Model Species Leptospirillum ferriphilumT. Appl. Environ. Microbiol. 2022, 84, e02091-17. [Google Scholar] [CrossRef] [Green Version]




| Run | Ferrous Sulfate (g/L) | Silicon Oil (%, v/v) | Mining Waste (%, w/v) |
|---|---|---|---|
| 1 | 14 | 5 | 50 |
| 2 | 8 | 0 | 50 |
| 3 | 8 | 5 | 40 |
| 4 | 14 | 10 | 40 |
| 5 | 8 | 5 | 40 |
| 6 | 8 | 10 | 50 |
| 7 | 8 | 5 | 40 |
| 8 | 8 | 5 | 40 |
| 9 | 2 | 10 | 40 |
| 10 | 8 | 10 | 30 |
| 11 | 2 | 5 | 50 |
| 12 | 8 | 0 | 30 |
| 13 | 14 | 5 | 30 |
| 14 | 2 | 5 | 30 |
| 15 | 2 | 0 | 40 |
| Factor | Coef | EE Coef | T Value | p-Value | FIV |
|---|---|---|---|---|---|
| Intercept | 7.19 | 1.67 | 4.31 | 0.008 | - |
| Ferrous Sulfate (g/L) (2, 14) | −1.78 | 1.02 | −1.75 | 0.141 | 1.00 |
| Silicon Oil (%) (0, 10) | 3.13 | 1.02 | 3.06 | 0.028 | 1.00 |
| Mining Waste (%) (30, 50) | −2.70 | 1.02 | −2.64 | 0.046 | 1.00 |
| Ferrous Sulfate (g/L) × Ferrous Sulfate (g/L) | 3.97 | 1.51 | 2.64 | 0.046 | 1.01 |
| Silicon Oil (%) × Silicon Oil (%) | −2.09 | 1.51 | −1.39 | 0.223 | 1.01 |
| Mining Waste (%) × Mining Waste (%) | 1.27 | 1.51 | 0.85 | 0.436 | 1.01 |
| Ferrous Sulfate (g/L) × Silicon Oil (%) | −3.14 | 1.45 | −2.17 | 0.082 | 1.00 |
| Ferrous Sulfate (g/L) × Mining Waste (%) | 3.57 | 1.45 | 2.47 | 0.056 | 1.00 |
| Silicon Oil (%) × Mining Waste (%) | 1.29 | 1.45 | 0.89 | 0.413 | 1.00 |
| Run | Ferrous Sulfate (g/L) | Silicon Oil (%, v/v) | Mining Waste (%, w/v) | Manganese Removal (%) | Silver Extraction (%) |
|---|---|---|---|---|---|
| 1 | 14 | 5 | 50 | 21.26 | 26.49 |
| 2 | 8 | 0 | 50 | 2.35 | 33.93 |
| 3 | 8 | 5 | 40 | 15.69 | 15.00 |
| 4 | 14 | 10 | 40 | 27.49 | 21.64 |
| 5 | 8 | 5 | 40 | 14.03 | 10.25 |
| 6 | 8 | 10 | 50 | 17.93 | 19.83 |
| 7 | 8 | 5 | 40 | 15.04 | 28.01 |
| 8 | 8 | 5 | 40 | 6.86 | 27.45 |
| 9 | 2 | 10 | 40 | 21.30 | 19.15 |
| 10 | 8 | 10 | 30 | 33.34 | 18.21 |
| 11 | 2 | 5 | 50 | 13.44 | 17.81 |
| 12 | 8 | 0 | 30 | 21.29 | 40.20 |
| 13 | 14 | 5 | 30 | 27.43 | 35.72 |
| 14 | 2 | 5 | 30 | 21.16 | 18.95 |
| 15 | 2 | 0 | 40 | 21.40 | 16.69 |
| Response | Intercept | Lineal | Quadratic | Interactions | R2 | ||||||
|---|---|---|---|---|---|---|---|---|---|---|---|
| X1 | X2 | X3 | X11 | X22 | X33 | X1X2 | X1X3 | X2X3 | |||
| Mn | 94.4 | 0.72 | 6.02 * | −6.03 * | 3.22 | 1.12 | 2.68 | 5.18 | 0.39 | 0.88 | 0.86 |
| Ag | 132.0 | 4.84 | −4.93 | −1.88 | 0.09 | 3.39 | 6.90 | −2.07 | −2.02 | 1.97 | 0.67 |
Publisher’s Note: MDPI stays neutral with regard to jurisdictional claims in published maps and institutional affiliations. |
© 2022 by the authors. Licensee MDPI, Basel, Switzerland. This article is an open access article distributed under the terms and conditions of the Creative Commons Attribution (CC BY) license (https://creativecommons.org/licenses/by/4.0/).
Share and Cite
Zazueta-Álvarez, D.; Medrano-Roldán, H.; Vázquez-Ortega, P.; Núñez-Núñez, C.; Fierros-Romero, G.; Rojas-Contreras, J.; Álvarez-Álvarez, C.; Reyes-Jáquez, D. Response Surface Methodology Analysis of the Effect of the Addition of Silicone Oil on the Transfer of Carbon Dioxide during Bioleaching of Mining Tailings by Native Microorganisms. Minerals 2022, 12, 550. https://doi.org/10.3390/min12050550
Zazueta-Álvarez D, Medrano-Roldán H, Vázquez-Ortega P, Núñez-Núñez C, Fierros-Romero G, Rojas-Contreras J, Álvarez-Álvarez C, Reyes-Jáquez D. Response Surface Methodology Analysis of the Effect of the Addition of Silicone Oil on the Transfer of Carbon Dioxide during Bioleaching of Mining Tailings by Native Microorganisms. Minerals. 2022; 12(5):550. https://doi.org/10.3390/min12050550
Chicago/Turabian StyleZazueta-Álvarez, David, Hiram Medrano-Roldán, Perla Vázquez-Ortega, Cynthia Núñez-Núñez, Grisel Fierros-Romero, Juan Rojas-Contreras, Carlos Álvarez-Álvarez, and Damián Reyes-Jáquez. 2022. "Response Surface Methodology Analysis of the Effect of the Addition of Silicone Oil on the Transfer of Carbon Dioxide during Bioleaching of Mining Tailings by Native Microorganisms" Minerals 12, no. 5: 550. https://doi.org/10.3390/min12050550
APA StyleZazueta-Álvarez, D., Medrano-Roldán, H., Vázquez-Ortega, P., Núñez-Núñez, C., Fierros-Romero, G., Rojas-Contreras, J., Álvarez-Álvarez, C., & Reyes-Jáquez, D. (2022). Response Surface Methodology Analysis of the Effect of the Addition of Silicone Oil on the Transfer of Carbon Dioxide during Bioleaching of Mining Tailings by Native Microorganisms. Minerals, 12(5), 550. https://doi.org/10.3390/min12050550

