Thermodynamic Study on the Direct Reduction of Specularite by Lignite and the Coupling Process for the Preparation of Cementitious Material
Abstract
:1. Introduction
2. Materials and Methods
2.1. Specularite
2.2. Reductant
2.3. Additive
2.4. Software for Thermodynamic Calculations
2.5. Experimental Equipment
3. Results and Discussion
3.1. Thermodynamic Study of the Coal-Based Direct Reduction of Specularite
3.1.1. Thermodynamic Equilibrium Model of the Specularite Direct Reduction System
3.1.2. Equilibrium Calculation Results of the Specularite Direct Reduction System
3.2. Thermodynamics of the Formation of Cementitious Materials
3.2.1. Thermodynamics of C3S Formation
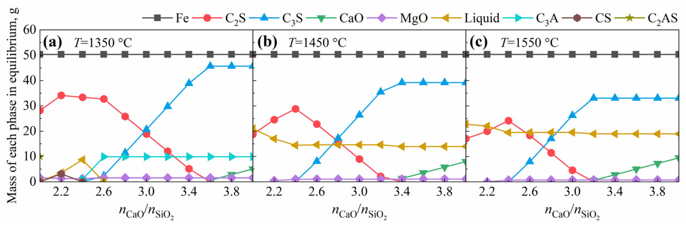
3.2.2. Comprehensive Equilibrium Calculation of Cementitious Material Generation, Considering Gangue Components
3.3. Thermodynamic Study on the Coexistence of Direct Reduced Iron and Cementitious Materials
3.3.1. The Effect of Gangue on Iron Oxide Reduction
3.3.2. The Effect of Iron Oxide Reduction on the Formation of Cementitious Materials
3.3.3. Experimental Verification of the Coupling Preparation of Specularite Reduction and Cementitious Material Preparation
3.3.4. Determination of a Reasonable Heating Schedule
4. Conclusions
- (1)
- The thermodynamic calculation results show that it is thermodynamically feasible to realize a coupled process of specularite direct reduction and cementitious material preparation under the condition of using high-volatile lignite and adding calcium oxide. A two-stage heating system is implemented to achieve the full reduction of iron oxides and the complete formation of cementitious materials.
- (2)
- In the process of iron oxide reduction, a sufficient amount of the reducing agent must be added to ensure the complete reduction of iron oxides. The optimal amount of reducing agent added is C/O = 1.2. A reasonable reduction temperature is close to and not higher than 1137 °C.
- (3)
- In the generation stage of the cementitious material, the optimum temperature for the generation of cementitious material is 1450 °C. Under this condition, an appropriate amount of CaO should be added according to the initial gangue composition of specularite, and the molar basicity of the control system should be in the range of 2.4–3.3. This is the optimal process parameter for the formation of cementitious components (C2S, C3S and appropriate liquid phase).
- (4)
- The reduction process of specularite takes place before the formation of cementitious materials, and the reduction degree of iron ore has an important influence on the formation state of cementitious materials. A small amount of unreduced FeO can lead to a large increase in the amount of liquid phase in the system so that the main cementitious component C3S cannot be formed. Using lignite as a reducing agent, the hydrogen-rich volatiles in the coal create a good reducing atmosphere, strengthen the reduction process of iron oxides, and ensure the rapid and complete reduction of specularite.
Author Contributions
Funding
Data Availability Statement
Conflicts of Interest
References
- Zhu, D.; Guo, Z.; Pan, J.; Zhang, F. A study of pre-briquetting granulation sintering of the mixtures with high ratio of Brazilian specularite concentrate. Ironmak. Steelmak. 2016, 43, 721–729. [Google Scholar]
- Zhu, D.; Chun, T.; Pan, J.; Zhang, J. Influence of basicity and MgO content on metallurgical performances of Brazilian specularite pellets. Int. J. Miner. Process. 2013, 125, 51–60. [Google Scholar] [CrossRef]
- Chun, T.; Zhu, D. Oxidizing Roasting Performances of Coke Fines Bearing Brazilian Specularite Pellets. High Temp. Mater. Processes 2016, 35, 615–620. [Google Scholar] [CrossRef]
- Ding, C.; Chen, T.; Huang, X.; Ma, H.; Su, T.; Qu, W. The Mineral Composition and Disseminated Structure Change of Specularite in the Magnetic Roasting Process. Iron Steel Vanadium Titan. 2015, 36, 117–122. [Google Scholar]
- Zhu, D.; Liu, X.; Pan, J.; Shi, B. Status and development trend of specularite used in sintering and pellet production. In Proceedings of the 2014 Annual National Sintered Pelletizing Technology Exchange Conference, Xiamen, China, 22 December 2014. [Google Scholar]
- Zhu, D.; Shi, B.; Pan, J.; Zhang, F. Effect of pre-briquetting on the granulation of sinter mixture containing high proportion of specularite concentrate. Powder Technol. 2018, 331, 250–257. [Google Scholar] [CrossRef]
- Pan, J.; Zhu, D.; Hamilton, P.; Zhou, X.; Wang, L. Improving Granulating and Sintering Performance by Pretreating Specularite Concentrates Through Mechanical Activation. ISIJ Int. 2013, 53, 2013–2017. [Google Scholar]
- Pan, J.; Shi, B.; Zhu, D.; Mo, Y. Improving Sintering Performance of Specularite Concentrates by Pre-briquetting Process. ISIJ Int. 2016, 56, 777–785. [Google Scholar] [CrossRef] [Green Version]
- Zhang, F.; Zhu, D.; Pan, J.; Mo, Y.; Guo, Z. Improving the sintering performance of blends containing Canadian specularite concentrate by modifying the binding medium. Int. J. Miner. Metall. Mater. 2018, 25, 598–608. [Google Scholar] [CrossRef]
- Aslanoglu, Z. Direct reduction of mechanically activated specular iron oxide. Miner. Processing Extr. Metall. 2013, 114, 240–244. [Google Scholar] [CrossRef]
- Zang, Z.; Sun, T.; Hu, T. Experimental Research on Direct Reduction-Magnetic Separation of Iron Ore from Jingtieshan Mine of JISCO. Miner. Metall. Eng. 2014, 34, 54–57. [Google Scholar]
- Viggh, E.; Eriksson, M.; Wilhelmsson, B.; Backman, R. Early formation of belite in cement clinker raw materials with slag. Adv. Cem. Res. 2021, 33, 249–256. [Google Scholar] [CrossRef]
- Nastac, D.C.; Fechet, R.M. The Influence of Mine Tailings and Oily Sludge on the Portland Cement Clinker Manufacture. Rev. Rom. Mater. 2017, 47, 176–182. [Google Scholar]
- Luo, L.; Zhang, Y.; Bao, S.; Chen, T. Utilization of Iron Ore Tailings as Raw Material for Portland Cement Clinker Production. Adv. Mater. Sci. Eng. 2016, 1596047. [Google Scholar] [CrossRef] [Green Version]
- Jian, S.; Gao, W.; Lv, Y.; Tan, H.; Li, X.; Li, B.; Huang, W. Potential utilization of copper tailings in the preparation of low heat cement clinker. Constr. Build. Mater. 2020, 252, 119130. [Google Scholar] [CrossRef]
- Verma, Y.K.; Mazumdar, B.; Ghosh, P. CO2 emission reduction using blast furnace slag for the clinker manufacturing in Cement Industry. J. Indian Chem. Soc. 2020, 97, 1083–1087. [Google Scholar]
- Tsakiridis, P.E.; Papadimitriou, G.D.; Tsivilis, S.; Koroneos, C. Utilization of steel slag for Portland cement clinker production. J. Hazard. Mater. 2008, 152, 805–811. [Google Scholar] [CrossRef]
- Yong, G.; Yang, M. Preparation and characterization of Portland cement clinker from iron ore tailings. Constr. Build. Mater. 2019, 197, 152–156. [Google Scholar] [CrossRef]
- Rao, Y. Preparation of Iron and Cementitious Materials Synergistically through Iron Ore Direct Reduction Process. Master’s Thesis, Xi’an University of Architecture and Technology, Xi’an, China, June 2015. [Google Scholar]
- Li, X.; Xie, G.; Zhao, J.; Cui, Y. Study on Simultaneous Production of Reduced Iron and Bonding Component from Nickel Slag. Nonferrous Mater. (Extr. Metall.) 2015, 12, 51–55. [Google Scholar]
- Jiang, T. Manual of Production Technology for Sintering and Pelletizing, 1st ed.; Metallurgical Industry Press: Beijing, China, 2014. [Google Scholar]
- Bagatini, M.C.; Kan, T.; Evans, T.J.; Strezov, V. Iron Ore Reduction by Biomass Volatiles. J. Sustain. Metall. 2021, 7, 215–226. [Google Scholar] [CrossRef]
- Biswas, C.; Chaudhuri, M.G.; Dey, R. Reduction behaviour of agglomerated iron ore nuggets by devolatisation of high-ash, high-volatile lignite coal for pig iron production. Ironmak. Steelmak. 2017, 40, 762–772. [Google Scholar] [CrossRef]
- Sohn, I.; Fruehan, R.J. The reduction of iron oxides by volatiles in a rotary hearth furnace process: Part, I. The role and kinetics of volatile reduction. Metall. Mater. Trans. B 2005, 36, 605–612. [Google Scholar] [CrossRef]
- Sohn, I.; Fruehan, R.J. The reduction of iron oxides by volatiles in a rotary hearth furnace process: Part II. The reduction of iron oxide/carbon composites. Metall. Mater. Trans. B 2006, 37, 223–229. [Google Scholar] [CrossRef]
- Cao, Z.; Song, X.; Qiao, Z. Thermodynamic modeling software FactSage and its application. Chin. J. Rare Mater. 2008, 32, 216–219. [Google Scholar]
- Bale, C.W.; Chartrand, P.; Degterov, S.A.; Eriksson, G.; Hack, K.; Mahfoud, R.B.; Melancon, J.; Pelton, A.D.; Petersen, S. FactSage thermodynamical software and databases. Comput. Coupling Phase Diagr. Thermochem. 2002, 26, 189–228. [Google Scholar] [CrossRef]
- Huang, X. Principles of Iron and Steel Metallurgy, 4th ed.; Metallurgical Industry Press: Beijing, China, 2013. [Google Scholar]
- Yang, S.; Cao, W. Ordinary Silicate Technology, 1st ed.; Wuhan University of Technology Press: Wuhan, China, 1996. [Google Scholar]

















| TFe 1 | Fe2O3 | FeO | SiO2 | Al2O3 | CaO | MgO | P | S |
|---|---|---|---|---|---|---|---|---|
| 50.33 | 66.83 | 4.56 | 12.02 | 3.73 | 1.91 | 1.56 | 0.02 | 0.52 |
| Mad * | Aad | Vad | FCad | Car | Har | Oar | Nar | St,ad |
|---|---|---|---|---|---|---|---|---|
| 5.91 | 5.49 | 45.34 | 43.26 | 60.86 | 4.59 | 14.61 | 0.84 | 0.18 |
| Pyrolysis Products | Coke | Tar | Water | Pyrolysis Gas | |
|---|---|---|---|---|---|
| Yield (wt %) | 46.96 | 10.33 | 17.75 | 24.96 | |
| Gas Composition | H2 | CO | CH4 | CO2 | CmHn |
| Content (Vol. %) | 52.03 | 17.26 | 16.98 | 9.67 | 4.06 |
| Initial State | Coal | Iron Ore (Fe2O3 + FeCO3) | ||||||||
|---|---|---|---|---|---|---|---|---|---|---|
| The Set Amount to Be Added | The Set Amount to Be Added | |||||||||
| Pyrolysis products and their mass ratio | C | H2O | H2 | CO | CO2 | CH4 | ||||
| 50% | 18% | 1.65% | 13.84% | 5.07% | 2.64% | |||||
| Final state (Equilibrium) | Fe2O3 | Fe3O4 | FeO | Fe | C | CO | CO2 | H2 | H2O | CH4 |
| The calculated value | ||||||||||
Publisher’s Note: MDPI stays neutral with regard to jurisdictional claims in published maps and institutional affiliations. |
© 2022 by the authors. Licensee MDPI, Basel, Switzerland. This article is an open access article distributed under the terms and conditions of the Creative Commons Attribution (CC BY) license (https://creativecommons.org/licenses/by/4.0/).
Share and Cite
Shi, R.; Li, Y.; Mi, Q.; Zou, C.; Li, B. Thermodynamic Study on the Direct Reduction of Specularite by Lignite and the Coupling Process for the Preparation of Cementitious Material. Minerals 2022, 12, 354. https://doi.org/10.3390/min12030354
Shi R, Li Y, Mi Q, Zou C, Li B. Thermodynamic Study on the Direct Reduction of Specularite by Lignite and the Coupling Process for the Preparation of Cementitious Material. Minerals. 2022; 12(3):354. https://doi.org/10.3390/min12030354
Chicago/Turabian StyleShi, Ruimeng, Yifan Li, Qiyuan Mi, Chong Zou, and Bin Li. 2022. "Thermodynamic Study on the Direct Reduction of Specularite by Lignite and the Coupling Process for the Preparation of Cementitious Material" Minerals 12, no. 3: 354. https://doi.org/10.3390/min12030354
APA StyleShi, R., Li, Y., Mi, Q., Zou, C., & Li, B. (2022). Thermodynamic Study on the Direct Reduction of Specularite by Lignite and the Coupling Process for the Preparation of Cementitious Material. Minerals, 12(3), 354. https://doi.org/10.3390/min12030354
