Development of Backfill Concrete Including Coal Gangue and Metakaolin and Prediction of Compressive Strength by Extreme Learning Machine
Abstract
:1. Introduction
2. Experimental Programs
2.1. Materials
2.2. Concrete Mixes and Samples Preparation
2.3. Testing of Specimens
3. Results and Discussion
3.1. Compressive Strength
3.2. Elastic Modulus
3.3. Ultrasonic Pulse Velocity
3.4. Rebound Number
3.5. Open Porosity
3.6. SEM
3.7. XRD
3.8. Comparison between Experimental Results and Predictions by Design Code Expressions and Empirical Models
4. Predicting Concrete Strength by ELM
4.1. Establishment of ELM
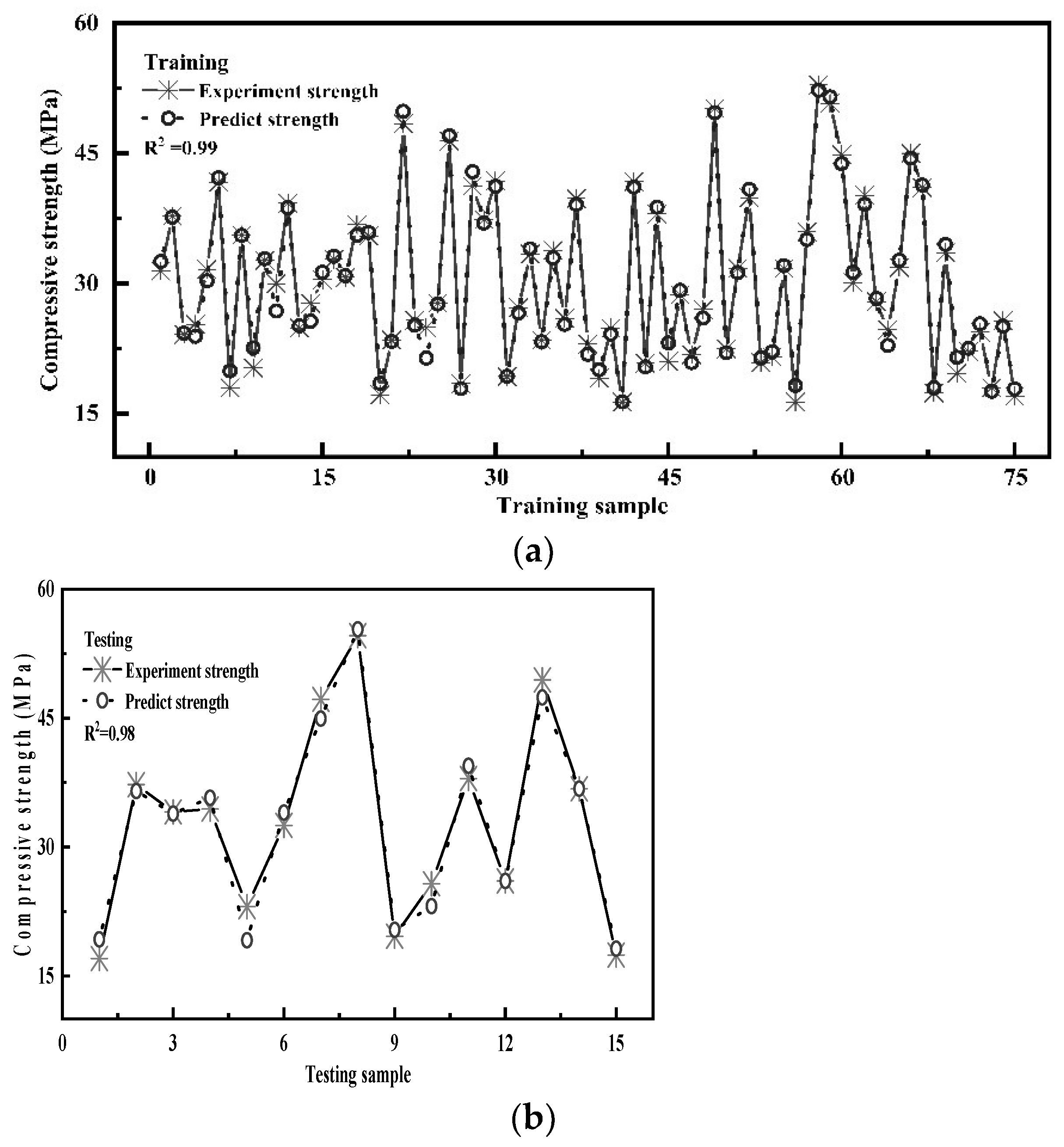
4.2. Analysis of Training and Testing
5. Conclusions
- The compressive strength of concrete directly related to replacement level of metakaolin and CG. The inclusion of CG in concrete results in strength degradation, especially at a replacement level higher than 50%. However, this degradation can be remedied by the incorporation of metakaolin.
- The incorporation of <20% metakaolin and <50% CG in the specimens showed a higher or equivalent 28-day compressive strength compared with that of the control specimen. From the point of view of the environment and the economy, the replacement level of metakaolin and CG can be further increased. Compared to the control specimen, the specimen with 20% metakaolin and 75% of CG showed less than a 5% decline in compressive strength, which is acceptable.
- The inclusion of CG in concrete results in low deformation resistance and high dispersion. These drawbacks can be mitigated by the incorporation of metakaolin.
- ANN, as a feasible and reliable method, is developed to predict compressive strength with high accuracy. Age, water, cement, metakaolin, sand, coarse aggregate and CG emerged as reliable predictors of compressive strength of concrete by ELM.
Author Contributions
Funding
Data Availability Statement
Acknowledgments
Conflicts of Interest
References
- Dang, V.Q.; Ogawa, Y.; Bui, P.T.; Kawai, K. Effects of chloride ions on the durability and mechanical properties of sea sand concrete incorporating supplementary cementitious materials under an accelerated carbonation condition. Constr. Build. Mater. 2016, 274, 122016. [Google Scholar] [CrossRef]
- Liu, C.; Deng, X.; Liu, J.; Hui, D. Mechanical properties and microstructures of hypergolic and calcined coal gangue based geopolymer recycled concrete. Constr. Build. Mater. 2019, 211, 691–708. [Google Scholar] [CrossRef]
- Yuan, Y.; Shao, Z.; Qiao, R.; Fei, X.; Cheng, J.; Wei, W. Fracture behavior of concrete coarse aggregates under microwave irradiation influenced by mineral components. Constr. Build. Mater. 2021, 286, 122944. [Google Scholar] [CrossRef]
- Li, Y.; Liu, S.; Guan, X. Multitechnique investigation of concrete with coal gangue. Constr. Build. Mater. 2021, 301, 124114. [Google Scholar] [CrossRef]
- Bari, H.; Salama, M.A.; Safiuddin, M. Fresh and hardened properties of brick aggregate concrete including coconut shell as a partial replacement of coarse aggregate. Constr. Build. Mater. 2021, 297, 123745. [Google Scholar] [CrossRef]
- Muduli, R.; Mukharjee, B.B. Effect of incorporation of metakaolin and recycled coarse aggregate on properties of concrete. J. Clean. Prod. 2019, 209, 398–414. [Google Scholar] [CrossRef]
- Huang, G.; Ji, Y.; Li, J.; Hou, Z.; Dong, Z. Improving strength of calcinated coal gangue geopolymer mortars via increasing calcium content. Constr. Build. Mater. 2018, 166, 760–768. [Google Scholar] [CrossRef]
- Sharifi, Y.; Adshoon, I.; Asad-Abadi, S.; Aslani, F. Environmental protection by using waste copper slag as a coarse aggregate in self-compacting concrete. J. Environ. Manag. 2020, 271, 111013. [Google Scholar] [CrossRef]
- Li, P.P.; Cao, Y.Y.Y.; Sluijsmans, M.J.C.; Brouwers, H.J.H.; Yu, Q. Synergistic effect of steel fibres and coarse aggregates on impact properties of ultra-high performance fibre reinforced concrete. Cem. Concr. Compos. 2021, 115, 103866. [Google Scholar] [CrossRef]
- Karimipour, A. Effect of untreated coal waste as fine and coarse aggregates replacement on the properties of steel and polypropylene fibres reinforced concrete. Mech. Mater. 2020, 150, 103592. [Google Scholar] [CrossRef]
- Guan, X.; Chen, J.; Qiu, J.; Gao, Y.; Gao, J. Damage evaluation method based on ultrasound technique for gangue concrete under freezing-thawing cycles. Constr. Build. Mater. 2020, 246, 118437. [Google Scholar] [CrossRef]
- Park, I.; Tabelin, C.B.; Jeon, S.; Li, X.; Seno, K.; Ito, M.; Hiroyoshi, N. A review of recent strategies for acid mine drainage prevention and mine tailings recycling. Chemosphere 2019, 219, 588–606. [Google Scholar] [CrossRef] [PubMed]
- Tabelin, C.B.; Park, I.; Phengsaart, T.; Jeon, S.; Villacorte-Tabelin, M.; Alonzo, D.; Yoo, K.; Ito, M.; Hiroyoshi, N. Copper and critical metals production from porphyry ores and E-wastes: A review of resource availability, processing/recycling challenges, socio-environmental aspects, and sustainability issues. Resour. Conserv. Recycl. 2021, 170, 105610. [Google Scholar] [CrossRef]
- Tabelin, C.B.; Dallas, J.; Casanova, S.; Pelech, T.; Bournival, G.; Saydam, S.; Canbulat, I. Towards a low-carbon society: A review of lithium resource availability, challenges and innovations in mining, extraction and recycling, and future perspectives. Miner. Eng. 2021, 163, 106743. [Google Scholar] [CrossRef]
- Huyen, D.T.; Tabelin, C.B.; Thuan, H.M. The solid-phase partitioning of arsenic in unconsolidated sediments of the Mekong Delta, Vietnam and its modes of release under various conditions. Chemosphere 2019, 233, 512–523. [Google Scholar] [CrossRef]
- Tabelin, C.B.; Igarashi, T.; Villacorte-Tabelin, M.; Park, I.; Opiso, E.M.; Ito, M.; Hiroyoshi, N. Arsenic, selenium, boron, lead, cadmium, copper, and zinc in naturally contaminated rocks: A review of their sources, modes of enrichment, mechanisms of release, and mitigation strategies. Sci. Total Environ. 2018, 645, 1522–1553. [Google Scholar] [CrossRef]
- Arima, T.; Sasaki, R.; Yamamoto, T.; Tabelin, C.B.; Tamoto, S.; Igarashi, T. Effects of environmental factors on the leaching and immobilization behavior of arsenic from mudstoneby laboratory and in situ column experiments. Minerals 2021, 11, 1220. [Google Scholar] [CrossRef]
- Li, J.M.; Huang, Y.L.; Ouyang, S.; Guo, Y.; Gao, H.; Wu, L.; Shi, Y.; Zhu, L. Transparent characterization and quantitative analysis of broken gangue’s 3D fabric under the bearing compression. Int. J. Min. Sci. Technol. 2021, 11, 13. [Google Scholar] [CrossRef]
- Li, J.M.; Huang, Y.L.; Li, W.; Guo, Y.; Ouyang, S.; Cao, G. Study on dynamic adsorption characteristics of broken coal gangue to heavy metal ions under leaching condition and its cleaner mechanism to mine water. J. Clean. Prod. 2021, 329, 1–12. [Google Scholar] [CrossRef]
- Qiu, J.; Zhu, M.; Zhou, Y.; Guan, X. Effect and mechanism of coal gangue concrete modification by fly ash. Constr. Build. Mater. 2021, 294, 123563. [Google Scholar] [CrossRef]
- Zhou, M.; Dou, Y.; Zhang, Y.; Zhang, Y.; Zhang, B. Effects of the variety and content of coal gangue coarse aggregate on the mechanical properties of concrete. Constr. Build. Mater. 2019, 220, 386–395. [Google Scholar] [CrossRef]
- Wang, Q.; Li, Z.; Zhang, Y.; Zhang, H.; Zhou, M.; Fang, Y. Influence of coarse coal gangue aggregates on elastic modulus and drying shrinkage behaviour of concrete. J. Build. Eng. 2020, 32, 101748. [Google Scholar] [CrossRef]
- Juenger, M.C.G.; Siddique, R. Recent advances in understanding the role of supplementary cementitious materials in concrete. Cem. Concr. Res. 2015, 78, 71–80. [Google Scholar] [CrossRef]
- John, V.M.; Damineli, B.L.; Quattrone, M.; Pileggi, R.G. Fillers in cementitious materials—Experience, recent advances and future potential. Cem. Concr. Res. 2018, 114, 65–78. [Google Scholar] [CrossRef]
- Monteiro, P.J.M.; Geng, G.; Marchona, D.J.; Li, J.; Alapati, P.; Kurtis, K.E.; Qomi, M.J.A. Advances in characterizing and understanding the microstructure of cementitious materials. Cem. Concr. Res. 2019, 124, 105806. [Google Scholar] [CrossRef]
- Skibsted, J.; Snellings, R. Reactivity of supplementary cementitious materials (SCMs) in cement blends. Cem. Concr. Res. 2019, 124, 105799. [Google Scholar] [CrossRef]
- Karahan, O.; Hossain, K.M.A.; Ozbay, E.; Lachemi, M.; Sancak, E. Effect of metakaolin content on the properties self-consolidating lightweight concrete. Constr. Build. Mater. 2012, 31, 320–325. [Google Scholar] [CrossRef]
- Salimi, J.; Ramezanianpour, A.M.M.; Moradi, J. Studying the effect of low reactivity metakaolin on free and restrained shrinkage of high performance concrete. J. Build. Eng. 2020, 28, 101053. [Google Scholar] [CrossRef]
- Güneyisi, E.; Gesoglu, M.; Karaoglu, S.; Mermerdas, K. Strength permeability and shrinkage cracking of silica fume and metakaolin concretes. Constr. Build. Mater. 2012, 34, 120–130. [Google Scholar] [CrossRef]
- Dabbaghi, F.; Sadeghi-Nik, A.; Libre, N.A.; Nasrollahpour, S. Characterizing fiber reinforced concrete incorporating zeolite and metakaolin as natural pozzolans. Structures 2021, 34, 2617–2627. [Google Scholar] [CrossRef]
- Sujjavanich, S.; Suwanvitaya, P.; Chaysuwan, D.; Heness, G. Synergistic effect of metakaolin and fly ash on properties of concrete. Constr. Build. Mater. 2017, 155, 830–837. [Google Scholar] [CrossRef]
- Hasnaoui, A.; Ghorbel, E.; Wardeh, G. Performance of metakaolin/slag-based geopolymer concrete made with recycled fine and coarse aggregates. J. Build. Eng. 2021, 42, 102813. [Google Scholar] [CrossRef]
- Xie, J.; Zhang, H.; Duan, L.; Yang, Y.; Yan, J.; Shan, D.; Liu, X.; Pang, J.; Chen, Y.; Li, X.; et al. Effect of nano metakaolin on compressive strength of recycled concrete. Constr. Build. Mater. 2020, 256, 119393. [Google Scholar] [CrossRef]
- Singh, N.; Mithulraj, M.; Arya, S. Utilization of coal bottom ash in recycled concrete aggregates based self-compacting concrete blended with metakaolin. Resour. Conserv. Recycl. 2019, 144, 240–251. [Google Scholar] [CrossRef]
- GB175–2007; Common Portland Cement. Chinese Standard: Beijing, China, 2007.
- Jin, J.; Qin, Z.; Lü, X.; Liu, T.; Zhang, G.; Shi, J.; Zuo, S.; Li, D. Rheology control of self-consolidating cement-tailings grout for the feasible use in coal gangue-filled backfill. Constr. Build. Mater. 2022, 316, 125836. [Google Scholar] [CrossRef]
- Silwamba, M.; Ito, M.; Hiroyoshi, N.; Tabelin, C.B.; Fukushima, T.; Park, I.; Jeon, S.; Igarashi, T.; Sato, T.; Nyambe, I.; et al. Detoxification of lead-bearing zinc plant leach residues from Kabwe, Zambia by coupled extraction-cementation method. J. Environ. Chem. Eng. 2020, 8, 104197. [Google Scholar] [CrossRef]
- Tabelin, C.B.; Silwamba, M.; Paglinawan, F.C.; Mondejar, A.J.S.; Duc, H.G.; Resabal, V.J.; Opiso, E.M.; Igarashi, T.; Tomiyama, S.; Ito, M.; et al. Solid-phase partitioning and release-retention mechanisms of copper, lead, zinc and arsenic in soils impacted by artisanal and small-scale gold mining (ASGM) activities. Chemosphere 2020, 260, 127574. [Google Scholar] [CrossRef]
- GB/T 50081-2019; Standard for Test Method of Mechanical Properties on Ordinary Concrete. Chinese Standard: Beijing, China, 2019.
- CECS 21:2000; Technical Specification for Inspection of Concrete Defects by Ultrasonic Method. Chinese Standard: Beijing, China, 2000.
- JGJ/T 23-2011; Technical Specification for Inspection of Concrete Defects by Rebound Method. Chinese Standard: Beijing, China, 2011.
- ASTM C642-13; Standard Test Method for Density, Absorption, and Voids in Hardened Concrete. American Society for Testing and Materials: West Conshohocken, PA, USA, 2013.
- Li, X.L.; Gao, M.; Hiroyoshi, N.; Tabelin, C.B.; Taketsugu, T.; Ito, M. Suppression of pyrite oxidation by ferric-catecholate complexes: An electrochemical study. Miner. Eng. 2019, 138, 226–237. [Google Scholar] [CrossRef]
- Park, I.; Tabelin, C.B.; Seno, K.; Jeon, S.; Inano, H.; Ito, M.; Hiroyoshi, N. Carrier-microencapsulation of arsenopyrite using Al-catecholate complex: Nature of oxidation products, effects on anodic and cathodic reactions, and coating stability under simulated weathering conditions. Heliyon 2020, 6, e03189. [Google Scholar] [CrossRef] [Green Version]
- Hua, X.; Shi, C.; Shi, Z.; Zhang, L. Compressive strength, pore structure and chloride transport properties of alkali-activated slag/fly ash mortars. Cem. Concr. Compos. 2019, 104, 103392. [Google Scholar] [CrossRef]
- Aseniero, J.P.J.; Opiso, E.M.; Banda, M.H.T.; Tabelin, C.B. Potential utilization of artisanal gold-mine tailings as geopolymeric source material: Preliminary investigation. SN Appl. Sci. 2019, 1, 35. [Google Scholar] [CrossRef]
- Opiso, E.M.; Tabelin, C.B.; Maestre, C.V.; Aseniero, I.P.J.; Park, I.; Villacorte-Tabelin, M. Synthesis and characterization of coal fly ash and palm oil fuel ash modified artisanal and small-scale gold mine (ASGM) tailings based geopolymer using sugar mill lime sludge as Ca-based activator. Heliyon 2021, 7, e06654. [Google Scholar] [CrossRef] [PubMed]
- Li, Q.; Geng, H.; Shui, Z.; Huang, Y. Effect of metakaolin addition and seawater mixing on the properties and hydration of concrete. Appl. Clay Sci. 2015, 115, 51–60. [Google Scholar] [CrossRef]
- Dadsetan, S.; Bai, J. Mechanical and microstructural properties of self-compacting concrete blended with metakaolin, ground granulated blast-furnace slag and fly ash. Constr. Build. Mater. 2017, 146, 658–667. [Google Scholar] [CrossRef]
- Sharma, R.; Khan, R.A. Influence of copper slag and metakaolin on the durability of self-compacting concrete. J. Clean. Prod. 2018, 171, 1171–1186. [Google Scholar] [CrossRef]
- ACI 318-11, ACI Committee; American Concrete Institute; International Organization for Standardization. Building Code Requirements for Structural Concrete and Commentary; American Concrete Institute: Farmington Hills, MI, USA, 2011. [Google Scholar]
- Japan Society of Civil Engineers, JSCE No. 15. Standard Specification for Concrete Structure; Japanese Society of Civil Engineering: Tokyo, Japan, 2007. [Google Scholar]
- CSA. Design of Concrete Structures; Canadian Standard Association: Mississauga, ON, Canada, 2004. [Google Scholar]
- Xue, Y.; Bai, C.; Qiu, D.; Kong, F.; Li, Z. Predicting rock burst with database using particle swarm optimization and extreme learning machine. Tunn. Undergr. Space Technol. 2020, 98, 1–12. [Google Scholar] [CrossRef]
- Al-Shamiri, A.K.; Kim, J.H.; Yuan, T.F.; Yoon, Y.S. Modeling the compressive strength of high-strength concrete: An extreme learning approach. Constr. Build. Mater. 2019, 208, 204–219. [Google Scholar] [CrossRef]
- Su, X.; An, J.; Zhang, Y.; Zhu, P.; Zhu, B. Prediction of ozone hourly concentrations by support vector machine and kernel extreme learning machine using wavelet transformation and partial least squares methods. Atmos. Pollut. Res. 2020, 11, 024. [Google Scholar] [CrossRef]











| Physical Index | Chemical Composition (wt %) | |||||||||
|---|---|---|---|---|---|---|---|---|---|---|
| Chemicals (wt %) | Specific Surface Area (m2/g) | Density (g/cm3) | Average Diameter (µm) | SiO2 | Al2O3 | Fe2O3 | MgO | CaO | LOI | Total |
| OPC | 0.36 | 3.18 | 24 | 22.45 | 5.4 | 4.7 | 1.7 | 61.75 | 2.37 | 98.37 |
| Metakaolin | 33.60 | 2.67 | 0.57 | 53.43 | 42.5 | 1.28 | 0.36 | 0.24 | 1.10 | 98.91 |
| CG | - | 2.35 | - | 63.52 | 19.31 | 0.93 | 0.71 | 2.31 | 6.45 | 93.23 |
| w/c | Sample | Water (kg/m3) | OPC (kg/m3) | Metakaolin (kg/m3) | Sand (kg/m3) | Gravel (kg/m3) | CG (kg/m3) |
|---|---|---|---|---|---|---|---|
| 0.55 | CG0MK0 | 210 | 382 | 0 | 650 | 1020 | 0 |
| CG0MK10 | 210 | 343.8 | 38.2 | 650 | 1020 | 0 | |
| CG0MK20 | 210 | 305.6 | 76.4 | 650 | 1020 | 0 | |
| CG25MK0 | 210 | 382 | 0 | 650 | 765 | 255 | |
| CG25MK10 | 210 | 343.8 | 38.2 | 650 | 765 | 255 | |
| CG25MK20 | 210 | 305.6 | 76.4 | 650 | 765 | 255 | |
| CG50MK0 | 210 | 382 | 0 | 650 | 510 | 510 | |
| CG50MK10 | 210 | 343.8 | 38.2 | 650 | 510 | 510 | |
| CG50MK20 | 210 | 305.6 | 76.4 | 650 | 510 | 510 | |
| CG75MK0 | 210 | 382 | 0 | 650 | 255 | 765 | |
| CG75MK10 | 210 | 343.8 | 38.2 | 650 | 255 | 765 | |
| CG75MK20 | 210 | 305.6 | 76.4 | 650 | 255 | 765 | |
| CG100MK0 | 210 | 382 | 0 | 650 | 0 | 1020 | |
| CG100MK10 | 210 | 343.8 | 38.2 | 650 | 0 | 1020 | |
| CG100MK20 | 210 | 305.6 | 76.4 | 650 | 0 | 1020 | |
| 0.45 | CG0MK0 | 185 | 411 | 0 | 682 | 1218 | 0 |
| CG0MK10 | 185 | 369.9 | 41.1 | 682 | 1218 | 0 | |
| CG0MK20 | 185 | 328.8 | 82.2 | 682 | 1218 | 0 | |
| CG25MK0 | 185 | 411 | 0 | 682 | 913.5 | 304.5 | |
| CG25MK10 | 185 | 369.9 | 41.1 | 682 | 913.5 | 304.5 | |
| CG25MK20 | 185 | 328.8 | 82.2 | 682 | 913.5 | 304.5 | |
| CG50MK0 | 185 | 411 | 0 | 682 | 609 | 609 | |
| CG50MK10 | 185 | 369.9 | 41.1 | 682 | 609 | 609 | |
| CG50MK20 | 185 | 328.8 | 82.2 | 682 | 609 | 609 | |
| CG75MK0 | 185 | 411 | 0 | 682 | 304.5 | 913.5 | |
| CG75MK10 | 185 | 369.9 | 41.1 | 682 | 304.5 | 913.5 | |
| CG75MK20 | 185 | 328.8 | 82.2 | 682 | 304.5 | 913.5 | |
| CG100MK0 | 185 | 411 | 0 | 682 | 0 | 1218 | |
| CG100MK10 | 185 | 369.9 | 41.1 | 682 | 0 | 1218 | |
| CG100MK20 | 185 | 328.8 | 82.2 | 682 | 0 | 1218 |
| w/c | Sample | Open Porosity (%) | ||||
|---|---|---|---|---|---|---|
| 0% CG | 25% CG | 50% CG | 75% CG | 100% CG | ||
| 0.55 | 0% MK | 16.12 | 17.18 | 17.68 | 18.32 | 19.88 |
| 10% MK | 14.09 | 14.6 | 15.99 | 16.2 | 17.72 | |
| 20% MK | 14.64 | 15.53 | 17.3 | 17.81 | 18.29 | |
| 0.45 | 0% MK | 7.84 | 8.75 | 9.49 | 9.89 | 10.63 |
| 10% MK | 7.04 | 7.7 | 8.25 | 8.79 | 9.53 | |
| 20% MK | 7.43 | 7.94 | 8.82 | 9.21 | 10.42 | |
| Design Code | Elastic Modulus (GPa) | Design Code | Elastic Modulus (GPa) |
|---|---|---|---|
| ACI-318 | JCI-08 | ||
| JSCE-07 | EC-04 | ||
| CSA A23.3-04 | NZS 3101 |
| Station | R2 | MAE | MAPE |
|---|---|---|---|
| Training set | 0.99 | 0.99 | 5.71 |
| test set | 0.98 | 1.69 | 9.09 |
| Station | Range | Average | Standard Deviation | Coefficient of Variation |
|---|---|---|---|---|
| Training set | 7.60–51.57 | 24.25 | 124.69 | 5.14 |
| test set | 8.18–55.77 | 27.43 | 183.61 | 6.69 |
Publisher’s Note: MDPI stays neutral with regard to jurisdictional claims in published maps and institutional affiliations. |
© 2022 by the authors. Licensee MDPI, Basel, Switzerland. This article is an open access article distributed under the terms and conditions of the Creative Commons Attribution (CC BY) license (https://creativecommons.org/licenses/by/4.0/).
Share and Cite
Jin, J.; Yuan, S.; Lv, Z.; Sun, Q. Development of Backfill Concrete Including Coal Gangue and Metakaolin and Prediction of Compressive Strength by Extreme Learning Machine. Minerals 2022, 12, 330. https://doi.org/10.3390/min12030330
Jin J, Yuan S, Lv Z, Sun Q. Development of Backfill Concrete Including Coal Gangue and Metakaolin and Prediction of Compressive Strength by Extreme Learning Machine. Minerals. 2022; 12(3):330. https://doi.org/10.3390/min12030330
Chicago/Turabian StyleJin, Jiaxu, Shihao Yuan, Zhiqiang Lv, and Qi Sun. 2022. "Development of Backfill Concrete Including Coal Gangue and Metakaolin and Prediction of Compressive Strength by Extreme Learning Machine" Minerals 12, no. 3: 330. https://doi.org/10.3390/min12030330
APA StyleJin, J., Yuan, S., Lv, Z., & Sun, Q. (2022). Development of Backfill Concrete Including Coal Gangue and Metakaolin and Prediction of Compressive Strength by Extreme Learning Machine. Minerals, 12(3), 330. https://doi.org/10.3390/min12030330
