Construction and Destruction of Bontău Composite Volcano in the Extensional Setting of Zărand Basin during Miocene (Apuseni Mts., Romania)
Abstract
:1. Introduction
2. Methodology
3. Local Geology and the Knowledge Summary
4. Description of the Volcanic Complex
4.1. Lava Dome Structures (LDS)
4.2. Bontău Volcano Edifice Remnants
4.2.1. The Central Area of Non-Differentiated Deposits (NDD)
4.2.2. The Western Composite Volcano Edifice Remnant (CVW)
4.2.3. The Eastern Composite Volcano Edifice Remnant (CVE)
4.3. General Features of the Debris Avalanche Deposits (DADs)
4.3.1. The WDA Unit
4.3.2. The EDA Unit
4.3.3. The SDA Unit
4.3.4. The NDA Unit
4.4. Geometry and Volume Calculations
| Volcano Edifice Remnants | Length km | Wide km | Area km2 | Volume km3 |
| NDD-central | 3.5 | 1.5 | 6.049 | 1.509 |
| CVE-eastern | 6.1 | 5.0 | 23.500 | 8.675 |
| CVW-western | 6.3 | 2.3 | 11.104 | 5.132 |
| Total volcano remnants | 40.654 | 15.316 | ||
| Lava Domes complex | Length-km | Wide-km | Area km2 | Volume km3 |
| Gurahonţ | 6 | 2.3 | 15.020 | 1.766 |
| Aciuţa | 3.4 | 1.6 | 4.888 | 0.394 |
| Vârfuri | 3.7 | 3.3 | 11.426 | 2.0833 |
| Total Lava Dome | 31.334 | 4.243 | ||
| DADs | Length-km | Wide-km | Area km2 | Volume km3 |
| EDA | 19 | 10 | 114.855 | 16.225 |
| WDA | 10.8 | 11.5 | 72.193 | 14.094 |
| NDA | 16.2 | 13.4 | 121.642 | 17.71 |
| SDA | 6 | 8 | 37.454 | 5.188 |
| Total DADs | 346.14 | 53.217 | ||
| Total presumed Bontău volcanic complex volume | 72.776 |
5. Petrography
5.1. Basaltic Andesites
5.2. Andesites
6. Geochemistry
6.1. Rock Classification
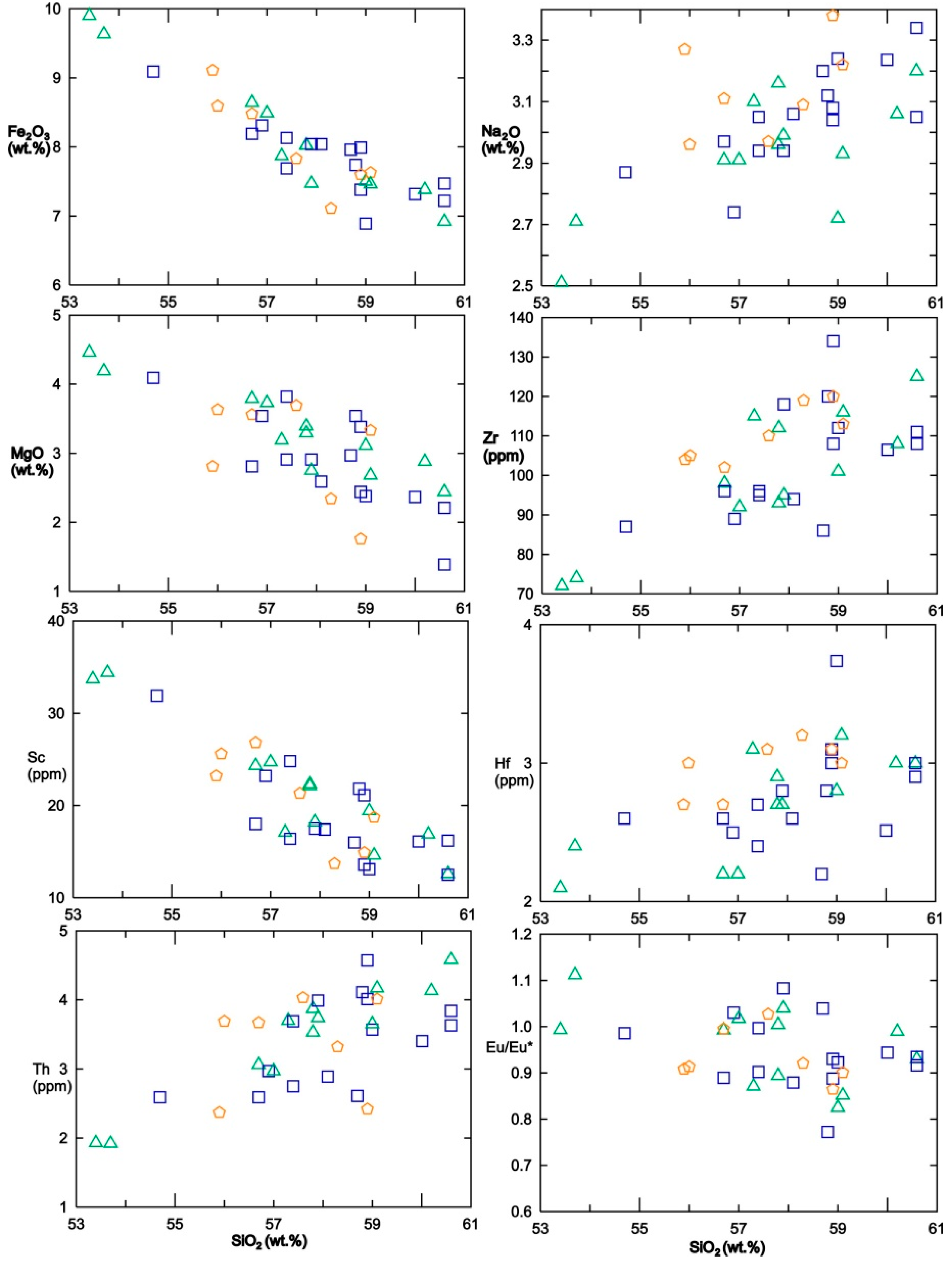
6.2. Chemical and Isotopic Composition
6.3. Petrogenetic Aspects
7. Discussion
7.1. Edifice Construction Processes and Relationships with Tectonic Developments
7.2. Causes of Edifice Collapse and DADs Emplacements Processes
7.3. Post Destruction Processes
8. Conclusions
Supplementary Materials
Author Contributions
Funding
Acknowledgments
Conflicts of Interest
References
- Davidson, J.; de Silva, S. Composite Volcanoes. In Encyclopedia of Volcanoes; Sigurdsson, H., Houghton, B.F., McNutt, S.R., Rymer, H., Stix, J., Eds.; Academic Press: San Diego, CA, USA, 2000; pp. 663–681. [Google Scholar]
- Seghedi, I.; Szakács, A.; Roşu, E.; Pécskay, Z.; Gmeling, K. Note on the evolution of a Miocene composite volcano in an extensional setting, Zărand Basin (Apuseni Mts., Romania). Cent. Eur. J. Geol. 2010, 2, 321–328. [Google Scholar] [CrossRef]
- Seghedi, I.; Ntaflos, T.; Pécskay, Z.; Panaiotu, C.; Mirea, V.; Downes, H. Miocene extension and magma generation in the Apuseni Mts. (western Romania): A review. Int. Geol. Rev. 2021, 1–27. [Google Scholar] [CrossRef]
- Voight, B.; Glicken, H.; Janda, R.J.; Douglass, P.M. Catastrophic Rockslide Avalanche of May 18. In The 1980 Eruptions of Mount St. Helens; Lipman, P.W., Mullineaux, D.R., Eds.; Professional Papers; United States Geological Survey: Washington, DC, USA, 1981; Volume 1250, pp. 347–378. [Google Scholar]
- Glicken, H. Rockslide-Debris Avalanche of May 18, 1980, Mount St. Helens Volcano, Washington; Open-file Rep 96–677; US Geological Survey: Vancouver, WA, USA, 1996; pp. 1–90.
- Siebert, L.; Roverato, M.A. Historical Perspective on Lateral Collapse and Volcanic Debris Avalanches. In Volcanic Debris Avalanches. Advances in Volcanology (An Official Book Series of the International Association of Volcanology and Chemistry of the Earth’s Interior); Roverato, M., Dufresne, A., Procter, J., Eds.; Springer: Cham, Germany, 2021. [Google Scholar] [CrossRef]
- Cortés, A.; Macías, J.L.; Capra, L.; Garduño-Monroy, V.H. Sector collapse of the SW flank of Volcán de Colima, México. The 3600 yr BP La Lumbre-Los Ganchos debris avalanche and associated debris flows. J. Volcanol. Geotherm. Res. 2010, 197, 52–66. [Google Scholar] [CrossRef]
- Capra, L.; Gavilanes-Ruiz, J.C.; Bonasia, R.; Saucedo-Giron, R.; Sulpizio, R. Re-assessing volcanic hazard zonation of Volcán de Colima, México. Nat. Hazards 2015, 76, 41–61. [Google Scholar] [CrossRef]
- Siebe, C.; Komorowski, J.C.; Sheridan, M.F. Morphology and emplacement of an unusual debris-avalanche deposit at Jocotitlán volcano, Central Mexico. Bull. Volcanol. 1992, 54, 573–589. [Google Scholar] [CrossRef]
- Dumitrescu, I.; Săndulescu, M. Harta Tectonică a României (Tectonic map of Romania). In Geological Atlas of Romania; Geological Institute of Romania: Bucharest, Romania, 1976. [Google Scholar]
- Balintoni, I. Structure of the Apuseni Mountains. Rom. J. Tecton. Reg. Geol. 1994, 75 (Suppl. 2), 51–58. [Google Scholar]
- Săndulescu, M. Cenozoic Tectonic History of the Carpathians in The Pannonian Basin: A Study in Basin Evolution; Royden, L., Horvath, F., Eds.; AAPG Memoir: Tusla, OK, USA, 1988; Volume 45, pp. 17–25. [Google Scholar]
- Balázs, A.; Maţenco, L.; Magyar, I.; Horváth, F.; Cloetingh, S. The link between tectonics and sedimentation in back-arc basins: New genetic constraints from the analysis of the Pannonian Basin. Tectonics 2016, 35, 1526–1559. [Google Scholar] [CrossRef] [Green Version]
- Tari, G.; Dovenyi, P.; Dunkl, I.; Horvath, F.; Lenkey, L.; Ştefănescu, M.; Szafian, P.; Toth, T. Lithospheric structure of the Pannonian Basin Derived from Seismic, Gravity and Geothermal Data. In the Mediterranean Basins: Extension Within the Alpine Orogen; Durand, B., Jolivet, L., Horvath, F., Serrane, M., Eds.; The Geological Society of London—Special Publications: London, UK, 1999; Volume 156, pp. 215–250. [Google Scholar]
- Fodor, L.; Csontos, L.; Bada, G.; Györfi, I.; Benkovics, L. Tertiary tectonic evolution of the pannonian basin system and neighbouring orogens; a new synthesis of palaeostress data. Geol. Soc. Spec. Publ. 1999, 156, 295–334. [Google Scholar] [CrossRef]
- Csontos, L.; Nagymarosy, A. The Mid-Hungarian line; a zone of repeated tectonic inversions. Tectonophysics 1998, 297, 51–71. [Google Scholar] [CrossRef]
- Ghiţulescu, T.P.; Socolescu, M. Étude géologique et minière des Monts Metallilifères (Quadrilatère aurifère et régions environnantes). An. Inst. Geol. 1941, 21, 181–464. [Google Scholar]
- Ianovici, V.; Giuşcă, D.; Ghiţulescu, T.P.; Borcoş, M.; Lupu, M.; Bleahu, M.; Savu, H. Geological Evolution of the Metaliferi Mountains; Education Academy Rep. Society: Bucharest, Romania, 1969; 741p. (In Romanian) [Google Scholar]
- Horváth, F.; Bada, G.; Szafian, P.; Tari, G.; Adam, A.; Cloetingh, S. Formation and deformation of the Pannonian Basin: Constraints from observational data. Geol. Soc. Lond. Mem. 2006, 32, 191–206. [Google Scholar] [CrossRef]
- Roşu, E.; Seghedi, I.; Downes, H.; Alderton, D.H.M.; Szakács, A.; Pécskay, Z.; Panaiotu, C.; Panaiotu, C.E.; Nedelcu, L. Extension-related Miocene calc-alkaline magmatism in the Apuseni Mountains, Romania: Origin of magmas. Swiss Bull. Miner. Petrol. 2004, 84, 153–172. [Google Scholar]
- Harris, C.R.; Pettke, T.; Heinrich, C.A.; Roşu, E.; Woodland, S.; Fry, B. Tethyan mantle metasomatism creates subduction geochemical signatures in non-arc Cu–Au–Te mineralizing magmas: Apuseni Mountains (Romania). Earth Planet. Sci. Lett. 2013, 366, 122–136. [Google Scholar] [CrossRef]
- Seghedi, I.; Downes, H.; Szakács, A.; Mason, P.R.D.; Thirlwall, M.F.; Roşu, E.; Pécskay, Z.; Marton, E.; Panaiotu, C. Neogene-Quaternary magmatism and geodynamics in the Carpathian-Pannonian region: A synthesis. Lithos 2004, 72, 117–146. [Google Scholar] [CrossRef]
- Balázs, A.; Burov, E.; Maţenco, L.; Vogt, K.; Francois, T.; Cloetingh, S. Symmetry during the syn-and post-rift evolution of extensional back-arc basins: The role of inherited orogenic structures. Earth Planet. Sci. Lett. 2017, 462, 86–98. [Google Scholar] [CrossRef]
- Dinu, C.; Calotă, C.; Mocanu, V.; Ciulavu, D. Geotectonic setting and the particular structural features of the Beiuş basin, on the basis of geological and geophysical data synthesis. Rev. Roum. Géophys. 1991, 35, 77–87. [Google Scholar]
- Csontos, L. Tertiary tectonic evolution of the Intra-Carpathian area: A review. Acta Volcanol. 1995, 7, 1–13. [Google Scholar]
- Dallmeyer, R.D.; Pană, D.I.; Neubauer, F.; Erdmer, P. Tectonothermal evolution of the Apuseni Mountains, Romania: Resolution of Variscan versus alpine events with 40Ar/39Ar ages. J. Geol. 1999, 107, 329–352. [Google Scholar] [CrossRef]
- Pană, D.I.; Heaman, L.M.; Creaser, R.A.; Erdmer, P. Prealpine crust in the Apuseni Mountains, Romania: Insights from Sm-Nd and U-Pb data. J. Geol. 2002, 110, 341–354. [Google Scholar] [CrossRef]
- Balintoni, I.; Balica, C.; Ducea, M.N.; Chen, F.K.; Hann, H.P.; Sabliovschi, V. Late cambrian-early ordovician gondwanan terranes in the romanian carpathians: A zircon U-Pb provenance study. Gondwana Res. 2009, 16, 119–133. [Google Scholar] [CrossRef]
- Balintoni, I.; Balica, C.; Ducea, M.N.; Zaharia, L.; Chen, F.K.; Cliveti, M.; Hann, H.P.; Li, L.Q.; Ghergari, L. Late Cambrian-Ordovician northeastern Gondwanan terranes in the basement of the Apuseni Mountains, Romania. J. Geol. Soc. 2010, 167, 1131–1145. [Google Scholar] [CrossRef]
- Szemerédi, M.; Varga, A.; Dunkl, I.; Lukács, R.; Seghedi, I.; Kovács, Z.; Raucsik, B.; Pál-Molnár, E. Petrology and zircon U–Pb dating of granitoid rocks in the Highiş massif (SW Apuseni Mts, Romania): Insights into Permian plutonic–volcanic connections. Geol. Carp. 2021, 72, 482–504. [Google Scholar] [CrossRef]
- Neubauer, F.; Lips, A.; Kouzmanov, K.; Lexa, J.; Ivăşcanu, P. Subduction, slab detachment and mineralization: The Neogene in the Apuseni Mountains and Carpathians. Ore Geol. Rev. 2005, 27, 13–44. [Google Scholar] [CrossRef]
- Lexa, J.; Seghedi, I.; Németh, K.; Szakács, A.; Konečný, V.; Pécskay, Z.; Fülöp, A.; Kovacs, M. Neogene–Quaternary volcanic forms in the Carpathian–Pannonian Region: A review. Cent. Eur. J. Geosci. 2010, 2, 207–270. [Google Scholar] [CrossRef] [Green Version]
- Fink, J.F.; Anderson, S.W. Lava Domes and Coulees. In Encyclopedia of Volcanoes; Sigurdsson, H., Houghton, B.F., McNutt, S.R., Rymer, H., Stix, J., Eds.; Academic Press: San Diego, CA, USA, 2000; pp. 307–319. [Google Scholar]
- Heiken, G.; Wohletz, K. Tephra deposits associated with silicic domes and lava flows. Geol. Soc. Am. Spec. Pap. 1987, 212, 55–76. [Google Scholar]
- Kósik, S.; Németh, K.; Lexa, J.; Procter, J.N. Understanding the evolution of a small-volume silicic fissure eruption: Puketerata Volcanic Complex, Taupo Volcanic Zone, New Zealand. J. Volcanol. Geotherm. Res. 2019, 383, 28–46. [Google Scholar] [CrossRef]
- Roşu, E.; Pécskay, Z.; Ştefan, A.; Popescu, G.; Panaiotu, C.; Panaiotu, C.E. The evolution of the Neogene volcanism in the Apuseni Mountains (Romania): Constraints from new K/Ar data. Geol. Carpath. 1997, 48, 353–359. [Google Scholar]
- Pécskay, Z.; Lexa, J.; Szakács, A.; Seghedi, I.; Balogh, K.; Konečný, V.; Kovács, M.; Márton, E.; Zelenka, T.; Póka, T.; et al. Geochronology of neogene–quaternary magmatism in the Carpathian arc and Intra-Carpathian area: A review. Geol. Carpath. 2006, 57, 511–530. [Google Scholar]
- Berbeleac, I.; David, M.; Zămârcă, A. Petrological and petrochemical data on the Tertiary volcanics from the eastern part of the Zărand Mountains. D.S. Inst. Geol. Geofiz. 1984, LXVIII, 27–46. [Google Scholar]
- Berbeleac, I.; Neacșu, V.; Zămîrcă, A.; Bratosin, I. Geochemistry and mineralogy of altered rocks and pyrites associated with the porphyry copper-gold mineralization of the Tertiary subvolcanic body from Tălagiu, Zărand Mountains. Rom. J. Miner. Depos. 1992, 75, 55–64. [Google Scholar]
- Berbeleac, I.; Iliescu, D.; Andrei, J.; Ciuculescu, O.; Ciuculescu, R. The relationship between alterations, porphyry copper-gold and base metal-gold hydrothermal vein mineralizations in Tertiary intrusions, Tălagiu area, Zărand Mountains. Rom. J. Miner. Depos. 1995, 76, 31–39. [Google Scholar]
- Hindson, T. The Geology and Geochemical Signature of the Talagiu Complex, Apuseni Mountains, NW Romania. Master’s Dissertation, University of Southampton, Southampton, UK, 2009; 71p. [Google Scholar]
- Abdrakhmatov, K.; Strom, A.L. Dissected Rockslide and Rock Avalanche Deposits: Tien Shan, Kyrgyzstan. In Landslides from Massive Rock Slope Failure; NATO Science Series IV, Earth and Environmental Sciences; Evans, S.G., Scarascia-Mugnozza, G., Strom, A.L., Hermanns, R.L., Eds.; Springer: Dordrecht, The Netherlands, 2006; Volume 49, pp. 551–570. [Google Scholar]
- van Wyk de Vries, B.; Self, S.; Francis, P.W.; Keszthelyi, L. A gravitational spreading origin for the Socompa debris avalanche. J. Volcanol. Geotherm. Res. 2001, 105, 225–247. [Google Scholar] [CrossRef] [Green Version]
- Philip, H.; Ritz, J.-F. Gigantic paleolandslide associated with active faulting along the Bogd fault (Gobi-Altay, Mongolia). Geology 1999, 27, 211–214. [Google Scholar] [CrossRef]
- Belousov, A.; Belousova, M.; Voight, B. Multiple edifice failures, debris avalanches and associated eruptions in the Holocene history of Shiveluch volcano, Kamchatka, Russia. Bull. Volcanol. 1999, 61, 324–342. [Google Scholar] [CrossRef] [Green Version]
- Karátson, D.; Timár, G. Comparative volumetric calculations of two segments of the Neogene/Quaternary volcanic chain using SRTM elevation data: Implications for erosion and magma output rates. Z. Geomorphol. Suppl. 2005, 140, 19–35. [Google Scholar]
- Hackett, W.R.; Houghton, B.F. A facies model for a quaternary andesitic composite volcano: Ruapehu, New Zealand. Bull. Volcanol. 1989, 51, 51–68. [Google Scholar] [CrossRef]
- Zaharia, L.; Har, N.; Vlăzan, M. Geochemical investigation of Neogene volcaniclastic rocks from the south-eastern part of the Zărand Basin (Apuseni Mts., Romania)—Implications for locating the source area. Studia UBB Geol. 2016, 60, 5–15. [Google Scholar] [CrossRef] [Green Version]
- Le Bas, M.J.; Le Maitre, R.W.; Streckeisen, A.; Zanettin, B. A chemical classification of volcanic rocks based on the total alkali-silica diagram. J. Pet. 1986, 27, 745–750. [Google Scholar] [CrossRef]
- Peccerillo, A.; Taylor, S.R. Geochemistry of Eocene calc-alkaline volcanic rocks from the Kastamonu Area. Contrib. Miner. Pet. 1976, 58, 63–81. [Google Scholar] [CrossRef]
- Sun, S.-S.; McDonough, W.F. Chemical and isotopic systematics of oceanic basalts: Implications for mantle composition and processes. Geol. Soc. Lond. Spec. Publ. 1989, 42, 313–345. [Google Scholar] [CrossRef]
- Zindler, A.; Hart, S. Chemical geodynamics. Annu. Rev. Earth Planet. Sci. 1986, 14, 493–571. [Google Scholar] [CrossRef]
- Cebria, J.M.; Wilson, M. Cenozoic mafic magmatism in western/central Europe. A common European asthenospheric reservoir? Terra Nova 1995, 7, 162. [Google Scholar]
- Granet, M.; Wilson, M.; Achauer, U. Imaging a mantle plume beneath the French Massif Central. Earth Planet. Sci. Lett. 1995, 136, 281–296. [Google Scholar] [CrossRef]
- DePaolo, D.J. Trace element and isotopic effects of combined wallrock assimilation and fractional crystallization. Earth Planet. Sci. Lett. 1981, 53, 189–202. [Google Scholar] [CrossRef]
- Hildreth, W.; Moorbath, S. Crustal contributions to arc magmatism in the Andes of central Chile. Contrib. Miner. Pet. 1988, 98, 455–489. [Google Scholar] [CrossRef]
- Rudnick, R.L.; Gao, S. Composition of the Continental Crust. In Treatise on Geochemistry; Turekian, K.K., Holland, H.D., Eds.; Elsevier Science: Amsterdam, The Netherlands, 2003; Volume 3, pp. 1–64. [Google Scholar]
- Davidson, J.; Turner, S.; Plank, T. Dy/Dy*: Variations arising from mantle sources and petrogenetic processes. J. Petrol. 2013, 54, 525–537. [Google Scholar] [CrossRef] [Green Version]
- Carr, M. IGPET Software Program; Terra Softa Inc.: Somerset, NJ, USA, 2014. [Google Scholar]
- Maţenco, L.; Bertotti, G. Tertiary tectonic evolution of the external East Carpathians (Romania). Tectonophysics 2000, 316, 255–286. [Google Scholar] [CrossRef]
- McGuire, W.J. Volcano instability: A review of contemporary themes. Geol. Soc. Lond. Spec. Publ. 1996, 110, 1–23. [Google Scholar] [CrossRef]
- Szakács, A.; Seghedi, I. Large Volume Volcanic Debris Avalanche in the East Carpathians, Romania. In Volcaniclastic Rocks, from Magma to Sediments; Leyrit, H., Montenat, C., Eds.; Gordon Breach Science Publishers: Amsterdam, The Netherlands, 2000; pp. 131–151. [Google Scholar]
- Dufresne, A.; Salinas, S.; Siebe, C. Substrate deformation associated with the Jocotitlán edifice collapse and debris avalanche deposit, Central México. J. Volcanol. Geotherm. Res. 2010, 197, 133–148. [Google Scholar] [CrossRef]













Publisher’s Note: MDPI stays neutral with regard to jurisdictional claims in published maps and institutional affiliations. |
© 2022 by the authors. Licensee MDPI, Basel, Switzerland. This article is an open access article distributed under the terms and conditions of the Creative Commons Attribution (CC BY) license (https://creativecommons.org/licenses/by/4.0/).
Share and Cite
Seghedi, I.; Mirea, V.M.; Ștefan, G.C. Construction and Destruction of Bontău Composite Volcano in the Extensional Setting of Zărand Basin during Miocene (Apuseni Mts., Romania). Minerals 2022, 12, 243. https://doi.org/10.3390/min12020243
Seghedi I, Mirea VM, Ștefan GC. Construction and Destruction of Bontău Composite Volcano in the Extensional Setting of Zărand Basin during Miocene (Apuseni Mts., Romania). Minerals. 2022; 12(2):243. https://doi.org/10.3390/min12020243
Chicago/Turabian StyleSeghedi, Ioan, Viorel M. Mirea, and Gabriel C. Ștefan. 2022. "Construction and Destruction of Bontău Composite Volcano in the Extensional Setting of Zărand Basin during Miocene (Apuseni Mts., Romania)" Minerals 12, no. 2: 243. https://doi.org/10.3390/min12020243
APA StyleSeghedi, I., Mirea, V. M., & Ștefan, G. C. (2022). Construction and Destruction of Bontău Composite Volcano in the Extensional Setting of Zărand Basin during Miocene (Apuseni Mts., Romania). Minerals, 12(2), 243. https://doi.org/10.3390/min12020243

