Evaluation of Vibration Effect Caused by Carbon Dioxide Phase-Transition Fracturing Based on the Hilbert–Huang Transform
Abstract
1. Introduction
2. Engineering Background
2.1. Process of Rock-Fracturing
2.2. Ground Vibration Monitoring
3. Hilbert-Huang Transform
- (1)
- EMD
- (2)
- Hilbert transform
4. HHT Analysis on Vibration Signals Induced by CO2 Phase-Transition Fracturing
4.1. Empirical Mode Decomposition
4.2. Hilbert Spectrum
4.3. Marginal Spectrum
5. Discussion
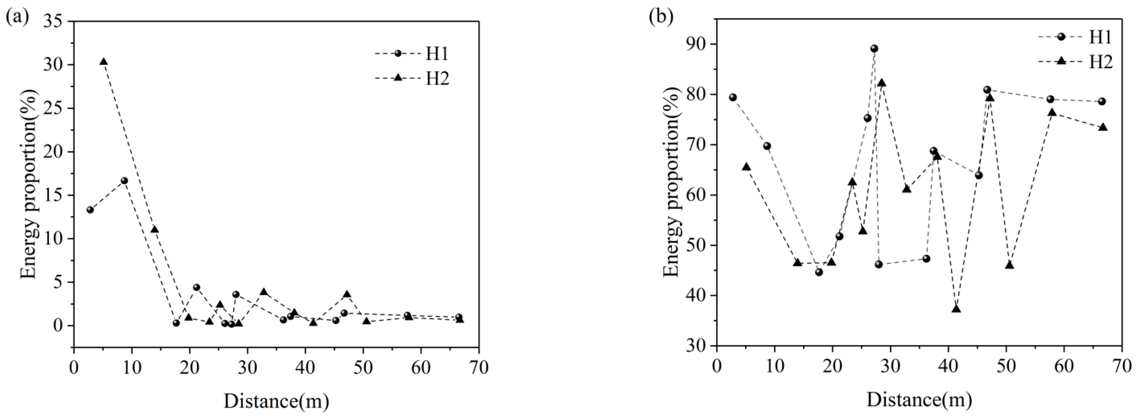
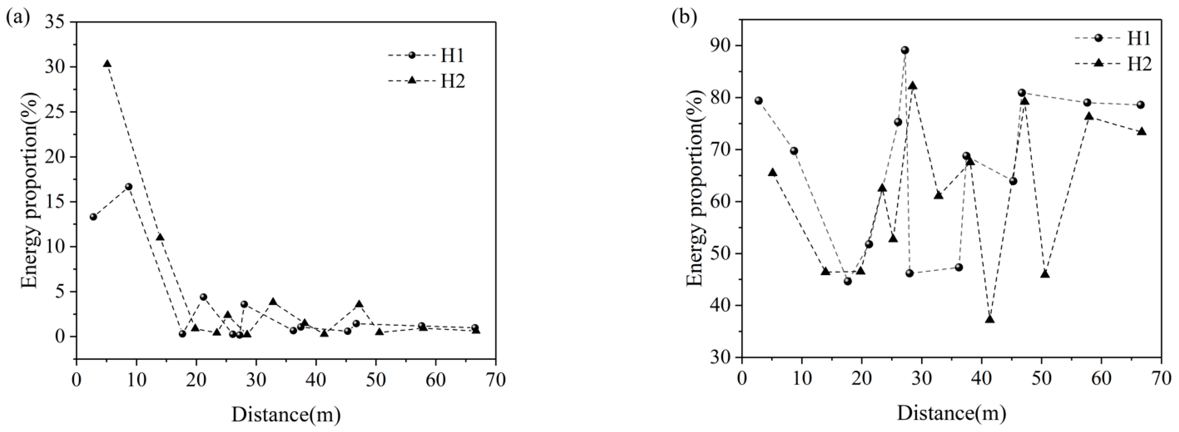
5.1. Attenuation of the Signal Energy with the Distance
5.2. Comparation of Explosive Blasting, Liquid CO2 and CO2 Ice Powder Phase-Transition Fracturing
6. Conclusions
Author Contributions
Funding
Data Availability Statement
Acknowledgments
Conflicts of Interest
References
- Zhou, S.; Jiang, N.; He, X.; Luo, X. Rock breaking and dynamic response characteristics of carbon dioxide phase transition fracturing considering the gathering energy effect. Energies 2020, 13, 1336. [Google Scholar] [CrossRef]
- Zhou, W.; Li, Z.; Wu, X.; Wang, S.; Lv, Y.; Lou, X.; Du, C.; Liang, R. A novel method to evaluate the effect of slope blasting under impact loading. Shock Vib. 2020, 2020, 6029190. [Google Scholar] [CrossRef]
- Khandelwal, M.; Singh, T.N. Prediction of blast-induced ground vibration using artificial neural network. Int. J. Rock Mech. Min. 2009, 46, 1214–1222. [Google Scholar] [CrossRef]
- Liu, S.; Li, X.; Wang, D.; Zhang, D. Experimental study on temperature response of different ranks of coal to liquid nitrogen soaking. Nat. Resour. Res. 2021, 32, 1467–1480. [Google Scholar] [CrossRef]
- Armaghani, D.J.; Hajihassani, M.; Mohamad, E.T.; Marto, A.; Noorani, S.A. Blasting-induced flyrock and ground vibration prediction through an expert artificial neural network based on particle swarm optimization. Arab. J. Geosci. 2014, 7, 5383–5396. [Google Scholar] [CrossRef]
- Monjezi, M.; Hasanipanah, M.; Khandelwal, M. Evaluation and prediction of blast-induced ground vibration at Shur River Dam, Iran, by artificial neural network. Neural Comput. Appl. 2013, 22, 1637–1643. [Google Scholar] [CrossRef]
- Liu, S.J.; Huang, Z.H. Feasibility study on the application of carbon dioxide phase change fracturing technology in a foundation pit of an open cut tunnel. Vibroeng. Procedia 2019, 29, 295–300. [Google Scholar] [CrossRef]
- Genet, M.; Yan, W.Y.; Tran-Cong, T. Investigation of a hydraulic impact: A technology in rock breaking. Arch. Appl. Mech. 2009, 79, 825–841. [Google Scholar] [CrossRef][Green Version]
- Zhang, Y.; Deng, J.; Ke, B.; Deng, H.; Li, J. Experimental study on explosion pressure and rock breaking characteristics under liquid carbon dioxide blasting. Adv. Civ. Eng. 2018, 4, 7840125. [Google Scholar] [CrossRef]
- Li, M.; Ni, H.; Xiao, C.; Wang, R. Influences of supercritical carbon dioxide jets on damage mechanisms of rock. Arab. J. Sci. Eng. 2018, 43, 2641–2658. [Google Scholar] [CrossRef]
- Gao, F.; Tang, L.; Zhou, K.; Zhang, Y.; Ke, B. Mechanism analysis of liquid carbon dioxide phase transition for fracturing rock masses. Energies 2018, 11, 2909. [Google Scholar] [CrossRef]
- Hu, S.; Pang, S.; Yan, Z. A new dynamic fracturing method: Deflagration fracturing technology with carbon dioxide. Int. J. Fract. 2019, 220, 99–111. [Google Scholar] [CrossRef]
- Yan, Z.; Hu, S.B.; Bian, Y.; Pang, S.; Wang, Q. Experimental study on the mass ratio of dry ice power pneumatic fracturing concrete. Eng. Blasting 2019, 5, 14–18. [Google Scholar]
- Khandelwal, M.; Singh, T.N. Prediction of blast induced ground vibrations and frequency in opencast mine: A neural network approach. J. Sound Vib. 2006, 289, 711–725. [Google Scholar] [CrossRef]
- Wang, Z.W.; Li, X.B.; Peng, K.; Xie, J.F. Impact of blasting parameters on vibration signal spectrum: Determination and statistical evidence. Tunn. Undergr. Space Technol. 2015, 48, 94–100. [Google Scholar] [CrossRef]
- Nateghi, R.; Goshtasbi, K.; Nejati, H.R. Prediction of shear strain induced by blasting waves in surface structures based on coupled frequency, velocity, and displacement effects. J. Vib. Control 2020, 27, 971–984. [Google Scholar] [CrossRef]
- Grigoryan, A.M.; Jenkinson, J.; Agaian, S.S. Quaternion Fourier transform based alpha-rooting method for color image measurement and enhancement. Signal Process. 2015, 109, 269–289. [Google Scholar] [CrossRef]
- Kim, H.S.; Park, H.W. Wavelet-based moving-picture coding using shift-invariant motion estimation in wavelet domain. Signal Process. 2001, 16, 669–679. [Google Scholar] [CrossRef]
- Das, S.; Gupta, V.K. A wavelet-based parametric characterization of temporal features of earthquake accelerograms. Eng. Struct. 2011, 33, 2173–2185. [Google Scholar] [CrossRef]
- Majak, J.; Shvartsman, B.S.; Kirs, M.; Pohlak, M.; Herranen, H. Convergence theorem for the Haar wavelet based discretization method. Compos. Struct. 2015, 126, 227–232. [Google Scholar] [CrossRef]
- Li, N.; Li, B.; Chen, D.; Wang, E.; Tan, Y.; Qian, J.; Jia, H. Waveform characteristics of earthquakes induced by hydraulic fracturing and mining activities: Comparison with those of natural earthquakes. Nat. Resour. Res. 2020, 29, 3653–3674. [Google Scholar] [CrossRef]
- Choi, H.I.; Williams, W.J. Improved time-frequency representation of multicomponent signals using exponential kernels. IEEE Trans. Acoust. Speech Signal Process. 1989, 37, 862–871. [Google Scholar] [CrossRef]
- Li, N.; Li, B.; Chen, D.; Wang, E.; Tan, Y.; Qian, J.; Jia, H. Discrimination of different blasting and mine microseismic waveforms using FFT, SPWVD and multifractal method. Environ. Earth Sci. 2021, 80, 36. [Google Scholar] [CrossRef]
- Huang, N.E.; Shen, Z.; Long, S.R.; Wu, M.C.; Shih, H.H.; Zheng, Q.; Yen, N.C.; Tung, C.C.; Liu, H.H. The empirical mode decomposition method and the Hilbert spectrum for non-stationary time series analysis 1998. Proc. R. Soc. Lond. Ser. A 1971, 458, 903–905. [Google Scholar] [CrossRef]
- Huang, N.E.; Shen, Z.; Long, S.R. A new view of nonlinear water waves: The Hilbert spectrum. Annu. Rev. Fluid Mech. 1999, 31, 417–457. [Google Scholar] [CrossRef]
- Li, X.; Li, Z.; Wang, E.; Feng, J.; Kong, X.; Chen, L.; Li, B.; Li, N. Analysis of natural mineral earthquake and blast based on Hilbert-Huang transform (HHT). J. Appl. Geophys. 2016, 128, 79–86. [Google Scholar] [CrossRef]
- Ling, T.H.; Li, X.B.; Dai, T.G.; Peng, Z.B. Features of energy distribution for blast vibration signals based on wavelet packet decomposition. J. Cent. South Univ. Technol. 2005, 12, 135–140. [Google Scholar] [CrossRef]
- Zhong, G.S.; Ao, L.P.; Zhao, K. Influence of explosion parameters on wavelet packet frequency band energy distribution of blast vibration. J. Cent. South Univ. 2012, 19, 2674–2680. [Google Scholar] [CrossRef]
- Huang, D.; Cui, S.; Li, X. Wavelet packet analysis of blasting vibration signal of mountain tunnel. Soil Dyn. Earthq. Eng. 2019, 117, 72–80. [Google Scholar] [CrossRef]
- Chen, G.; Li, Q.Y.; Li, D.Q.; Wu, Z.Y.; Liu, Y. Main frequency band of blast vibration signal based on wavelet packet transform. Appl. Math. Model. 2019, 74, 569–585. [Google Scholar] [CrossRef]
- Li, X.; Wang, E.; Li, Z.; Bie, X.; Chen, L.; Feng, J.; Li, N. Blasting wave pattern recognition based on Hilbert-Huang transform. Geomech. Eng. 2016, 11, 607–624. [Google Scholar] [CrossRef]
- Li, X.L.; Chen, S.J.; Liu, S.M.; Li, Z.H. AE waveform characteristics of rock mass under uniaxial loading based on Hilbert-Huang transform. J. Cent. South Univ. 2021, 28, 1843–1856. [Google Scholar] [CrossRef]
- Li, L.; Wang, F.; Shang, F.; Jia, Y.; Zhao, C.; Kong, D. Energy spectrum analysis of blast waves based on an improved Hilbert-Huang transform. Shock Waves 2016, 27, 487–494. [Google Scholar] [CrossRef]
- Yuan, H.; Liu, X.; Liu, Y.; Bian, H.; Chen, W.; Wang, Y. Analysis of acoustic wave frequency spectrum characters of rock mass under blasting damage based on the HHT method. Adv. Civ. Eng. 2018, 2018, 9207476. [Google Scholar] [CrossRef]
- Chen, L.; Chen, J.; Luo, Y.; Guo, Y.; Mu, Y.; Zhong, D.; Liu, W.; Yang, T.; Chen, W. Propagation laws of blasting seismic waves in weak rock mass: A case study of Muzhailing tunnel. Adv. Civ. Eng. 2020, 2020, 8818442. [Google Scholar] [CrossRef]
- Zhao, Y.; Shan, R.L.; Wang, H.L. Research on vibration effect of tunnel blasting based on an improved Hilbert-Huang transform. Environ. Earth Sci. 2021, 80, 206. [Google Scholar] [CrossRef]
- Yu, C.; Yue, H.; Li, H.; Xia, X.; Liu, B. Scale model test study of influence of joints on blasting vibration attenuation. Bull. Eng. Geol. Environ. 2020, 80, 533–550. [Google Scholar] [CrossRef]
- Chen, G.; Li, Q.Y.; Liu, X.X.; Wu, Z.Y.; Ma, J. Research on energy distribution characters about liquid CO2 phase-transition broken rock vibration signal. Blasting 2018, 35, 155–163. [Google Scholar]
- Liu, X.X.; Li, Q.Y.; Feng, G.W.; Chen, G.; Xie, X. Vibrational energy distribution of rock broken by phase transition of liquid carbon dioxide. Min. Metall. Eng. 2018, 38, 5–10. [Google Scholar]
- Li, Q.Y.; Chen, G.; Luo, D.Y.; Ma, H.P.; Liu, Y. An experimental study of a novel liquid carbon dioxide rock-breaking technology. Int. J. Rock Mech. Min. 2020, 128, 104244. [Google Scholar] [CrossRef]
- Ayenu-Prah, A.; Attoh-Okine, N. A criterion for selecting relevant intrinsic mode functions in empirical mode decomposition. Adv. Adapt. Data Anal. 2010, 2, 1–24. [Google Scholar] [CrossRef]
- Tao, M.; Zhao, H.T.; Li, X.B.; Ma, A. Comprehensive comparative analysis of liquid CO2 phase change fracturing and explosive rock fracturing. Blasting 2018, 35, 41–49. [Google Scholar]













| Protective Structure | Permitted PPV (cm/s) | |
|---|---|---|
| f ≤ 10 Hz | 10 Hz < f ≤ 50 Hz | |
| Cave dwellings, adobe houses, freestone houses | 0.15–0.45 | 0.45–0.9 |
| Civil buildings | 1.5–2.0 | 2.0–2.5 |
| Industrial and commercial buildings | 2.5–3.5 | 3.5–4.5 |
| Ancient buildings | 0.1–0.2 | 0.2–0.3 |
| Hydraulic tunnel | 7–8 | 8–10 |
| Traffic tunnel | 10–12 | 12–15 |
Publisher’s Note: MDPI stays neutral with regard to jurisdictional claims in published maps and institutional affiliations. |
© 2022 by the authors. Licensee MDPI, Basel, Switzerland. This article is an open access article distributed under the terms and conditions of the Creative Commons Attribution (CC BY) license (https://creativecommons.org/licenses/by/4.0/).
Share and Cite
Li, B.; Wang, E.; Hu, S.; Muhammad, A. Evaluation of Vibration Effect Caused by Carbon Dioxide Phase-Transition Fracturing Based on the Hilbert–Huang Transform. Minerals 2022, 12, 242. https://doi.org/10.3390/min12020242
Li B, Wang E, Hu S, Muhammad A. Evaluation of Vibration Effect Caused by Carbon Dioxide Phase-Transition Fracturing Based on the Hilbert–Huang Transform. Minerals. 2022; 12(2):242. https://doi.org/10.3390/min12020242
Chicago/Turabian StyleLi, Baolin, Enyuan Wang, Shaobin Hu, and Ali Muhammad. 2022. "Evaluation of Vibration Effect Caused by Carbon Dioxide Phase-Transition Fracturing Based on the Hilbert–Huang Transform" Minerals 12, no. 2: 242. https://doi.org/10.3390/min12020242
APA StyleLi, B., Wang, E., Hu, S., & Muhammad, A. (2022). Evaluation of Vibration Effect Caused by Carbon Dioxide Phase-Transition Fracturing Based on the Hilbert–Huang Transform. Minerals, 12(2), 242. https://doi.org/10.3390/min12020242
