Calibrating Carbonization Temperatures of Wood Fragments Embedded within Pyroclastic Density Currents through Raman Spectroscopy
Abstract
1. Introduction
2. Geological Setting and Materials
3. Methods
3.1. Charcoal Reflectance and Correlation against Temperature
3.2. Raman Spectroscopy
3.3. Regression Analysis
4. Results
4.1. Charcoal Reflectance
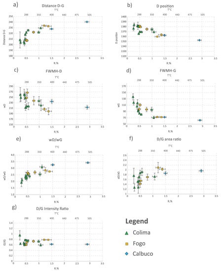
4.2. Micro-Raman Spectroscopy
5. Discussions
5.1. Raman Evolution of Charcoal in the Interaction with PDCs
5.2. Calibration of an Empirical Model for the Estimation of Charring Temperature through Multivariate Polynomial Regression and Limit of the Method
5.3. Raman Spectroscopy for Volcanological Studies
6. Conclusions
Supplementary Materials
Author Contributions
Funding
Data Availability Statement
Acknowledgments
Conflicts of Interest
References
- Charbonnier, S.J.; Gertisser, R. Field observations and surface characteristics of pristine block-and-ash flow deposits from the 2006 eruption of Merapi Volcano, Java, Indonesia. J. Volcanol. Geotherm. Res. 2008, 177, 971–982. [Google Scholar] [CrossRef]
- Lube, G.; Cronin, S.J.; Thouret, J.-C. Kinematic characteristics of pyroclastic density currents at Merapi and controls on their avulsion from natural and engineered channels. Bulletin 2011, 123, 1127–1140. [Google Scholar] [CrossRef]
- Trolese, M.; Giordano, G.; Komorowski, J.C.; Jenkins, S.F.; Baxter, P.J.; Cholik, N.; Raditya, P.; Corrado, S. Very rapid cooling of the energetic pyroclastic density currents associated with the 5 November 2010 Merapi eruption (Indonesia). J. Volcanol. Geotherm. Res. 2018, 358, 1–12. [Google Scholar] [CrossRef]
- Capra, L.; Macías, J.L.; Cortés, A.; Dávila, N.; Saucedo, R.; Osorio-Ocampo, S.; Arce, J.L.; Gavilanes-Ruiz, J.C.; Corona-Chávez, P.; García-Sánchez, L. Preliminary report on the July 10–11, 2015 eruption at Volcán de Colima: Pyroclastic density currents with exceptional runouts and volume. J. Volcanol. Geotherm. Res. 2016, 310, 39–49. [Google Scholar] [CrossRef]
- Reyes-Dávila, G.A.; Arámbula-Mendoza, R.; Espinasa-Pereña, R.; Pankhurst, M.J.; Navarro-Ochoa, C.; Savov, I.; Vargas-Bracamontes, D.M.; Cortés-Cortés, A.; Gutiérrez-Martínez, C.; Valdés-González, C. Volcán de Colima dome collapse of July, 2015 and associated pyroclastic density currents. J. Volcanol. Geotherm. Res. 2016, 320, 100–106. [Google Scholar] [CrossRef]
- Pensa, A.; Capra, L.; Giordano, G.; Corrado, S. Emplacement temperature estimation of the 2015 dome collapse of Volcán de Colima as key proxy for flow dynamics of confined and unconfined pyroclastic density currents. J. Volcanol. Geotherm. Res. 2018, 357, 321–338. [Google Scholar] [CrossRef]
- Pensa, A.; Capra, L.; Giordano, G. Ash clouds temperature estimation. Implication on dilute and concentrated PDCs coupling and topography confinement. Sci. Rep. 2019, 9, 1–14. [Google Scholar] [CrossRef]
- Romero, J.E.; Morgavi, D.; Arzilli, F.; Daga, R.; Caselli, A.; Reckziegel, F.; Viramonte, J.; Díaz-Alvarado, J.; Polacci, M.; Burton, M. Eruption dynamics of the 22–23 April 2015 Calbuco Volcano (Southern Chile): Analyses of tephra fall deposits. J. Volcanol. Geotherm. Res. 2016, 317, 15–29. [Google Scholar] [CrossRef]
- Arzilli, F.; Morgavi, D.; Petrelli, M.; Polacci, M.; Burton, M.; Di Genova, D.; Spina, L.; La Spina, G.; Hartley, M.E.; Romero, J.E. The unexpected explosive sub-Plinian eruption of Calbuco volcano (22–23 April 2015; southern Chile): Triggering mechanism implications. J. Volcanol. Geotherm. Res. 2019, 378, 35–50. [Google Scholar] [CrossRef]
- Andrews, B.J. Dispersal and air entrainment in unconfined dilute pyroclastic density currents. Bull. Volcanol. 2014, 76, 852. [Google Scholar] [CrossRef]
- Lesti, C.; Porreca, M.; Giordano, G.; Mattei, M.; Cas, R.A.F.; Wright, H.M.N.; Folkes, C.B.; Viramonte, J. High-temperature emplacement of the Cerro Galán and Toconquis Group ignimbrites (Puna plateau, NW Argentina) determined by TRM analyses. Bull. Volcanol. 2011, 73, 1535–1565. [Google Scholar] [CrossRef]
- Ogburn, S.E.; Calder, E.S.; Cole, P.D.; Stinton, A.J. The effect of topography on ash-cloud surge generation and propagation. Geol. Soc. Lond. Mem. 2014, 39, 179–194. [Google Scholar] [CrossRef]
- Trolese, M.; Giordano, G.; Cifelli, F.; Winkler, A.; Mattei, M. Forced transport of thermal energy in magmatic and phreatomagmatic large volume ignimbrites: Paleomagnetic evidence from the Colli Albani volcano, Italy. Earth Planet. Sci. Lett. 2017, 478, 179–191. [Google Scholar] [CrossRef]
- Giordano, G.; Zanella, E.; Trolese, M.; Baffioni, C.; Vona, A.; Caricchi, C.; De Benedetti, A.A.; Corrado, S.; Romano, C.; Sulpizio, R. Thermal interactions of the AD79 Vesuvius pyroclastic density currents and their deposits at Villa dei Papiri (Herculaneum archaeological site, Italy). Earth Planet. Sci. Lett. 2018, 490, 180–192. [Google Scholar] [CrossRef]
- Hoblitt, R.P.; Kellogg, K.S. Emplacement temperatures of unsorted and unstratified deposits of volcanic rock debris as determined by paleomagnetic techniques. Geol. Soc. Am. Bull. 1979, 90, 633–642. [Google Scholar] [CrossRef]
- McClelland, E.A.; Druitt, T.H. Palaeomagnetic estimates of emplacement temperatures of pyroclastic deposits on Santorini, Greece. Bull. Volcanol. 1989, 51, 16–27. [Google Scholar] [CrossRef]
- Cioni, R.; Gurioli, L.; Lanza, R.; Zanella, E. Temperatures of the AD 79 pyroclastic density current deposits (Vesuvius, Italy). J. Geophys. Res. Solid Earth 2004, 109. [Google Scholar] [CrossRef]
- Porreca, M.; Mattei, M.; MacNiocaill, C.; Giordano, G.; McClelland, E.; Funiciello, R. Paleomagnetic evidence for low-temperature emplacement of the phreatomagmatic Peperino Albano ignimbrite (Colli Albani volcano, Central Italy). Bull. Volcanol. 2008, 70, 877–893. [Google Scholar] [CrossRef]
- Scott, A.C.; Glasspool, I.J. Charcoal reflectance as a proxy for the emplacement temperature of pyroclastic flow deposits. Geology 2005, 33, 589–592. [Google Scholar] [CrossRef]
- Caricchi, C.; Vona, A.; Corrado, S.; Giordano, G.; Romano, C. 79 AD Vesuvius PDC deposits’ temperatures inferred from optical analysis on woods charred in-situ in the Villa dei Papiri at Herculaneum (Italy). J. Volcanol. Geotherm. Res. 2014, 289, 14–25. [Google Scholar] [CrossRef]
- Pensa, A.; Porreca, M.; Corrado, S.; Giordano, G.; Cas, R. Calibrating the pTRM and charcoal reflectance (Ro%) methods to determine the emplacement temperature of ignimbrites: Fogo A sequence, São Miguel, Azores, Portugal, as a case study. Bull. Volcanol. 2015, 77. [Google Scholar] [CrossRef]
- Wiedemeier, D.B.; Abiven, S.; Hockaday, W.C.; Keiluweit, M.; Kleber, M.; Masiello, C.A.; McBeath, A.V.; Nico, P.S.; Pyle, L.A.; Schneider, M.P.W.; et al. Aromaticity and degree of aromatic condensation of char. Org. Geochem. 2015, 78, 135–143. [Google Scholar] [CrossRef]
- Ascough, P.L.; Bird, M.I.; Scott, A.C.; Collinson, M.E.; Cohen-Ofri, I.; Snape, C.E.; Le Manquais, K. Charcoal reflectance measurements: Implications for structural characterization and assessment of diagenetic alteration. J. Archaeol. Sci. 2010, 37, 1590–1599. [Google Scholar] [CrossRef]
- McParland, L.C.; Collinson, M.E.; Scott, A.C.; Campbell, G. The use of reflectance values for the interpretation of natural and anthropogenic charcoal assemblages. Archaeol. Anthropol. Sci. 2009, 1, 249–261. [Google Scholar] [CrossRef][Green Version]
- Hudspith, V.A.; Hadden, R.M.; Bartlett, A.I.; Belcher, C.M. Does fuel type influence the amount of charcoal produced in wildfires? Implications for the fossil record. Palaeontology 2018, 61, 159–171. [Google Scholar] [CrossRef]
- Beyssac, O.; Goffé, B. Raman spectra of carbonaceous material in metasediments: A new geothermometer. J. Metamorph. Geol. 2002, 859–871. [Google Scholar] [CrossRef]
- Lahfid, a.; Beyssac, O.; Deville, E.; Negro, F.; Chopin, C.; Goffé, B. Evolution of the Raman spectrum of carbonaceous material in low-grade metasediments of the Glarus Alps (Switzerland). Terra Nov. 2010, 22, 354–360. [Google Scholar] [CrossRef]
- Lünsdorf, N.K.; Dunkl, I.; Schmidt, B.C.; Rantitsch, G.; von Eynatten, H. Towards a Higher Comparability of Geothermometric Data Obtained by Raman Spectroscopy of Carbonaceous Material. Part 2: A Revised Geothermometer. Geostand. Geoanal. Res. 2017, 41, 593–612. [Google Scholar] [CrossRef]
- Guedes, A.; Valentim, B.; Prieto, A.C.; Rodrigues, S.; Noronha, F. Micro-Raman spectroscopy of collotelinite, fusinite and macrinite. Int. J. Coal Geol. 2010, 83, 415–422. [Google Scholar] [CrossRef]
- Wilkins, R.W.T.; Boudou, R.; Sherwood, N.; Xiao, X. International Journal of Coal Geology Thermal maturity evaluation from inertinites by Raman spectroscopy: The ‘ RaMM ’ technique. Int. J. Coal Geol. 2014, 128–129, 143–152. [Google Scholar] [CrossRef]
- Schito, A.; Romano, C.; Corrado, S.; Grigo, D.; Poe, B. Diagenetic thermal evolution of organic matter by Raman spectroscopy. Org. Geochem. 2017, 106. [Google Scholar] [CrossRef]
- Corrado, S.; Schito, A.; Romano, C.; Grigo, D.; Poe, B.T.; Aldega, L.; Caricchi, C.; Di Paolo, L.; Zattin, M. An integrated platform for thermal maturity assessment of polyphase, long-lasting sedimentary basins, from classical to brand-new thermal parameters and models: An example from the on-shore Baltic Basin (Poland). Mar. Pet. Geol. 2020, 122, 104547. [Google Scholar] [CrossRef]
- Schito, A.; Corrado, S. An automatic approach for characterization of the thermal maturity of dispersed organic matter Raman spectra at low diagenetic stages. Geol. Soc. Lond. Spec. Publ. 2020, 484, 107–119. [Google Scholar] [CrossRef]
- Henry, D.G.; Jarvis, I.; Gillmore, G.; Stephenson, M. Raman spectroscopy as a tool to determine the thermal maturity of organic matter: Application to sedimentary, metamorphic and structural geology. Earth-Sci. Rev. 2019, 198, 102936. [Google Scholar] [CrossRef]
- Muirhead, D.K.; Bond, C.E.; Watkins, H.; Butler, R.W.H.; Schito, A.; Crawford, Z.; Marpino, A. Raman Spectroscopy: An Effective Thermal Marker in Low Temperature Carbonaceous Fold-Thrust Belts; Special Publications: London, UK, 2020; Volume 490. [Google Scholar]
- Nirrengarten, M.; Mohn, G.; Schito, A.; Corrado, S.; Gutiérrez-García, L.; Bowden, S.A.; Despinois, F. The thermal imprint of continental breakup during the formation of the South China Sea. Earth Planet. Sci. Lett. 2020, 531. [Google Scholar] [CrossRef]
- Corrado, S.; Gusmeo, T.; Schito, A.; Alania, V.; Enukidze, O.; Conventi, E.; Cavazza, W. Validating far-field deformation styles from the Adjara-Trialeti fold-and-thrust belt to the Greater Caucasus (Georgia) through multi-proxy thermal maturity datasets. Mar. Pet. Geol. 2021, 130, 105141. [Google Scholar] [CrossRef]
- Muirhead, D.K.; Kedar, L.; Schito, A.; Corrado, S.; Bond, C.E.; Romano, C. Raman spectral shifts in naturally faulted rocks. Geochem. Geophys. Geosyst. 2021, 22, e2021GC009923. [Google Scholar] [CrossRef]
- Schito, A.; Guedes, A.; Valentim, B.; Vergara Sassarini, A.; Corrado, S. A Predictive Model for Maceral Discrimination by Means of Raman Spectra on Dispersed Organic Matter: A Case Study from the Carpathian Fold-and-Thrust Belt (Ukraine). Geosciences 2021, 11, 213. [Google Scholar] [CrossRef]
- Spina, A.; Cirilli, S.; Sorci, A.; Schito, A.; Clayton, G.; Corrado, S.; Fernandes, P.; Galasso, F.; Montesi, G.; Pereira, Z. Assessing Thermal Maturity through a Multi-Proxy Approach: A Case Study from the Permian Faraghan Formation (Zagros Basin, Southwest Iran). Geosciences 2021, 11, 484. [Google Scholar] [CrossRef]
- Yamauchi, S.; Kurimoto, Y. Raman spectroscopic study on pyrolyzed wood and bark of Japanese cedar: Temperature dependence of Raman parameters. J. Wood Sci. 2003, 49, 235–240. [Google Scholar] [CrossRef]
- Deldicque, D.; Rouzaud, J.N.; Velde, B. A Raman-HRTEM study of the carbonization of wood: A new Raman-based paleothermometer dedicated to archaeometry. Carbon N. Y. 2016, 102, 319–329. [Google Scholar] [CrossRef]
- Surup, G.R.; Nielsen, H.K.; Heidelmann, M.; Trubetskaya, A. Characterization and reactivity of charcoal from high temperature pyrolysis (800–1600 °C). Fuel 2019, 235, 1544–1554. [Google Scholar] [CrossRef]
- Theurer, T.; Muirhead, D.K.; Jolley, D.; Mauquoy, D. The applicability of Raman spectroscopy in the assessment of palaeowildfire intensity. Palaeogeogr. Palaeoclimatol. Palaeoecol. 2021, 570, 110363. [Google Scholar] [CrossRef]
- Pensa, A.; Giordano, G.; Cas, R.A.F.; Porreca, M. Thermal state and implications for eruptive styles of the intra-Plinian and climactic ignimbrites of the 4.6 ka Fogo A eruption sequence, São Miguel, Azores. Bull. Volcanol. 2015, 77, 99. [Google Scholar] [CrossRef]
- Saucedo, R.; Macías, J.L.; Bursik, M. Pyroclastic flow deposits of the 1991 eruption of Volcán de Colima, Mexico. Bull. Volcanol. 2004, 66, 291–306. [Google Scholar] [CrossRef]
- Macias, J.L.; Saucedo, R.; Gavilanes, J.C.; Varley, N.; Velasco-Garcia, S.; Bursik, M.; Vargas-Gutierrez, V.; Cortes, A. Flujos piroclásticos asociados a la actividad explosiva del Volcán de Colima y perspectivas futuras. GEOS 2006, 25, 340–351. [Google Scholar]
- Sulpizio, R.; Capra, L.; Sarocchi, D.; Saucedo, R.; Gavilanes-Ruiz, J.C.; Varley, N.R. Predicting the block-and-ash flow inundation areas at Volcán de Colima (Colima, Mexico) based on the present day (February 2010) status. J. Volcanol. Geotherm. Res. 2010, 193, 49–66. [Google Scholar] [CrossRef]
- Saucedo, R.; Macías, J.L.; Sheridan, M.F.; Bursik, M.I.; Komorowski, J.-C. Modeling of pyroclastic flows of Colima Volcano, Mexico: Implications for hazard assessment. J. Volcanol. Geotherm. Res. 2005, 139, 103–115. [Google Scholar] [CrossRef]
- Macorps, E.; Charbonnier, S.J.; Varley, N.R.; Capra, L.; Atlas, Z.; Cabré, J. Stratigraphy, sedimentology and inferred flow dynamics from the July 2015 block-and-ash flow deposits at Volcán de Colima, Mexico. J. Volcanol. Geotherm. Res. 2018, 349, 99–116. [Google Scholar] [CrossRef]
- Walker, G.P.L.; Croasdale, R. Two Plinian-type eruptions in the Azores. J. Geol. Soc. Lond. 1971, 127, 17–55. [Google Scholar] [CrossRef]
- Wallenstein, N.; Duncan, A.; Guest, J.E.; Almeida, M.H. Eruptive history of Fogo Volcano, São Miguel, Azores. Geol. Soc. Lond. Mem. 2015, 44, 105–123. [Google Scholar] [CrossRef]
- Medeiros, J.; Carmo, R.; Pimentel, A.; Vieira, J.C.; Queiroz, G. Assessing the impact of explosive eruptions of Fogo volcano (São Miguel, Azores) on the tourism economy. Nat. Hazards Earth Syst. Sci. 2021, 21, 417–437. [Google Scholar] [CrossRef]
- López-Escobar, L.; Parada, M.A.; Hickey-Vargas, R.; Frey, F.A.; Kempton, P.D.; Moreno, H. Calbuco Volcano and minor eruptive centers distributed along the Liquiñe-Ofqui Fault Zone, Chile (41–42 S): Contrasting origin of andesitic and basaltic magma in the Southern Volcanic Zone of the Andes. Contrib. Miner. Petrol. 1995, 119, 345–361. [Google Scholar] [CrossRef]
- Castruccio, A.; Clavero, J.; Segura, A.; Samaniego, P.; Roche, O.; Le Pennec, J.-L.; Droguett, B. Eruptive parameters and dynamics of the April 2015 sub-Plinian eruptions of Calbuco volcano (southern Chile). Bull. Volcanol. 2016, 78, 1–19. [Google Scholar] [CrossRef]
- Van Eaton, A.R.; Amigo, Á.; Bertin, D.; Mastin, L.G.; Giacosa, R.E.; González, J.; Valderrama, O.; Fontijn, K.; Behnke, S.A. Volcanic lightning and plume behavior reveal evolving hazards during the April 2015 eruption of Calbuco volcano, Chile. Geophys. Res. Lett. 2016, 43, 3563–3571. [Google Scholar] [CrossRef]
- Hudspith, V.A.; Belcher, C.M.; Kelly, R.; Hu, F.S. Charcoal reflectance reveals early Holocene boreal deciduous forests burned at high intensities. PLoS ONE 2015, 10. [Google Scholar] [CrossRef]
- Scott, A.C.; Glasspool, I.J. Observations and experiments on the origin and formation of inertinite group macerals. Int. J. Coal Geol. 2007, 70, 53–66. [Google Scholar] [CrossRef]
- Lünsdorf, N.K. Raman spectroscopy of dispersed vitrinite-Methodical aspects and correlation with reflectance. Int. J. Coal Geol. 2016, 153, 75–86. [Google Scholar] [CrossRef]
- O’Haver, T. A Pragmatic Introduction to Signal Processing with Applications in Scientific Measurement: An Inllustruated Essay with Free Software to Download; University of Maryland: College Park, MD, USA, 2016; ISBN 9781533372857. [Google Scholar]
- Beyssac, O.; Goffé, B.; Petitet, J.-P.; Froigneux, E.; Moreau, M.; Rouzaud, J.-N. On the characterization of disordered and heterogeneous carbonaceous materials by Raman spectroscopy. Spectrochim. Acta Part A Mol. Biomol. Spectrosc. 2003, 59, 2267–2276. [Google Scholar] [CrossRef]
- Muirhead, D.K.; Parnell, J.; Spinks, S.; Bowden, S.A. Characterization of organic matter in the Torridonian using Raman spectroscopy. Geol. Soc. Lond. Spec. Publ. 2017, 448, 71–80. [Google Scholar] [CrossRef]
- Beyssac, O.; Pattison, D.R.M.; Bourdelle, F. Contrasting degrees of recrystallization of carbonaceous material in the Nelson aureole, British Columbia and Ballachulish aureole, Scotland, with implications for thermometry based on Raman spectroscopy of carbonaceous material. J. Metamorph. Geol. 2019, 37, 71–95. [Google Scholar] [CrossRef]
- Schmidt, J.S.; Hinrichs, R.; Araujo, C.V. Maturity estimation of phytoclasts in strew mounts by micro-Raman spectroscopy. Int. J. Coal Geol. 2017, 173, 1–8. [Google Scholar] [CrossRef]
- Blanchette, R.A. A review of microbial deterioration found in archaeological wood from different environments. Int. Biodeterior. Biodegrad. 2000, 46, 189–204. [Google Scholar] [CrossRef]
- Sweeney, J.J.; Burnham, A.K. Evaluation of a simple model of vitrinite reflectance based on chemical kinetics. Am. Assoc. Pet. Geol. Bull. 1990, 74, 1559–1570. [Google Scholar] [CrossRef]
- Burnham, A.K. Organic Geochemistry Kinetic models of vitrinite, kerogen, and bitumen reflectance. Org. Geochem. 2019, 131, 50–59. [Google Scholar] [CrossRef]
- Nielsen, S.B.; Clausen, O.R.; McGregor, E. Basin% Ro: A vitrinite reflectance model derived from basin and laboratory data. Basin Res. 2017, 29, 515–536. [Google Scholar] [CrossRef]
- Kilzer, F.J.; Broido, A. Speculations on the nature of cellulose pyrolysis. Pyrodynamics 1965, 2, 151–163. [Google Scholar]
- Rowell, R. The Chemistry of Solid Wood; American Chemical Society: Washington, DC, USA, 1984. [Google Scholar]
- Ascough, P.L.; Bird, M.I.; Wormald, P.; Snape, C.E.; Apperley, D. Influence of production variables and starting material on charcoal stable isotopic and molecular characteristics. Geochim. Cosmochim. Acta 2008, 72, 6090–6102. [Google Scholar] [CrossRef]
- McBeath, A.V.; Smernik, R.J.; Schneider, M.P.W.; Schmidt, M.W.I.; Plant, E.L. Determination of the aromaticity and the degree of aromatic condensation of a thermosequence of wood charcoal using NMR. Org. Geochem. 2011, 42, 1194–1202. [Google Scholar] [CrossRef]
- Schneider, M.P.W.; Smittenberg, R.H.; Dittmar, T.; Schmidt, M.W.I. Comparison of gas with liquid chromatography for the determination of benzenepolycarboxylic acids as molecular tracers of black carbon. Org. Geochem. 2011, 42, 275–282. [Google Scholar] [CrossRef]
- Quirico, E.; Rouzaud, J.-N.; Bonal, L.; Montagnac, G. Maturation grade of coals as revealed by Raman spectroscopy: Progress and problems. Spectrochim. Acta Part A Mol. Biomol. Spectrosc. 2005, 61, 2368–2377. [Google Scholar] [CrossRef] [PubMed]
- Sadezky, a.; Muckenhuber, H.; Grothe, H.; Niessner, R.; Pöschl, U. Raman microspectroscopy of soot and related carbonaceous materials: Spectral analysis and structural information. Carbon N. Y. 2005, 43, 1731–1742. [Google Scholar] [CrossRef]
- Li, C.-Z. Some recent advances in the understanding of the pyrolysis and gasification behaviour of Victorian brown coal. Fuel 2007, 86, 1664–1683. [Google Scholar] [CrossRef]
- Rebelo, S.L.H.; Guedes, A.; Szefczyk, M.E.; Pereira, A.M.; Araújo, J.P.; Freire, C. Progress in the Raman spectra analysis of covalently functionalized multiwalled carbon nanotubes: Unraveling disorder in graphitic materials. Phys. Chem. Chem. Phys. 2016, 18, 12784–12796. [Google Scholar] [CrossRef]
- Buseck, P.R.; Beyssac, O. From organic matter to graphite: Graphitization. Elements 2014, 10, 421–426. [Google Scholar] [CrossRef]
- Henry, D.G.; Jarvis, I.; Gillmore, G.; Stephenson, M.; Emmings, J.F. Assessing low-maturity organic matter in shales using Raman spectroscopy: Effects of sample preparation and operating procedure. Int. J. Coal Geol. 2018, 191, 135–151. [Google Scholar] [CrossRef]
- Ferralis, N.; Matys, E.D.; Knoll, A.H.; Hallmann, C.; Summons, R.E. Rapid, direct and non-destructive assessment of fossil organic matter via microRaman spectroscopy. Carbon N. Y. 2016, 108, 440–449. [Google Scholar] [CrossRef]
- Lupoi, J.S.; Fritz, L.P.; Hackley, P.C.; Solotky, L.; Weislogel, A.; Schlaegle, S. Quantitative evaluation of vitrinite reflectance and atomic O/C in coal using Raman spectroscopy and multivariate analysis. Fuel 2018, 230, 1–8. [Google Scholar] [CrossRef]
- Trolese, M.; Cerminara, M.; Ongaro, T.E.; Giordano, G. The footprint of column collapse regimes on pyroclastic flow temperatures and plume heights. Nat. Commun. 2019, 10, 1–10. [Google Scholar] [CrossRef]
- Capra, L.; Gavilanes-Ruiz, J.C.; Bonasia, R.; Saucedo-Giron, R.; Sulpizio, R. Re-assessing volcanic hazard zonation of Volcán de Colima, México. Nat. Hazards 2015, 76, 41–61. [Google Scholar] [CrossRef]
- Cecen, A. Multivariate Polynomial Regression 2020. Available online: https://www.github.com/ahmetcecen/MultiPolyRegress (accessed on 28 January 2022).
- Ostertagová, E. Modelling using polynomial regression. Procedia Eng. 2012, 48, 500–506. [Google Scholar] [CrossRef]
- Rennie, J.D.M. On the value of leave-one-out cross-validation bounds. In Computers in Biology and Medicine; Elsevier: Amsterdam, The Netherlands, 2003; pp. 123–129. [Google Scholar]







| Sample | Provenance | Rc% Average | Sd | T °C [19] | ±°C | Locality | Position |
|---|---|---|---|---|---|---|---|
| COL-20-01 | Colima Volcano | 0.25 | 0.02 | 245 | 9 | Montegrande Ravine | Distal fan Ash cloud |
| COL-04-03 | Colima Volcano | 0.28 | 0.02 | 258 | 8 | Montegrande Ravine | Valley pond |
| COL-24-02 | Colima Volcano | 0.40 | 0.02 | 276 | 11 | Montegrande Ravine | Overbank |
| COL-48-01 | Colima Volcano | 0.43 | 0.02 | 279 | 13 | Montegrande Ravine | Valley pond |
| COL-08-01A | Colima Volcano | 0.45 | 0.03 | 283 | 11 | Montegrande Ravine | Valley pond |
| COL-05-02 | Colima Volcano | 0.46 | 0.03 | 284 | 13 | Montegrande Ravine | Overbank |
| COL-15-01 | Colima Volcano | 0.50 | 0.02 | 289 | 11 | Montegrande Ravine | Valley pond |
| COL-14-01 | Colima Volcano | 0.57 | 0.04 | 299 | 15 | Montegrande Ravine | overbank |
| COL-18-03 | Colima Volcano | 0.99 | 0.05 | 353 | 10 | Montegrande Ravine | overbank |
| COL-21 | Colima Volcano | 1.07 | 0.08 | 368 | 5 | Montegrande Ravine | Distal fan? |
| CH3-115-02 centre | Fogo Volcano | 0.5 | 0.05 | 289 | 8 | Dark brown ignimbrite, North flank | Valley pond |
| CH3-115-02 edge | Fogo Volcano | 0.53 | 0.05 | 293 | 4 | Dark brown ignimbrite, North flank | Valley pond |
| CH3-114-01B | Fogo Volcano | 0.85 | 0.08 | 332 | 10 | Dark brown ignimbrite, North flank | Valley pond |
| CH1-113-01 edge | Fogo Volcano | 1.21 | 0.09 | 371 | 7 | Pink Ignimbrite, South Flank | Veneer deposit |
| CH4_022-01 centre | Fogo Volcano | 1.37 | 0.12 | 388 | 11 | Pink Ignimbrite, South Flank | Valley pond |
| CAT 16A | Calbuco Volcano | 1.50 | 0.07 | 408 | 2 | Rio Blanco ravine | Valley confined |
| CAT 05A | Calbuco Volcano | 2.90 | 0.08 | 566 | 3 | Rio Blanco ravine | Valley confined |
| Site | Samples | pD | std | pG | std | ID | std | IG | std | wD | std | wG | std |
|---|---|---|---|---|---|---|---|---|---|---|---|---|---|
| Fogo volcano | CH1-113-01 edge | 1359.90 | 0.70 | 1593.80 | 0.33 | 1876.21 | 275.36 | 2383.51 | 367.88 | 206.69 | 4.62 | 72.64 | 0.65 |
| Fogo volcano | CH4-022-01 centre | 1363.40 | 2.29 | 1596.21 | 1.41 | 1427.56 | 645.06 | 1816.99 | 821.44 | 198.92 | 12.63 | 72.15 | 1.49 |
| Calbuco volcano | CAT 16A | 1362.45 | 1.79 | 1590.41 | 1.19 | 11,467.37 | 1537.63 | 18,334.30 | 2233.66 | 234.74 | 8.03 | 72.07 | 1.64 |
| Colima volcano | COL-20-01 | 1376.50 | 4.93 | 1585.00 | 9.83 | 1188.50 | 125.21 | 1286.18 | 308.27 | 259.78 | 26.34 | 136.50 | 9.86 |
| Colima volcano | COL-04-03 | 1384.06 | 3.48 | 1588.30 | 2.81 | 1827.50 | 476.37 | 2851.56 | 749.73 | 249.08 | 13.06 | 118.51 | 8.13 |
| Calbuco volcano | CAT 05A | 1352.63 | 1.15 | 1593.09 | 1.07 | 7388.50 | 1822.00 | 11,885.99 | 2874.65 | 213.38 | 7.32 | 62.33 | 1.42 |
| Colima volcano | COL-24-02 | 1381.55 | 2.45 | 1586.57 | 1.86 | 2276.13 | 1326.58 | 3367.29 | 1690.18 | 260.66 | 18.94 | 106.36 | 9.20 |
| Colima volcano | COL-48-01 | 1381.76 | 7.35 | 1584.41 | 3.68 | 1617.43 | 407.15 | 2434.78 | 607.02 | 258.20 | 10.74 | 116.76 | 10.75 |
| Colima volcano | COL-08-01A | 1380.58 | 2.70 | 1590.60 | 1.26 | 1531.93 | 205.54 | 2553.91 | 557.26 | 247.24 | 16.11 | 93.23 | 5.62 |
| Colima volcano | COL-05-02 | 1365.77 | 1.40 | 1583.69 | 0.78 | 1032.37 | 283.64 | 1630.71 | 416.14 | 212.00 | 10.63 | 91.37 | 2.21 |
| Fogo volcano | CH3-115-02 centre | 1381.31 | 1.88 | 1589.57 | 2.10 | 776.34 | 113.82 | 994.79 | 143.68 | 247.98 | 12.06 | 97.46 | 4.54 |
| Colima volcano | COL-15-01 | 1369.79 | 1.62 | 1591.52 | 0.97 | 1279.47 | 341.06 | 2125.81 | 563.90 | 217.18 | 8.81 | 84.16 | 1.45 |
| Fogo volcano | CH3-115-02 edge | 1379.27 | 1.43 | 1586.67 | 1.35 | 551.82 | 130.58 | 711.67 | 166.50 | 267.33 | 12.91 | 110.77 | 4.48 |
| Colima volcano | COL-14-01 | 1369.50 | 1.32 | 1595.32 | 0.97 | 1113.72 | 212.46 | 1596.81 | 240.77 | 217.50 | 12.92 | 80.88 | 2.13 |
| Colima volcano | COL-18-03 | 1375.04 | 2.64 | 1597.33 | 1.86 | 1238.99 | 271.31 | 1690.43 | 383.28 | 237.58 | 15.22 | 96.30 | 7.14 |
| Colima volcano | COL-21 | 1369.40 | 2.01 | 1599.05 | 1.17 | 1362.51 | 422.37 | 2233.50 | 621.63 | 221.14 | 19.84 | 71.10 | 3.95 |
| Fogo Volcano | CH3-114-01B | 1369.16 | 2.63 | 1594.76 | 1.33 | 204.81 | 106.22 | 285.87 | 143.39 | 21.96 | 18.10 | 76.65 | 2.68 |
| Site | Samples | aD | std | aG | std | ΔD–G | std | ID/IG | std | wD/wG | std | aG/aD | std |
| Fogo volcano | CH1-113-01 edge | 5.41 × 105 | 8.16 × 104 | 2.59 × 105 | 3.97 × 104 | 233.90 | 0.71 | 0.79 | 0.02 | 2.85 | 0.05 | 2.10 | 0.07 |
| Fogo volcano | CH4-022-01 centre | 4.05 × 105 | 1.89 × 105 | 1.96 × 105 | 8.87 × 104 | 232.81 | 1.40 | 0.79 | 0.01 | 2.76 | 0.15 | 2.03 | 0.11 |
| Calbuco volcano | CAT 16A | 3.70 × 106 | 5.40 × 105 | 1.98 × 106 | 2.53 × 105 | 227.95 | 0.85 | 0.62 | 0.02 | 3.26 | 0.08 | 1.87 | 0.08 |
| Colima volcano | COL-20-01 | 4.10 × 105 | 5.42 × 104 | 2.45 × 105 | 6.22 × 104 | 208.50 | 14.20 | 0.95 | 0.17 | 1.92 | 0.31 | 1.76 | 0.52 |
| Colima volcano | COL-04-03 | 6.21 × 105 | 1.72 × 105 | 4.93 × 105 | 1.44 × 105 | 204.24 | 2.81 | 0.64 | 0.03 | 2.11 | 0.15 | 1.27 | 0.12 |
| Calbuco volcano | CAT 05A | 2.20 × 106 | 5.62 × 105 | 1.12 × 106 | 2.79 × 105 | 240.46 | 0.42 | 0.62 | 0.02 | 3.42 | 0.06 | 1.96 | 0.07 |
| Colima volcano | COL-24-02 | 7.84 × 105 | 4.94 × 105 | 5.32 × 105 | 2.87 × 105 | 205.03 | 3.23 | 0.67 | 0.05 | 2.32 | 0.17 | 1.51 | 0.17 |
| Colima volcano | COL-48-01 | 5.71 × 105 | 1.55 × 105 | 3.78 × 105 | 1.01 × 105 | 202.64 | 4.52 | 0.61 | 0.06 | 2.46 | 0.24 | 1.28 | 0.22 |
| Colima volcano | COL-08-01A | 5.33 × 105 | 6.34 × 104 | 4.39 × 105 | 1.32 × 105 | 210.02 | 3.45 | 0.63 | 0.04 | 2.23 | 0.18 | 1.54 | 0.14 |
| Colima volcano | COL-05-02 | 3.51 × 105 | 1.06 × 105 | 2.25 × 105 | 6.08 × 104 | 217.93 | 1.36 | 0.78 | 0.02 | 2.32 | 0.08 | 1.71 | 0.12 |
| Fogo volcano | CH3-115-02 centre | 2.29 × 105 | 3.75 × 104 | 1.34 × 105 | 1.81 × 104 | 208.27 | 2.73 | 0.60 | 0.03 | 2.66 | 0.12 | 1.42 | 0.10 |
| Colima volcano | COL-15-01 | 4.34 × 105 | 1.23 × 105 | 3.06 × 105 | 8.68 × 104 | 221.73 | 1.81 | 0.78 | 0.02 | 2.55 | 0.12 | 1.87 | 0.11 |
| Fogo volcano | CH3-115-02 edge | 1.67 × 105 | 4.27 × 104 | 8.87 × 104 | 2.08 × 104 | 207.39 | 1.81 | 0.69 | 0.04 | 2.58 | 0.13 | 1.55 | 0.12 |
| Colima volcano | COL-14-01 | 4.01 × 105 | 8.45 × 104 | 2.58 × 105 | 4.52 × 104 | 225.83 | 1.32 | 0.76 | 0.03 | 2.42 | 0.15 | 1.92 | 0.15 |
| Colima volcano | COL-18-03 | 4.05 × 105 | 9.84 × 104 | 2.41 × 105 | 6.85 × 104 | 222.30 | 1.95 | 0.73 | 0.04 | 2.48 | 0.21 | 1.70 | 0.22 |
| Colima volcano | COL-21 | 4.24 × 105 | 1.44 × 105 | 2.40 × 105 | 7.16 × 104 | 229.65 | 1.42 | 0.60 | 0.05 | 3.11 | 0.14 | 1.73 | 0.18 |
| Fogo Volcano | CH3-114-01B | 6.07 × 104 | 3.25 × 104 | 3.26 × 104 | 1.65 × 104 | 225.60 | 3.34 | 0.71 | 0.04 | 2.76 | 0.20 | 1.83 | 0.19 |
Publisher’s Note: MDPI stays neutral with regard to jurisdictional claims in published maps and institutional affiliations. |
© 2022 by the authors. Licensee MDPI, Basel, Switzerland. This article is an open access article distributed under the terms and conditions of the Creative Commons Attribution (CC BY) license (https://creativecommons.org/licenses/by/4.0/).
Share and Cite
Schito, A.; Pensa, A.; Romano, C.; Corrado, S.; Vona, A.; Trolese, M.; Morgavi, D.; Giordano, G. Calibrating Carbonization Temperatures of Wood Fragments Embedded within Pyroclastic Density Currents through Raman Spectroscopy. Minerals 2022, 12, 203. https://doi.org/10.3390/min12020203
Schito A, Pensa A, Romano C, Corrado S, Vona A, Trolese M, Morgavi D, Giordano G. Calibrating Carbonization Temperatures of Wood Fragments Embedded within Pyroclastic Density Currents through Raman Spectroscopy. Minerals. 2022; 12(2):203. https://doi.org/10.3390/min12020203
Chicago/Turabian StyleSchito, Andrea, Alessandra Pensa, Claudia Romano, Sveva Corrado, Alessandro Vona, Matteo Trolese, Daniele Morgavi, and Guido Giordano. 2022. "Calibrating Carbonization Temperatures of Wood Fragments Embedded within Pyroclastic Density Currents through Raman Spectroscopy" Minerals 12, no. 2: 203. https://doi.org/10.3390/min12020203
APA StyleSchito, A., Pensa, A., Romano, C., Corrado, S., Vona, A., Trolese, M., Morgavi, D., & Giordano, G. (2022). Calibrating Carbonization Temperatures of Wood Fragments Embedded within Pyroclastic Density Currents through Raman Spectroscopy. Minerals, 12(2), 203. https://doi.org/10.3390/min12020203

