Sand and Pebbles: The Study of Portuguese Raw Materials for Provenance Archaeological Glass
Abstract
1. Introduction
Historical Background—The Glass from the Monastery of Santa Clara-a-Velha as a Case-Study
2. Materials and Methods
2.1. Collecting Potential Raw Materials
2.2. From Sand to Glass: Experimental Melting Protocol
2.3. Characterisation of the Synthesised Glass
3. Results and Discussion
3.1. Experimental Melting of the Collected Sands
3.2. Composition of the Synthesised Glass
3.3. When Synthesised Glasses Meet Historical Glasses
4. Conclusions
Author Contributions
Funding
Conflicts of Interest
References
- Moretti, C.; Hreglich, S. Raw materials, recipes and procedures used for glass making. In Modern Methods for Analysing Archaeological and Historical Glass; Janssens, K., Ed.; Wiley: Chichester, UK, 2013; Volume I. [Google Scholar]
- Vilarigues, M.; Coutinho, I.; Medici, T.; Alves, L.; Gratuze, B.; Machado, A. From beams to glass: Determining compositions to study provenance and production techniques. Phys. Sci. Rev. 2019, 4, 1–24. [Google Scholar] [CrossRef]
- Brems, D.; Degryse, P. Trace Element Analysis in Provenancing Roman Glass-Making. Archaeometry 2014, 56, 116–136. [Google Scholar] [CrossRef]
- Velde, B. Glass Compositions over Several Millennia in the Western World. In Modern Methods for Analysing Archaeological and Historical Glass; Janssens, K., Ed.; Wiley: Chichester, UK, 2013; Volume I, pp. 67–78. [Google Scholar]
- Brems, D.; Boyen, S.; Ganio, M.; Degryse, P.; Walton, M. Mediterranean sand deposits as a raw material for glass production in antiquity. In Proceedings of the Annales du 18e Congrès de l’Association Internationale pour l’Histoire du Verre, Thessaloniki, Greece, 21–25 September 2009; Ignatiadou, D., Antonaras, A., Eds.; Association Internationale pour l’Histoire du Verre: Thessaloniki, Greece, 2012; pp. 120–127. [Google Scholar]
- Brems, D.; Degryse, P.; Hasendoncks, F.; Gimeno, D.; Silvestri, A.; Vassilieva, E.; Luypaers, S.; Honings, J. Western Mediterranean sand deposits as a raw material for Roman glass production. J. Archaeol. Sci. 2012, 39, 2897–2907. [Google Scholar] [CrossRef]
- Freestone, I.C. Glass production in Late Antiquity and the Early Islamic period: A geochemical perspective. Geol. Soc. Lond. Spéc. Publ. 2006, 257, 201–216. [Google Scholar] [CrossRef]
- Brems, D.; Degryse, P.; Ganio, M.; Boyen, S. The production of Roman glass with western Mediterranean sand raw materials: Preliminary results. Eur. J. Glas. Sci. Technol. A 2012, 53, 129–138. [Google Scholar] [CrossRef][Green Version]
- Wedepohl, K.H.; Simon, K.; Kronz, A. The chemical composition including the Rare Earth Elements of the three major glass types of Europe and the Orient used in late antiquity and the Middle Ages. Geochemistry 2011, 71, 289–296. [Google Scholar] [CrossRef]
- Amado Mendes, J. História do Vidro e do Cristal em Portugal; Inapa: Lisboa, Portugal, 2002. [Google Scholar]
- Custódio, J. A Real Fábrica de Vidros de Coina (1719–1747) e o vidro em Portugal nos séculos XVII e XVIII: Aspectos Históricos, Tecnológicos, Artísticos e Arqueológicos; Instituto Português do Património Arquitectónico: Lisboa, Portugal, 2002. [Google Scholar]
- Jardim Botânico UTAD Salsola Kali. 2021. Available online: https://jb.utad.pt/especie/Salsola_kali (accessed on 8 November 2021).
- Trindade, S.D.; Gambini, L.I. Mosteiro de Santa Clara-a-Velha—Do Convento à Ruína, da Ruína à Contemporaneidade, 2nd ed.; Direcção Regional de Cultura do Centro: Coimbra, Portugal, 2009. [Google Scholar]
- Coutinho, I. New Insights into 17th and 18th Century Glass from Portugal: Study and Preservation. Ph.D. Thesis, Universidade Nova de Lisboa, Lisbon, Portugal, 2016. [Google Scholar]
- Ferreira, M. Espólio vítreo proveniente da estação arqueológica do Mosteiro de Sta. Clara-a-Velha de Coimbra: Resultados preliminares. Rev. Port. Arqueol. 2004, 7, 541–583. [Google Scholar]
- Ferreira, M.; Medici, T. Mould-blown decorative patterns on Medieval and post-Medieval glass beakers found in Portugal (14th–18th century). In Proceedings of the Actes des 23e Rencontres de l’Association Française Pour l’Archéologie du Verre (Scientia Artis, 5), Bruxelles, Belgium; 2010; pp. 403–411. Available online: https://www.researchgate.net/publication/266078521 (accessed on 8 November 2021).
- Lima, A.; Medici, T.; de Matos, A.P.; Verità, M. Chemical analysis of 17th century Millefiori glasses excavated in the Monastery of Sta. Clara-a-Velha, Portugal: Comparison with Venetian and façon-de-Venise production. J. Archaeol. Sci. 2012, 39, 1238–1248. [Google Scholar] [CrossRef]
- Medici, T. Vidros da Terra, o vidro tardomedieval e moderno em Portugal (séculos XIV-XVII). O contributo da arqueologia. Ph.D. Thesis, Faculdade de Letras da Universidade de Coimbra, Coimbra, Portugal, 2014. [Google Scholar]
- Ramos, A.T.; Lima, A.; Medici, T.; Pires de Matos, A.; Pichon, L.; Moignard, B. Study and Analysis of 17th century filigrana glass fragments from the Monastery of Sta. Clara-a-Velha, Portugal. In Proceedings of the 18th Congress of the Association Internationale Pour l’Histoire du Verre, Thessaloniki, Greece, 21–25 September 2009; Ignatiadou, D., Antonaras, A., Eds.; Association Internationale pour l’Histoire du Verre: Thessaloniki, Greece, 2009. [Google Scholar]
- Coutinho, I.; Medici, T.; Alves, L.; Gratuze, B.; Vilarigues, M. Provenance studies on façon-de-Venise glass excavated in Portugal. J. Archaeol. Sci. Rep. 2016, 7, 437–448. [Google Scholar] [CrossRef]
- Valente, V. O Vidro em Portugal; Editora Portucalense: Porto, Portugal, 1950. [Google Scholar]
- Coutinho, I.; Medici, T.; Wiley, R.; Alves, L.C.; Gratuze, B.; Vilarigues, M. The Gourd-Shaped Vessel: A Portuguese Product? J. Glass Stud. 2017, 59, 215–234. [Google Scholar]
- Garcia, P. Prospecção na Quinta do Côvo. Master’s Thesis, Universidade de Aveiro, Aveiro, Portugal, 2009. [Google Scholar]
- Dungworth, D. Glass-ceramic reactions in some post-medieval crucibles. Glas. Technol. Eur. J. Glas. Sci. Technol. Part A 2008, 49, 157–167. [Google Scholar]
- Cagno, S.; Mendera, M.; Jeffries, T.; Janssens, K. Raw materials for medieval to post-medieval Tuscan glassmaking: New insight from LA-ICP-MS analyses. J. Archaeol. Sci. 2010, 37, 3030–3036. [Google Scholar] [CrossRef]
- Sarah, G.; Gratuze, B.; Barrandon, J.-N. Application of laser ablation inductively coupled plasma mass spectrometry (LA-ICP-MS) for the investigation of ancient silver coins. J. Anal. At. Spectrom. 2007, 22, 1163–1167. [Google Scholar] [CrossRef]
- Gratuze, B. Obsidian Characterization by Laser Ablation ICP-MS and its Application to Prehistoric Trade in the Mediterranean and the Near East: Sources and Distribution of Obsidian within the Aegean and Anatolia. J. Archaeol. Sci. 1999, 26, 869–881. [Google Scholar] [CrossRef]
- Gratuze, B. Glass Characterization Using Laser Ablation-Inductively Coupled Plasma-Mass Spectrometry Methods. In Recent Advances in Laser Ablation ICP-MS for Archaeology (coll. Natural Sciences in Archaeology); Dussubieux, L., Golitko, M., Gratuze, B., Eds.; Springer: Berlin/Heidelberg, Germany, 2016; pp. 179–196. [Google Scholar]
- Adlington, L.W. The Corning Archaeological Reference Glasses: New Values for “Old” Compositions. Pap. Inst. Archaeol. 2017, 27, 1–8. [Google Scholar] [CrossRef]
- Verità, M.; Zecchin, S. Thousand Years of Venetian Glass: The evolution of chemical composition from the origins to the 18th century. In Annales of the 17th Congress of the International Association for the History of Glass; Janssens, K., Degryse, P., Cosyns, P., Caen, J., Van’t dack, L., Eds.; University Press: Antwerp, Belgium, 2009; pp. 602–613. [Google Scholar]
- Wedepohl, K.H. The composition of the continental crust. Geochim. Cosmochim. Acta 1995, 59, 1217–1232. [Google Scholar] [CrossRef]
- Cagno, S.; Favaretto, L.; Mendera, M.; Izmer, A.; Vanhaecke, F.; Janssens, K. Evidence of early medieval soda ash glass in the archaeological site of San Genesio (Tuscany). J. Archaeol. Sci. 2012, 39, 1540–1552. [Google Scholar] [CrossRef]
- De Raedt, I.; Janssens, K.; Veeckman, J.; Vincze, L.; Vekemans, B.; Jeffries, T.E. Trace analysis for distinguishing between Venetian and façon-de-Venise glass vessels of the 16th and 17th century. J. Anal. At. Spectrom. 2001, 16, 1012–1017. [Google Scholar] [CrossRef]
- Navarro, J.M.F. El Vidrio, Colección Textos Universitarios, no6, 3rd ed.; Consejo Superior de Investigaciones Científicas Sociedad Española de Cerámica y Vidrio: Madrid, Spain, 2003. [Google Scholar]
- Santos, C.R.; Vilarigues, M.; Dabas, P.; Coutinho, I.; Palomar, T. Reproducing crystal glass from three 18th–20th centuries Portuguese glass arcana. Int. J. Appl. Glas. Sci. 2020, 11, 743–755. [Google Scholar] [CrossRef]











| Location | GPS Coord. | Collecting Date | Designation | Geological Source |
|---|---|---|---|---|
| Águeda | 40°32’55.18”N, 8°26’42.77”W | 17/06/2013 | S6 | Fluvial deposit (sand) |
| Côvo | 40°51’27.17”N, 8°26’0.89”W | S8 | Quartz dyke (pebbles) | |
| Campos Mondego 5C-2 | 40°13’10.50”N, 8°29’55.15”W | 12/03/2014 | S21 | Fluvial deposit (sand) |
| Campos Mondego 26A-1 | 40°14’3.99”N; 8°29’38.06”W | S22 | ||
| Taveiro (Choupal) | 40.222425610059226, −8.443872944334469 | S24 | ||
| Canal Mondego PL-2 | 40°10’48.55”N, 8°25’8.84”W | S25 |
| Sample | Type of Crucible | Al2O3 | SiO2 |
|---|---|---|---|
| S8–Côvo Pebbles | Pt | 1.0 | 87.4 |
| S9–Côvo Pebbles | Al | 1.9 | 85.9 |
| S21–Coimbra (5C-2) | Pt | 7.4 | 72.6 |
| S16–Coimbra (5C-2) | Al | 8.4 | 70.2 |
| S22–Coimbra (26A-1) | Pt | 9.0 | 69.4 |
| S17–Coimbra (26A-1) | Al | 10.1 | 70.1 |
| S24–Coimbra (Choupal) | Pt | 4.5 | 77.6 |
| S18–Coimbra (Choupal) | Al | 7.5 | 72.4 |
| S25–Coimbra (PL-2) | Pt | 4.6 | 78.6 |
| S15–Coimbra (PL-2) | Al | 6.4 | 76.5 |
| Unit | Oxides | S 6 | S 8 | S21 | S22 | S24 | S25 | CMoG A (Certified [29]) | CMoG A (Measured) |
|---|---|---|---|---|---|---|---|---|---|
| wt% | Na2O | 12.4 | 11.3 | 14.0 | 15.0 | 13.5 | 12.9 | 14.3 | 13.7 |
| MgO | <DL | <DL | 0.2 | 0.2 | 0.1 | 0.1 | 2.66 | 2.45 | |
| Al2O3 | 4.6 | 1.0 | 7.4 | 9.0 | 4.5 | 4.6 | 1.00 | 0.93 | |
| SiO2 | 82.0 | 87.4 | 72.6 | 69.4 | 77.6 | 78.6 | 66.56 | 67.1 | |
| P2O5 | 0.03 | 0.01 | 0.07 | 0.08 | 0.05 | 0.04 | 0.0847 | 0.1 | |
| Cl | 0.04 | 0.05 | 0.04 | 0.04 | 0.03 | 0.03 | 0.09 | ||
| K2O | 0.16 | 0.04 | 3.98 | 4.41 | 3.12 | 2.99 | 2.87 | 2.86 | |
| CaO | 0.10 | 0.11 | 0.20 | 0.25 | 0.14 | 0.14 | 5.03 | 5.77 | |
| TiO2 | 0.08 | 0.01 | 0.27 | 0.20 | 0.09 | 0.08 | 0.79 | 0.78 | |
| MnO | <DL | <DL | 0.02 | 0.01 | 0.02 | 0.01 | 1.00 | 0.98 | |
| Fe2O3 | 0.49 | 0.02 | 1.12 | 1.33 | 0.75 | 0.45 | 1.09 | 1.09 | |
| µg/g | CoO | 2 | 0 | 2 | 2 | 1 | 1 | 0.17 wt% | 0.17 wt% |
| NiO | 8 | 1 | 4 | 5 | 3 | 2 | 0.02 wt% | 0.02 wt% | |
| CuO | 4 | 3 | 0.02 wt% | 6 | 9 | 98 | 1.17 wt% | 1.09 wt% | |
| ZnO | 13 | 1 | 33 | 40 | 19 | 15 | 0.04 wt% | 0.05 wt% | |
| As2O3 | 4 | 1 | 5 | 6 | 4 | 2 | - | 30 | |
| SrO | 7 | 7 | 35 | 47 | 30 | 26 | 0.10 wt% | 0.10 wt% | |
| PbO | 27 | 22 | 52 | 51 | 108 | 57 | 0.07 wt% | 0.07wt% | |
| Trace Elements | |||||||||
| µg/g | B | 19.9 | 1.91 | 33.3 | 29.7 | 6.89 | 11.2 | ||
| Ti | 489 | 34.0 | 1611 | 1208 | 506 | 457 | |||
| V | 5.03 | 13.9 | 11.2 | 14.4 | 6.61 | 4.50 | |||
| Cr | 6.85 | 3.22 | 6.75 | 8.77 | 3.42 | 3.26 | |||
| Ni | 6.06 | 0.88 | 3.20 | 3.74 | 2.57 | 1.34 | |||
| Cu | 2.90 | 2.63 | 151 | 4.94 | 6.53 | 78.6 | |||
| Zn | 10.7 | 0.80 | 26.1 | 31.9 | 15.8 | 12.4 | |||
| As | 2.69 | 0.52 | 3.91 | 4.35 | 1.52 | 1.67 | |||
| Rb | 10.7 | 5.52 | 199 | 212 | 121 | 136 | |||
| Sr | 5.75 | 6.16 | 30.0 | 39.6 | 25.5 | 21.8 | |||
| Y | 3.98 | 0.23 | 6.72 | 6.21 | 5.02 | 3.49 | |||
| Zr | 40.5 | 1.12 | 62.1 | 59.7 | 49.9 | 43.2 | |||
| Nb | 1.69 | 0.11 | 8.55 | 6.89 | 2.37 | 2.77 | |||
| Mo | 0.11 | 0.16 | 2.27 | 2.29 | 5.77 | 1.97 | |||
| Sn | 8.34 | 8.51 | 12.0 | 14.2 | 8.84 | 7.53 | |||
| Sb | 0.24 | 0.52 | 0.27 | 0.29 | 2.33 | 0.33 | |||
| Ba | 19.7 | 7.12 | 209 | 286 | 216 | 153 | |||
| La | 14.1 | 0.28 | 9.73 | 10.03 | 6.77 | 5.78 | |||
| Ce | 25.0 | 0.67 | 22.0 | 22.6 | 15.1 | 12.6 | |||
| Pr | 3.03 | 0.07 | 2.20 | 2.17 | 1.45 | 1.25 | |||
| Nd | 10.7 | 0.31 | 8.41 | 8.51 | 5.65 | 4.86 | |||
| Sm | 1.46 | 0.78 | 1.78 | 1.77 | 1.13 | 0.97 | |||
| Eu | 0.20 | 0.23 | 0.26 | 0.30 | 0.23 | 0.12 | |||
| Gd | 0.95 | <DL | 1.28 | 1.31 | 0.90 | 0.57 | |||
| Tb | 0.14 | 0.04 | 0.21 | 0.21 | 0.15 | 0.11 | |||
| Dy | 0.84 | 0.13 | 1.21 | 1.19 | 0.90 | 0.61 | |||
| Ho | 0.17 | 0.01 | 0.24 | 0.22 | 0.17 | 0.12 | |||
| Er | 0.49 | 0.03 | 0.67 | 0.62 | 0.52 | 0.36 | |||
| Tm | 0.07 | 0.11 | 0.10 | 0.09 | 0.07 | 0.05 | |||
| Yb | 0.50 | 0.02 | 0.70 | 0.60 | 0.48 | 0.34 | |||
| Lu | 0.07 | <DL | 0.10 | 0.10 | 0.07 | 0.05 | |||
| Hf | 1.16 | 0.02 | 1.70 | 1.71 | 1.36 | 1.19 | |||
| Pb | 24.8 | 20.6 | 48.3 | 47.2 | 107 | 53.1 | |||
| Th | 2.52 | 0.08 | 5.88 | 5.42 | 3.80 | 3.56 | |||
| U | 1.66 | 0.08 | 2.52 | 2.73 | 1.77 | 1.45 |
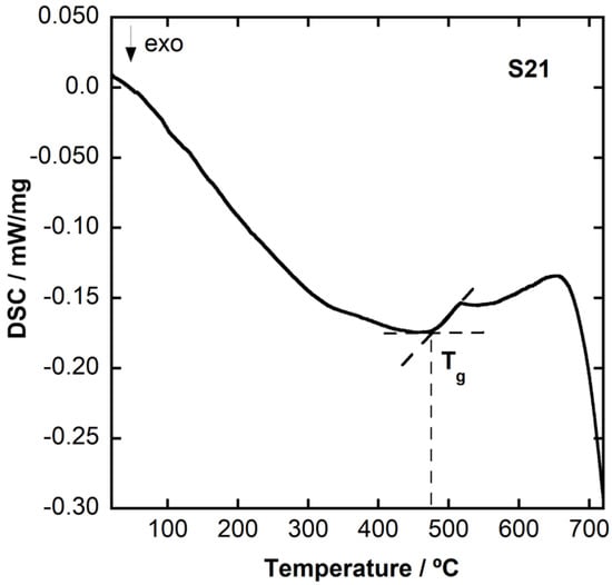
| Sample/Designation | Colour | Image | Image under Magnifying Lens |
|---|---|---|---|
| S6 Águeda Glass(sand) | Light green | ![]() | ![]() |
| S8C ôvo Glass (pebbles) | Colourless | ![]() | ![]() |
| S21 Coimbra 5C-2(sand) | Deep green | ![]() | ![]() |
| S22 Coimbra 26A-1(sand) | Light green | ![]() | ![]() |
| S24 Coimbra Choupal(sand) | Light bluish green | ![]() | ![]() |
| S25 Coimbra PL-2(sand) | Light bluish green | ![]() | ![]() |
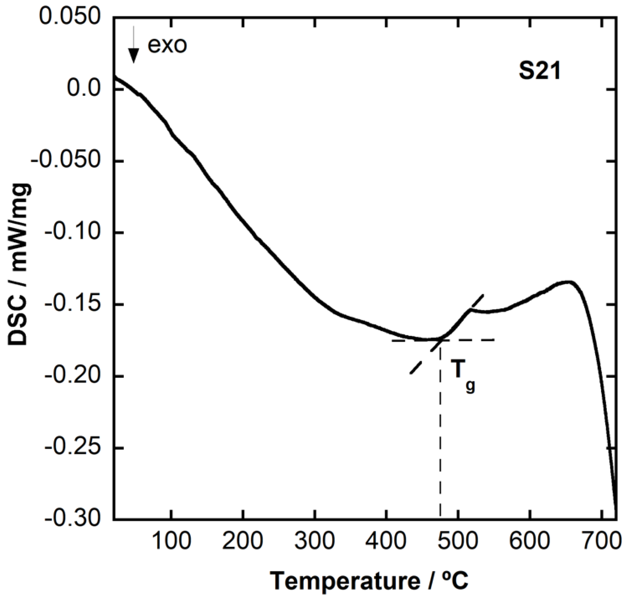
| Alumina Content (wt%)/Tg (ºC) | Glass | |||
|---|---|---|---|---|
| S21 | S22 | S24 | S25 | |
| Al2O3 (wt %) | 7.4 | 9.0 | 4.5 | 4.6 |
| Tg (°C) | 486 | 500 | 477 | 483 |
Publisher’s Note: MDPI stays neutral with regard to jurisdictional claims in published maps and institutional affiliations. |
© 2022 by the authors. Licensee MDPI, Basel, Switzerland. This article is an open access article distributed under the terms and conditions of the Creative Commons Attribution (CC BY) license (https://creativecommons.org/licenses/by/4.0/).
Share and Cite
Coutinho, I.; Medici, T.; Gratuze, B.; Ruivo, A.; Dinis, P.; Lima, A.; Vilarigues, M. Sand and Pebbles: The Study of Portuguese Raw Materials for Provenance Archaeological Glass. Minerals 2022, 12, 193. https://doi.org/10.3390/min12020193
Coutinho I, Medici T, Gratuze B, Ruivo A, Dinis P, Lima A, Vilarigues M. Sand and Pebbles: The Study of Portuguese Raw Materials for Provenance Archaeological Glass. Minerals. 2022; 12(2):193. https://doi.org/10.3390/min12020193
Chicago/Turabian StyleCoutinho, Inês, Teresa Medici, Bernard Gratuze, Andreia Ruivo, Pedro Dinis, Augusta Lima, and Márcia Vilarigues. 2022. "Sand and Pebbles: The Study of Portuguese Raw Materials for Provenance Archaeological Glass" Minerals 12, no. 2: 193. https://doi.org/10.3390/min12020193
APA StyleCoutinho, I., Medici, T., Gratuze, B., Ruivo, A., Dinis, P., Lima, A., & Vilarigues, M. (2022). Sand and Pebbles: The Study of Portuguese Raw Materials for Provenance Archaeological Glass. Minerals, 12(2), 193. https://doi.org/10.3390/min12020193













