Petrology of Granites of the Tommot Rare-Earth Ore Field (Verkhoyansk–Kolyma Orogenic Belt)
Abstract
1. Introduction
2. Methods
3. Geological Setting
4. Petrography and Mineralogy of Magmatic Rocks
4.1. Tommot Massif
4.2. Somnitelnyi Massif
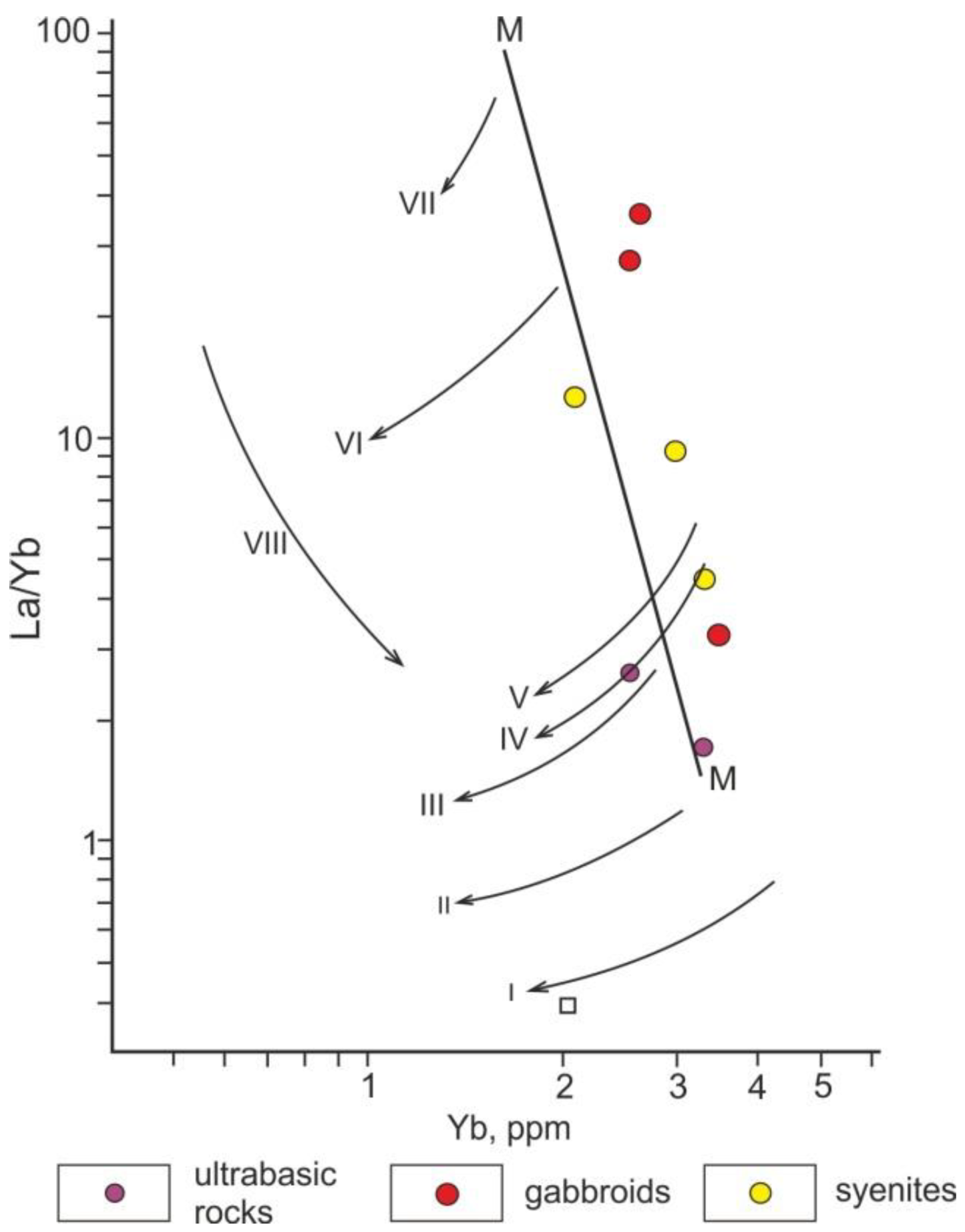
5. Geochemistry of Magmatic Rocks
6. Discussion
7. Conclusions
Supplementary Materials
Author Contributions
Funding
Data Availability Statement
Acknowledgments
Conflicts of Interest
References
- Balashov, Y.A. Geochemistry of Rare Earth Elements; Nauka: Moscow, Russia, 1976; p. 267. (In Russian) [Google Scholar]
- Semenov, E.I. Ore and Mineralization of Rare Earths, Thorium and Uranium (Lanthanides and Actinoids); Geos: Moscow, Russia, 2001; p. 307. (In Russian) [Google Scholar]
- Mariano, A.N. Economic geology of Rare Earth Minerals. In Geochemistry and Mineralogy of Rare Earth Elements; Lipin, B.R., Mc Kay, G.A., Eds.; Mineralogical Society of America: Washington, DC, USA, 1989; pp. 309–337. [Google Scholar]
- Long, K.R.; Van Gosen, B.S.; Foley, N.K.; Cordier, D. The Principal Rare Earth Elements Deposits of the United States—A Summary of Domestic Deposits and A Global Perspective; Scientific Investigations Report 2010–5220; U.S. Geological Survey: Reston, VA, USA, 2010; p. 104. [Google Scholar]
- Eremin, N.V. Strategic, Scarce and Critical Mineral Raw Materials (Rare Earth Elements); MSU Geofak: Moscow, Russia, 2020; pp. 26–47. (In Russian) [Google Scholar]
- Mikhailov, V.A. Rare Earth Ores of the World: Geology, Resources, Economics; Kiev University: Kiev, Ukraine, 2010; pp. 49–134. (In Russian) [Google Scholar]
- Trunilina, V.A. Late Cretaceous Granites of the Selennyakh Ridge (Verkhoyansk-Kolyma Orogenic Area). Solid State Technol. 2020, 63, 4501–4525. [Google Scholar]
- Nédélec, A.; Bouchez, J.L. Granites: Petrology, Structure, Geological Setting, and Metallogeny; University Press: Oxford, UK, 2015; p. 349. [Google Scholar]
- Dehaine, Q.; Filippov, L.O.; Glass, H.J.; Rollinson, G. Rare-metal granites as a potential source of critical metals: A geometallurgical case study. Ore Geol. Rev. 2019, 104, 384–402. [Google Scholar] [CrossRef]
- Melcher, F.; Graupner, T.; Gäbler, H.E.; Sitnikova, M.; Henjes-Kunst, F.; Oberthür, T.; Gerdes, A.; Dewaele, S. Tantalum–(niobium–tin) mineralisation in African pegmatites and rare metal granites: Constraints from Ta–Nb oxide mineralogy, geochemistry and U–Pb geochronology. Ore Geol. Rev. 2015, 64, 667–719. [Google Scholar] [CrossRef]
- Huang, H.; Wang, T.; Zhang, Z.; Qin, Q. Petrogenesis and rare metal mineralization of the alkaline granitic magma: A case study from the Boziguo’er rare metal granitic intrusion. Geodyn. Tectonophys. 2017, 8, 475–476. [Google Scholar] [CrossRef][Green Version]
- Kovalenko, V.I.; Yarmolyuk, V.V.; Kozlovsky, A.M.; Kovach, V.P.; Sal’nikova, E.B.; Kotov, A.B.; Vladykin, N.V. Two types of magma sources of rare-metal alkali granites. Geol. Ore Deposits 2020, 49, 442–466. [Google Scholar] [CrossRef]
- Xu, X.; Zhou, X.; Wang, D. Interaction crust–mantle and genesis of granites on the matter of coastal part of the south-eastern part of China. Geol. I. China Univ. 1999, 5, 241–250. [Google Scholar]
- Sami, M.; Mahdy, N.M.; Ntaflos, T.; Fathy, D. Composition and origin of Ti–Nb–Ta–Zr bearing minerals in the Abu Diab highly evolved granite from the Central Eastern Desert of Egypt. J. Afr. Earth Sci. 2020, 165, 103808. [Google Scholar] [CrossRef]
- Collins, W.J.; Beams, S.D.; White, A.J.R.; Chappell, B.W. Nature and origin of A-type granites with particular reference to Southeastern Australia. Contrib. Mineral. Petrol. 1982, 80, 189–200. [Google Scholar] [CrossRef]
- Vladimirov, A.G.; Vystavnoy, S.A.; Titov, A.V.; Rudiev, S.N.; Dergachev, V.B.; Annikova, I.Y.; Tikunov, Y.V. Petrology of the Early Mesozoic rare-metal granites of the southern Altai Mountains. Geol. Geophys. 1998, 7, 901–916. (In Russian) [Google Scholar]
- Bonin, B. A-type granite ring complexes: Mantle origin through crustal filters and the anorthosite-rapakivi magmatism connection. Petrol. Geochem. Mag. Suites Rocks Contin. Ocean. Crusts 1996, 201–217. [Google Scholar]
- Abdel-Karim, A.; Azer, M.; Sami, M. Petrogenesis and tectonic implications of the Maladob ring complex in the South Eastern Desert, Egypt: New insights from mineral chemistry and whole-rock geochemistry. Int. J. Earth Sci. 2021, 110, 53–80. [Google Scholar] [CrossRef]
- Kile, D.E. The Universal Stage: The Past, Present, and Future of a Mineralogical Research Instrument. Geochem. News 2009, 140, 1–21. Available online: http://www.geochemsoc.org/publications/geochemicalnews/gn140jul09/theuniversalstage.htm (accessed on 30 June 2009).
- Saranchina, G.M.; Kozhevnikova, V.N. Fedorov’s Method: Determination of Minerals, Microstructural Analysis; Nedra: Leningrad, Russia, 1985; p. 208. (In Russian) [Google Scholar]
- Janoušek, V.; Farrow, C.M.; Erban, V. Interpretation of whole-rock geochemical data in igneous geochemistry: Introducing Geochemical Data Toolkit (GCDkit). Petrology 2006, 47, 1255–1259. [Google Scholar] [CrossRef]
- Korinevsky, E.V. Petroexplorer–a system for creating geochemical information and analytical arrays in the process of case studies. Geoinformatika 2015, 4, 48–53. (In Russian) [Google Scholar]
- Parfenov, L.M.; Kuzmin, M.I. (Eds.) Tectonics, Geodynamics and Metallogeny of the Territory of the Republic of Sakha (Yakutia); MAIK “Nauka/Interperiodika”: Moscow, Russia, 2001; p. 571. (In Russian) [Google Scholar]
- Nokleberg, W.J. (Ed.) Metallogenesis and Tectonics of Northeast Asia; U.S. Geological Survey Professional Paper 1765: Washington, DC, USA, 2010; p. 624. [Google Scholar]
- Layer, P.W.; Parfenov, L.M.; Surnin, A.A.; Timofeev, V.F. First 40Ar/39Ar age determinations of magmatic and metamorphic rocks of the Verkhoyansk-Kolyma Mesozoides. Doklady RAN 1993, 329, 621–624. (In Russian) [Google Scholar]
- Gorbov, G.S.; Zhukhina, I.A. The first definitions of the absolute age of metamorphic rocks of the Kolyma massif. Doklady AN SSSR 1971, 197, 1131–1132. (In Russian) [Google Scholar]
- Trunilina, V.A.; Layer, P.W.; Parfenov, L.M.; Zaitsev, A.I.; Orlov, Y.S. The Tommot Massif: A middle Paleozoic rift-related alkaline gabbro and syenite complex, Yakutia, northeast Russia. Stephan Mueller Spéc. Publ. Ser. 2009, 4, 97–109. [Google Scholar] [CrossRef]
- Solodov, N.A. Predictive Prospecting Complexes for the Main Geological and Industrial Types of Rare Metals Deposit; IMGRE: Moscow, Russia, 1989; p. 245. (In Russian) [Google Scholar]
- Kalinin, M.A.; Molchanov, A.V.; Terekhov, A.V.; Mikhailov, V.A.; Afanasyeva, E.V. Platinum bearing of the Tommot massiv (north-eastern Yakutia). In Collection of Abstracts Mineral Resource Base of Diamonds, Precious and Non-Ferrous Metals–from Forecast to Production; IMGRE: Moscow, Russia, 2021; pp. 68–75. (In Russian) [Google Scholar]
- Le Maitre, R.W. (Ed.) Igneous Rocks. A Classification and Glossary of Terms; University Press: Cambridge, UK, 2002; p. 253. [Google Scholar]
- Ryabov, V.V.; Zolotukhin, V.V. Clinopyroxene. In Minerals of Differentiated Traps; Sobolev, V.S., Ed.; Nauka: Novosibirsk, Russia, 1977; pp. 37–70. (In Russian) [Google Scholar]
- Putirka, K.D. Thermometers and barometers vor volcanic systems. Rev. Mineral. Geochem. 2008, 69, 61–120. [Google Scholar] [CrossRef]
- Yavuz, F. Win Pyroxene: A Windows program for pyroxene calculation classification and thermobarometry. Amer. Miner. 2013, 98, 1338–1359. [Google Scholar] [CrossRef]
- Rudolfi, R.; Renzolli, A. Calcic amphiboles in calc-alkaline and alkaline magmas: Thermobarometric and chemometric empirical equations valid up to 1130 oC and 2,2 Gpa. Contrib. Miner. Petrol. 2012, 163, 877–895. [Google Scholar] [CrossRef]
- Yavuz, F. A Program to Classify Microprobe and Wet Chemical Amphibole Analyses according to the IMA (1997) Nomenclature Scheme; AGU: Istanbul, Turkey, 1999. [Google Scholar]
- Uchida, E.; Endo, S.; Makino, V. Relationship between solidification depth of granitic rocks and formation of hydrothermal ore deposits. Resour. Geol. 2007, 57, 47–56. [Google Scholar] [CrossRef]
- Henry, D.A.; Guidotti, C.V.; Thompson, J.A. The Ti-saturation surface for low- to-medium pressure metapelitic biotites: Implication for geothermometry and Ti-substitution mechanismus. Amer. Miner. 2005, 90, 316–328. [Google Scholar] [CrossRef]
- Troshin, Y.P.; Grebenschikova, V.I.; Antonov, A.Y. Volatile components in biotites and metallogenic specialization of intrusions. In Mineralogical Criteria for Ore Content Assessment; Nauka: Leningrad, Russia, 1981; pp. 73–83. (In Russian) [Google Scholar]
- Tindle, A.G.; Webb, R.P. Estimation of lithium contents in trioctahedral micas using microprobe data: Application to micas from granitic rocks. Eur. J. Miner. 1990, 2, 595–610. [Google Scholar] [CrossRef]
- Putirka, K.D. Igneous thermometers and barometers based on plagioclase + liquid equilibria: Tests of some existing models and new calibrations. Amer. Miner. 2005, 90, 336–346. [Google Scholar] [CrossRef]
- Bushlyakov, I.N.; Kholodnov, V.V. Halogens in Petrogenesis of Granitoids; Nedra: Moscow, Russia, 1986; p. 192. (In Russian) [Google Scholar]
- Gusev, A.I. Typification of granitoids, based on biotite composition. Achiev. Mod. Nat. Sci. 2009, 4, 54–57. (In Russian) [Google Scholar]
- Brimhall, G.H.; Crerar, D.A. Ore fluids: Magmatic to supergene. In Termodynamic Modeling of Geological Materials. Minerals, Fluids and Melts; Reviews in Mineralogy and Geochemistry: Lansing, MI, USA, 1987; Volume 17, pp. 235–321. [Google Scholar]
- Krasnobaev, A.A. Zircon as an Indicator of Geological Processes; Nauka: Moscow, Russia, 1986; p. 202. (In Russian) [Google Scholar]
- Corfu, F.; Hanchar, J.M.; Hoskin, P.W.O.; Kinny, P. Atlas of Zircon Textures. Rev. Mineral. Geochem. 2003, 53, 469–500. [Google Scholar] [CrossRef]
- Rubatto, D. Zircon trace element geochemistry: Partitioning with garnet and the link between U-Pb ages and metamorphism. Chem. Geol. 2002, 184, 123–138. [Google Scholar] [CrossRef]
- French, W.J.; Cameron, E.P. Calculation on the temperature of crystallization of silicates from basaltic melts. Mineral. Mag. 1981, 44, 19–26. [Google Scholar] [CrossRef]
- Kulikova, V.V.; Kulikov, V.S. Petrochemical Classification of Magmatic Rocks; Kola Scientific Center: Petrozavodsk, Russia, 2001; p. 115. (In Russian) [Google Scholar]
- Piskunov, B.M.; Abdurakhmanova, A.I.; Kim, C.U. Composition-depth ratio for volcanoes of the Kuril island arc and its petrological significance. Volcanol. Seismol. 1979, 4, 57–67. (In Russian) [Google Scholar]
- Sharpenok, L.N.; Kostin, A.E.; Kukharenko, E.A. TAS-diagram sum of alkalis-silica for chemical classification and diagnostics of plutonic rocks. Reg. Geol. Metallog. 2013, 56, 40–50. (In Russian) [Google Scholar]
- Borodin, L.S. Petrochemistry of Magmatic Series; Nauka: Moscow, Russia, 1987; p. 260. (In Russian) [Google Scholar]
- Borodin, L.S. Model system of petrochemical and metallogenic trends of granitoids as a basis for the prognosis of Sn, Li, Ta, Nb, W, Mo, and Cu deposits. Geol. Ore Depos. 2004, 46, 3–26. [Google Scholar]
- Thornton, C.P.; Tuttle, O.F. Chemistry of igneous rocks, differentiation index. Am. J. Sci. 1960, 258, 664–684. [Google Scholar] [CrossRef]
- Jung, S.; Pfander, J.A. Source composition and melting temperatures of orogenic granitoids–constrains from CaO/Na2O, Al2O3/TiO2 and accessory mineral saturation thermometry. Eur. J. Miner. 2007, 1, 5–40. [Google Scholar]
- Belyaev, G.M.; Rudnik, V.A. Formational-Genetic Types of Granitoids; Nedra: Leningrad, Russia, 1978; p. 168. (In Russian) [Google Scholar]
- Strekeisen, A.; Le Maitre, P.W. A chemical approximation to the modal QAPF classification of igneous rocks. Neues Yahrb. Miner. 1979, 136, 169–206. [Google Scholar]
- Maniar, P.D.; Piccoli, P.M. Tectonic discrimination of granitoids. Geol. Soc. Am. Bul. 1989, 101, 635–643. [Google Scholar] [CrossRef]
- Frost, B.R.; Arculus, R.J. A geochemical classification for granitic rocks. J. Petrol. 2001, 42, 2033–2048. [Google Scholar] [CrossRef]
- Maeda, J. Opening of the Kuril Basin deduced from the magmatic history of Central Hokkaido, northern Japan. Tectonophysics 1990, 174, 235–255. [Google Scholar] [CrossRef]
- Datsenko, V.M. Petrogeochemical typification of granitoids of the south-western framing of the Siberian platform. In Materials the Second All-Russian Petrographic Meeting, Syktyvkar, Russia, 27–30 June 2000; Yushkin, N.P., Ed.; Komi Scientific Center: Syktyvkar, Russia, 2000; pp. 270–274. (In Russian) [Google Scholar]
- Pearce, J.A.; Harris, N.B.W.; Tindle, A.G. Trace element discrimination diagrams for the tectonic interpretation of the granitic rocks. J. Petrol. 1984, 25, 956–963. [Google Scholar] [CrossRef]
- Trunilina, V.A.; Roev, S.P.; Orlov, Y.S.; Oxman, V.S. Magmatism of Various Geodynamic Environments (Zone of Junction of the Verkhoyansk Margin of the Siberian Continent and the Kolyma-Omolon Microcontinent); Yakut Scientific Center: Yakutsk, Russia, 1999; p. 168. (In Russian) [Google Scholar]
- Ovchinnikov, L.N. Applied Geochemistry; Nedra: Moscow, Russia, 1990; p. 248. (In Russian) [Google Scholar]
- Tauson, L.V. Geochemical Types and Ore Potential of Granotoids; Nauka: Moscow, Russia, 1977; p. 279. (In Russian) [Google Scholar]
- Sazonova, L.V.; Nosova, A.A.; Dokuchaev, A.Y.; Gurbanov, A.G. Latite type of late collisional granitoids (North Caucasus): Geochemical and mineralogical features. RAS Rep. 2003, 393, 2–5. (In Russian) [Google Scholar]
- Hofmann, A.W. Mantle geochemistry: The message from oceanic volcanism. Nature 1997, 385, 219–228. [Google Scholar] [CrossRef]
- Shervais, J.W. Ti—V plots and the petrogenesis of modern and ophiolitic lavas. Earth Planet. Sci. Lett. 1982, 59, 101–118. [Google Scholar] [CrossRef]
- Drill, S.I.; Kuzmin, M.I.; Tsipukova, S.S.; Zonenshain, L.P. Geochemistry of basalts from the West Woodlark, Lau and Manus basins: Implication for their petrogenesis and source rock composition. Mar. Geol. 1997, 142, 57–83. [Google Scholar] [CrossRef]
- Stogniy, G.A.; Stogniy, V.V. Geophysical Fields of the Eastern Part of the North Asian Craton; Yakutsk: Sakhapoligrafizdat, Russia, 2005; p. 173. (In Russian) [Google Scholar]
- Eby, G.N. Chemical subdivision of the A-type granitoids: Petrogenetic and tectonic implications. Geology 1992, 20, 641–644. [Google Scholar] [CrossRef]
- King, P.L.; White, A.J.R.; Chappell, B.W.; Allen, C.M. Characterization and Origin of aluminous A-type Granites from the Lachlan Fold Belt, Southeastern Australia. J. Petrol. 1997, 38, 371–391. [Google Scholar] [CrossRef]
- Litvinovsky, B.A.; Jahn, B.M.; Eyal, M. Mantle-Derived Sources of Syenites from the A-Type Igneous Suites—New Approach to the Provenance of Alkaline Silicic Magmas. Lithos 2015, 232, 242–265. [Google Scholar] [CrossRef]
- Wang, L.X.; Ma, C.Q.; Zhang, C. Halogen Geochemistry of IAnd A-Type Granites from Jiuhuashan Region (South China): Insights into the Elevated Fluorine in A-Type Granite. Chem. Geol. 2018, 478, 164–182. [Google Scholar] [CrossRef]
- Grebennikov, A.V. A-type granites and related rocks: Problems of identification, petrogenesis, and classification. Russ. Geol. Geophys. 2014, 55, 1074–1086. [Google Scholar] [CrossRef]
- Wu, F.Y.; Sun, D.Y.; Li, H.M. A-Type Granites in Northeastern China: Age and Geochemical Constraints on Their Petrogenesis. Chem. Geol. 2002, 187, 143–173. [Google Scholar] [CrossRef]
- Martin, R.F. A-Type Granites of Crustal Origin Ultimately Result from Open-System Fenitization-Type Reactions in an Extensional Environment. Lithos 2006, 91, 125–136. [Google Scholar] [CrossRef]
- Taylor, S.R.; Mc Lennan, S.M. The Continental Crust: Its Composition and Evolution; Blackwell: Oxford, UK, 1985; p. 384. [Google Scholar]
- Rudnick, R.L.; Gao, S. Composition of the Continental Crust. Treatise Geochem. 2003, 3, 1–64. [Google Scholar] [CrossRef]
- Shellnutt, J.G.; Zhou, M.F. Permian Peralkaline, Peraluminous and Metaluminous A-Type Granites in the Panxi District, SW China: Their Relationship to the Emeishan Mantle Plume. Chem. Geol. 2007, 243, 286–316. [Google Scholar] [CrossRef]
- Bogatikov, O.A.; Tsvetkov, A.A. Magmatic Evolution of Island Arcs; Nauka: Moscow, Russia, 1988; p. 249. (In Russian) [Google Scholar]
- Jahn, B.M.; Litvinovsky, B.A.; Zanvilevich, A.N. Peralkaline Granitoid Magmatism in the Mongolian-Transbaikalian Belt: Evolution, Petrogenesis and Tectonic Significance. Lithos 2009, 113, 521–539. [Google Scholar] [CrossRef]
- Nekrasov, I.Y. Magmatism and Ore-Bearing Capacity of Northeastern Verkhoyansk-Chukotka Folded Area; AN SSSR: Moscow, 1962; p. 334. (In Russian) [Google Scholar]
- Lesnov, F.P. Rare Earth Elements in Ultramafic and mafic rocks and Their Minerals. Book 1 The Main Types of Rocks. Rock-Forming Minerals; Geo: Novosibirsk, Russia, 2007; p. 401. (In Russian) [Google Scholar]
- Pirajno, F. Hydrothermal Processes and Mineral Systems; Springer: East Perth, Australia, 2009; p. 1273. ISBN 978-1-4020-8612-0. [Google Scholar]
- Baisalova, A.O. Features of Metasomatic Processes of Rare-Metal Manifestations of the Akzhailautas Granite Massif and Adjacent Areas. Ph.D. Thesis, Kazakh National Research Technical University, Alma-Aty, Kazakhstan, 2018. (In Russian). [Google Scholar]























| Sample | Rock | Zone | HfO2 | ZrO2 | SiO2 | ThO2 | Yb2O3 | P2O5 | Y2O3 | UO3 | Total | ZrO2/HfO2 |
|---|---|---|---|---|---|---|---|---|---|---|---|---|
| V28/2-1 | granite | center | 0.19 | 65.10 | 32.83 | 0 | 0 | 0.06 | 0.16 | 0 | 98.34 | 343 |
| V-28/2-2 | center | 0.64 | 65.68 | 32.51 | 0.03 | 0.05 | 0.10 | 0.37 | 0 | 99.37 | 103 | |
| middle | 0.83 | 65.84 | 32.75 | 0.11 | 0 | 0.08 | 0.32 | 0 | 99.94 | 79 | ||
| periphery | 1.05 | 64.74 | 32.92 | 0.09 | 0 | 0.19 | 0.51 | 0 | 99.49 | 62 | ||
| V28/2-3 | center | 1.01 | 63.50 | 36.09 | 0 | 0.06 | 0.05 | 0.58 | 0 | 101.29 | 63 | |
| middle | 1.19 | 62.02 | 35.66 | 0 | 0.17 | 0.11 | 0.75 | 0 | 99.90 | 52 | ||
| periphery | 1.51 | 63.19 | 35.49 | 0.02 | 0.05 | 0.07 | 0.74 | 0 | 101.07 | 42 | ||
| periphery | 1.81 | 62.83 | 35.67 | 0 | 0.07 | 0.11 | 0.70 | 0 | 101.20 | 35 | ||
| V28/2-4 | center | 1.49 | 49.67 | 31.32 | 0 | 0.61 | 0.67 | 1.00 | 0 | 99.75 | 33 | |
| middle | 1.86 | 49.54 | 33.28 | 0 | 0.61 | 0.54 | 1.35 | 0 | 100.17 | 27 | ||
| periphery | 8.87 | 56.72 | 31.73 | 0.13 | 0.85 | 0.61 | 1.26 | 0 | 100.16 | 6 | ||
| PR26/7a1 | granite | center | 1.43 | 62.12 | 34.37 | 0 | 0 | 0.10 | 0.34 | 0 | 96.35 | 43 |
| PR26/7a2 | center | 2.49 | 59.51 | 33.61 | 0.10 | 0.27 | 0.19 | 0.95 | 0 | 97.12 | 24 | |
| middle | 3.51 | 59.25 | 33.60 | 0.11 | 0.04 | 0.18 | 0.55 | 0 | 97.23 | 17 | ||
| middle | 3.63 | 59.17 | 33.87 | 0.02 | 0.12 | 0.10 | 0.39 | 0 | 97.30 | 16 | ||
| periphery | 4.63 | 58.91 | 33.78 | 0 | 0.08 | 0.24 | 0.74 | 0 | 98.38 | 13 | ||
| 2313/1 | granite | center | 2.26 | 66.60 | 30.28 | 0.01 | 0 | 0.13 | 0.31 | 0 | 99.59 | 29 |
| middle | 2.57 | 63.11 | 31.35 | 0.15 | 0.13 | 0.21 | 0.92 | 0 | 98.43 | 25 | ||
| periphery | 2.98 | 62.24 | 30.36 | 0.16 | 0.17 | 0.30 | 1.07 | 0 | 97.28 | 21 | ||
| Pr24/4a | albitite | center | 2.84 | 61.18 | 32.67 | 0.04 | 0.21 | 0.22 | 0.69 | 0 | 97.86 | 22 |
| middle | 3.50 | 59.79 | 33.45 | 0 | 0.14 | 0.08 | 0.46 | 0 | 97.41 | 17 | ||
| periphery | 6.06 | 58.62 | 32.73 | 0.12 | 0 | 0.11 | 0.60 | 0 | 98.24 | 9.7 | ||
| PRT14/3 | albitite | center | 5.49 | 60.92 | 32.72 | 0 | 0.25 | 0.28 | 0.34 | 0 | 100.01 | 11 |
| middle | 6.04 | 61.06 | 32.86 | 0 | 0.25 | 0.25 | 0.45 | 0 | 100.91 | 10 | ||
| periphery | 7.46 | 57.79 | 33.10 | 0 | 0.03 | 0.25 | 0.62 | 0 | 99.25 | 8 | ||
| PRT14/3 | albitite | center | 1.63 | 63.09 | 32.68 | 0.16 | 0.27 | 0.27 | 1.12 | 0 | 99.22 | 39 |
| middle | 4.21 | 58.25 | 32.69 | 0.09 | 0.34 | 0.41 | 1.23 | 0.02 | 97.25 | 14 | ||
| periphery | 6.59 | 58.65 | 33.43 | 0 | 0.08 | 0.25 | 0.78 | 0 | 99.78 | 9 | ||
| PR1/2b-1 | pegmatite | center | 17.00 | 49.38 | 1.72 | 0.09 | 0.36 | 0.40 | 1.24 | 0 | 100.20 | 3 |
| middle | 11.04 | 55.66 | 31.38 | 0.07 | 0.72 | 0.71 | 1.15 | 0 | 100.74 | 5 | ||
| middle | 14.60 | 51.34 | 32.17 | 0.03 | 0.41 | 0.53 | 1.08 | 0 | 100.15 | 3.5 | ||
| periphery | 20.27 | 48.16 | 31.57 | 0 | 0.19 | 0.30 | 0.92 | 0 | 101.41 | 2.4 | ||
| PR1/2b-2 | pegmatite | center | 16.31 | 47.16 | 32.84 | 0.02 | 0.38 | 0.69 | 1.50 | 0 | 98.91 | 2.9 |
| middle | 16.68 | 48.80 | 32.64 | 0.06 | 0.22 | 0.62 | 1.36 | 0 | 100.36 | 2.9 | ||
| periphery | 18.48 | 45.90 | 33.36 | 0 | 0.23 | 0.45 | 0.90 | 0 | 99.31 | 2.5 | ||
| PR1/2b-3 | pegmatite | center | 11.64 | 53.39 | 32.61 | 0.10 | 0.46 | 0.74 | 1.17 | 0 | 100.09 | 4.6 |
| middle | 34.15 | 32.94 | 31.40 | 0.05 | 0.05 | 0.29 | 1.12 | 0.35 | 100.36 | 1.1 | ||
| middle | 35.84 | 33.14 | 30.35 | 0.06 | 0.16 | 0.53 | 1.42 | 0.3 | 101.90 | 0.9 | ||
| periphery | 33.13 | 35.71 | 31.18 | 0.10 | 0.10 | 0.29 | 1.12 | 0 | 101.64 | 1.1 |
| Mineral | La2O3 | Ce2O3 | Nd2O3 | Eu2O3 | Y2O3 | Nb2O5 | UO2 | ThO2 | TiO2 | SiO2 | Al2O3 | CaO | Fe2O3 | P2O5 | Total |
|---|---|---|---|---|---|---|---|---|---|---|---|---|---|---|---|
| britholite * | 3.49 | 13.9 | 11.52 | 1.22 | 9.52 | 0.16 | 0.28 | 0.69 | 0.08 | 19.35 | 0.21 | 9.74 | 0.73 | 3.12 | 74.01 |
| britholite * | 3.87 | 16.07 | 12.13 | 1.35 | 9.4 | 0.28 | 0.31 | 0.92 | 0.06 | 19.93 | 0.19 | 10.74 | 0.76 | 3.77 | 79.77 |
| gadolinite | 0.62 | 3.66 | 1.93 | 0.38 | 28.72 | 0.29 | 0.18 | 0.55 | 0.12 | 23.49 | 0.31 | 1.18 | 8.81 | 0.14 | 70.38 |
| gadolinite | 0.87 | 4.84 | 2.93 | 0.54 | 28.98 | 0.41 | 0.21 | 0.7 | 0.17 | 23.75 | 0.32 | 1.15 | 9.43 | 0.18 | 74.47 |
| yttrialite * | 0.78 | 3.87 | 2.43 | 0.5 | 22.93 | 0.39 | 0.45 | 17.92 | 0.17 | 27.25 | 3.83 | 0.5 | 0.82 | 0.21 | 82.05 |
| yttrialite * | 1.03 | 3.81 | 1.7 | 0.45 | 24.56 | 0.43 | 0.52 | 20.68 | 0.22 | 2932 | 2.41 | 0.55 | 0.62 | 0.23 | 86.53 |
| monazite | 16.27 | 30.82 | 12.11 | 0.71 | 0.41 | 0.07 | 0.16 | 5.16 | 0.15 | 2.15 | 0.35 | 0.15 | 0.1 | 29.93 | 98.54 |
| monazite | 17.84 | 31.5 | 11.8 | 1 | 1.03 | 0.34 | 0.45 | 4.43 | 0.18 | 2.06 | 0.36 | 0.11 | 0.11 | 30.32 | 101.27 |
| allanite | 4.09 | 10.76 | 4.87 | 0.41 | 0.54 | 0.08 | 0.12 | 0.47 | 2.31 | 30.49 | 11.28 | 13.23 | 16. 61 | 0.04 | 95.3 |
| allanite | 8.47 | 11.01 | 3.27 | 0.25 | 0.12 | 0.06 | 0.1 | 0.56 | 1.57 | 33.51 | 13.38 | 11.06 | 16.04 | 0.03 | 99.43 |
| titanite | 0.2 | 1.58 | 1.59 | 0.22 | 3.11 | 1.22 | 0.03 | 0.23 | 34.01 | 28.77 | 1.46 | 20.31 | 1.83 | 0.22 | 94.78 |
| titanite | 0.14 | 1.31 | 0.99 | 0.24 | 3.4 | 0.97 | 0.03 | 0.44 | 33.61 | 28.51 | 2.05 | 22.15 | 2.26 | 0.13 | 96.25 |
| thorite | 0.14 | 0.32 | 0.17 | 0.09 | 0.52 | 0.14 | 2.14 | 74.11 | 0.03 | 16.96 | 0.53 | 1.15 | 0.35 | 0.49 | 97.14 |
| thorite | 0.21 | 0.86 | 0.07 | 0.07 | 0.54 | 0.67 | 2.75 | 72.79 | 0.03 | 16.7 | 0.48 | 0.92 | 0.95 | 0.84 | 97.88 |
| fergusonite * | 0.24 | 6.6 | 0.46 | 0.34 | 12.73 | 36.29 | 0.51 | 4.32 | 6.1 | 3.01 | 0.64 | 0.36 | 11.15 | 0.17 | 82.38 |
| aeschynite (Nd) * | 0.51 | 4.37 | 1.72 | 0.15 | 0.62 | 58.91 | 4.52 | 1.52 | 5.37 | 0.91 | 0.08 | 11.06 | 0.08 | 0.06 | 89.88 |
| aeschynite (Nd) * | 0.98 | 4.88 | 2.16 | 0.04 | 0.49 | 62.39 | 4.35 | 1.28 | 4.97 | 0.61 | 0 | 10.83 | 1.05 | 0.01 | 92.94 |
| aeschynite (Nd) * | 1.55 | 5.9 | 2.44 | 0.24 | 0.9 | 55.05 | 2.55 | 0.68 | 6.27 | 2.47 | 0.75 | 13.29 | 2.84 | 0.27 | 95.21 |
| chevkinite | 9.99 | 23.59 | 9.58 | 0.74 | 0.78 | 0.86 | 0.14 | 0.97 | 17.62 | 19.9 | 0.49 | 0.74 | 10.16 | 0.1 | 95.66 |
| chevkinite | 10.61 | 25.04 | 10.01 | 0.83 | 0.73 | 0.88 | 0.14 | 71 | 18.41 | 20.56 | 0.52 | 0.71 | 10.4 | 0.16 | 99.71 |
| Tommot | Somnitelnyi | Clarke, ppm | ||||||
|---|---|---|---|---|---|---|---|---|
| Elements | Ultrabasic Rocks | Gabbroids | Syenites | Granites | Ultrabasic Rocks | Gabbroids | Syenites | Granites |
| Cl, % | 400 | 400 | 600 | 1000 | 74 | 80 | 470 | 190 |
| F, % | 1000 | 1400 | 1000 | 1500 | 100 | 400 | 1200 | 820 |
| Li | 11 | 19 | 10 | 16 | 0.75 | 15 | 28 | 37 |
| Rb | 18 | 26 | 52 | 13 | 0.7 | 37 | 110 | 180 |
| Ba | 482 | 628 | 963 | 200 | 0.8 | 290 | 1600 | 750 |
| Sr | 863 | 1372 | 1620 | 70 | 7 | 460 | 200 | 150 |
| Cr | 58 | 34 | 26 | 24 | 2000 | 1800 | 2 | 5.6 |
| Ni | 75 | 32 | 12 | 10 | 200 | 140 | 4 | 3.5 |
| V | 315 | 192 | 33 | 13 | 42 | 240 | 30 | 38 |
| Co | 63 | 40 | 7 | 2 | 150 | 48 | 3 | 1 |
| Zr | 120 | 180 | 569 | 420 | 43 | 130 | 500 | 180 |
| Nb | 20 | 68 | 147 | 260 | 13 | 19 | 35 | 21 |
| La | 6.5 | 15.5 | 65 | 223 | 3.9 | 17 | 45 | 48 |
| Ce | 56 | 80 | 95 | 163 | 8.6 | 48 | 95 | 72 |
| Sm | 5.2 | 10 | 9 | 6 | 0.83 | 5.3 | 10 | 7.5 |
| Eu | 2 | 2.2 | 1.9 | 1 | 0.24 | 1.3 | 1.8 | 1.4 |
| Gd | 1 | 2 | 3.5 | 5.6 | 0.93 | 5.2 | 10 | 6.8 |
| Y | 28 | 32 | 27 | 55 | 2 | 23 | 17 | 50 |
| Yb | 3.4 | 3.3 | 3 | 4 | 0.48 | 2 | 4.3 | 4 |
| Tb | 0.5 | 1 | 1.5 | 1.6 | 0.2 | 0.83 | 1.6 | 1.1 |
| Lu | 0.2 | 0.3 | 16 | 1.7 | 0.068 | 0.5 | 1.2 | 0.9 |
| Hf | 7 | 9.9) | 13 | 30 | 0.46 | 2.6 | 11 | 3.9 |
| Sample | FT 4/5 | PT 7/1 | TR 117/1 | TR 114/2 | PR 8/1 | P 2313/2 | O 24/3 | PR 14/1 | K 106 | P 2350/3 | O 26/2 | R 2351/1 | PR 90/1 | O 24/2a | PR 26/2 |
|---|---|---|---|---|---|---|---|---|---|---|---|---|---|---|---|
| rock | granite | albitite | pegmatite | schists | fenitized granite gneiss | ||||||||||
| La | 90 | 180 | 160 | 130 | 180 | 530 | 60 | 1700 | 280 | 1400 | 46 | 8.5 | 80 | 430 | 320 |
| Ce | 64 | 120 | 70 | 100 | 120 | 270 | 70 | 700 | 140 | 650 | 120 | 14 | 56 | 320 | 170 |
| Pr | 6 | 14 | 7 | 7.5 | 9 | 25 | 5.5 | 60 | 10 | 40 | 4.8 | 1.3 | 3.8 | 42 | 14 |
| Nd | 28 | 55 | 27 | 26 | 33 | 100 | 30 | 230 | 40 | 170 | 16 | 4.2 | 18 | 150 | 63 |
| Sm | 10 | 25 | 7.5 | 8.5 | 10 | 15 | 17 | 25 | 16 | 30 | 5.5 | 1.5 | 8.5 | 45 | 20 |
| Eu | 1 | 2.8 | 0.8 | 0.6 | 1.3 | 1.3 | 1.8 | 2 | 2 | 2.4 | 0.5 | 0.1 | 1.5 | 3 | 2 |
| Gd | 17 | 100 | 10 | 5 | 35 | 22 | 100 | 34 | 55 | 100 | 5.5 | 0.6 | 40 | 230 | 85 |
| Tb | 2 | 30 | 0.5 | 1 | 3 | 1 | 200 | 3 | 3 | 1.5 | 2 | 0.5 | 1 | 0.5 | 0.5 |
| Dy | 7 | 13 | 3.2 | 3.8 | 7.5 | 4.3 | 13 | 8.5 | 9 | 7.3 | 5 | 0.3 | 10 | 22 | 12 |
| Ho | 1.8 | 5 | 3 | 0.7 | 2.2 | 0.7 | 8 | 1.2 | 2.8 | 2.2 | 0.8 | 0.2 | 3.2 | 15 | 4.4 |
| Er | 5 | 10 | 10 | 1.5 | 4.6 | 1.5 | 11 | 3.2 | 7 | 3.4 | 3 | 0.4 | 8 | 40 | 9 |
| Tm | 0.5 | 1.5 | 0.8 | 1.8 | 0.6 | 0.15 | 1.5 | 0.4 | 0.8 | 0.6 | 0.34 | 0.05 | 1 | 5 | 0.75 |
| Yb | 1.7 | 5 | 7 | 1.1 | 1.8 | 0.9 | 2.5 | 1.5 | 2.3 | 1.7 | 1.5 | 0.4 | 2.5 | 5.3 | 1.8 |
| Lu | 0.2 | 0.4 | 0.2 | 0.2 | 0.24 | 0.12 | 0.6 | 0.24 | 0.5 | 0.34 | 0.2 | 0.02 | 0.5 | 1.5 | 0.2 |
| Y | 15 | 56 | 8.5 | 8.5 | 23 | 13 | 23 | 15 | 180 | 10 | 13 | 5 | 17 | 40 | 17 |
| Zr | 418 | 320 | 912 | 507 | — | 36 | 527 | 209 | — | 571 | — | 582 | 2500 | 476 | |
| Hf | 6 | 4 | 1 | 35 | 6 | 3 | 14 | 8 | 1 | 80 | 21 | 1 | 3 | 170 | 4 |
| Ta | 3.8 | 3.8 | 2.1 | 1.7 | 3.5 | 2.5 | 3.5 | 7 | 12 | 7 | 3.3 | 5 | 2.2 | 14 | 5.2 |
| Nb | 4. | 50 | 180 | 12 | 100 | 12 | 120 | 100 | 37 | 200 | 38 | 1.5 | 80 | 360 | 140 |
| Be | 50 | 30 | 5 | 10 | 30 | 10 | 15 | 10 | 3 | 50 | 2 | 5 | 1 | 20 | 20 |
| Ore Body | HREE Total | La2O5 | Ce2O3 | Yb2O3 | Y2O3 | ThO2 | ZrO2 | Ta2O5 | Nb2O5 | BeO |
|---|---|---|---|---|---|---|---|---|---|---|
| 1 | 0.5 | 0.09 | 0.16 | — | 0.58 | 0.03 | 0.4 | 005 | — | — |
| 2 | 0.23 | 0.09 | 0.63 | — | 0.82 | — | — | — | — | — |
| 3 | 0.22 | 0.37 | 3.13 | 0.025 | 3.99 | — | — | 0.015 | 0.05 | 0.017 |
| 4 | 1.18 | 0.5 | 4.4 | 0.28 | 1.01 | 1.55 | 0.88 | 0.016 | 0.25 | 0.38 |
| 5 | 1.06 | 0.12 | 0.61 | 0.82 | 0.32 | 0.044 | 0.32 | 0.02 | 0.09 | 0.002 |
| 13 | 3.63 | 0.53 | 1.01 | 0.002 | 0.66 | 0.048 | 0.38 | 0.003 | 0.13 | 0.076 |
| 16 | 1.04 | 0.12 | 0.2 | 0.23 | 0.06 | 0.06 | 0.97 | — | 0.1 | 0.003 |
| 17 | 3.24 | 0.22 | 1 | — | 0.7 | 0.23 | 0.37 | 0.001 | 0.01 | 0.15 |
Publisher’s Note: MDPI stays neutral with regard to jurisdictional claims in published maps and institutional affiliations. |
© 2022 by the authors. Licensee MDPI, Basel, Switzerland. This article is an open access article distributed under the terms and conditions of the Creative Commons Attribution (CC BY) license (https://creativecommons.org/licenses/by/4.0/).
Share and Cite
Trunilina, V.A.; Prokopiev, A.V. Petrology of Granites of the Tommot Rare-Earth Ore Field (Verkhoyansk–Kolyma Orogenic Belt). Minerals 2022, 12, 1347. https://doi.org/10.3390/min12111347
Trunilina VA, Prokopiev AV. Petrology of Granites of the Tommot Rare-Earth Ore Field (Verkhoyansk–Kolyma Orogenic Belt). Minerals. 2022; 12(11):1347. https://doi.org/10.3390/min12111347
Chicago/Turabian StyleTrunilina, Vera A., and Andrei V. Prokopiev. 2022. "Petrology of Granites of the Tommot Rare-Earth Ore Field (Verkhoyansk–Kolyma Orogenic Belt)" Minerals 12, no. 11: 1347. https://doi.org/10.3390/min12111347
APA StyleTrunilina, V. A., & Prokopiev, A. V. (2022). Petrology of Granites of the Tommot Rare-Earth Ore Field (Verkhoyansk–Kolyma Orogenic Belt). Minerals, 12(11), 1347. https://doi.org/10.3390/min12111347

