Distribution of Glycerol Dialkyl Glycerol Tetraethers (GDGTs) in Carbonate-Type and Sulfate-Type Lacustrine Sediments: Insight into the Influence of Ionic Composition on GDGTs †
Abstract
1. Introduction
2. Materials and Methods
2.1. Study Areas
2.2. Analysis of Hydrochemical Parameters
2.3. Analysis of Total Organic Carbon (TOC) and the C/N Ratio
2.4. X-ray Diffraction Analysis
2.5. Analysis of Lipids
2.6. GDGT-Based Indices
2.7. Statistical Analysis
3. Results and Discussion
3.1. Hydrochemical Parameters and TOC of Lake Sediments
3.2. Concentrations and Distribution Patterns of isoGDGTs
3.3. Concentrations and Distribution Patterns of brGDGTs
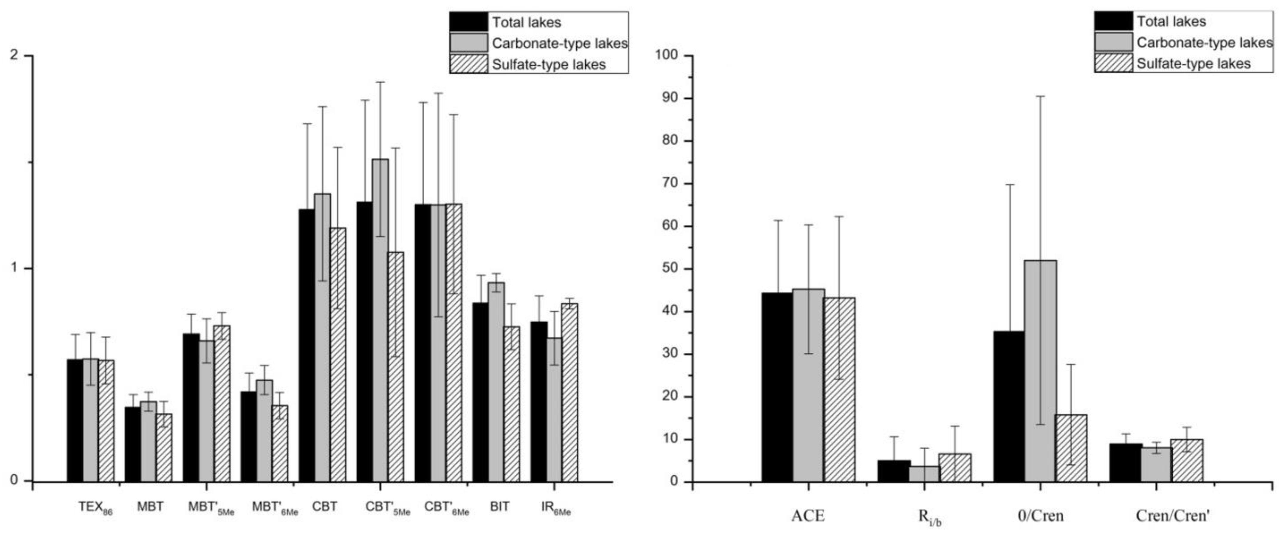
3.4. GDGT Proxies
3.5. The Influence of Saline Lake Type on GDGTs
3.5.1. Relationships between GDGTs and Hydrochemical Parameters in Surface Sediments
3.5.2. Relationships between GDGTs and Mineralogy Characteristics in Surface Sediments
3.6. Performance of GDGT Proxies
3.6.1. BIT
3.6.2. Reconstruction of LST Based on TEX86
3.6.3. Reconstructed Temperature Based on the brGDGTs Indices
4. Conclusions
Supplementary Materials
Author Contributions
Funding
Data Availability Statement
Acknowledgments
Conflicts of Interest
References
- Gleixner, G.; Mügler, I. Compound-Specific Hydrogen Isotope Ratios of Biomarkers: Tracing Climatic Changes in the Past. In Terrestrial Ecology; Elsevier: Amsterdam, The Netherlands, 2007; pp. 249–265. [Google Scholar]
- Naafs, B.D.A.; Inglis, G.N.; Blewett, J.; McClymont, E.L.; Lauretano, V.; Xie, S.; Evershed, R.P.; Pancost, R.D. The potential of biomarker proxies to trace climate, vegetation, and biogeochemical processes in peat: A review. Glob. Planet. Change 2019, 179, 57–79. [Google Scholar] [CrossRef]
- Thompson, L.G.; Yao, T.; Mosley-Thompson, E.; Davis, M.E.; Henderson, K.A.; Lin, P.-N. A High-Resolution Millennial Record of the South Asian Monsoon from Himalayan Ice Cores. Science 2000, 289, 1916–1919. [Google Scholar] [CrossRef]
- Esper, J.; Schweingruber, F.H.; Winiger, M. 1300 years of climatic history for Western Central Asia inferred from tree-rings. Holocene 2002, 12, 267–277. [Google Scholar] [CrossRef]
- Wang, G.; Wang, Y.L.; Wei, Z.F.; He, W.; Zhang, T.; Ma, X.Y. Geochemical records of Qionghai Lake sediments in southwestern China linked to late Quaternary climate changes. Palaeogeogr. Palaeoclimatol. Palaeoecol. 2020, 560, 109902. [Google Scholar] [CrossRef]
- Schouten, S.; Hopmans, E.C.; Sinninghe Damsté, J.S. The organic geochemistry of glycerol dialkyl glycerol tetraether lipids: A review. Org. Geochem. 2013, 54, 19–61. [Google Scholar] [CrossRef]
- Wang, H.; Liu, W.; Zhang, C.; Wang, Z.; Wang, J.; Liu, Z.; Dong, H. Distribution of glycerol dialkyl glycerol tetraethers in surface sediments of Lake Qinghai and surrounding soil. Org. Geochem. 2012, 47, 78–87. [Google Scholar] [CrossRef]
- Petrick, B.; Reuning, L.; Martínez-García, A. Distribution of Glycerol Dialkyl Glycerol Tetraethers (GDGTs) in Microbial Mats From Holocene and Miocene Sabkha Sediments. Front. Earth Sci. 2019, 7, 310. [Google Scholar] [CrossRef]
- Leininger, S.; Urich, T.; Schloter, M.; Schwark, L.; Qi, J.; Nicol, G.W.; Prosser, J.I.; Schuster, S.C.; Schleper, C. Archaea predominate among ammonia-oxidizing prokaryotes in soils. Nature 2006, 442, 806–809. [Google Scholar] [CrossRef]
- Sinninghe Damsté, J.S.; Hopmans, E.C.; Pancost, R.D.; Schouten, S.; Geenevasen, J.A.J. Newly discovered non-isoprenoid glycerol dialkyl glycerol tetraether lipids in sediments. Chem. Commun. 2000, 17, 1683–1684. [Google Scholar] [CrossRef]
- Sinninghe Damsté, J.S.; Ossebaar, J.; Schouten, S.; Verschuren, D. Distribution of tetraether lipids in the 25-ka sedimentary record of Lake Challa: Extracting reliable TEX86 and MBT/CBT palaeotemperatures from an equatorial African lake. Quat. Sci. Rev. 2012, 50, 43–54. [Google Scholar] [CrossRef]
- Sinninghe Damsté, J.S.; Rijpstra, W.I.C.; Hopmans, E.C.; Jung, M.-Y.; Kim, J.-G.; Rhee, S.-K.; Stieglmeier, M.; Schleper, C. Intact polar and core glycerol dibiphytanyl glycerol tetraether lipids of Group I.1a and I.1b Thaumarchaeota in soil. Appl. Environ. Microb. 2012, 78, 6866–6874. [Google Scholar] [CrossRef] [PubMed]
- Weijers, J.W.H.; Schouten, S.; van den Donker, J.C.; Hopmans, E.C.; Sinninghe Damsté, J.S. Environmental controls on bacterial tetraether membrane lipid distribution in soils. Geochim. Cosmochim. Acta 2007, 71, 703–713. [Google Scholar] [CrossRef]
- Schouten, S.; Hopmans, E.C.; Schefuß, E.; Sinninghe Damsté, J.S. Distributional variations in marine crenarchaeotal membrane lipids: A new tool for reconstructing ancient sea water temperatures? Earth Planet. Sci. Lett. 2002, 204, 265–274. [Google Scholar] [CrossRef]
- De Jonge, C.; Hopmans, E.C.; Zell, C.I.; Kim, J.-H.; Schouten, S.; Sinninghe Damsté, J.S. Occurrence and abundance of 6-methyl branched glycerol dialkyl glycerol tetraethers in soils: Implications for palaeoclimate reconstruction. Geochim. Cosmochim. Acta 2014, 141, 97–112. [Google Scholar] [CrossRef]
- Powers, L.A.; Werne, J.P.; Vanderwoude, A.J.; Sinninghe Damsté, J.S.; Hopmans, E.C.; Schouten, S. Applicability and calibration of the TEX86 paleothermometer in lakes. Org. Geochem. 2010, 41, 404–413. [Google Scholar] [CrossRef]
- Tierney, J.E.; Russell, J.M.; Eggermont, H.; Hopmans, E.; Verschuren, D.; Sinninghe Damsté, J.S. Environmental controls on branched tetraether lipid distributions in tropical East African lake sediments. Geochim. Cosmochim. Acta 2010, 74, 4902–4918. [Google Scholar] [CrossRef]
- Pearson, E.J.; Juggins, S.; Talbot, H.M.; Weckström, J.; Rosén, P.; Ryves, D.B.; Roberts, S.J.; Schmidt, R. A lacustrine GDGT-temperature calibration from the Scandinavian Arctic to Antarctic: Renewed potential for the application of GDGT-paleothermometry in lakes. Geochim. Cosmochim. Acta 2011, 75, 6225–6238. [Google Scholar] [CrossRef]
- Loomis, S.E.; Russell, J.M.; Ladd, B.; Street-Perrott, F.A.; Sinninghe Damsté, J.S. Calibration and application of the branched GDGT temperature proxy on East African lake sediments. Earth Planet. Sci. Lett. 2012, 357-358, 277–288. [Google Scholar] [CrossRef]
- Peterse, F.; van der Meer, J.; Schouten, S.; Weijers, J.W.; Fierer, N.; Jackson, R.B.; Kim, J.-H.; Sinninghe Damsté, J.S. Revised calibration of the MBT-CBT paleotemperature proxy based on branched tetraether membrane lipids in surface soils. Geochim. Cosmochim. Acta 2012, 96, 215–229. [Google Scholar] [CrossRef]
- Xie, S.; Pancost, R.D.; Chen, L.; Evershed, R.P.; Yang, H.; Zhang, K.; Huang, J.; Xu, Y. Microbial lipid records of highly alkaline deposits and enhanced aridity associated with significant uplift of the Tibetan Plateau in the Late Miocene. Geology 2012, 40, 291–294. [Google Scholar] [CrossRef]
- Liu, W.; Wang, H.; Zhang, C.L.; Liu, Z.; He, Y. Distribution of glycerol dialkyl glycerol tetraether lipids along an altitudinal transect on Mt. Xiangpi, NE Qinghai-Tibetan Plateau, China. Org. Geochem. 2013, 57, 76–83. [Google Scholar] [CrossRef]
- Yang, H.; Pancost, R.D.; Dang, X.; Zhou, X.; Evershed, R.P.; Xiao, G.; Tang, C.; Gao, L.; Guo, Z.; Xie, S. Correlations between microbial tetraether lipids and environmental variables in Chinese soils: Optimizing the paleoreconstructions in semi-arid and arid regions. Geochim. Cosmochim. Acta 2014, 126, 49–69. [Google Scholar] [CrossRef]
- Yang, H.; Lü, X.; Ding, W.; Lei, Y.; Dang, X.; Xie, S. The 6-methyl branched tetraethers significantly affect the performance of the methylation index (MBT’) in soils from an altitudinal transect at Mount Shennongjia. Org. Geochem. 2015, 82, 42–53. [Google Scholar] [CrossRef]
- Foster, L.C.; Pearson, E.J.; Juggins, S.; Hodgson, D.A.; Saunders, K.M.; Verleyen, E.; Roberts, S.J. Development of a regional glycerol dialkyl glycerol tetraether (GDGT)–temperature calibration for Antarctic and sub-Antarctic lakes. Earth Planet. Sci. Lett. 2016, 433, 370–379. [Google Scholar] [CrossRef]
- Naafs, B.D.A.; Gallego-Sala, A.V.; Inglis, G.N.; Pancost, R.D. Refining the global branched glycerol dialkyl glycerol tetraether (brGDGT) soil temperature calibration. Org. Geochem. 2017, 106, 48–56. [Google Scholar] [CrossRef]
- Dang, X.; Ding, W.; Yang, H.; Pancost, R.D.; David, B.; Naafs, A.; Xue, J.; Lin, X.; Lu, J.; Xie, S. Different temperature dependence of the bacterial brGDGT isomers in 35 Chinese lake sediments compared to that in soils. Org. Geochem. 2018, 119, 72–79. [Google Scholar] [CrossRef]
- Bradley, R.S. Paleoclimatology: Reconstructing Climates of the Quaternary; Academic Press: Cambridge, MA, USA, 2014; Volume 4, pp. 11–13. [Google Scholar]
- Last, W.M.; Smol, S.P. Tracking Environmental Change Using Lake Sediments. Volume 2: Physical and Geochemical Method; Springer: Berlin/Heidelberg, Germany, 2002. [Google Scholar]
- Castañeda, I.S.; Schouten, S. A review of molecular organic proxies for examining modern and ancient lacustrine environments. Quat. Sci. Rev. 2011, 30, 2851–2891. [Google Scholar] [CrossRef]
- Nurgul, B.; Yagmur, G.; Jérôme, K.; Sena, A.O.; Kadir, E.; Bradley, G.; Briony, H.N.H. Biotic and Abiotic Imprints on Mg- Rich Stromatolites: Lessons from Lake Salda, SW Turkey. Geomicrobiol. J. 2020, 37, 401–425. [Google Scholar]
- Fawcett, P.J.; Werne, J.P.; Anderson, R.S.; Heikoop, J.M.; Brown, E.T.; Berke, M.A.; Smith, S.J.; Goff, F.; Donohoo-Hurley, L.; Cisneros-Dozal, L.M.; et al. Extended megadroughts in the southwestern United States during Pleistocene interglacials. Nature 2011, 470, 518–521. [Google Scholar] [CrossRef]
- Wu, X.; Dong, H.; Zhang, C.; Liu, X.; Hou, W.; Zhang, J.; Jiang, H. Evaluation of glycerol dialkyl glycerol tetraether proxies for reconstruction of the paleo-environment on the Qinghai-Tibetan Plateau. Org. Geochem. 2013, 61, 45–56. [Google Scholar] [CrossRef]
- Blaga, C.I.; Reichart, G.-J.; Heiri, O.; Sinninghe Damsté, J.S. Tetraether membrane lipid distributions in water-column particulate matter and sediments: A study of 47 European lakes along a north–south transect. J. Paleolimnol. 2009, 41, 523–540. [Google Scholar] [CrossRef]
- Naeher, S.; Peterse, F.; Smittenberg, R.H.; Niemann, H.; Zigah, P.K.; Schubert, C.J. Sources of glycerol dialkyl glycerol tetraethers (GDGTs) in catchment soils, water column and sediments of Lake Rotsee (Switzerland) -implications for the application of GDGT-based proxies for lakes. Org. Geochem. 2014, 66, 164–173. [Google Scholar] [CrossRef]
- He, Y.; Wang, H.; Meng, B.; Liu, H.; Zhou, A.; Song, M.; Kolpakova, M.; Krivonogov, S.; Liu, W.; Liu, Z. Appraisal of alkenone- and archaeal ether-based salinity indicators in mid-latitude Asian lakes. Earth Planet. Sci. Lett. 2020, 538, 116236. [Google Scholar] [CrossRef]
- De Jonge, C.; Kuramae, E.E.; Radujković, D.; Weedon, J.T.; Janssens, I.A.; Peterse, F. The influence of soil chemistry on branched tetraether lipids in mid- and high latitude soils: Implications for brGDGT-based paleothermometry. Geochim. Cosmochim. Acta 2021, 310, 95–112. [Google Scholar] [CrossRef]
- Halffman, R.; Lembrechts, J.; Radujković, D.; De Gruyter, J.; Nijs, I.; De Jonge, C. Soil chemistry, temperature and bacterial community composition drive brGDGT distributions along a subarctic elevation gradient. Org. Geochem. 2022, 163, 104346. [Google Scholar] [CrossRef]
- Zang, J.; Lei, Y.; Yang, H. Distribution of glycerol ethers in Turpan soils: Implications for use of GDGT-based proxies in hot and dry regions. Front. Earth Sci. 2018, 12, 862–876. [Google Scholar] [CrossRef]
- Sun, Q.; Chu, G.; Liu, M.; Xie, M.; Li, S.; Ling, Y.; Wang, X.; Shi, L.; Jia, G.; Lü, H. Distributions and temperature dependence of branched glycerol dialkyl glycerol tetraethers in recent lacustrine sediments from China and Nepal. J. Geophys. Res.-Biogeosci. 2011, 116, G01008. [Google Scholar]
- Shanahan, T.M.; Hughen, K.A.; Van Mooy, B.A.S. Temperature sensitivity of branched and isoprenoid GDGTs in Arctic lakes. Org. Geochem. 2013, 64, 119–128. [Google Scholar] [CrossRef]
- Kou, Q.; Zhu, L.; Ju, J.; Wang, J.; Xu, T.; Li, C.; Ma, Q. Influence of salinity on glycerol dialkyl glycerol tetraether-based indicators in Tibetan Plateau lakes: Implications for paleotemperature and paleosalinity reconstructions. Palaeogeogr. Palaeoclimatol. Palaeoecol. 2022, 601, 111127. [Google Scholar] [CrossRef]
- Li, J.; Naafs, B.D.A.; Pancost, R.D.; Yang, H.; Liu, D.; Xie, S. Distribution of branched tetraether lipids in ponds from Inner Mongolia, NE China: Insight into the source of brGDGTs. Org. Geochem. 2017, 112, 127–136. [Google Scholar] [CrossRef]
- Martínez-Sosa, P.; Tierney, J.E.; Stefanescu, I.C.; Dearing Crampton-Flood, E.; Shuman, B.N.; Routson, C. A global Bayesian temperature calibration for lacustrine brGDGTs. Geochim. Cosmochim. Acta 2021, 305, 87–105. [Google Scholar] [CrossRef]
- Raberg, J.H.; Harning, D.J.; Crump, S.E.; De Wet, G.; Blumm, A.; Kopf, S.; Geirsdóttir, Á.; Miller, G.H.; Sepúlveda, J. Revised fractional abundances and warm-season temperatures substantially improve brGDGT calibrations in lake sediments. Biogeosciences 2021, 18, 3579–3603. [Google Scholar] [CrossRef]
- Wang, H.; Liu, W.; He, Y.; Zhou, A.; Zhao, H.; Liu, H.; Cao, Y.; Hu, J.; Meng, B.; Jiang, J.; et al. Salinity-controlled isomerization of lacustrine brGDGTs impacts the associated MBT5ME’ terrestrial temperature index. Geochim. Cosmochim. Acta 2021, 305, 33–48. [Google Scholar] [CrossRef]
- Kezao, C.; Bowler, J.M. Late Pleistocene evolution of salt lakes in the Qaidam Basin, Qinghai province, China. Palaeogeogr. Palaeoclimatol. Palaeoecol. 1986, 54, 87–104. [Google Scholar] [CrossRef]
- Rhodes, T.E.; Gasse, F.; Lin, R.; Fontes, J.-C.; Wei, K.; Bertrand, P.; Gibert, E.; Mélières, F.; Tucholka, P.; Wang, Z.; et al. A late Pleistocene-Holocene lacustrine record from lake Manas, Zunggar (Northern Xinjiang, Western China). Palaeogeogr. Palaeoclimatol. Palaeoecol. 1996, 120, 105–121. [Google Scholar] [CrossRef]
- Günther, F.; Thiele, A.; Gleixner, G.; Xu, B.; Yao, T.; Schouten, S. Distribution of bacterial and archaeal ether lipids in soils and surface sediments of Tibetan lakes: Implications for GDGT-based proxies in saline high mountain lakes. Org. Geochem. 2014, 67, 19–30. [Google Scholar] [CrossRef]
- Li, J.; Pancost, R.D.; Naafs, B.D.A.; Yang, H.; Zhao, C.; Xie, S. Distribution of glycerol dialkyl glycerol tetraether (GDGT) lipids in a hypersaline lake system. Org. Geochem. 2016, 99, 113–124. [Google Scholar] [CrossRef]
- Valyashko, M.G. Genesis of Brines in the Sedimentary Cove; Akad. Nauk SSSR: Moscow, Russia, 1963; pp. 253–278. [Google Scholar]
- Eugster, H.P. Lake Magadi, Kenya, and its precursors. In Hypersaline Brines and Evaporitic Environments; Nissenbaum, A., Ed.; Elsevier: Amsterdam, The Netherlands, 1980; pp. 195–232. [Google Scholar]
- Zheng, X.Y. Salt Saline Lakes of Inner Mongolia; Science Press: Beijing, China, 1992. [Google Scholar]
- Zheng, X.Y. Saline Lakes of China Salt; Science Press: Beijing, China, 2002. [Google Scholar]
- Li, W.; Zhang, Y.Y.; Ni, M.J.; Tang, W.B. Genesisi of alkaline lacustrine deposits in the Lower Permian Fencheng Formation of the Mahu Sag, northwestern Junggar Basin: Insight from a comparison with the worldwide alkaline lacustrine deposits. Acta Geol. Sin. 2020, 94, 1839–1852. [Google Scholar]
- Qi, W.; Wu, J.; Xia, Y.; Zhang, X.; Li, Z.; Chang, J.; Bai, J. Influence of ionic composition on minerals and source rocks: An investigation between carbonate-type and sulfate-type lacustrine sediments based on hydrochemical classification. Mar. Pet. Geol. 2021, 130, 105099. [Google Scholar] [CrossRef]
- Kennedy, M.J.; Löhr, S.C.; Fraser, S.A.; Baruch, E.T. Direct evidence for organic carbon preservationas clay-organic nanocomposites in a Devonian black shale; from deposition to diagenesis. Earth Planet. Sci. Lett. 2014, 388, 59–70. [Google Scholar] [CrossRef]
- Rahman, H.M.; Kennedy, M.; Löhr, S.; Dewhurst, D.N.; Sherwood, N.; Yang, S.; Horsfield, B. The influence of shale depositional fabric on the kinetics of hydrocarbon generation through control of mineral surface contact area on clay catalysts. Geochim. Cosmochim. Acta 2018, 220, 429–448. [Google Scholar] [CrossRef]
- Dearing Crampton-Flood, E.; Tierney, J.E.; Peterse, F.; Kirkels, F.M.; Damste, J.S.S. Baymbt: A bayesian calibration model for branched glycerol dialkyl glycerol tetraethers in soils and peats. Geochim. Cosmochim. Acta. 2020, 68, 142–159. [Google Scholar] [CrossRef]
- Cao, J.; Rao, Z.; Shi, F.; Jia, G. Ice formation on lake surfaces in winter causes warm-season bias of lacustrine brGDGT temperature estimates. Biogeosciences 2020, 17, 2521–2536. [Google Scholar] [CrossRef]
- Zhang, S.; Zhang, S.; Chen, Y.; Chen, B.; Lei, T. Distribution characteristics, source identification, and risk assessment of heavy metals in surface sediments of the salt lakes in the Ordos Plateau, China. Environ. Sci. Pollut. Res. 2022, 216, 1–13. [Google Scholar] [CrossRef] [PubMed]
- Huguet, C.; Hopmans, E.C.; Febo-Ayala, W.; Thompson, D.H.; Sinninghe Damsté, J.S.; Schouten, S. An improved method to determine the absolute abundance of glycerol dibiphytanyl glycerol tetraether lipids. Org. Geochem. 2006, 37, 1036–1041. [Google Scholar] [CrossRef]
- Bao, Y. Study on Correlation between Phytoplankton Community Structure and its Environmental Factors in the Hamatai Lake and Chahannaoer Lake in Etuoke; Inner Mongolia Normal University: Hohhot, China, 2018; p. 27. [Google Scholar]
- Cao, J.; Xia, L.; Wang, T.; Zhi, D.; Tang, Y.; Li, W. An alkaline lake in the Late Paleozoic Ice Age (LPIA): A review and new insights into paleoenvironment and hydrocarbon potential. Earth-Sci. Rev. 2020, 202, 103091. [Google Scholar] [CrossRef]
- Kanzaki, Y.; Brantley, S.L.; Kump, L.R. A numerical examination of the effect of sulfide dissolution on silicate weathering. Earth Planet. Sci. Lett. 2020, 539, 116239. [Google Scholar] [CrossRef]
- Sudhir, P.; Murthy, S.D.S. Effects of salt stress on basic processes of photosynthesis. Photosynthetica 2004, 42, 481–486. [Google Scholar] [CrossRef]
- Rasool, S.; Hameed, A.; Azooz, M.M.; Muneeb-u-Rehman; Siddiqi, T.O.; Ahmad, P. Salt stress: Causes, types and responses of plants. In Ecophysiology and Responses of Plants under Salt Stress; Springer: New York, NY, USA, 2013; pp. 1–24. [Google Scholar]
- Matsui, T.; Kojima, H.; Fukui, M. Effects of temperature on anaerobic decomposition of high-molecular weight organic matter under sulfate-reducing conditions. Estuar. Coast. Shelf Sci. 2013, 119, 139–144. [Google Scholar] [CrossRef]
- Chukwuma, K.; Tsikos, H.; Wagner, N. Control of variability of primary grain assemblages on the stratigraphic differences in diagenetic processes and products in organic-rich sediments. Sediment. Geol. 2021, 422, 105966. [Google Scholar] [CrossRef]
- Moal-Darrigade, P.; Ducassou, E.; Bout-Roumazeilles, V.; Hanquiez, V.; Perello, M.-C.; Mulder, T.; Giraudeau, J. Source-to-sink pathways of clay minerals in the cadiz contourite system over the last 25 kyrs: The segregational role of mediterranean outflow water. Mar. Geol. 2022, 443, 106697. [Google Scholar] [CrossRef]
- Novikau, R.; Lujaniene, G. Adsorption behaviour of pollutants: Heavy metals, radionuclides, organic pollutants, on clays and their minerals (raw, modified and treated): A review. J. Environ. Manag. 2022, 309, 114685. [Google Scholar] [CrossRef] [PubMed]
- Tierney, J.E.; Russel, J.M. Distributions of branched GDGTs in a tropical lake system: Implications for lacustrine application of the MBT/CBT paleoproxy. Org. Geochem. 2009, 40, 1032–1036. [Google Scholar] [CrossRef]
- Bechtel, A.; Smittenberg, R.H.; Bernasconi, S.M.; Schubert, C.J. Distribution of branched and isoprenoid tetraether lipids in an oligotrophic and a eutrophic Swiss lake: Insights into sources and GDGT-based proxies. Org. Geochem. 2010, 41, 822–832. [Google Scholar] [CrossRef]
- Sinninghe Damsté, J.S.; Ossebaar, J.; Abbas, B.; Schouten, S.; Verschuren, D. Fluxes and distribution of tetraether lipids in an equatorial African lake: Constraints on the application of the TEX86 palaeothermometer and BIT index in lacustrine settings. Geochim. Cosmochim. Acta 2009, 73, 4232–4249. [Google Scholar] [CrossRef]
- Tierney, J.E.; Mayes, M.T.; Meyer, N.; Johnson, C.; Swarzenski, P.W.; Cohen, A.S.; Russell, J.M. Late-twentieth-century warming in Lake Tanganyika unprecedented since AD 500. Nat. Geosci. 2010, 3, 422–425. [Google Scholar] [CrossRef]










| Name | Location | Altitude(m) | Eight Main Ions Concentration (mg/L) | Type | Conductivity(ms/cm) | Salinity b (‰) b | TDS(ppm) | pH | TOC(%) | C/N Ratio | |||||||
|---|---|---|---|---|---|---|---|---|---|---|---|---|---|---|---|---|---|
| K+ | Na+ | Ca2+ | Mg2+ | Cl− | SO42− | CO32− | HCO3− | ||||||||||
| HH | N: 38°56’13.38″ | 1378 | 103.1 | 457.7 | 4.9 | 0.5 | 387.4 | 393.4 | 110.0 | 29.9 | Carbonate-type lake | 2.4 | 1.49 | 1140 | 9.1 | 0.03 | 0.8 |
| E: 108°21’31.32” | |||||||||||||||||
| DL | N: 39°28’36.06” | 1336 | 28.2 | 380.1 | 24.9 | 4.3 | 27.7 | 756.4 | 125.7 | 71.9 | Carbonate-type lake | 1.8 | 1.42 | 852 | 8.2 | 0.02 | 0.5 |
| E: 108°24’41.70” | |||||||||||||||||
| NL | N: 38°40′52.10” | 1344 | 2.9 | 547.4 | 0.0 | 84.4 | 269.5 | 237.0 | 120.0 | 4027.3 | Carbonate-type lake | 0.8 | 5.29 | 422 | 10.1 | 0.06 | 1.1 |
| E: 108°18’49.32” | |||||||||||||||||
| HM | N: 39°05’57.94” | 1353 | 274.2 | 36857.4 | 3.7 | 24.1 | 132,021.0 | 9729.5 | 22,107.4 | 18000.9 | Carbonate-type lake | 99.3 | 219.02 | 49,600 | 9.3 | 0.02 | 3.5 |
| E: 108°02’32.46” | |||||||||||||||||
| SU | N: 39°17’33.24” | 1334 | 101.6 | 392.9 | 185.3 | 1629.3 | 242.5 | 222.0 | 600.2 | 1322.1 | Carbonate-type lake | 1.2 | 4.70 | 580 | 9.8 | 0.06 | 2.8 |
| E: 109°01’16.20’’ | |||||||||||||||||
| HD | N: 38°59’46.44” | 1364 | 698.3 | 8219.4 | 22.8 | - | 5422.6 | 1191.6 | 5238.4 | - | Carbonate-type lake | 29.6 | 20.79 | 13,980 | 11.0 | 0.02 | 0.8 |
| E: 108°18’38.46” | |||||||||||||||||
| DK | N: 39°25’35.76” | 1342 | 106.3 | 3004.7 | 2.9 | - | 1521.7 | 970.0 | 1751.0 | 523.6 | Carbonate-type lake | 11.6 | 7.88 | 5140 | 10.4 | 0.19 | 5.7 |
| E: 108°39’12.78” | |||||||||||||||||
| WH | N: 38°21’41.70” | 1299 | 160.1 | 6830.9 | 1175.1 | 281.1 | 109,638.1 | 61,685.2 | - | 79.9 | Sulfate-type lake | 185.9 | 179.85 | 14,550 | 7.5 | 0.97 | 19.9 |
| E: 107°26’45.96” | |||||||||||||||||
| GC | N: 37°44′34.64” | 1301 | 43.3 | 21629.4 | 670.4 | 1155.8 | 59,227.0 | 26,200.0 | - | 610.2 | Sulfate-type lake | 53.2 | 109.54 | 26,600 | 8.5 | 0.11 | 7.8 |
| E: 107°31′21.55” | |||||||||||||||||
| LN | N: 37°38’27.30” | 1311 | 310.1 | 9429.6 | 867.3 | 3266.7 | 14,818.2 | 14,105.6 | 15.7 | 79.9 | Sulfate-type lake | 49.6 | 42.89 | 21,280 | 8.3 | 0.06 | 2.2 |
| E: 107°24’00.30” | |||||||||||||||||
| BL | N: 37°36’58.68” | 1326 | 199.1 | 11140.3 | 1160.1 | 2176.6 | 19,914.7 | 7290.5 | 39.3 | 47.9 | Sulfate-type lake | 57.4 | 41.97 | 26,750 | 8.2 | 0.32 | 14.7 |
| E: 107°24’29.46” | |||||||||||||||||
| LH | N: 37°36’10.92” | 1326 | 237.2 | 6394.5 | 1827.8 | 3703.7 | 18,235.7 | 8968.5 | 31.4 | 95.9 | Sulfate-type lake | 50 | 39.49 | 21,760 | 8.5 | 0.29 | 10.5 |
| E: 107°21’45.24” | |||||||||||||||||
| HY | N: 37°35’30.48” | 1332 | 115.6 | 7628.2 | 607.6 | 1929.0 | 8886.5 | 12,113.9 | 23.6 | 87.9 | Sulfate-type lake | 36.5 | 31.39 | 15,750 | 7.9 | 0.09 | 11.7 |
| E: 107°24’24.00” | |||||||||||||||||
Publisher’s Note: MDPI stays neutral with regard to jurisdictional claims in published maps and institutional affiliations. |
© 2022 by the authors. Licensee MDPI, Basel, Switzerland. This article is an open access article distributed under the terms and conditions of the Creative Commons Attribution (CC BY) license (https://creativecommons.org/licenses/by/4.0/).
Share and Cite
Chen, Y.; Zhang, X.; Qi, W.; Zhang, G.; Pei, Y.; Fang, X.; Xia, Y.; Zhang, S. Distribution of Glycerol Dialkyl Glycerol Tetraethers (GDGTs) in Carbonate-Type and Sulfate-Type Lacustrine Sediments: Insight into the Influence of Ionic Composition on GDGTs. Minerals 2022, 12, 1233. https://doi.org/10.3390/min12101233
Chen Y, Zhang X, Qi W, Zhang G, Pei Y, Fang X, Xia Y, Zhang S. Distribution of Glycerol Dialkyl Glycerol Tetraethers (GDGTs) in Carbonate-Type and Sulfate-Type Lacustrine Sediments: Insight into the Influence of Ionic Composition on GDGTs. Minerals. 2022; 12(10):1233. https://doi.org/10.3390/min12101233
Chicago/Turabian StyleChen, Yongxin, Xilong Zhang, Wen Qi, Gaoqing Zhang, Yu Pei, Xuan Fang, Yanqing Xia, and Shengyin Zhang. 2022. "Distribution of Glycerol Dialkyl Glycerol Tetraethers (GDGTs) in Carbonate-Type and Sulfate-Type Lacustrine Sediments: Insight into the Influence of Ionic Composition on GDGTs" Minerals 12, no. 10: 1233. https://doi.org/10.3390/min12101233
APA StyleChen, Y., Zhang, X., Qi, W., Zhang, G., Pei, Y., Fang, X., Xia, Y., & Zhang, S. (2022). Distribution of Glycerol Dialkyl Glycerol Tetraethers (GDGTs) in Carbonate-Type and Sulfate-Type Lacustrine Sediments: Insight into the Influence of Ionic Composition on GDGTs. Minerals, 12(10), 1233. https://doi.org/10.3390/min12101233

