Recovery of Valuable Metals from Nickel Smelting Slag Based on Reduction and Sulfurization Modification
Abstract
:1. Introduction
2. Materials and Methods
2.1. Materials
2.2. Experimental Methods
2.2.1. Reduction–Sulfurization Smelting
2.2.2. Flotation
2.2.3. Analytical Testing
3. Results and Discussion
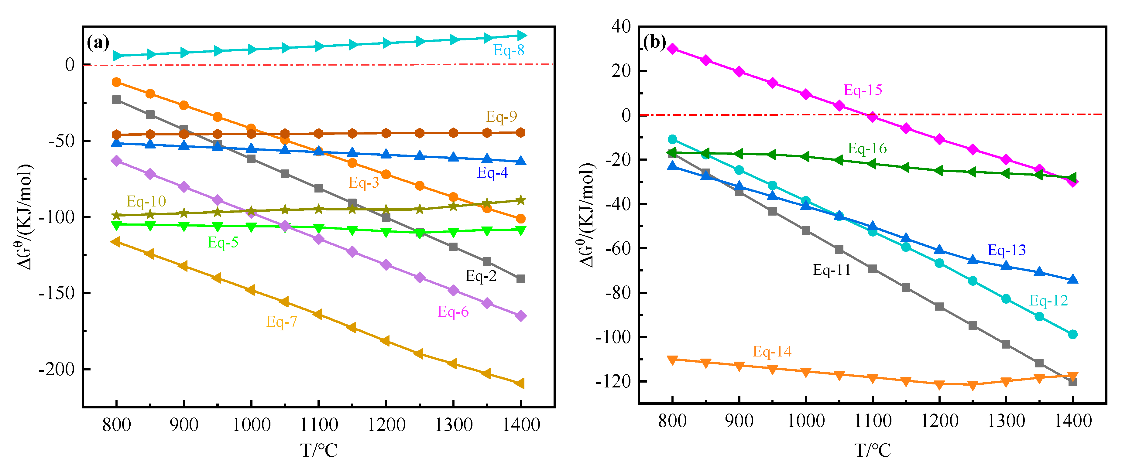
3.1. Thermodynamic Analysis
3.2. Flotation Experiment
3.2.1. The Influence of Carbon (Mixing)
3.2.2. The Influence of Carbon (Top Carbon)
3.2.3. The Influence of FeS2
4. Conclusions
- In this study, the main consideration was the recovery of nickel and copper. For top blowing slag, the nickel and copper contents are 1.81% and 0.69%, respectively. In the chemical phase, the proportion of nickel sulfide and nickel metal is 66.02%, and that of copper sulfide and copper metal is 79.1%. For settling slag, the nickel and copper contents are 0.88% and 0.31%, respectively. In the chemical phase, the proportion of nickel sulfide and nickel metal is 70.23%, and that of copper sulfide and copper metal is 79.66%. It is not easy to recover these metals using direct flotation.
- The nickel slag was modified by reduction and sulfurization. The proportion of nickel sulfide and nickel metal in the modified top blowing slag increased by 32.74% and the proportion of copper sulfide and copper metal increased by 18.13% compared with the raw slag. The proportion of nickel sulfide and nickel metal in the modified settling slag increased by 26.74%, and the proportion of copper sulfide and copper metal increased by 11.7% compared with the raw slag.
- In comparison with the direct flotation recovery of the raw slag, the recovery of nickel and copper in the top blowing slag can be increased by 23.03% and 14.63%, while those in the settling slag can be increased by 49.68% and 43.65% by flotation after modification.
- In comparison with the direct flotation recovery of the raw slag, the grade of tailings of nickel and copper in the top blowing slag can be decreased by 0.41% and 0.088%, while those in the settling slag can be decreased by 0.40% and 0.129% by flotation after modification.
Author Contributions
Funding
Data Availability Statement
Acknowledgments
Conflicts of Interest
References
- Marenych, O.; Kostryzhev, A. Strengthening Mechanisms in Nickel-Copper Alloys: A Review. Metals 2020, 10, 1358. [Google Scholar] [CrossRef]
- Patrick, J.; Prasetyo, A.B.; Munir, B.; Maksum, A.; Soedarsono, J.W. The effect of addition of sodium sulphate (Na2SO4) to nickel slag pyrometallurgical process with temperature and additives ratio as variables. In Proceedings of the 3rd International Tropical Renewable Energy Conference Sustainable Development of Tropical Renewable Energy, Bali, Indonesia, 6–8 September 2018. [Google Scholar]
- Yucel, O.; Turan, A.; Yildirim, H. Investigation of Pyrometallurgical Nickel Pig Iron (NPI) Production Process from Lateritic Nickel Ores. In Proceedings of the 3rd International Symposium on High-Temperature Metallurgical Processing; Wiley: Hoboken, NJ, USA, 2012; pp. 17–23. [Google Scholar]
- Mäkinen, T.; Taskinen, P. State of the art in nickel smelting: Direct Outokumpu nickel technology. Miner. Process. Extr. Metall. 2013, 117, 86–94. [Google Scholar] [CrossRef]
- Zhang, G.; Wang, N.; Chen, M.; Cheng, Y. Recycling Nickel Slag by Aluminum Dross: Iron-extraction and Secondary Slag Stabilization. ISIJ Int. 2020, 60, 602–609. [Google Scholar] [CrossRef] [Green Version]
- Wu, Q.; Wu, Y.; Tong, W.; Ma, H. Utilization of nickel slag as raw material in the production of Portland cement for road construction. Constr. Build. Mater. 2018, 193, 426–434. [Google Scholar] [CrossRef]
- Nyman, B.; Aaltonen, A.; Hultholm, S.-E.; Karpale, K. Application of new hydrometallurgical developments in the Outokumpu HIKO process. Hydrometallurgy 1992, 29, 461–478. [Google Scholar] [CrossRef]
- Davenport, W.G.; King, M.; Schlesinger, M.; Biswas, A.K. Chapter 5—Flash Smelting—Outokumpu Process1. In Extractive Metallurgy of Copper, 4th ed.; Davenport, W.G., Ed.; Pergamon: Oxford, UK, 2002; pp. 73–90. [Google Scholar]
- Guo, Z.; Pan, J.; Zhu, D.; Zhang, F. Green and efficient utilization of waste ferric-oxide desulfurizer to clean waste copper slag by the smelting reduction-sulfurizing process. J. Clean. Prod. 2018, 199, 891–899. [Google Scholar] [CrossRef]
- Dimitrijevic, M.; Kostov, A.; Tasić, V.; Milošević, N. Influence of pyrometallurgical copper production on the environment. J. Hazard. Mater. 2009, 164, 892–899. [Google Scholar] [CrossRef]
- Li, B.; Rong, T.; Du, X.; Shen, Y.; Shen, Y. Preparation of Fe3O4 particles with unique structures from nickel slag for enhancing microwave absorption properties. Ceram. Int. 2021, 47, 18848–18857. [Google Scholar] [CrossRef]
- Avarmaa, K.; Taskinen, P.; Klemettinen, L.; O’Brien, H.; Lindberg, D. Ni–Fe–Co alloy—Magnesia-iron-silicate slag equilibria and the behavior of minor elements Cu and P in nickel slag cleaning. J. Mater. Res. Technol. 2021, 15, 719–730. [Google Scholar] [CrossRef]
- Wang, Q.; Yu, C.; Yang, J.; Chong, L.; Xu, X.; Wu, Q. Influence of nickel slag powders on properties of magnesium potassium phosphate cement paste. Constr. Build. Mater. 2019, 205, 668–678. [Google Scholar] [CrossRef]
- Gbor, P.; Ahmed, I.; Jia, C. Behaviour of Co and Ni during aqueous sulphur dioxide leaching of nickel smelter slag. Hydrometallurgy 2000, 57, 13–22. [Google Scholar] [CrossRef]
- Gorai, B.; Jana, R. Premchand Characteristics and utilisation of copper slag—A review. Resour. Conserv. Recycl. 2003, 39, 299–313. [Google Scholar] [CrossRef]
- Guo, Z.; Zhu, D.; Pan, J.; Zhang, F. Innovative methodology for comprehensive and harmless utilization of waste copper slag via selective reduction-magnetic separation process. J. Clean. Prod. 2018, 187, 910–922. [Google Scholar] [CrossRef]
- Gupta, B.; Deep, A.; Tandon, S.N. Recovery of Chromium and Nickel from Industrial Waste. Ind. Eng. Chem. Res. 2002, 41, 2948–2952. [Google Scholar] [CrossRef]
- Gao, F.; Huang, Z.; Li, H.; Li, X.; Wang, K.; Hamza, M.F.; Wei, Y.; Fujita, T. Recovery of magnesium from ferronickel slag to prepare hydrated magnesium sulfate by hydrometallurgy method. J. Clean. Prod. 2021, 303, 127049. [Google Scholar] [CrossRef]
- Wang, H.-J.; Liu, Z.-Y.; Liu, Z.-H.; Li, Y.-H.; Li, S.-W.; Zhang, W.-H.; Li, Q.-H. Leaching of iron concentrate separated from kiln slag in zinc hydrometallurgy with hydrochloric acid and its mechanism. Trans. Nonferrous Met. Soc. China 2017, 27, 901–907. [Google Scholar] [CrossRef]
- Pan, D.; Li, L.; Tian, X.; Wu, Y.; Cheng, N.; Yu, H. A review on lead slag generation, characteristics, and utilization. Resour. Conserv. Recycl. 2019, 146, 140–155. [Google Scholar] [CrossRef]
- Huang, F.; Liao, Y.; Zhou, J.; Wang, Y.; Li, H. Selective recovery of valuable metals from nickel converter slag at elevated temperature with sulfuric acid solution. Sep. Purif. Technol. 2015, 156, 572–581. [Google Scholar] [CrossRef]
- Barry, T.I.; Dinsdale, A.T.; Martin, S.M.; Taylor, J.R., II. 13—Pyrometallurgy of copper–nickel–iron sulphide ores: The calculation of the distribution of components between matte, slag, alloy and gas phases. In The SGTE Casebook, 2nd ed.; Hack, K., Ed.; Woodhead Publishing: Sawston, UK, 2008; pp. 188–199. [Google Scholar]
- Guo, Z.; Wang, Y.; Li, S.; Pan, J.; Zhu, D.; Yang, C.; Pan, L.; Tian, H.; Wang, D. Reductive roasting mechanism of copper slag and nickel laterite for Fe-Ni-Cu alloy production. J. Mater. Res. Technol. 2020, 9, 7602–7614. [Google Scholar] [CrossRef]
- Shen, H.; Liu, B.; Shi, Z.; Zhao, S.; Zhang, J.; Zhang, S. Reduction for heavy metals in pickling sludge with aluminum nitride in secondary aluminum dross by pyrometallurgy, followed by glass ceramics manufacture. J. Hazard. Mater. 2021, 418, 126331. [Google Scholar] [CrossRef]
- Yang, T.; Wang, N.; Gu, H.; Guo, T. Froth flotation separation of carbon from barium slag: Recycling of carbon and minimize the slag. Waste Manag. 2021, 120, 108–113. [Google Scholar] [CrossRef]
- Roy, S.; Datta, A.; Rehani, S. Flotation of copper sulphide from copper smelter slag using multiple collectors and their mixtures. Int. J. Miner. Process. 2015, 143, 43–49. [Google Scholar] [CrossRef]
- Szépvölgyi, J.; Bertóti, I.; Varga, I.; Mohai, M.; Székely, T.; Párkányi, I. Studies on the flotation of a non-ferrous slag. Miner. Eng. 1988, 1, 127–136. [Google Scholar] [CrossRef]
- Khalid, M.K.; Hamuyuni, J.; Agarwal, V.; Pihlasalo, J.; Haapalainen, M.; Lundström, M. Sulfuric acid leaching for capturing value from copper rich converter slag. J. Clean. Prod. 2019, 215, 1005–1013. [Google Scholar] [CrossRef]
- Loveday, B. The use of oxygen in high pressure acid leaching of nickel laterites. Miner. Eng. 2008, 21, 533–538. [Google Scholar] [CrossRef]
- Nadirov, R.K. Recovery of Valuable Metals from Copper Smelter Slag by Sulfation Roasting. Trans. Indian Inst. Met. 2018, 72, 603–607. [Google Scholar] [CrossRef]
- Sarrafi, A.; Rahmati, B.; Hassani, H.; Shirazi, H. Recovery of copper from reverberatory furnace slag by flotation. Miner. Eng. 2004, 17, 457–459. [Google Scholar] [CrossRef]
- Fan, J.; Li, H.; Wei, L.; Li, C.; Sun, S. The Recovery of Copper from Smelting Slag by Flotation Process. In Applications of Process Engineering Principles in Materials Processing, Energy and Environmental Technologies; Wang, S., Free, M.L., Alam, S., Zhang, M., Taylor, P., Eds.; Springer: Cham, Switzerland, 2017; pp. 231–237. [Google Scholar]
- Bruckard, W.; Somerville, M.; Hao, F. The recovery of copper, by flotation, from calcium-ferrite-based slags made in continuous pilot plant smelting trials. Miner. Eng. 2004, 17, 495–504. [Google Scholar] [CrossRef]
- Liu, D.; Zhang, G.; Liu, J.; Pan, G.; Chen, Y.; Wang, M. Studies on the surface oxidation and its role in the flotation of mixed Cu-Ni sulfide ore. Powder Technol. 2021, 381, 576–584. [Google Scholar] [CrossRef]
- Zhao, K.; Yan, W.; Wang, X.; Wang, Z.; Gao, Z.; Wang, C.; He, W. Effect of a novel phosphate on the flotation of serpentine-containing copper-nickel sulfide ore. Miner. Eng. 2020, 150, 106276. [Google Scholar] [CrossRef]
- Li, Y.; Wang, J.-K.; Wei, C.; Liu, C.-X.; Jiang, J.-B.; Wang, F. Sulfidation roasting of low grade lead–zinc oxide ore with elemental sulfur. Miner. Eng. 2010, 23, 563–566. [Google Scholar] [CrossRef]
- Guo, Z.; Zhu, D.; Pan, J.; Wu, T.; Zhang, F. Improving Beneficiation of Copper and Iron from Copper Slag by Modifying the Molten Copper Slag. Metals 2016, 6, 86. [Google Scholar] [CrossRef] [Green Version]
- Selivanov, E.N.; Gulyaeva, R.I.; Zelytin, D.I.; Belyaev, V.V.; Selmenskich, N.I. Influence of cooling speed on slag structure from smelting of copper-zinc concentrates in vanyukov furnace. Tsvetnye Met. 2009, 12, 27–31. [Google Scholar]
- Day, J.M.D. Siderophile Elements: Systematics and Significance. In Encyclopedia of Geology, 2nd ed.; Alderton, D., Elias, S.A., Eds.; Academic Press: Oxford, UK, 2021; pp. 52–66. [Google Scholar]
- Aulbach, S.; Giuliani, A.; Fiorentini, M.L.; Baumgartner, R.J.; Savard, D.; Kamenetsky, V.S.; Griffin, W.L. Siderophile and chalcophile elements in spinels, sulphides and native Ni in strongly metasomatised xenoliths from the Bultfontein kimberlite (South Africa). Lithos 2021, 380–381, 105880. [Google Scholar] [CrossRef]
- You, J.; Hong, S.-H. Densification mechanism and microstructure development of Fe-Ni alloys consolidated by field assisted sintering. J. Alloys Compd. 2021, 884, 161102. [Google Scholar] [CrossRef]
- Khoso, S.A.; Gao, Z.; Tian, M.; Hu, Y.; Sun, W. The synergistic depression phenomenon of an organic and inorganic reagent on FeS2 in CuS flotation scheme. J. Mol. Liq. 2020, 299, 112198. [Google Scholar] [CrossRef]












| Element | Ni | Cu | Fe | Co | Ca | MgO | SiO2 | S |
|---|---|---|---|---|---|---|---|---|
| Content | 1.81 | 0.69 | 33.97 | 0.10 | 3.15 | 11.18 | 35.47 | 0.059 |
| Element | Ni | Cu | Fe | Co | Ca | MgO | SiO2 | S |
|---|---|---|---|---|---|---|---|---|
| Content | 0.88 | 0.31 | 34.26 | 0.088 | 3.28 | 12.50 | 37.87 | 0.40 |
| State | Metallic Nickel | Nickel Sulfide | Nickel Oxide | Nickel Silicate | Total Nickel |
|---|---|---|---|---|---|
| Content | 0.535 | 0.64 | 0.589 | 0.016 | 1.78 |
| Occupancy | 30.05 | 35.96 | 33.09 | 0.90 | 100 |
| State | Metallic Copper | Copper Sulfide | Copper Oxide | Other Copper | Total Copper |
|---|---|---|---|---|---|
| Content | 0.15 | 0.38 | 0.108 | 0.032 | 0.67 |
| Occupancy | 22.39 | 56.71 | 16.12 | 4.78 | 100 |
| State | Metallic Nickel | Nickel Sulfide | Nickel Oxide | Nickel Silicate | Total Nickel |
|---|---|---|---|---|---|
| Content | 0.032 | 0.586 | 0.172 | 0.09 | 0.88 |
| Occupancy | 3.64 | 66.59 | 19.55 | 10.22 | 100 |
| State | Metallic Copper | Copper Sulfide | Copper Oxide | Other Copper | Total Copper |
|---|---|---|---|---|---|
| Content | 0.07 | 0.169 | 0.024 | 0.037 | 0.30 |
| Occupancy | 23.33 | 56.33 | 8.00 | 12.34 | 100 |
| Composition | Fixed Carbon | Ash | Volatile |
|---|---|---|---|
| Content | 69.11 | 13.49 | 17.4 |
| State | Metallic Nickel | Nickel Sulfide | Nickel Oxide | Nickel Silicate | Total Nickel |
|---|---|---|---|---|---|
| Content | 0.71 | 0.87 | 0.0053 | 0.013 | 1.60 |
| Occupancy | 44.38 | 54.38 | 0.33 | 0.81 | 100 |
| State | Metallic Copper | Copper Sulfide | Copper Oxide | Other Copper | Total Copper |
|---|---|---|---|---|---|
| Content | 0.002 | 0.63 | 0.008 | 0.01 | 0.65 |
| Occupancy | 0.31 | 96.92 | 1.23 | 1.54 | 100 |
| State | Metallic Nickel | Nickel Sulfide | Nickel Oxide | Nickel Silicate | Total Nickel |
|---|---|---|---|---|---|
| Content | 0.41 | 0.23 | 0.0044 | 0.013 | 0.66 |
| Occupancy | 62.12 | 34.85 | 0.67 | 1.97 | 100 |
| State | Metallic Copper | Copper Sulfide | Copper Oxide | Other Copper | Total copper |
|---|---|---|---|---|---|
| Content | 0.001 | 0.2 | 0.002 | 0.017 | 0.22 |
| Occupancy | 0.45 | 90.91 | 0.91 | 7.73 | 100 |
Publisher’s Note: MDPI stays neutral with regard to jurisdictional claims in published maps and institutional affiliations. |
© 2021 by the authors. Licensee MDPI, Basel, Switzerland. This article is an open access article distributed under the terms and conditions of the Creative Commons Attribution (CC BY) license (https://creativecommons.org/licenses/by/4.0/).
Share and Cite
Sun, W.; Li, X.; Liu, R.; Zhai, Q.; Li, J. Recovery of Valuable Metals from Nickel Smelting Slag Based on Reduction and Sulfurization Modification. Minerals 2021, 11, 1022. https://doi.org/10.3390/min11091022
Sun W, Li X, Liu R, Zhai Q, Li J. Recovery of Valuable Metals from Nickel Smelting Slag Based on Reduction and Sulfurization Modification. Minerals. 2021; 11(9):1022. https://doi.org/10.3390/min11091022
Chicago/Turabian StyleSun, Wei, Xiong Li, Runqing Liu, Qilin Zhai, and Jie Li. 2021. "Recovery of Valuable Metals from Nickel Smelting Slag Based on Reduction and Sulfurization Modification" Minerals 11, no. 9: 1022. https://doi.org/10.3390/min11091022
APA StyleSun, W., Li, X., Liu, R., Zhai, Q., & Li, J. (2021). Recovery of Valuable Metals from Nickel Smelting Slag Based on Reduction and Sulfurization Modification. Minerals, 11(9), 1022. https://doi.org/10.3390/min11091022

