Heterogeneous Distribution of Interlayer Cations and Iron as a Plausible Explanation of the Non-Exfoliation of Commercial Vermiculites Post Alcohol Treatment and Microwave Irradiation
Abstract
:1. Introduction
2. Materials and Methods
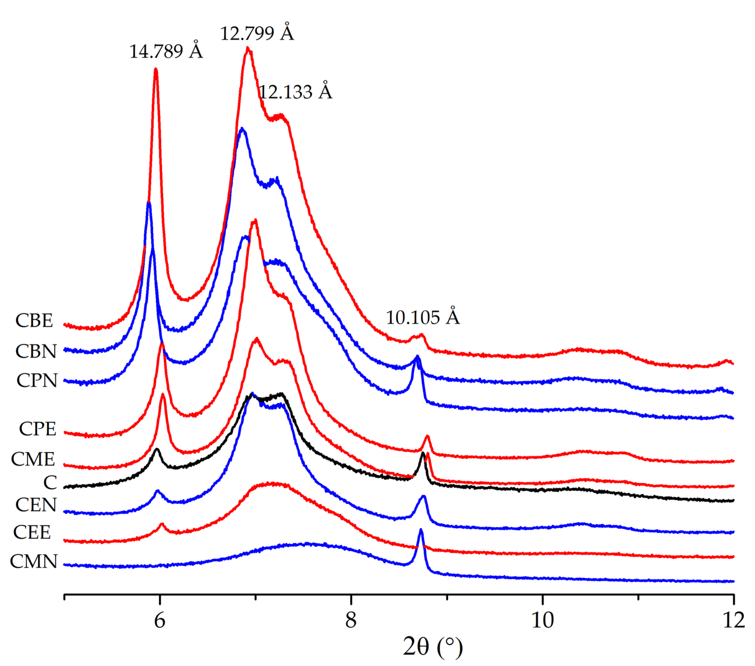
3. Results
4. Discussion
Supplementary Materials
Author Contributions
Funding
Data Availability Statement
Acknowledgments
Conflicts of Interest
References
- Midgley, H.G.; Midgley, C.M. The mineralogy of some commercial vermiculites. Clay Miner. 1960, 4, 142–150. [Google Scholar] [CrossRef]
- Hillier, S.; Marwa, E.M.M.; Rice, C.M. On the mechanism of exfoliation of “Vermiculite”. Clay Miner. 2013, 48, 563–582. [Google Scholar] [CrossRef] [Green Version]
- Huo, X.; Wu, L.; Liao, L.; Xia, Z.; Wang, L. The effect of interlayer cations on the expansion of vermiculite. Powder Technol. 2012, 224, 241–246. [Google Scholar] [CrossRef]
- Obut, A.; Girgin, I.; Yörükoğlu, A. Microwave exfoliation of vermiculite and phlogopite. Clays Clay Miner. 2003, 51, 452–456. [Google Scholar] [CrossRef]
- Marcos, C.; Rodríguez, I. Expansibility of vermiculites irradiated with microwaves. Appl. Clay Sci. 2011, 51, 33–37. [Google Scholar] [CrossRef]
- Walker, G.F. Vermiculites and some related mixed-layer minerals. In X-ray Identification and Crystal Structures of Clay Minerals; Brindley, G.W., Ed.; Mineralogical Society: London, UK, 1951; pp. 199–223. [Google Scholar]
- Marcos, C.; Arango, Y.C.; Rodríguez, I. X-ray diffraction studies of the thermal behaviour of commercial vermiculites. Appl. Clay Sci. 2009, 42, 368–378. [Google Scholar] [CrossRef]
- Couderc, P.; Douillet, P. Les Vermiculites industrielles: Exfoliation, caractéristiques mineralogiques et chimiques. Bull. Soc. Franc. Céram. 1973, 99, 51–59. [Google Scholar]
- Mamina, A.K.; Koteĺnikova, E.N.; Muromtsev, V.A. Influence of the structural perfection of phlogopite crystals on their cleavability by hydrogen peroxide. Inorg. Mater. 1990, 26, 2104–2107. [Google Scholar]
- Justo, A.; Pérez-Rodríguez, J.L.; Sánchez-Soto, P. J Thermal studies of vermiculites and mica-vermiculite interstratifications. J. Therm. Biol. 1993, 40, 59–65. [Google Scholar] [CrossRef]
- Brigatti, M.F.; Colonna, S.; Malferrari, D.; Medici, L.; Poppi, L. Mercury adsorption by montmorillonite and vermiculite: A combined XRD, TG-MS, and EXAFS study. Appl. Clay Sci. 2005, 28, 1–8. [Google Scholar] [CrossRef]
- Jiménez de Haro, M.C.; Pérez-Rodríguez, J.L.; Poyato, T.J.; Pérez-Maqueda, L.A.; Ramírez-Valle, V.; Justo, A. Effect of ultrasound on preparation of porous materials from vermiculite. Appl. Clay Sci. 2005, 30, 11–20. [Google Scholar] [CrossRef]
- Yariv, S.; Cross, H. Organo-Clay Complexes and Interactions; Marcel Dekker Inc.: New York, NY, USA, 2002. [Google Scholar]
- Bergaya, F.; Theng, B.K.G.; Lagaly, G. (Eds.) . Handbook of Clay Science; Elsevier: Amsterdam, The Netherlands, 2006. [Google Scholar]
- Chervin, C.; Raynal, J.; André, N.; Bonneau, A.; Westercamp, P. Combining controlled atmosphere storage and ethanol vapors to control superficial scald of apple. Hortscience 2001, 36, 951–95216. [Google Scholar] [CrossRef] [Green Version]
- Emsen, B.; Dodologlu, A. Efficacy of different organic compounds against bee mite (Varroa destructor Anderson and Trueman) in honey bee (Apis mellifera L.) colonies. J. Anim. Vet. Adv. 2011, 10, 802–805. [Google Scholar] [CrossRef] [Green Version]
- Xu, J.; Meng, Y.Z.; Li, R.K.Y.; Xu, Y.; Rajulu, A.V. Preparation and properties of poly(vinyl alcohol)–vermiculite nanocomposites. J. Pol. Sci. Part B Polym. Phys. 2003, 41, 749–755. [Google Scholar] [CrossRef]
- Kim, J.M.; Lee, M.H.; Ko, J.A.; Kang, D.H.; Bae, H.; Park, H.J. Influence of food with high moisture content on oxygen barrier property of polyvinyl alcohol (PVA)/vermiculite nanocomposite coated multilayer packaging film. J. Food Sci. 2018, 83, 349–357. [Google Scholar] [CrossRef] [PubMed]
- Galimberti, M.; Cipolletti, V.R.; Coombs, M. Applications of clay–polymer nanocomposites. In Handbook of Clay Science; Bergaya, F., Lagaly, G., Eds.; Developments in Clay Science; Elsevier: Amsterdam, The Netherlands, 2013; pp. 539–586. [Google Scholar]
- Marcos, C.; Rodriguez, I. Structural changes on vermiculite treated with methanol and ethanold and subsequent microwave irradiation. Appl. Clay Sci. 2016, 123, 304–314. [Google Scholar] [CrossRef]
- Marcos, C.; Rodriguez, I. Effect of propanol and butanol and subsequent microwave irradiation on the structure of commercial vermiculites. Appl. Clay Sci. 2017, 144, 104–114. [Google Scholar] [CrossRef]
- Marcos, C.; Rodríguez, I. Expansion behaviour of commercial vermiculites at 1000 °C. Appl. Clay Sci. 2010, 48, 492–498. [Google Scholar] [CrossRef]
- Marcos, C.; Rodríguez, I. Exfoliation of vermiculites with chemical treatment using hydrogen peroxide and thermal treatment using microwaves. Appl. Clay Sci. 2014, 87, 219–227. [Google Scholar] [CrossRef]
- Velde, B. High temperature or metamorphic vermiculites. Contrib. Miner. Petrol. 1978, 66, 319–323. [Google Scholar] [CrossRef]
- Justo, A.; Maqueda, C.; Pérez Rodríguez, J.L. Estudio químico de vermiculitas de Andalucía y Badajoz. Bol. Soc. Esp. Miner. 1986, 9, 123–129. [Google Scholar]
- Serna, C.; Vanscoyoc, G.E. Infrared study of sepiolite and palygorskite surfaces. Dev. Sediment 1979, 27, 197–206. [Google Scholar]
- Emerson, W.W. Organo-clay complexes. Nature 1957, 180, 48–49. [Google Scholar] [CrossRef]
- Brindley, G.W.; Ray, S. Complexes of Ca-montmorillonite with primarymonohydric alcohols (clay-organic studies VIII). Am. Miner. 1964, 49, 106–115. [Google Scholar]
- Suzuki, M.; Wada, N.; Hines, D.R.; Whittingham, M.S. Hydration states and phase transitions in vermiculite intercalation compounds. Phys. Rev. B. 1987, 36, 2844–2851. [Google Scholar] [CrossRef] [PubMed]
- Farmer, V.C.; Russell, J.D.; McHardy, W.J.; Newman, A.C.D.; Ahlrichs, J.L.; Rimsaite, J.Y. Evidence for loss of protons and octahedral iron from oxidized biotites and vermiculites. Miner. Mag. 1971, 38, 121–137. [Google Scholar] [CrossRef]
- Madejová, J. FTIR techniques in clay mineral studies. Vib. Spectrosc. 2003, 31, 1–10. [Google Scholar] [CrossRef]
- Churchman, G.J.; Lowe, D.J. Alteration, formation, and occurrence of minerals in soils. In Handbook of Soil Sciences: Properties and Processes, 2nd ed.; Huang, P.M., Li, Y., Summer, M.E., Eds.; CRC Press: Boca Raton, FL, USA, 2012; pp. 20.71–20.72. [Google Scholar]
- Mohammed, I.J.; Al-Mashaikie, S.Z. Origin and distribution of clay minerals in the mudstones of the Kolosh formation in Rawandoz area, northeastern Iraq. Iraq. Geol. J. 2018, 51, 75–90. [Google Scholar]











| Samples | Treatment | ||
|---|---|---|---|
| China | Libby | Alcohol | After Microwave Irradiation |
| CME | LME | methanol | exfoliated |
| CMN | LMN | no exfoliated | |
| CEE | LEE | ethanol | exfoliated |
| CEN | LEN | no exfoliated | |
| CBE | LBE | butanol | exfoliated |
| CBN | LBN | no exfoliated | |
| CPE | LPE | propanol | exfoliated |
| CPN | LPN | no exfoliated | |
| Samples | Alcohol Treatment Time | |||
|---|---|---|---|---|
| 1 h | 1 day | 1 week | 1 month | |
| CME | 71 | 98 | 83 | 72 |
| CEE | 70 | 62 | 69 | 75 |
| CPE | 34 | 40 | 24 | 60 |
| CBE | 72 | 33 | 47 | 37 |
| LME | 60 | 72 | 44 | 71 |
| LEE | 100 | 100 | 67 | 68 |
| LPE | 64 | 40 | 54 | 57 |
| LBE | 77 | 75 | 90 | 57 |
| Samples | Elements Weight % (Standard Deviation) | |||||||
|---|---|---|---|---|---|---|---|---|
| O | Si | Mg | Al | K | Fe | Ca | Ti | |
| CME | 50.2(0.7) | 19.3(0.5) | 16.4 (0.5) | 6.6(0.3) | 2.5(0.2) | 3.4(0.2) | 1.0(0.1) | 0.7(0.1) |
| CMN | 44.9(0.6) | 20.4(0.4) | 16.7(0.4) | 6.7(0.3) | 5.1(0.2) | 4.3(0.2) | 1.4(0.1) | 0.7(0.1) |
| CEE | 47.0(0.5) | 18.4(0.3) | 15.4(0.3) | 6.5(0.2) | 4.1(0.2) | 5.2(0.2) | 1.0(0.1) | 2.4(0.1) |
| CEN | 49.9(0.8) | 19.7(0.5) | 16.2(0.5) | 6.8(0.4) | 2.8(0.2) | 3.4(0.3) | 0.8(0.2) | 0.6(0.1) |
| CBE | 49.6(0.6) | 19.5(0.4) | 16.4(0.4) | 6.8(0.3) | 3.0(0.2) | 0.8(0.1) | 0.6(0.1) | 3.4(0.2) |
| CBN | 49.6(0.4) | 19.3(0.3) | 16.2(0.3) | 6.7(0.2) | 3.3(0.1) | 0.9(0.1) | 0.6(0.1) | 3.4(0.1) |
| CPE | 51.5(0.8) | 18.2(0.5) | 15.1(0.5) | 6.5(0.4) | 4.0(0.2) | 3.3(0.3) | 1.0(0.2) | 0.6(0.1) |
| CPN | 43.5(0.1) | 21.7(0.1) | 17.6(0.1) | 7.3(0.1) | 4.2(0.0) | 3.8(0.0) | 1.0(0.0) | 0.8(0.0) |
| LME | 47.1(1.4) | 19.0(0.9) | 14.3(0.8) | 7.0(0.7) | 4.3(0.5) | 6.5(0.6) | 0.8(0.3) | 0.7(0.3) |
| LMN | 44.6(1.2) | 20.3(0.8) | 14.4(0.7) | 7.3(0.6) | 5.6(0.4) | 6.3(0.5) | 0.7(0.3) | 0.8(0.3) |
| LEE | 45.2(1.9) | 19.4(1.2) | 14.0(1.1) | 7.4(0.9) | 6.0(0.7) | 6.5(0.8) | 0.7(0.4) | 0.8(0.4) |
| LEN | 46.7(1.2) | 19.6(0.8) | 14.0(0.7) | 6.9(0.6) | 5.1(0.4) | 6.3(0.5) | 0.8(0.2) | 0.6(0.2) |
| LBE | 46.9(1.9) | 19.1(1.2) | 13.8(1.1) | 7.0(0.8) | 4.4(0.6) | 6.4(0.8) | 1.2(0.4) | 0.8(0.4) |
| LBN | 44.5(1.5) | 19.9(1.0) | 14.1(0.9) | 7.2(0.7) | 5.0(0.5) | 7.4(0.5) | 1.1(0.3) | 0.9(0.3) |
| LPE | 37.8(0.7) | 22.0(0.5) | 14.8(0.5) | 7.6(0.4) | 5.7(0.3) | 9.6(0.4) | 1.6(0.2) | 0.9(0.1) |
| LPN | 38.6(0.6) | 21.8(0.4) | 14.9(0.4) | 7.3(0.3) | 6.5(0.3) | 8.5(0.3) | 1.1(0.2) | 0.8(0.1) |
| Samples | Water Content % | |||
|---|---|---|---|---|
| Treatment | Untreated | |||
| Alcohol + Microwave Irradiation | Microwave Irradiation | |||
| C | - | - | 10.3 a | 12.3 a |
| CM | 10.2 c | - | - | - |
| CE | 12.1 c | - | - | - |
| CB | 12.0 c | - | - | - |
| CP | 11.9 c | - | - | - |
| CME | - | 11.0 | - | - |
| CMN | - | 12.1 | ||
| CEE | - | 12.4 | ||
| CEN | - | 10.7 | ||
| CBE | - | 11.1 | ||
| CBN | - | 12.1 | ||
| CPE | - | 13.4 | ||
| CPN | - | 11.5 | ||
| L | - | - | 11.1 b | 11.3 |
| LM | 7.9 d | - | - | - |
| LE | 9.4 d | - | - | - |
| LB | 8.2 d | - | - | - |
| LP | 9.6 d | - | - | - |
| LME | - | 11.2 | - | - |
| LMN | - | 12.7 | ||
| LEE | - | 13.0 | ||
| LEN | - | 10.1 | ||
| LBE | - | 11.3 | ||
| LBN | - | 11.1 | ||
| LPE | - | 15.0 | ||
| LPN | - | 12.6 | ||
Publisher’s Note: MDPI stays neutral with regard to jurisdictional claims in published maps and institutional affiliations. |
© 2021 by the authors. Licensee MDPI, Basel, Switzerland. This article is an open access article distributed under the terms and conditions of the Creative Commons Attribution (CC BY) license (https://creativecommons.org/licenses/by/4.0/).
Share and Cite
Marcos, C.; del Río, Z.; Adawy, A. Heterogeneous Distribution of Interlayer Cations and Iron as a Plausible Explanation of the Non-Exfoliation of Commercial Vermiculites Post Alcohol Treatment and Microwave Irradiation. Minerals 2021, 11, 835. https://doi.org/10.3390/min11080835
Marcos C, del Río Z, Adawy A. Heterogeneous Distribution of Interlayer Cations and Iron as a Plausible Explanation of the Non-Exfoliation of Commercial Vermiculites Post Alcohol Treatment and Microwave Irradiation. Minerals. 2021; 11(8):835. https://doi.org/10.3390/min11080835
Chicago/Turabian StyleMarcos, Celia, Zulema del Río, and Alaa Adawy. 2021. "Heterogeneous Distribution of Interlayer Cations and Iron as a Plausible Explanation of the Non-Exfoliation of Commercial Vermiculites Post Alcohol Treatment and Microwave Irradiation" Minerals 11, no. 8: 835. https://doi.org/10.3390/min11080835
APA StyleMarcos, C., del Río, Z., & Adawy, A. (2021). Heterogeneous Distribution of Interlayer Cations and Iron as a Plausible Explanation of the Non-Exfoliation of Commercial Vermiculites Post Alcohol Treatment and Microwave Irradiation. Minerals, 11(8), 835. https://doi.org/10.3390/min11080835

