Next Article in Journal
Preseismic Groundwater Ion Content Variations: Observational Data in Flowing Wells of the Kamchatka Peninsula and Conceptual Model
Previous Article in Journal
Uraninite from the Guangshigou Pegmatite-Type Uranium Deposit in the North Qinling Orogen, Central China: Its Occurrence, Alteration and Implications for Post-Caledonian Uranium Circulation
 
 
Font Type:
Arial Georgia Verdana
Font Size:
Aa Aa Aa
Line Spacing:
Column Width:
Background:
Article

Carbothermic Reduction and Nitridation Mechanism of Vanadium-Bearing Titanomagnetite Concentrate

1
School of Resources and Environmental Engineering, Jiangxi University of Science and Technology, Ganzhou 341000, China
2
Key Laboratory of Mining Engineering of Jiangxi Province, Ganzhou 341000, China
3
Chengde Huakan No. 514 Geological Mineral Testing Research Co., Ltd., Chengde 067000, China
*
Author to whom correspondence should be addressed.
Current address: Hakka Road, No. 156, Ganzhou 341000, Jiangxi Province, China.
Minerals 2021, 11(7), 730; https://doi.org/10.3390/min11070730
Submission received: 31 May 2021 / Revised: 26 June 2021 / Accepted: 30 June 2021 / Published: 5 July 2021
(This article belongs to the Section Mineral Processing and Extractive Metallurgy)

Abstract

:
In this study, the carbothermic reduction and nitridation mechanism of vanadium-bearing titanomagnetite concentrate are investigated in terms of phase transformation, microstructure transformation, and thermodynamic analyses. The differences in the reaction behavior of titanomagnetite and ilmenite in vanadium-bearing titanomagnetite concentrate, as well as the distribution characteristic of V in the roasted products, are emphatically studied. It is observed that the reaction sequences of titanomagnetite and ilmenite transformations into nitride are as follows: Fe 3 x Ti x O 4 →Fe 2 TiO 4 →FeTiO 3 →M 3 O 5 →(Ti, V)(N, C); FeTiO 3 →M 3 O 5 →Ti(N, C). The reduction of M 3 O 5 to TiN is the rate-limiting step of the entire reaction, and metal iron is an important medium for transferring C for the reduction of M 3 O 5 . Titanomagnetite is faster to convert into nitride than ilmenite is, and the reasons for this are discussed in detail. During the entire roasting process, V mainly coexists with Ti and seems to facilitate the conversion of titanium oxides into (Ti, V)(N, C).

1. Introduction

Vanadium-bearing titanomagnetite is an important mineral resource, and it is rich in titanium (Ti), iron (Fe), and vanadium (V). It widely exists in Russia, China, South Africa, the United States of America, and New Zealand [1]. In China, the deposit of vanadium-bearing titanomagnetite is more than 18 billion tons in the Panxi and Chengde districts. Vanadium-bearing titanomagnetite concentrate (VTMC) is currently used as raw material for iron making in the blast furnace process in the Panxi district. As a result, almost all of the Ti is concentrated into the blast furnace slag, and more than 3 million tons of blast furnace slag containing 22–25% TiO 2 are generated yearly. However, no economical or appropriate technology is available to date for the processing of this slag due to the scattered distribution of Ti-bearing phases [2,3]. The stockpiling of this slag causes a great waste of resources and damage to the ecological environment.
In recent decades, a considerable amount of attention has been devoted to developing clean production processes, such as direct reduction [4,5,6,7,8], direct acid leaching [9], andselective chlorination [10], to comprehensively utilize the Fe, Ti, and V compounds of VTMC. Among these processes, direct reduction is the most practical and effective, and during this process, iron minerals are primarily reduced to metallic iron by a solid- or gas-reducing agent, whereas titanium oxides are rarely reduced [11,12,13]. The roasted products are then treated through magnetic separation or smelting technology to produce titanium slag and iron products. However, the follow-up processes to recover the Ti component from the titanium slag are extremely complicated and environmentally harmful because of their low reactivity and high impurity content. In previous studies, the authors developed a novel method to prepare direct reduced iron and TiN from VMTC. In this method, VMTC was first transformed into TiN and metallic iron through carbothermic reduction and nitridation in an open system; the reduced product was then grinded and separated through magnetic separation. The resulting nonmagnetic, TiN-bearing material underwent acid leaching to produce pure TiN material [14,15]. Moreover, several studies have reported the synthesis of wear-resistant material of Fe-TiC or Fe-Ti(C, N) from VTMC via the carbothermic reduction–nitridation process [16,17].
TiN is an important material because of its excellent properties, such as its high melting point, extreme hardness, and high thermal and chemical stability. It has been widely applied in various fields, such as nontoxic exterior on medical implants and wear-resistant coatings on machine tools [18]. TiN can be synthesized by direct nitridation of metallic Ti, self-propagating high-temperature synthesis, carbothermal reduction and nitridation of TiO 2 , and plasma synthesis [19]. These methods generally require harsh reaction conditions, costly raw materials, and/or costly equipment. The use of cheap VTMC to produce TiN through the new method will significantly reduce the production cost. On the other hand, TiN is a superior feedstock for the synthesis of TiCl 4 , because TiN can be chlorinated at 200–500 °C, while impurity oxides, such as MgO, Al 2 O 3 , and FeO, do not chlorinate or chlorinate extremely slowly under low temperatures [20,21]. This implies that the resulting TiN-bearing material is also a superior material for the production of TiCl 4 . Therefore, the carbothermal reduction–nitridation process is a promising pretreatment method for the comprehensive utilization of VMTC.
The mechanism of carbothermic reduction and nitridation of ilmenite has been extensively studied [22,23,24]. However, few studies have focused on the reaction mechanism of VMTC. VMTC is mainly composed of titanomagnetite and ilmenite, which present completely different crystal structures. They may experience different reaction processes during roasting. In many cases, however, VMTC was simply regarded as a mixture of magnetite and ilmenite, and the different existing forms of Ti have not been paid much attention [16]. Qin et al. studied the mechanisms of carbonization and nitridation of VMTC [25], but the different reaction behaviors of titanomagnetite and ilmenite were not studied. Moreover, the reaction behavior of V during carbothermic reduction and nitridation remains unclear and is rarely explored. Therefore, in the present work, the carbothermic reduction and nitridation of VMTC in an open system were investigated in terms of phase transformation, microstructure transformation, and thermodynamic analyses. The different reaction behaviors of titanomagnetite and ilmenite during the carbothermic reduction and nitridation process of VMTC, as well as the distribution characteristic of V in the roasted products, were studied.

2. Materials and Methods

2.1. Materials

The VTMC sample was provided by Panzhihua Iron & Steel Group Co., China. Its chemical composition is shown in Table 1. The particle size of VTMC was 54.17%, surpassing 0.074 mm. X-ray diffraction (XRD) analyses indicated that the main phases of VTMC were titanomagnetite (Fe 3 x Ti x O 4 ), ilmenite (FeTiO 3 ), and magnetite (Fe 3 O 4 ) [15]. The scanning electron microscopy (SEM) images and energy-dispersive X-ray spectroscopy (EDS) results of the VTMC are shown in Figure 1 and Table 2, respectively. Ilmenite lamellae and irregular ilmenite particles were observed in VTMC. V was mainly distributed in titanomagnetite and magnetite, whereas it was not detected in ilmenite and gangue. This finding is in line with previous studies that showed that the majority of V in VTMC exist as V 3 + , which substitutes for Fe 3 + in magnetite lattice. Thus, the existing form of V is generally expressed as FeO•V 2 O 3 [26]. The titanomagnetite contained impurity elements of Mg and Al, and the ilmenite contained Mg, Al, and Mn. Moreover, relatively pure magnetite particles containing 71.40% Fe, 0.36% Ti, and 0.53% V were observed in VTMC (point 2).
The reducing agent used in this study was an anthracite. It contains 81.11% fixed carbon, 7.18% volatiles, 10.91% ash, 0.80% moisture, and 0.39% S. The anthracite was ground to 100% passage through a 0.1 mm sieve. Sodium carboxymethylcellulose (Na-CMC) was employed as a binder in the pelletizing process.

2.2. Methods

Prior to roasting experiments, 20 g VTMC, 5.2 g coal, and 0.1 g Na-CMC were fully mixed with approximately 5 mL water, and then the mixture was shaped by hand to prepare pellets with a diameter of 6–8 mm. The pellets were oven-dried and placed in a clay– crucible. Roasting experiments were conducted in a muffle furnace under air atmosphere. The crucible was placed into the furnace until the designated temperature (800, 900, 950, 1000, 1100, 1200, 1300, and 1350 °C) was reached. After roasting, the crucible was taken out of furnace and then cooled. The pelleting and roasting methods have been introduced in detail in a previous paper [14].
X-ray Diffraction (XRD, Hao Yuan Instrument, Dandong, China) with Cu-K α radiation and a secondary monochromator in the range 2 θ from 10° to 80° was used to identify the crystal phases of samples. Scanning electron microscopy (SEM) and X-ray energy dispersive spectrum (MLA650F, FEI, Hillsboro, OR, USA) analyses were used to determine the micromorphology and element content of the samples. Before the analysis, the samples were mounted in epoxy resin, polished, and sputter coated with gold to ensure that they had a smooth surface and good electrical conductivity. The electron optical system of SEM consists of the Schottky field emission gun and an acceleration voltage of 0–30 kV; electron images were obtained at an acceleration voltage of 20.0 kV and working distance ranges from 10.0 mm to 11.8 mm. A silicon drift detector and remote standards protocol (provided by the equipment manufacturer) were applied to EDS analysis. The EDS results were obtained at an acceleration voltage of 20.0 kV and a pulse of 10–15 kcps.

3. Mineralogy and Mineral Chemistry

3.1. XRD Analyses

The XRD patterns of the pellets roasted for 90 min at different temperatures are shown in Figure 2.
The main phases of the pellets roasted at 800 °C were Fe 3 O 4 , Fe 2 TiO 4 , FeTiO 3 , and FeO, suggesting that part of Fe 3 O 4 was reduced to FeO. The diffraction peaks of Fe were detected, and the diffraction peaks of Fe 3 O 4 decreased when the roasting temperature increased to 900 °C. The diffraction peaks of Fe 2 TiO 4 evidently decreased, and the diffraction peaks of FeTiO 3 increased when the roasting temperature increased to 950 °C. Only Fe and FeTiO 3 were observed in the pellets during roasting at 1000 °C, indicating that Fe 2 TiO 4 was reduced to Fe and FeTiO 3 . The diffraction peaks of FeTiO 3 disappeared, and FeTi 2 O 5 , MgTi 2 O 5 , Ti 3 O 5 , and MgAl 2 O 4 were observed when the roasting temperature increased to 1100 °C. FeTi 2 O 5 , MgTi 2 O 5 , and Ti 3 O 5 belong to the M 3 O 5 -type solid solution with a general formula of m[(Ti, Mg, Mn, Fe)O•2TiO 2 ]•n[(Ti, Fe, Al, Cr, V) 2 O 3 •TiO 2 ], and they were important intermediates during the reduction of ilmenite and titanomagnetite [6,27,28]. The diffraction peaks of TiN were detected when the roasting temperature increased to 1200 °C. The peaks of M 3 O 5 disappeared, and the peaks of TiN remarkably increased when the reaction temperature increased to 1300 °C, indicating that the reduction of M 3 O 5 to TiN processed completely. The patterns remained unchanged when the roasting temperature increased to 1350 °C.
The XRD patterns of the pellets roasted at 1300 °C for different amounts of time are shown in Figure 3. The results show that the main phases of the roasted pellets were Fe, M 3 O 5 , and MgAl 2 O 4 when the roasting time was 10 min, indicating that the reduction reactions of Fe 3 x TixO 4 and FeTiO 3 to Fe and M 3 O 5 were essentially completed. After that, the diffraction peaks of M 3 O 5 decreased, and the peaks of TiN increased as the roasting time extended; at 90 min, the diffraction peaks of M 3 O 5 disappeared. This suggests that the reduction of M 3 O 5 to TiN was the rate-determining step of the whole reaction. The phases remained unchanged when the roasting time further increased to 130 min.
According to the XRD results, it can be deduced that the reduction sequence of Ti-bearing minerals in VTMC under the experimental condition was as follows: Fe 3 x Ti x O 4 → Fe 2 TiO 4 →FeTiO 3 →M 3 O 5 →TiN. The reduction reactions of Fe 3 x Ti x O 4 to M 3 O 5 proceeded easily, but the reduction of M 3 O 5 to TiN proceeded with greater difficulty and was the rate-determining step of the entire reaction.

3.2. SEM and EDS Analyses

The pellets roasted at different temperatures for 90 min were evaluated through SEM and EDS analyses to examine the transformation of phases and microstructure of VTMC during roasting. In order to identify the difference in reaction behavior of titanomagnetite and ilmenite in VTMC, the typical successors of titanomagnetite and ilmenite particles after roasting were selected and examined from the roasted pellets.
The SEM images and EDS analysis results of the pellets roasted at 1000 °C are presented in Figure 4 and Table 3, respectively.
Figure 4a shows that the particle size of metallic iron formed in the pellets is less than 20 μ m, and the original structure of titanomagnetite particles was destroyed. Figure 4b shows that metallic iron particles, pores, and reticular materials were observed in the reduced titanomagnetite particles. Combined with the EDS results in Table 3 and the XRD results in Figure 3, these reticular materials should be ilmenite resulting from the reduction of titanomagnetite. The porous structure was caused by the reduction of iron minerals, in which the removal of oxygen led to volume shrinkage of the product. This porous structure facilitates the further reduction of Ti-bearing minerals. The EDS results in Figure 4d show that the distribution areas of V and Ti are highly coincident. By contrast, as shown in Figure 4c, the ilmenite essentially maintains the original structure, except for a small amount of fine-grained metallic iron formed inside, indicating that the reduction of ilmenite is difficult to carry out at 1000 °C. This dense structure inhibits the diffusion of gases and prevents the reduction of ilmenite.
The results of SEM and EDS of the pellets roasted at 1100 °C are presented in Figure 5 and Table 4, respectively.
Figure 5a,b reveals that many gray particles with a size of a few microns are distributed between the metallic iron particles in the reduced titanomagnetite. The EDS results show that this phase contains 29.77% Ti, 8.07% Fe, and 1.46% V. Combined with the XRD results in Figure 2, this phase should be M 3 O 5 . Sulfide (point 5) containing 0.42%–1.05% V is observed in the reduced titanomagnetite. Sulfur mainly comes from the sulfide minerals in the VTMC and anthracite. The EDS surface scan result shows that the distribution of V and Ti elements in the reduced titanomagnetite is highly coincident. As shown in Figure 5c, the reduced ilmenite remains a dense structure, although more metallic iron particles are produced than for the ilmenite reduced at 1000 °C. The EDS results reveal that the main phase contains 46.81%–48.96% Ti and 2.74%–2.59% Fe; thus, this phase should be M 3 O 5 . MgAl 2 O 4 (point 3) and sulfide (point 4) particles are also observed in the reduced ilmenite.
Figure 6 and Table 5 show the microstructure and EDS results of the pellets roasted at 1200 °C.
As shown in Figure 6a,b, several grayish particles (points 2 and 3) are formed on the surface of metallic iron in the reduced titanomagnetite. The EDS results show that they contain 59.45%–69.09% Ti, 18.08%–19.65% N, 1.97%–3.22% V, 6.68%–16.98% Fe, 0–0.99% O, and 1.94%–1.95% C. Combined with the XRD results in Figure 2, these particles are TiN. TiN particles are first formed on the surface of metallic iron, which is consistent with the results reported by Gou [23]. Two M 3 O 5 particles (points 4 and 5) without V are observed in the same area, which may have resulted from the reduction of ilmenite. Figure 6c shows that many iron grains are generated in the reduced ilmenite. The Ti-bearing mineral remains as M 3 O 5 , and its Ti content is higher than that of at 1100 °C. At the same time, a small amount of MgAl 2 O 4 and V-containing sulfide particles are observed.
The SEM and EDS results of the pellets roasted at 1300 °C are illustrated in Figure 7 and Table 6, respectively.
Figure 7a shows that near-spherical iron particles with diameters of up to several hundred microns are generated in the roasted pellets. A part of C dissolves in metallic iron to form a liquid phase and Fe 3 C [23], and the fine-grained metallic iron aggregates and grows to form spherical particles under the driving force of minimum surface energy when the experimental temperature is higher than the eutectic temperature of the Fe–C system (1154 °C) [29]. Figure 7b shows that many TiN particles (light gray) below 10 μ m are distributed in the non-ferrous phase between the metallic iron particles in the reduced VTMC. This structure facilitates the separation of metallic iron and nonmagnetic material through grinding and magnetic separation [30,31]. Table 6 shows that the Fe content of the TiN phase falls to less than 1%, whereas its Ti content increases to 75.96%–78.62%. As shown in Figure 7c, several unnitrided M 3 O 5 particles are observed. Similar to Figure 6b, Figure 7c shows that Ti-bearing minerals containing V are converted to TiN, whereas those without V are unnitrided. It can be inferred that the former is derived from titanomagnetite, whereas the latter is derived from ilmenite on the basis of the V contents of these particles. These results reveal that titanomagnetite is easier to convert into nitride than ilmenite is. The results in Figure 7d show that the distribution of V and Ti is evidently coincidental. As shown in Figure 7e, several inclusions (points 10 and 11) are observed in the metallic iron, and the EDS results in Table 6 indicate that these inclusions are sulfur inclusions containing S, Fe, V, Cr, Mn, and Ti. These inclusions may evolve from the sulfides shown in Figure 5 and Figure 6.
Figure 8 and Table 7 show the microstructure and EDS results of the pellet roasted at 1350 °C. The typical microscopic morphology of the roasted pellet is illustrated in Figure 8b. M 3 O 5 particles were not found in the roasted pellet, indicating that M 3 O 5 was completely converted into TiN under this condition. Moreover, several TiN particles were embedded in metallic iron, because liquid iron has good wettability for TiN. Therefore, in order to obtain separate metallic iron and TiN products, the roasting temperature should not be too high. Table 7 reveals that the V content of the TiN phase can reach 7.10%, and 1.46%–2.78% C was also detected in TiN phase. Figure 8d shows that the distribution of V and Ti elements is highly coincidental. V was not detected in the metallic iron. It can be seen from Figure 8c that cracked black material was observed in the metallic iron. The EDS results show that the material contains 36.71% Fe, 62.55% C, and 0.74% Si, indicating that the carburization of iron was enhanced with an increase in the roasting temperature. This facilitates the reduction of M 3 O 5 to TiN.
Based on the above analysis, it can be concluded that titanomagnetite was easier to convert into nitride than ilmenite was. V mainly coexisted with Ti during the entire reactions and finally formed (Ti, V)(N, C), while a small amount of V was enriched in the sulfur inclusions of metallic iron. When the roasting temperature was 1300 °C, TiN particles were mainly distributed in the slag phase and on the surface of metallic iron. However, when the roasting temperature exceeded 1300 °C, TiN particles tended to be immersed in metallic iron, which hindered the subsequent separation of TiN and metallic iron.

4. Discussion

4.1. Phase Evolution of Ti-Bearing Minerals

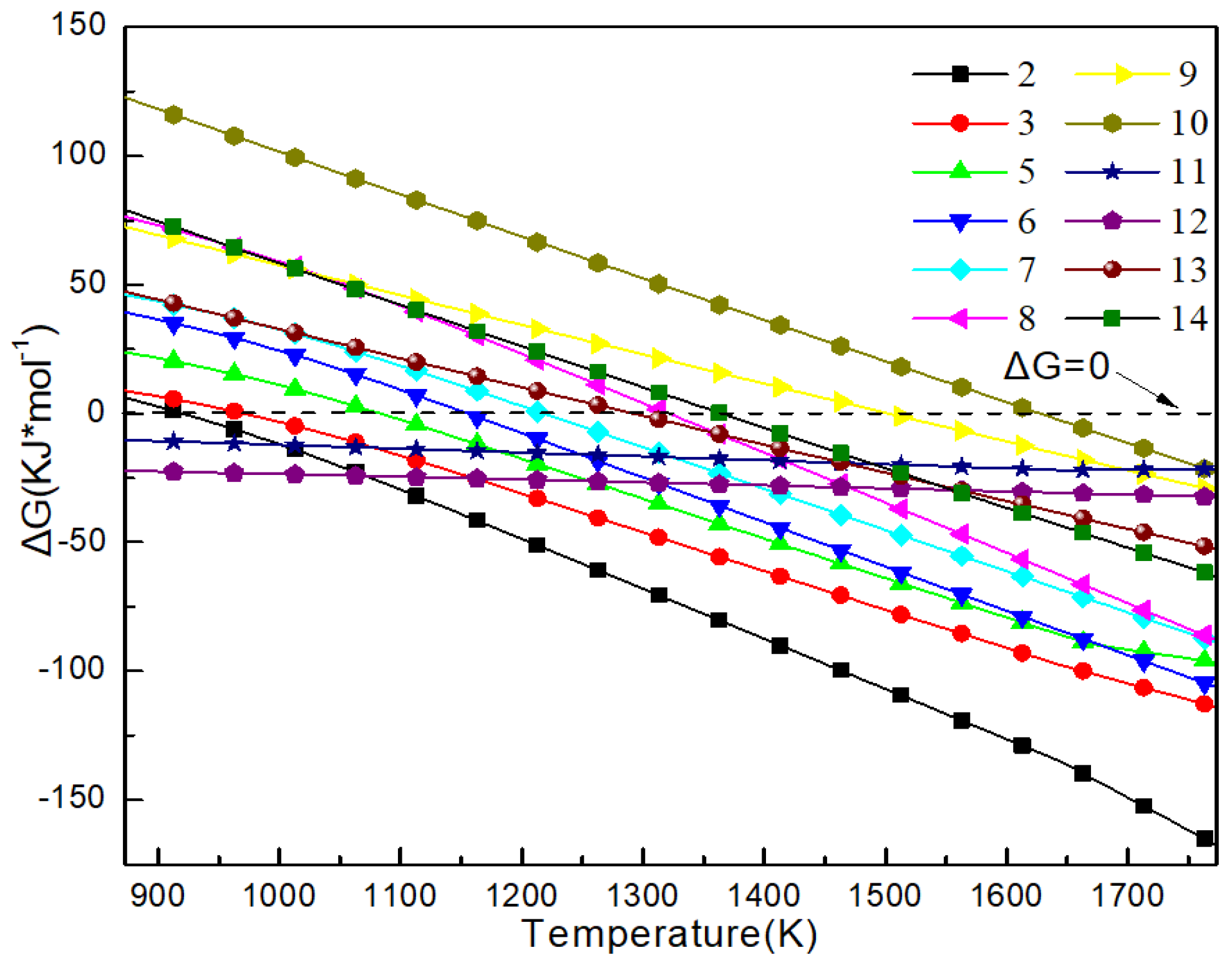
The possible reaction mechanisms were described as Equations (1)–(9) according to the results of XRD, SEM, and EDS analysis. Assuming that Equation (1) reached equilibrium in the temperature range from 600 °C to 1450 °C, the Gibbs free energy changes ( Δ G, kJ•mol 1 ) of these reactions were calculated using Fact-Web [32]. Plots of Δ G against temperature are presented.in Figure 9.
C + C O 2 2 C O
F e 3 O 4 + C O 3 F e O + C O 2
F e O + C O F e + C O 2
( 1 / 3 x ) F e 3 x T i x O 4 + 3 C O ( x / 3 x ) F 2 T i O 4 + 3 F e + 3 C O 2
F e 2 T i O 4 + C O F e + F e T i O 3 + C O 2
2 F e T i O 3 + C O F e + F e T i 2 O 5 + C O 2
3 / 5 F e T i 2 O 5 + C O 3 / 5 F e + 2 / 5 T i 3 O 5 + C O 2
3 / 2 M g T i 2 O 5 + C O + 3 / 2 A l 2 O 3 T i 3 O 5 + 3 / 2 M g A l 2 O 4 + C O 2
1 / 5 T i 3 O 5 + C + 3 / 10 N 2 3 / 5 T i N + C O
1 / 5 T i 3 O 5 + 8 / 5 C 3 / 5 T i C + C O
The carbothermic reduction and nitridation reactions of VTMC could be divided into two stages in accordance with the type of main reduction reaction involved in the system. Firstly, ilmenite and titanomagnetite were reduced to Fe and Ti 3 O 5 by CO. Secondly, Ti 3 O 5 was reduced to TiN or Ti(C, N) by solid carbon, and the rate-determining step was controlled by the diffusion of carbon to the surface of Ti 3 O 5 [20,22,33]. Gou proposed that part of carbon dissolves in metallic iron to form liquid-phase iron and Fe 3 C when the roasting temperature is above 1154 °C, which becomes an important medium for delivering C to the surface of Ti 3 O 5 [23,24]. As shown in Figure 5, TiN first formed on the surface of metallic iron, thereby supporting the proposed mechanism. Compared with titanomagnetite, ilmenite contains less iron oxides and struggles to generate metallic iron during reduction. Consequently, insufficient metallic iron was formed in the reduced ilmenite to deliver carbon to the surface of M 3 O 5 . This finding may be one of the reasons why it is more difficult to convert nitride with ilmenite than it is with titanomagnetite.
Several studies have reported that TiO 2 is an important intermediate product of the carbothermic reduction of ilmenite and titanomagnetite, especially when the roasting temperature is less than 1200 °C [7,34]. In the current study, however, TiO 2 was not found in the pellets roasted from 800 °C to 1350 °C, and ilmenite was directly converted to M 3 O 5 . This result could be attributed to the presence of MgO and FeO, where the newly formed TiO 2 reacted with MgO and FeO to form MgTi 2 O 5 and FeTi 2 O 5 , as shown in Equations (11) and (12), respectively. The results of thermodynamic calculations in Figure 9 show that these reactions can proceed spontaneously. Thus, TiO 2 was unstable during roasting of VTMC.
2 T i O 2 + M g O M g T i 2 O 5
2 T i O 2 + F e O F e T i 2 O 5

4.2. Behavior of Vanadium

According to the EDS analysis results shown in Figure 4, Figure 5, Figure 6, Figure 7 and Figure 8 and Table 3, Table 4, Table 5, Table 6 and Table 7, the distribution of V coincided with that of Ti in reduced titanomagnetite throughout the reaction process and finally formed (Ti, V)(N, C). The possible reduction mechanism was described as Equations (13) and (14) [35].
1 / 3 V 2 O 3 + C + 1 / 3 N 2 2 / 3 V N + C O
1 / 3 V 2 O 3 + 5 / 3 C 2 / 3 V C + C O
TiN, VN, TiC, and VC have the same cubic structure and similar lattice parameters, and they could form a solid solution phase. The properties of TiN material could be improved by introducing the right amounts of V and C [36,37]. Thermodynamic analysis results presented in Figure 9 show that with the increase in reaction temperature, Δ G decreases to less than zero following the order of Equation (13), Equation (14), Equation (9), and Equation (10). These results indicate that the thermodynamic conversion of V 2 O 3 into carbides or nitrides begins well earlier than that of Ti 3 O 5 . The EDS results show that V-bearing titanomagnetite is faster converted to nitrides than V-free ilmenite is. These results reveal that V may induce the nitridation reaction of Ti 3 O 5 . Therefore, the reasons why titanomagnetite is more easily reduced to TiN than ilmenite is can be summarized as follows: (1) the formation of a porous structure during the reduction of titanomagnetite is beneficial to the subsequent reactions; (2) more metallic iron is generated in titanomagnetite, thereby providing more reducing agents for the reduction of Ti 3 O 5 ; and (3) the V in titanomagnetite may induce the formation of TiN.
Some studies have reported that part of V 2 O 3 in VTMC is reduced and dissolved in the iron phase under a strong reduction atmosphere [26]. In the current study, however, V was not detected in the iron phase. This condition may be because TiN has a stronger ability to capture V than that of metallic iron.
The path of carbothermic reduction and nitridation of VTMC under the experimental condition was speculated on the basis of the above experimental results and analyses, as illustrated in Figure 10.

5. Conclusions

The phase transitions of titanomagnetite and ilmenite during reduction roasting could be described as follows: Fe 3 x Ti x O 4 →Fe 2 TiO 4 →FeTiO 3 →M 3 O 5 →(Ti, V)(N, C), and FeTiO 3 →M 3 O 5 →Ti(N, C), respectively. The reduction of M 3 O 5 by C to TiN is the rate-limiting step of the entire reaction. The carbothermic reduction and nitridation of titanomagnetite proceeded faster than those of ilmenite because of three conditions: firstly, a porous successor of titanomagnetite was formed after the reduction of iron oxides, which was beneficial to the reduction of Ti-bearing minerals; secondly, metallic iron, as an important medium to transfer C for the reduction of M 3 O 5 , was generated more in titanomagnetite, thereby providing more carbon source for the reduction of M 3 O 5 ; finally, the V of titanomagnetite may have induced the formation of TiN. During the entire roasting, V mainly coexisted with Ti and finally formed (Ti,V)(N,C), and a small amount of V was enriched in the sulfur inclusions of metallic iron.

Author Contributions

Conceptualization, W.Y.; methodology, W.L.; software, X.W.; investigation, X.W. and W.Y.; resources, J.C.; writing—original draft preparation, W.Y.; writing—review and editing, W.Y. and X.W. All authors have read and agreed to the published version of the manuscript.

Funding

This work was funded by the National Natural Science Foundation of China (51704129); Key research and development program of Jiangxi Province (20203BBGL73232); China Postdoctoral Science Foundation (2018M642591); Postdoctoral Science Foundation of Jiangxi Province (2018KY14); Program for Excellent Young Talents, Jiangxi University of Science and Technology (JXUSTQJYX2018006); the Foundation of Jiangxi Educational Committee, China (GJJ190441); and Jiangxi Province Postgraduate Innovation Special Project (203200800309).

Conflicts of Interest

The authors declare no conflict of interest.

Abbreviations

VTMCvanadium-bearing titanomagnetite concentrate
XRDX-ray diffraction
SEMscanning electron microscopy
EDSX-ray energy dispersive spectrum

References

  1. Zhao, W.; Wang, H.; Liu, Z.; Chu, M.; Ying, Z.; Tang, J. Investigation of Reduction Mechanism and Kinetics of Vanadium Titanomagnetite Carbon Composite Hot Briquette at 1173–1373 K. Steel Res. Int. 2017, 88, 1600306. [Google Scholar] [CrossRef]
  2. Zheng, F.; Chen, F.; Guo, Y.; Jiang, T.; Travyanov, A.Y.; Qiu, G. Kinetics of hydrochloric acid leaching of titanium from titanium-bearing electric furnace slag. JOM 2016, 68, 1476–1484. [Google Scholar] [CrossRef]
  3. Chen, D.S.; Song, B.; Wang, L.N.; Qi, T.; Wang, Y.; Wang, W.J. Solid state reduction of Panzhihua titanomagnetite concentrates with pulverized coal. Miner. Eng. 2011, 24, 864–869. [Google Scholar] [CrossRef]
  4. Zhang, Y.M.; Wang, L.N.; Chen, D.S.; Wang, W.J.; Liu, Y.H.; Zhao, H.X.; Qi, T. A method for recovery of iron, titanium, and vanadium from vanadium-bearing titanomagnetite. Int. J. Miner. Metall. Mater. 2018, 25, 131–144. [Google Scholar] [CrossRef]
  5. Feng, C.; Chu, M.S.; Tang, J.; Liu, Z.G. Effects of smelting parameters on the slag/metal separation behaviors of Hongge vanadium-bearing titanomagnetite metallized pellets obtained from the gas-based direct reduction process. Int. J. Miner. Metall. Mater. 2018, 25, 609–622. [Google Scholar] [CrossRef]
  6. Sui, Y.L.; Guo, Y.F.; Jiang, T.; Xie, X.L.; Wang, S.; Zheng, F.Q. Gas-based reduction of vanadium titano-magnetite concentrate: Behavior and mechanisms. Int. J. Miner. Metall. Mater. 2017, 24, 10–17. [Google Scholar] [CrossRef]
  7. Hu, T.; Lv, X.; Bai, C.; Lun, Z.; Qiu, G. Reduction behavior of Panzhihua titanomagnetite concentrates with coal. Metall. Mater. Trans. B 2013, 44, 252–260. [Google Scholar] [CrossRef]
  8. Sun, H.; Dong, X.; She, X.; Xue, Q.; Wang, J. Solid state reduction of titanomagnetite concentrate by graphite. ISIJ Int. 2013, 53, 564–569. [Google Scholar] [CrossRef] [Green Version]
  9. Zhao, L.; Liu, Y.; Wang, L.; Zhao, H.; Chen, D.; Zhong, B.; Wang, J.; Qi, T. Production of rutile TiO2 pigment from titanium slag obtained by hydrochloric acid leaching of vanadium-bearing titanomagnetite. Ind. Eng. Chem. Res. 2014, 53, 70–77. [Google Scholar] [CrossRef]
  10. Zheng, H.Y.; Sun, Y.; Lu, J.W.; Dong, J.H.; Zhang, W.L.; Shen, F.M. Vanadium extraction from vanadium-bearing titanomagnetite by selective chlorination using chloride wastes (FeClx). J. Central South Univ. 2017, 24, 311–317. [Google Scholar] [CrossRef]
  11. Chen, J.W.; Jiao, Y.; Wang, X.D. Thermodynamic studies on gas-based reduction of vanadium titano-magnetite pellets. Int. J. Miner. Metall. Mater. 2019, 26, 822–830. [Google Scholar] [CrossRef]
  12. Yu, J.; Hu, N.; Xiao, H.; Gao, P.; Sun, Y. Reduction behaviors of vanadium-titanium magnetite with H2 via a fluidized bed. Powder Technol. 2021, 385, 83–91. [Google Scholar] [CrossRef]
  13. Li, X.; Kou, J.; Sun, T.; Wu, S.; Zhao, Y. Effects of temperature on Fe and Ti in carbothermic reduction of vanadium titanomagnetite with adding MgO. Physicochem. Probl. Miner. Process. 2019, 55. [Google Scholar] [CrossRef]
  14. Yu, W.; Wen, X.; Chen, J.; Kuang, J.; Tang, Q.; Tian, Y.; Fu, J.; Huang, W.; Qiu, T. Preparation of direct reduced iron and titanium nitride from Panzhihua titanomagnetite concentrate through carbothermic reduction-magnetic separation. Minerals 2017, 7, 220. [Google Scholar] [CrossRef] [Green Version]
  15. Yu, W.; Wen, X.; Chen, J.; Tang, Q.; Dong, W.; Zhong, J. Effect of Sodium Borate on the Preparation of TiN from Titanomagnetite Concentrates by Carbothermic Reduction–Magnetic Separation and Acid Leaching Process. Minerals 2019, 9, 675. [Google Scholar] [CrossRef] [Green Version]
  16. Zhang, G.; Feng, K.; Yue, H. Theoretical analyses and experimental investigations of selective carbothermal reactions of vanadium-bearing titanomagnetite concentrates for preparation of iron-based wear-resistant material. JOM 2016, 68, 2525–2532. [Google Scholar] [CrossRef]
  17. Wu, E.H.; Zhu, R.; Yang, S.L.; Ma, L.; Li, J.; Hou, J. Influences of technological parameters on smelting-separation process for metallized pellets of vanadium-bearing titanomagnetite concentrates. J. Iron Steel Res. Int. 2016, 23, 655–660. [Google Scholar] [CrossRef]
  18. Pierson, H.O. Handbook of Refractory Carbides & Nitrides: Properties, Characteristics, Processing and Applications; William Andrew: Noyes Publications, NJ, USA, 1996. [Google Scholar]
  19. Ru, J.; Hua, Y.; Xu, C.; Li, J.; Li, Y.; Wang, D.; Gong, K.; Wang, R.; Zhou, Z. Microwave-assisted preparation of submicron-sized FeTiO3 powders. Ceram. Int. 2014, 40, 6799–6805. [Google Scholar] [CrossRef]
  20. Rezan, S.A.; Zhang, G.; Ostrovski, O. Carbothermal reduction and nitridation of ilmenite concentrates. ISIJ Int. 2012, 52, 363–368. [Google Scholar] [CrossRef] [Green Version]
  21. Adipuri, A.; Zhang, G.; Ostrovski, O. Chlorination of titanium oxycarbonitride produced by carbothermal nitridation of rutile. Ind. Eng. Chem. Res. 2009, 48, 779–787. [Google Scholar] [CrossRef]
  22. Welham, N.; Willis, P. Formation of TiN/TiC-Fe composites from ilmenite (FeTiO3) concentrate. Metall. Mater. Trans. B 1998, 29, 1077–1083. [Google Scholar] [CrossRef]
  23. Gou, H.P.; Zhang, G.H.; Yuan, X.; Chou, K.C. Formation of titanium carbonitride via carbothermic reduction of ilmenite concentrate in nitrogen atmosphere. Isij Int. 2016, 56, 744–751. [Google Scholar] [CrossRef] [Green Version]
  24. Gou, H.P.; Zhang, G.H.; Chou, K.C. Phase evolution during the carbothermic reduction process of ilmenite concentrate. Metall. Mater. Trans. B 2015, 46, 48–56. [Google Scholar] [CrossRef]
  25. Qin, J.; Wang, Y.; You, Z.; Wen, L.; Lv, X. Carbonization and nitridation of vanadium–bearing titanomagnetite during carbothermal reduction with coal. J. Mater. Res. Technol. 2020, 9, 4272–4282. [Google Scholar] [CrossRef]
  26. Zhao, L.S.; Wang, L.N.; Chen, D.S.; Zhao, H.X.; Liu, Y.H.; Tao, Q. Behaviors of vanadium and chromium in coal-based direct reduction of high-chromium vanadium-bearing titanomagnetite concentrates followed by magnetic separation. Trans. Nonferrous Met. Soc. China 2015, 25, 1325–1333. [Google Scholar] [CrossRef]
  27. Zhao, Y.Q.; Sun, T.C.; Zhao, H.Y.; Chen, C.; Wang, X.P. Effect of reductant type on the embedding direct reduction of beach titanomagnetite concentrate. Int. J. Miner. Metall. Mater. 2019, 26, 152–159. [Google Scholar] [CrossRef]
  28. Coetsee, T.; Pistorius, C. Preliminary Observations on Phase Relations in the “V2O3–FeO” and V2O3–TiO2 Systems from 1400 °C to 1600 °C in Reducing Atmospheres. J. Am. Ceram. Soc. 2000, 83, 1485–1488. [Google Scholar] [CrossRef]
  29. Sun, Y.; Gao, P.; Han, Y.; Ren, D. Reaction behavior of iron minerals and metallic iron particles growth in coal-based reduction of an oolitic iron ore. Ind. Eng. Chem. Res. 2013, 52, 2323–2329. [Google Scholar] [CrossRef]
  30. Yu, W.; Sun, T.; Cui, Q.; Xu, C.; Kou, J. Effect of coal type on the reduction and magnetic separation of a high-phosphorus oolitic hematite ore. ISIJ Int. 2015, 55, 536–543. [Google Scholar] [CrossRef] [Green Version]
  31. Yu, W.; Tang, Q.Y.; Chen, J.A.; Sun, T.C. Thermodynamic analysis of the carbothermic reduction of a high-phosphorus oolitic iron ore by FactSage. Int. J. Miner. Metall. Mater. 2016, 23, 1126–1132. [Google Scholar] [CrossRef]
  32. Bale, C.W.; Bélisle, E. Fact-Web Suite of Interactive Programs. Available online: www.factsage.com (accessed on 5 March 2021).
  33. He, X.; Ye, J.; Liu, Y.; Chen, B.; Jiang, Z.; Zou, H.; Deng, L.; Tu, M. Phase transition and microstructure evolution during the carbothermal preparation of Ti (C, N) powders in an open system. Adv. Powder Technol. 2010, 21, 448–451. [Google Scholar] [CrossRef]
  34. Dewan, M.A.; Zhang, G.; Ostrovski, O. Carbothermal reduction of a primary ilmenite concentrate in different gas atmospheres. Metall. Mater. Trans. B 2010, 41, 182–192. [Google Scholar] [CrossRef] [Green Version]
  35. Liu, J.H.; Zhang, G.H.; Wu, Y.D.; Chou, K.C. Electrical Conductivity and Electronic/Ionic Properties of TiOx-CaO-SiO2 Slags at Various Oxygen Potentials and Temperatures. Metall. Mater. Trans. B 2016, 47, 798–803. [Google Scholar] [CrossRef]
  36. Dong, S.; Chen, X.; Gu, L.; Zhou, X.; Wang, H.; Liu, Z.; Han, P.; Yao, J.; Wang, L.; Cui, G.; et al. TiN/VN composites with core/shell structure for supercapacitors. Mater. Res. Bull. 2011, 46, 835–839. [Google Scholar] [CrossRef]
  37. Kiesler, D.; Bastuck, T.; Theissmann, R.; Kruis, F. Plasma synthesis of titanium nitride, carbide and carbonitride nanoparticles by means of reactive anodic arc evaporation from solid titanium. J. Nanopart. Res. 2015, 17, 1–13. [Google Scholar] [CrossRef]
Figure 1. Microstructure and EDS results of VTMC: (a) typical SEM image; (b) partial enlarged view of (a), where “+” refers to the analyzed point through EDS, and numbers refer to the composition data in Table 2.
Figure 1. Microstructure and EDS results of VTMC: (a) typical SEM image; (b) partial enlarged view of (a), where “+” refers to the analyzed point through EDS, and numbers refer to the composition data in Table 2.
Minerals 11 00730 g001
Figure 2. XRD patterns of pellets roasted at different temperatures for 90 min.
Figure 2. XRD patterns of pellets roasted at different temperatures for 90 min.
Minerals 11 00730 g002
Figure 3. 5—iron (Fe); 6—M 3 O 5 (FeTi 2 O 5 ; MgTi 2 O 5 ; Ti 3 O 5 ); 7—osbornite (TiN); 8—spinel (MgAl 2 O 4 ). XRD patterns of pellets roasted at 1300 °C for different amounts of time.
Figure 3. 5—iron (Fe); 6—M 3 O 5 (FeTi 2 O 5 ; MgTi 2 O 5 ; Ti 3 O 5 ); 7—osbornite (TiN); 8—spinel (MgAl 2 O 4 ). XRD patterns of pellets roasted at 1300 °C for different amounts of time.
Minerals 11 00730 g003
Figure 4. Microstructure and EDS results of the pellets roasted at 1000 °C for 90 min: (a) typical SEM image; (b) the reduced titanomagnetite; (c) the reduced ilmenite; (d) V, Ti, N, and Fe elemental maps of the area shown in (b).
Figure 4. Microstructure and EDS results of the pellets roasted at 1000 °C for 90 min: (a) typical SEM image; (b) the reduced titanomagnetite; (c) the reduced ilmenite; (d) V, Ti, N, and Fe elemental maps of the area shown in (b).
Minerals 11 00730 g004
Figure 5. Microstructure and EDS results of the pellets roasted at 1100 °C for 90 min: (a) typical SEM image; (b) the reduced titanomagnetite; (c) the reduced ilmenite; (d) V, Ti, N, and Fe elemental maps of the area shown in (b).
Figure 5. Microstructure and EDS results of the pellets roasted at 1100 °C for 90 min: (a) typical SEM image; (b) the reduced titanomagnetite; (c) the reduced ilmenite; (d) V, Ti, N, and Fe elemental maps of the area shown in (b).
Minerals 11 00730 g005
Figure 6. Microstructure and EDS results of the pellets roasted at 1200 °C for 90 min: (a) typical SEM image; (b) the reduced titanomagnetite; (c) the reduced ilmenite; (d) V, Ti, N, and Fe elemental maps of the area shown in (b).
Figure 6. Microstructure and EDS results of the pellets roasted at 1200 °C for 90 min: (a) typical SEM image; (b) the reduced titanomagnetite; (c) the reduced ilmenite; (d) V, Ti, N, and Fe elemental maps of the area shown in (b).
Minerals 11 00730 g006
Figure 7. Microstructure and EDS results of the pellets roasted at 1300 °C for 90 min: (a) typical SEM image; (b) the reduced titanomagnetite; (c) the reduced ilmenite; (d) V, Ti, N, and Fe elemental maps of the area shown in (b); (e) metallic iron.
Figure 7. Microstructure and EDS results of the pellets roasted at 1300 °C for 90 min: (a) typical SEM image; (b) the reduced titanomagnetite; (c) the reduced ilmenite; (d) V, Ti, N, and Fe elemental maps of the area shown in (b); (e) metallic iron.
Minerals 11 00730 g007
Figure 8. Microstructure and EDS results of the pellets roasted at 1350 °C for 90 min: (a,b) typical SEM images; (c) metallic iron; (d) V, Ti, N, and Fe elemental maps of the area shown in (b).
Figure 8. Microstructure and EDS results of the pellets roasted at 1350 °C for 90 min: (a,b) typical SEM images; (c) metallic iron; (d) V, Ti, N, and Fe elemental maps of the area shown in (b).
Minerals 11 00730 g008
Figure 9. Plots of Δ G vs. temperature of Equations (2)–(14).
Figure 9. Plots of Δ G vs. temperature of Equations (2)–(14).
Minerals 11 00730 g009
Figure 10. Path of carbothermic reduction and nitridation of VTMC.
Figure 10. Path of carbothermic reduction and nitridation of VTMC.
Minerals 11 00730 g010
Table 1. Elemental composition of VTMC (mass%).
Table 1. Elemental composition of VTMC (mass%).
FeTiO 2 V 2 O 5 SiO 2 MgOAl 2 O 3 CaOS
56.7210.500.643.503.042.570.370.58
Table 2. Elemental composition of VTMC (mass%).
Table 2. Elemental composition of VTMC (mass%).
PointOFeTiVMgAlMnSiCaNaPhase
136.6029.2031.55--1.700.95---Ilmenite
227.7171.400.360.53------Magnetite
347.420.77---17.78-21.629.153.27Silicate
436.2028.0332.52-2.29-0.95---Ilmenite
531.6659.757.350.450.510.29----Titanomagnetite
635.9932.038.660.207.5115.60----Titanomagnetite
734.9338.2817.750.413.984.65----Titanomagnetite
829.3050.7616.960.212.220.54----Titanomagnetite
Table 3. Elemental composition of points shown in Figure 4 (mass%).
Table 3. Elemental composition of points shown in Figure 4 (mass%).
PointOFeTiVMgAlSPhase
122.8736.8932.661.664.071.84-Ilmenite
232.5771.4024.561.584.123.45-Ilmenite
336.8024.8428.612.014.182.820.75Ilmenite
44.0895.320.61----Iron
539.7924.2332.56-3.41--Ilmenite
Table 4. Elemental composition of points shown in Figure 5 (mass%).
Table 4. Elemental composition of points shown in Figure 5 (mass%).
PointCNOFeTiVMgAlSMnSiPhase
12.77-38.902.5948.960.065.760.85--0.11M 3 O 5
25.40-38.842.7446.81-4.790.82-0.59-M 3 O 5
35.49-44.224.974.42-10.8928.84-1.17-Spinel
423.100.35-27.561.000.42--26.4721.09-Sulfide
511.670.814.6631.763.471.050.570.7526.3818.87-Sulfide
610.20-37.408.0729.771.465.927.18---M 3 O 5
79.02--90.020.96------Iron
Table 5. Elemental composition of points shown in Figure 6 (mass%).
Table 5. Elemental composition of points shown in Figure 6 (mass%).
PointCNOFeTiVMgAlSiCaSCrMnPhase
15.88--93.530.23---0.36----Iron
22.8118.72-0.9875.961.53-------TiN
31.1915.96-0.7278.623.20-------TiN
44.13-49.180.431.30-10.009.4616.596.600.82--Glass
53.8920.42-0.4272.302.82---0.15---TiN
64.1621.36--70.823.43---0.24---TiN
72.27-39.780.3553.45-2.861.29-----M 3 O 5
82.14-40.38-53.09-2.831.38-----M 3 O 5
92.55-37.347.1147.83-3.141.31--0.72--M 3 O 5
108.15--49.560.615.03----30.753.042.87Sulfide
118.89--47.300.495.10----31.962.953.30Sulfide
Table 6. Elemental composition of points shown in Figure 7 (mass%).
Table 6. Elemental composition of points shown in Figure 7 (mass%).
PointCNOFeTiVMgAlSMnSiCaPhase
17.52--91.750.73-------Iron
21.9519.65-16.9859.451.97------TiN
31.9418.080.996.6869.093.22------TiN
42.95-36.101.7953.75-2.811.67--0.490.43M 3 O 5
53.20-38.061.3247.98-2.493.57--1.851.53M 3 O 5
65.75-43.411.973.120.130.9315.67--15.8712.19Slag
73.34-34.830.6654.560.543.851.87--0.34-M 3 O 5
83.18-35.383.8552.550.263.181.38--0.25-M 3 O 5
910.341.203.6222.296.250.931.070.7427.1925.88-0.47Sulfide
106.01-43.066.520.50-12.6331.28----Spinel
Table 7. Elemental composition of points shown in Figure 8 (mass%).
Table 7. Elemental composition of points shown in Figure 8 (mass%).
PointCNOFeTiVMgAlSiCaPhase
15.18--92.330.17---2.32-Iron
22.6217.43-0.4876.062.61--0.160.64TiN
32.7816.65-1.0476.023.09---0.43TiN
41.4619.09-0.5271.617.10---0.22TiN
54.10-48.73-0.74-30.18-15.980.26Slag
64.40-44.44-0.37-4.6810.7314.6219.06Slag
762.55--36.71----0.74-Cementite
Publisher’s Note: MDPI stays neutral with regard to jurisdictional claims in published maps and institutional affiliations.

Share and Cite

MDPI and ACS Style

Yu, W.; Wen, X.; Liu, W.; Chen, J. Carbothermic Reduction and Nitridation Mechanism of Vanadium-Bearing Titanomagnetite Concentrate. Minerals 2021, 11, 730. https://doi.org/10.3390/min11070730

AMA Style

Yu W, Wen X, Liu W, Chen J. Carbothermic Reduction and Nitridation Mechanism of Vanadium-Bearing Titanomagnetite Concentrate. Minerals. 2021; 11(7):730. https://doi.org/10.3390/min11070730

Chicago/Turabian Style

Yu, Wen, Xiaojin Wen, Wei Liu, and Jiangan Chen. 2021. "Carbothermic Reduction and Nitridation Mechanism of Vanadium-Bearing Titanomagnetite Concentrate" Minerals 11, no. 7: 730. https://doi.org/10.3390/min11070730

APA Style

Yu, W., Wen, X., Liu, W., & Chen, J. (2021). Carbothermic Reduction and Nitridation Mechanism of Vanadium-Bearing Titanomagnetite Concentrate. Minerals, 11(7), 730. https://doi.org/10.3390/min11070730

Note that from the first issue of 2016, this journal uses article numbers instead of page numbers. See further details here.

Article Metrics

Back to TopTop