Pitfalls and Possibilities of Patinated Bronze: The Analysis of Pre-Roman Italian Armour Using pXRF
Abstract
:1. Introduction
2. Elemental Characterization of Bronze
3. Case studies
4. Methods
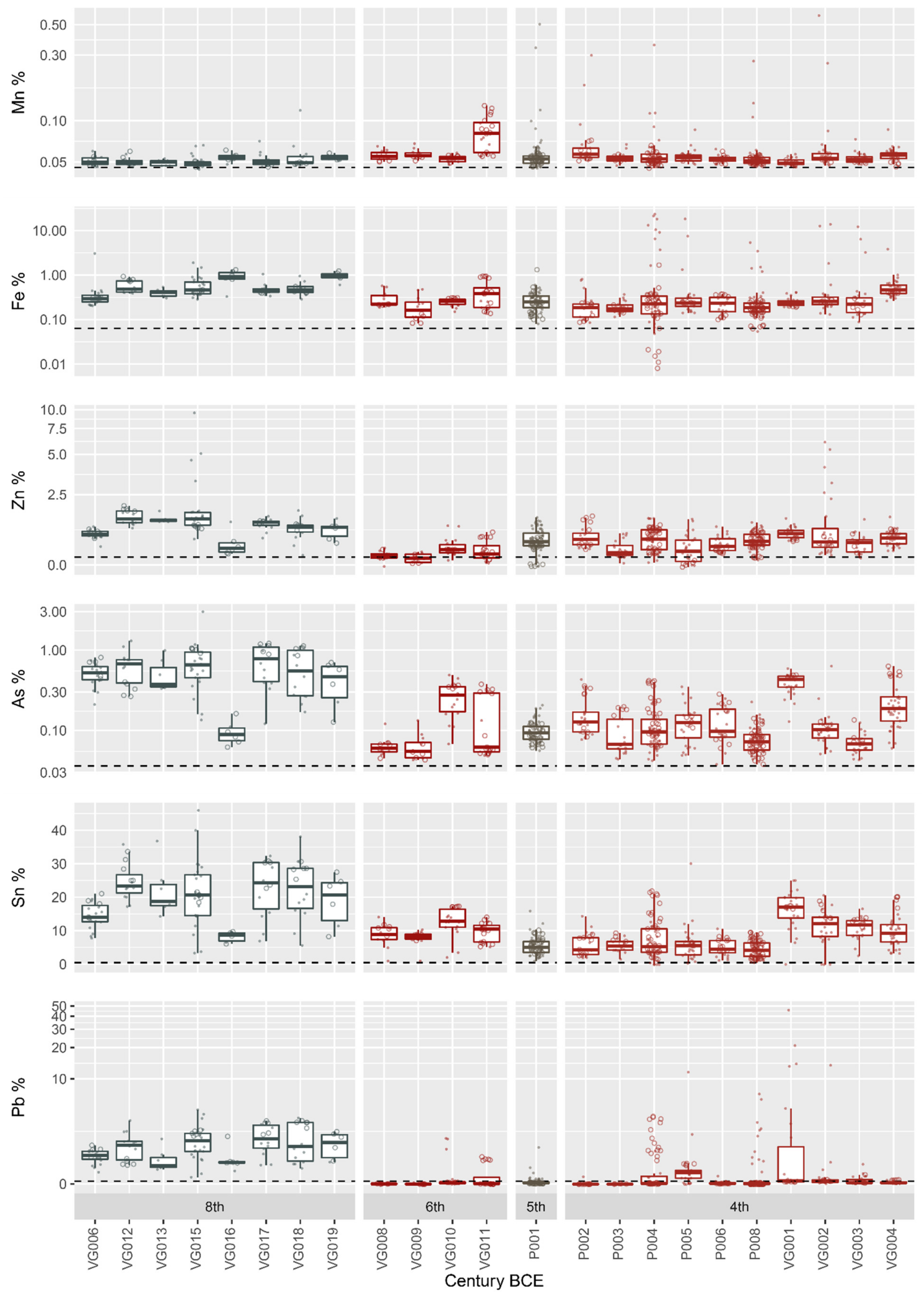
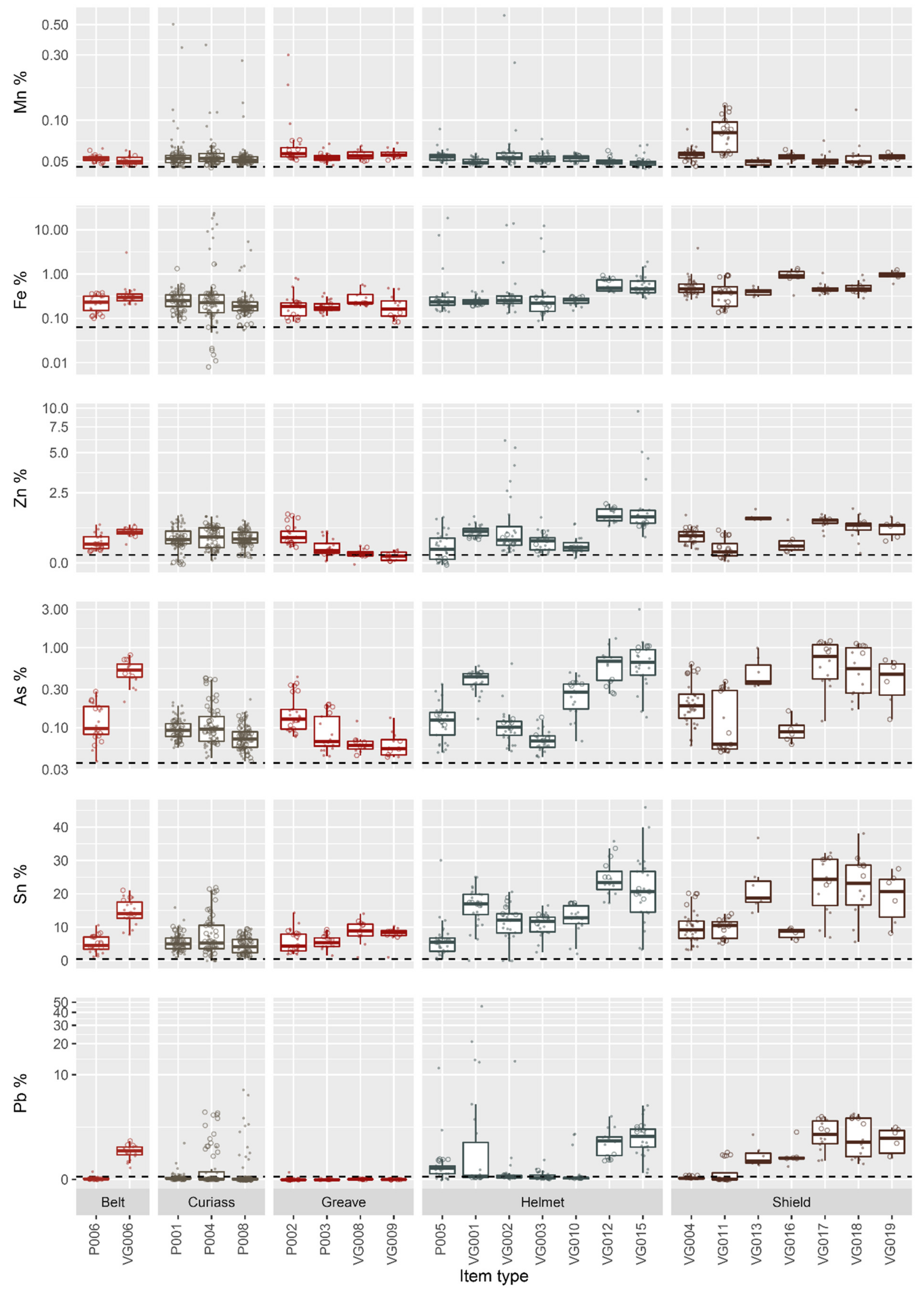
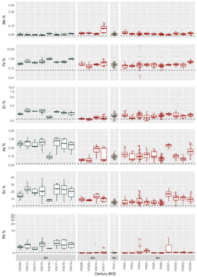
5. Results
Cluster Assays
6. Discussion
7. Conclusions
Supplementary Materials
Author Contributions
Funding
Data Availability Statement
Acknowledgments
Conflicts of Interest
Appendix A. Portable X-ray Fluorescence Calibration Procedures
| Mn | Fe | Ni | Cu | Zn | As | Sn | Sb | Pb | |
|---|---|---|---|---|---|---|---|---|---|
| Given Values | |||||||||
| BCR-691-A | 0.20 | 0.20 | 0.10 | 76.50 | 6.02 | 0.19 | 7.16 | 0.50 | 7.90 |
| BCR-691-B | 0.40 | 0.50 1 | 0.20 | 81.00 | 14.80 | 0.10 | 2.06 | - | 0.39 |
| BCR-691-C | 0.20 | 0.20 | - | 95.00 | 0.06 | 4.60 | 0.20 | 0.50 | 0.18 |
| BCR-691-D | 0.10 | 0.10 | 0.30 | 80.50 | 0.15 | 0.29 | 10.10 | 0.30 | 9.20 1 |
| BCR-691-E | 0.30 | 0.30 | 0.50 | 91.50 | 0.16 | 0.19 | 7.00 | 0.70 | 0.20 |
| MBH-32X PB11 | 0.04 | 0.37 | 0.72 | 92.09 | 1.60 | 0.19 | 3.20 | 0.47 | 1.08 |
| MBH-32X SN6B | 0.09 | 0.38 | 0.30 | 85.73 | 2.00 | 0.80 | 6.78 | 0.30 | 1.64 |
| MBH-33X 54400A | - | 0.07 | 0.24 | 86.79 | 3.87 | 0.02 | 3.97 | 0.04 | 4.69 |
| MBH-33X RB2 B | 0.08 | 0.50 | 0.33 | 82.02 | 9.01 | 0.04 | 4.65 | 0.05 | 2.99 |
| Calibrated Values | |||||||||
| BCR-691-A | 0.17 | 0.21 | 0.07 | 78.21 | 5.72 | 0.19 | 6.72 | 0.46 | 8.00 |
| BCR-691-B | 0.42 | - | 0.25 | 85.34 | 15.10 | 0.11 | 2.04 | - | 0.43 |
| BCR-691-C | 0.21 | 0.20 | - | 96.21 | -0.01 | 4.62 | 0.10 | 0.54 | 0.25 |
| BCR-691-D | 0.10 | 0.11 | 0.29 | 79.50 | 0.46 | 0.30 | 9.79 | 0.27 | - |
| BCR-691-E | 0.27 | 0.32 | 0.48 | 86.63 | 0.31 | 0.19 | 7.40 | 0.68 | 0.22 |
| MBH-32X PB11 | 0.09 | 0.37 | 0.71 | 91.33 | 1.56 | 0.19 | 3.22 | 0.49 | 1.06 |
| MBH-32X SN6B | 0.11 | 0.34 | 0.34 | 83.00 | 2.00 | 0.72 | 7.14 | 0.34 | 1.75 |
| MBH-33X 54400A | - | 0.09 | 0.22 | 86.89 | 3.86 | 0.07 | 3.97 | 0.04 | 4.59 |
| MBH-33X RB2 B | 0.06 | 0.52 | 0.35 | 84.04 | 8.68 | 0.07 | 4.77 | 0.05 | 2.80 |
| Element | Conc. | R2 | RMS | Mean Abs. | Det. | Element | Interference |
|---|---|---|---|---|---|---|---|
| Range (%) | Error (%) | Error (%) | Lim. 1 | Peak | Corrections | ||
| Mn | 0.04–0.40 | 0.944 | 0.03 | 0.02 | 0.05 | Mn Kα1 | - |
| Fe | 0.07–0.50 | 0.989 | 0.02 | 0.01 | 0.06 | Fe Kα1 | Cu Kα1 (Escape peak) |
| Ni | 0.10–0.72 | 0.976 | 0.03 | 0.03 | 0.05 | Ni Kα1 | Cu Kα1 (Peak overlap) |
| Cu | 76.50–95.00 | 0.806 | 2.59 | 2.08 | 34.84 | Cu Kα1 | - |
| Zn | 0.06–14.80 | 0.998 | 0.21 | 0.17 | 0.24 | Zn Kα1 | Cu Kβ1 (Peak overlap) |
| As | 0.02–4.60 | 0.999 | 0.04 | 0.02 | 0.04 | As Kβ1 | - |
| Sn | 0.20–10.10 | 0.992 | 0.26 | 0.20 | 0.44 | Sn Kα1 | - |
| Sb | 0.01–0.70 | 0.987 | 0.03 | 0.02 | 0.06 | Sb Kα1 | - |
| Pb | 0.18–7.90 | 0.999 | 0.10 | 0.08 | 0.12 | Pb Lβ1 | - |


References
- Burns, M. The Cultural and Military Significance of the South Italic Warrior’s Panoply from the 5th to the 3rd Centuries BC; University College London: London, UK, 2005. [Google Scholar]
- Kagan, D.; Viggiano, G.E. (Eds.) Men of Bronze: Hoplite Warfare in Ancient Greece; Princeton University Press: Princeton, NJ, USA, 2017. [Google Scholar]
- Egg, M. Studien zu den Ältereisenzeitlichen Helmen Italiens und der Alpen; Verlag des Römisch-Germanischen Zentralmuseums: Mainz, Germany, 1986; Volume 1–2. [Google Scholar]
- Bottini, A.; Egg, M.; von Hase, F.; Pflug, H.; Schaff, U.; Schauer, P.; Waurick, G. Antike Helme. Sammlung Lipperheide und andere Bestände des Antikenmuseums Berlin mit Beiträgen; Verlag des Römisch-Germanisches Zentralmuseums: Mainz, Germany, 1988. [Google Scholar]
- Paddock, J. The Bronze Italian Helmet: The Development of the Cassis from the Last Quarter of the Sixth Century B.C. to the Third Quarter of the First Century A.D. Ph.D. Thesis, University of London, London, UK, 1993. [Google Scholar]
- Born, H. Antike Herstellungstechniken: Gegossene Brustpanzer und Helme aus Italien. Acta Praehist. Archaeol. 1989, 21, 99–115. [Google Scholar]
- Born, H. Zur Herstellung der etruskischen Bronzehelme mit Scheitelknauf. Archäologisches Korresp. 1991, 21, 73–78. [Google Scholar]
- Mattusch, C. Corinthian Bronze: Famous, but Elusive. In Corinth Volume 20, Corinth, the Centenary: 1896–1996; Williams, C.K., II, Bookidis, N., Eds.; The American School of Classical Studies at Athens: Princeton, NJ, USA, 2003; pp. 219–232. [Google Scholar]
- Riccucci, C.; Ingo, G.M.; Faustoferri, A.; Pierigè, M.I.; Parisi, E.I.; Di Carlo, G.; De Caro, T.; Faraldi, F. Micro-chemical and metallurgical study of Samnite bronze belts from ancient Abruzzo (central Italy, VIII–IV BC). Appl. Phys. A 2013, 113, 959–970. [Google Scholar] [CrossRef]
- Mödlinger, M. Protecting the Body in War and Combat: Metal Body Armour in Bronze Age Europe; Austrian Academy of Sciences Press: Vienna, Austria, 2017. [Google Scholar]
- Robbiola, L.; Mlengino, J.-M.; Fiaud, C. Morphology and mechanisms of formation of natural patinas on archaeological Cu–Sn alloys. Corros. Sci. 1998, 40, 2083–2111. [Google Scholar] [CrossRef]
- Moreau, J.-F.; Hancock, R.G.V. L’anatomie d’un chaudron. In L’archéologie Sans la Loupe. Contributions à l’Archéométri; Moreau, J.-F., Ed.; Recherches Amérindiennes au Québec: Montréal, QC, Canada, 1999; Volume Paléo-Québec 29, pp. 73–86. [Google Scholar]
- Scott, D. An Examination of the Patina and Corrosion Morphology of Some Roman Bronzes. J. Am. Inst. Conserv. 1994, 33, 1–23. [Google Scholar] [CrossRef]
- Manti, P. Shiny Helmets: Investigation of Tinning, Manufacture and Corrosion of Greek Helmets (7th–5th c. BC). Ph.D. Thesis, Cardiff University, Cardiff, UK, 2012. [Google Scholar]
- Nicholas, M.; Manti, P. Testing the applicability of handheld portable XRF to the characterisation of archaeological copper alloys. In Proceedings of the ICOM-CC 17th Triennial Conference Preprints, Melbourne, VIC, Australia, 15–19 September 2014; Bridgland, J., Ed.; International Council of Museums: Paris, France, 2014. [Google Scholar]
- Piccardo, P.; Mille, B.; Robbiola, L. Tin and copper oxides in corroded archaeological bronzes. In Corrosion of Metallic Heritage Artefacts—Investigation, Conservation and Prediction for Long-Term Behaviour; Dillmann, P., Beranger, G., Piccardo, P., Matthiesen, H., Eds.; Woodhead Publishing: Cambridge, UK, 2007; pp. 239–262. [Google Scholar]
- Adriaens, A.; Dowsett, M. Electrochemical analysis of metallic heritage artefacts: Time-lapse spectroelectrochemical techniques. In Corrosion and Conservation of Cultural Heritage Metallic Artefacts; Dillmann, P., Watkinson, D., Angelini, E.A.A., Eds.; Woodhead Publishing: Cambridge, UK, 2013; pp. 149–164. [Google Scholar]
- Dolfini, A.; Crellin, R.; Horn, C.; Uckelmann, M. Interdisciplinary Approaches to Prehistoric Warfare and Violence: Past, Present, and Future. In Prehistoric Warfare and Violence: Quantitative and Qualitative Approaches; Dolfini, A., Crellin, R., Horn, C., Uckelmann, M., Eds.; Springer: Cham, Switzerland, 2018; pp. 1–20. [Google Scholar] [CrossRef]
- Pernicka, E. Trace element fingerprinting of Ancient Copper: A Guide to Technology or Provenance? In Metals in Antiquity; Young, S.M.M., Pollard, A.M., Budd, P., Ixer, R.A., Eds.; B.A.R.: Oxford, UK, 1999; pp. 163–171. [Google Scholar]
- Pernicka, E. Provenance Determination of Archaeological Metal Objects. In Archaeometallurgy in Global Perspective; Roberts, B., Thornton, C., Eds.; Springer: New York, NY, USA, 2014; pp. 239–268. [Google Scholar] [CrossRef] [Green Version]
- Merkel, J. Experimental reconstruction of Bronze Age copper smelting based on archaeological evidence from Timna. In The Ancient Metallurgy of Copper; Rothenberg, B., Ed.; Institute of Archaeo-Metallurgical Studies: London, UK, 1990. [Google Scholar]
- Merkel, J. Summary of experimental results for Late Bronze Age copper smelting and refining. Mus. Appl. Sci. Cent. J. 1983, 2, 173–179. [Google Scholar]
- Holmqvist, E.; Wessman, A.; Mänttäri, I.; Lahaye, Y. Lead isotope and geochemical analyses of copper-based metal artefacts from the Iron Age water burial in Levänluhta, Western Finland. J. Archaeol. Sci. Rep. 2019, 26, 101854. [Google Scholar] [CrossRef]
- Iaia, C. Handicrafts, 10th cent.-730 BCE. In Etruscology; Naso, A., Ed.; DeGruyter: Berlin, Germany, 2017; pp. 739–758. [Google Scholar]
- Charalambous, A.; Kassianidou, V.; Papassavas, G. A compositional study of Cypriot bronzes dating to the Early Iron Age using portable X-ray fluorescence spectrometry (pXRF). J. Archaeol. Sci. 2014, 46, 205–216. [Google Scholar] [CrossRef]
- Letardi, P. Laboratory and field tests on patinas and protective coating systems for outdoor bronze monument. In Metal 04, Proceedings of the International Conference on Metals Conservation, Canberra Australia, 4–8 October 2004; Ashton, J., Hallam, D., Eds.; National Museum of Australia: Canberra, Australia, 2004; pp. 379–387. [Google Scholar]
- Hughes, R. Artificial patination. In Metal Plating and Patination: Cultural, Technical and Historical Developments; Niece, S., Craddock, P., Eds.; Butterworth-Heinemann: Oxford, UK, 2013; pp. 1–18. [Google Scholar]
- Orfanou, V.; Rehren, T. A (Not So) Dangerous Method: Pxrf Vs. Epma-Wds Analyses of Copper-Based Artefacts. Archaeol. Anthropol. Sci. 2015, 7. [Google Scholar] [CrossRef] [Green Version]
- Tykot, R.H. Investigating Ancient Bronzes: Non-Destructive Analysis of Copper-Based Alloys. In Artistry in Bronze: The Greeks and Their Legacy. Xixth International Congress on Ancient Bronzes; Daehner, J.M., Lapatin, K., Spinelli, A., Eds.; The J. Paul Getty Museum and the Getty Conservation Institute: Los Angeles, CA, USA, 2017; pp. 289–299. [Google Scholar]
- Pearce, M. The Curse of the pXRF: The Negative Consequences of the Popularity of Handheld XRF Analysis of Copper-Based Metal Artefacts. Metalla 2019, 24, 81–85. [Google Scholar]
- Speakman, R.J.; Shackley, M.S. Silo science and portable XRF in archaeology: A response to Frahm. J. Archaeol. Sci. 2013, 40, 1435–1443. [Google Scholar] [CrossRef]
- Frahm, E. Is obsidian sourcing about geochemistry or archaeology? A reply to Speakman and Shackley. J. Archaeol. Sci. 2013, 40, 1444–1448. [Google Scholar] [CrossRef]
- Šatović, D.; Desnica, V.; Fazinic, S. Use of Portable X-Ray Fluorescence Instrument for Bulk Alloy Analysis on Low Corroded Indoor Bronzes. Spectrochim. Acta Part B At. Spectrosc. 2013, 89, 7–13. [Google Scholar] [CrossRef]
- Dussubieux, L.; Walder, H. Identifying American native and European smelted coppers with pXRF: A case study of artifacts from the Upper Great Lakes region. J. Archaeol. Sci. 2015, 59, 169–178. [Google Scholar] [CrossRef]
- Brunetti, A.; Golosio, B.; Melis, M.G.; Mura, S. A high-quality multilayer structure characterization method based on X-ray fluorescence and Monte Carlo simulation. Appl. Phys. A 2014, 118, 497–504. [Google Scholar] [CrossRef]
- Manso, M.; Schiavon, N.; Queralt, I.; Arruda, A.M.; Sampaio, J.M.; Brunetti, A. Alloy characterization of a 7th Century BC archeological bronze vase—Overcoming patina constraints using Monte Carlo simulations. Spectrochim. Acta Part B At. Spectrosc. 2015, 107, 93–96. [Google Scholar] [CrossRef] [Green Version]
- Bottaini, C.E.; Brunetti, A.; Montero-Ruiz, I.; Valera, A.; Candeias, A.; Mirão, J. Use of Monte Carlo Simulation as a Tool for the Nondestructive Energy Dispersive X-ray Fluorescence (ED-XRF) Spectroscopy Analysis of Archaeological Copper-Based Artifacts from the Chalcolithic Site of Perdigões, Southern Portugal. Appl. Spectrosc. 2017, 72, 17–27. [Google Scholar] [CrossRef]
- Giurlani, W.; Berretti, E.; Innocenti, M.; Lavacch, A. Coating Thickness Determination Using X-ray Fluorescence Spectroscopy: Monte Carlo Simulations as an Alternative to the Use of Standards. Coatings 2019, 9, 79. [Google Scholar] [CrossRef] [Green Version]
- Trojek, T. Iterative Monte Carlo procedure for quantitative X-ray fluorescence analysis of copper alloys with a covering layer. Radiat. Phys. Chem. 2020, 167. [Google Scholar] [CrossRef]
- Karydas, A. Application of a portable XRF spectrometer for the non-invasive analysis of museum metal artefacts. Ann. Chim. 2007, 97, 419–432. [Google Scholar] [CrossRef]
- Sestieri, P.C. La necropoli preistorica di Paestum. Riv. Sci. Preisloriche 1946, 1, 245–266. [Google Scholar]
- Sestieri, P.C. Nuovi risultati dagli scavi nella necropoli preistorica di Paestum. Riv. Sci. Preisloriche 1947, 2, 283–290. [Google Scholar]
- Sestieri, P.C. Primi risultati degli scavi nella necropoli preistorica di Paestum. Rendiconli Accad. Archeol. Lellere Belle Arti Napoli 1946, 23, 251–308. [Google Scholar]
- Voza, G. Ultimi scavi della necropoli del Gaudo. In Proceedings of the Atti Della IX Riunione Scientifica, Calabria, Italy, 6–8 April 1964; Istituto Italiano di Preistoria e Protostoria: Florence, Italy, 1965; pp. 265–274. [Google Scholar]
- Pallottino, M. La Necropoli di Cerveteri; La Libreria dello Stato: Rome, Italy, 1939. [Google Scholar]
- Pace, B.; Vighi, R.; Ricci, G.; Moretti, M. Cerveteri. Scavi di Raniero Mengarelli; Ulrico Hoepli: Milan, Italy, 1955. [Google Scholar]
- Stefani, E. Gualdo Tadino: Scoperte varie. Not. Scavi 1935, 1935, 155–173. [Google Scholar]
- Colini, A.M. Veio. Scavi nell’area della città e della necropolis. Not. Scavi 1919, 1919, 3–12. [Google Scholar]
- Bianco Peroni, V. Die Schwerter in Italien: Le Spade Nell’Italia Continentale; Beck: Munich, Germany, 1970. [Google Scholar]
- Buranelli, F.; Drago, L.; Paolini, L. La Necropoli di Casale del Fosso. In Le Necropoli Arcaiche di Veio: Giornata di Studio in Memoria di Massimo Pallottino; Pallottino, M., Bartoloni, G., Eds.; Università degli Studi di Roma “La Sapienza”, Dipartimento di scienze Storiche, Archeologiche e Antropologiche dell’antichità: Rome, Italy, 1997; pp. 63–83. [Google Scholar]
- Ricciardi, L. La necropoli settentrionale di Vulci. resoconto di un’indagine bibliografica e d’archivio. Boll. Arte 1989, 58, 27–52. [Google Scholar]
- Ferretti, M. The investigation of ancient metal artefacts by portable X-ray fluorescence devices. J. Analyical At. Spectrom. 2014, 29, 1753–1766. [Google Scholar] [CrossRef]
- Karydas, A.G.; Anglos, D.; Harith, M.A. Mobile Micro-XRF and LIBS Spectrometers for Diagnostic Micro-Analysis of Ancient Metal Objects. In Metals and Museums in the Mediterranean: Protecting, Preserving and Interpreting; Argyropoulos, V., Ed.; Department of Conservation of Antiquities and Works of Art: Athens, Greece, 2008; pp. 141–177. [Google Scholar]
- Nørgaard, H.W. Portable XRF on Prehistoric Bronze Artefacts: Limitations and Use for the Detection of Bronze Age Metal Workshops. Open Archaeol. 2017, 3, 101–122. [Google Scholar] [CrossRef]
- Castelle, M.; Dillmann, P.; Vega, E.; Blanc-Riehl, C.; Vilain, A.; Chastang, P.; Anheim, E. Seal the deal: An extensive study of European historical copper-based seal matrices using a multimodal protocol. J. Archaeol. Sci. 2020, 113, 105061. [Google Scholar] [CrossRef]
- Mödlinger, M.; Calderon, E.d.O.; Haubner, R. Arsenic Loss During Metallurgical Processing of Arsenical Bronze. Archaeol. Anthropol. Sci. 2019, 11, 133–140. [Google Scholar] [CrossRef]
- Lechtman, H. Arsenic Bronze: Dirty Copper or Chosen Alloy? A View from the Americas. J. Field Archaeol. 1996, 23, 477–514. [Google Scholar] [CrossRef]
- Lechtman, H. The Production of Copper–Arsenic Alloys (Arsenic Bronze) by Cosmelting: Modern Experiment, Ancient Practice. J. Archaeol. Sci. 1999, 26, 497–526. [Google Scholar] [CrossRef] [Green Version]
- Oudbashi, O.; Naseri, R.; Malekzadehet, M. Technical Studies on the Bronze Age Metal Artefacts from the Graveyard of Deh Dumen, South-Western Iran (Third Millennium BC). Archaeometry 2016, 58, 947–965. [Google Scholar] [CrossRef]
- Chiavari, C.; Rahmouni, K.; Takenouti, H.; Joiret, S.; Vermaut, P.; Robbiola, L. Composition and electrochemical properties of natural patinasof outdoor bronze monuments. Electrochim. Acta 2007, 52, 7760–7769. [Google Scholar] [CrossRef]
- Jones, C.; Duffy, C.; Gibson, A.; Terras, M. Understanding multispectral imaging of cultural heritage: Determining best practice in MSI analysis of historical artefacts. J. Cult. Herit. 2020, 45, 339–350. [Google Scholar] [CrossRef]
- Tuttle, P. Conservation of the Bronze Cuirass and Helmet. J. Paul Getty Mus. J. 1982, 10, 141–144. [Google Scholar]
- Stefani, E. Veio. Saggi E Scoperte Fortuite Nella Necropolis. Not. Scavi 1929, 1929, 326–349. [Google Scholar]
- Humphreys, E. How to spot a fake. Mater. Today 2002, 5, 32–37. [Google Scholar] [CrossRef]
- Drago Troccoli, L. Una coppia di principi nella necropoli di Casale del Fossa a Veio. In Dinamiche di Sviluppo delle Città Nell’Etruria Meridionale: Veio, Caere, Tarquinia Vulci, Proceedings of the Atti del XXIII Convegno di Studi Etruschi ed Italici, Roma, Veio, Cerveteri/Pyrgi, Tarquinia, Tuscania, Vulci, Viterbo, 1–6 Ottobre 2001; Paoletti, O., Ed.; IEPI: Pisa, Italy, 2005; Volume 23, pp. 87–124. [Google Scholar]
- Molloy, B.; Mödlinger, M. The Organisation and Practice of Metal Smithing in Later Bronze Age Europe. J. World Prehistory 2020, 33, 169–232. [Google Scholar] [CrossRef]
- De Marinis, R.C. Aspetti della metallurgia dell’età del Rame e dell’antica età del Bronzo nella penisola italiana. Riv. Sci. Preist. 2006, 56, 211–272. [Google Scholar]
- Esposito, A.; Petitti, P.; Ferretti, M.; Gorghinian, A.; Rossi, F. The production of metal artefacts in Southern Etruria (Central Italy): Case studies from copper to Iron Age. STAR Sci. Technol. Archaeol. Res. 2019, 5, 64–84. [Google Scholar] [CrossRef]
- Mödlinger, M. Body Armour in the European Bronze Age. In Prehistoric Warfare and Violence: Quantitative and Qualitative Approaches; Dolfini, A., Crellin, R., Horn, C., Uckelmann, M., Eds.; Springer: Cham, Switzerland, 2018; pp. 177–198. [Google Scholar] [CrossRef]
- Chen, D.; Yang, Y.; Du, J.; Tang, X.; Luo, W. Alloy ratio and raw material sourcing of Warring States Period bronze bracelets in Huili County, Southwest China by pXRF and MC-ICP-MS. Herit. Sci. 2020, 8, 69. [Google Scholar] [CrossRef]
- Heginbotham, A.; Bassett, J.; Bourgarit, D.; Eveleigh, C.; Glinsman, L.; Hook, D.; Smith, D.; Speakman, R.J.; Shugar, A.; Van Langh, R. The copper CHARM set: A new set of certified reference materials for the standardization of quantitative X-ray fluorescence analysis of heritage copper alloys. Archaeometry 2015, 57, 856–868. [Google Scholar] [CrossRef]
- Roxburgh, M.A.; Heeren, S.; Huisman, D.J.; van Os, B.J.H. Non-Destructive Survey of Early Roman Copper-Alloy Brooches Using Portable X-Ray Fluorescence Spectrometry. Archaeometry 2019, 61, 55–69. [Google Scholar] [CrossRef]
- Zararsiz, A.; Zimmermann, T. The Missing Jigsaw Piece–Pxrf Bulk Analysis of the Karaburun Dagger and Some General Considerations on Metalwork in Early Bronze Age Western Anatolia. Cedrus 2020, 8, 65–74. [Google Scholar] [CrossRef]








| Site | Tomb | Item(s) | Date (BC) | Location |
|---|---|---|---|---|
| Paestum/Poseidonia: Gaudo Necropolis [41,42,43,44] | Tomb 136: Male, 25–30 y/o Figure S1.1 |
| 420–400 | National Archaeological Museum of Paestum |
| Tomb 164: Male, 17–20 y/o Figures S1.2–6 |
| 380–370 | ||
| Tomb 197: Adult male Figure S1.7 |
| |||
| Cerveteri: Cava della Pozzolana [45,46] | Tomb 72 Figure S1.12 |
| c.700 | National Etruscan Museum of Villa Giulia, Rome |
| Gualdo Tadino, Umbria: Necropoli di Malpasso [47] | Tomb 12 Figure S1.9–11 |
| 400–350 | |
| Veii: Casale del Fosso [48,49,50] | Tomb 871 Figures S1.18–19 |
| 730–720 | |
| Tomb 1036 Figure S1.17,20–23 |
| 750–730 | ||
| Vulci: Necropoli dell’Osteria [51] | Tomb 47 Figures S1.13–16 |
| 530–510 | |
| Tomb 55 Figure S1.8 |
| 400–350 |
| BCE | Paestum | Vulci | Gualdo Tadino | Veii | Cerveteri | ||
|---|---|---|---|---|---|---|---|
| 750 | Tomb 871 | Tomb 1036 | Tomb 72 | ||||
| 700 | |||||||
| 650 | |||||||
| 600 | |||||||
| 550 | Tomb 47 | ||||||
| 500 | |||||||
| 450 | Tomb 136 | ||||||
| 400 | Tomb 164 | Tomb 197 | Tomb 55 | Tomb 12 | |||
| 350 | |||||||
Publisher’s Note: MDPI stays neutral with regard to jurisdictional claims in published maps and institutional affiliations. |
© 2021 by the authors. Licensee MDPI, Basel, Switzerland. This article is an open access article distributed under the terms and conditions of the Creative Commons Attribution (CC BY) license (https://creativecommons.org/licenses/by/4.0/).
Share and Cite
Emmitt, J.; McAlister, A.; Armstrong, J. Pitfalls and Possibilities of Patinated Bronze: The Analysis of Pre-Roman Italian Armour Using pXRF. Minerals 2021, 11, 697. https://doi.org/10.3390/min11070697
Emmitt J, McAlister A, Armstrong J. Pitfalls and Possibilities of Patinated Bronze: The Analysis of Pre-Roman Italian Armour Using pXRF. Minerals. 2021; 11(7):697. https://doi.org/10.3390/min11070697
Chicago/Turabian StyleEmmitt, Joshua, Andrew McAlister, and Jeremy Armstrong. 2021. "Pitfalls and Possibilities of Patinated Bronze: The Analysis of Pre-Roman Italian Armour Using pXRF" Minerals 11, no. 7: 697. https://doi.org/10.3390/min11070697
APA StyleEmmitt, J., McAlister, A., & Armstrong, J. (2021). Pitfalls and Possibilities of Patinated Bronze: The Analysis of Pre-Roman Italian Armour Using pXRF. Minerals, 11(7), 697. https://doi.org/10.3390/min11070697

