Bond Properties of NHL-Based Mortars with Viscosity-Modifying Water-Retentive Admixtures
Abstract
1. Introduction
2. Materials and Methods
3. Results and Discussion
3.1. Fresh-State Properties
3.2. Hygric Properties
3.3. Porosity
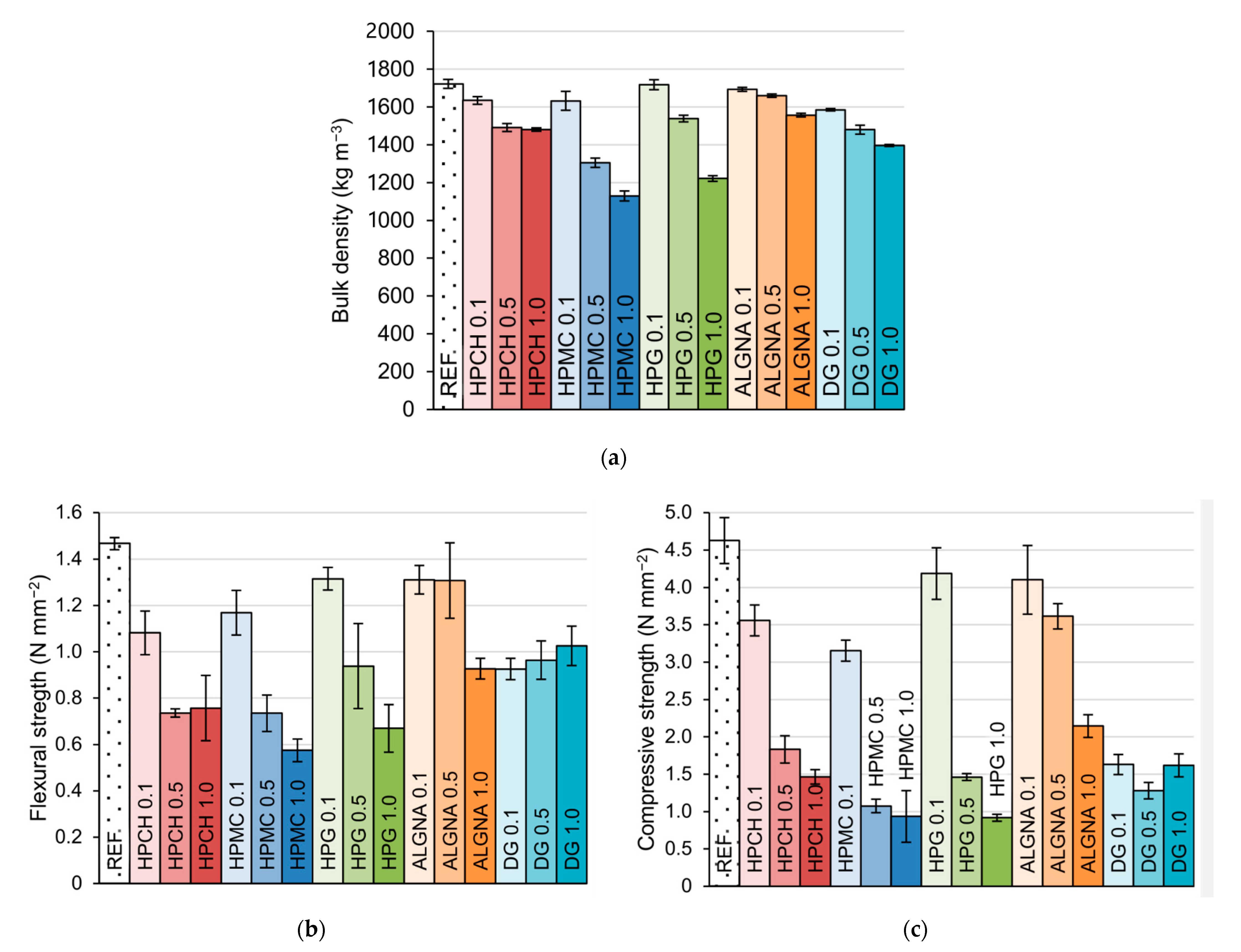
3.4. Strengths, Density
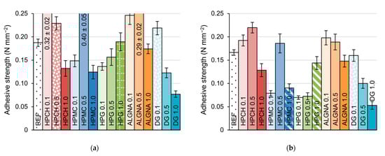
3.5. Adherence
3.6. Microscopy
4. Conclusions
Author Contributions
Funding
Data Availability Statement
Acknowledgments
Conflicts of Interest
References
- Forster, A.M. Building conservation philosophy for masonry repair: Part 1—“ethics”. Struct. Surv. 2010, 28, 91–107. [Google Scholar] [CrossRef]
- Forster, A.M. Building conservation philosophy for masonry repair: Part 2—“principles”. Struct. Surv. 2010, 28, 165–188. [Google Scholar] [CrossRef]
- Rodrigues, P.F.; Henriques, F.M.A. Current Mortars in Conservation: An Overview/Heute beim Konservieren verwendete Mörtel: Eine Übersicht. Restor. Build. Monum. 2004, 10, 609–622. [Google Scholar] [CrossRef]
- Izaguirre, A.; Lanas, J.; Álvarez, J.I. Ageing of lime mortars with admixtures: Durability and strength assessment. Cem. Concr. Res. 2010, 40, 1081–1095. [Google Scholar] [CrossRef]
- Papayianni, I.; Stefanidou, M. Strength–porosity relationships in lime–pozzolan mortars. Constr. Build. Mater. 2006, 20, 700–705. [Google Scholar] [CrossRef]
- Žižlavský, T.; Vyšvařil, M.; Rovnaníková, P. Physical-mechanical properties and durability of hydraulic lime-based mortars with non-traditional biopolymers. Acta Polytech. 2019, 22, 150–154. [Google Scholar] [CrossRef]
- Arizzi, A.; Viles, H.; Cultrone, G. Experimental testing of the durability of lime-based mortars used for rendering historic buildings. Constr. Build. Mater. 2012, 28, 807–818. [Google Scholar] [CrossRef]
- RILEM TC 127-MS. MS-A.4 Determination of the durability of hardened mortar. Mater. Struct. 1998, 31, 11–15. [Google Scholar] [CrossRef]
- Papayianni, I.; Hughes, J. Testing properties governing the durability of lime-based repair mortars. RILEM Tech. Lett. 2019, 3, 135–139. [Google Scholar] [CrossRef][Green Version]
- Arandigoyen, M.; Bernal, J.L.P.; López, M.A.B.; Alvarez, J.I. Lime-pastes with different kneading water: Pore structure and capillary porosity. Appl. Surf. Sci. 2005, 252, 1449–1459. [Google Scholar] [CrossRef]
- Lawrence, S.J.; Page, A.W. Bond studies in masonry. In Proceedings of the 10th IB2Mac, Calgary, AB, Canada, 5–7 July 1994; Shrive, N.G., Huizer, A., Eds.; University of Calgary: Calgary, AB, Canada, 1994; pp. 909–918. [Google Scholar]
- Johnson, J.B.; Withey, M.O.; Aston, J. Johnson’s Materials of Construction, 5th ed.; Turneaure, F.E., Ed.; John Wiley & Sons, Inc.: New York, NY, USA, 1918. [Google Scholar]
- Parsons, D.E. Watertightness and Traverse Strength of Masonry Walls; Structural Clay Products Institute, Inc.: Washington, DC, 1939. [Google Scholar]
- Ritchie, T.; Davison, J. Factors Affecting Bond Strength and Resistance to Moisture Penetration of Brick Masonry. In Symposium on Masonry Testing; ASTM International: West Conshohocken, PA, USA, 1963; pp. 16–30. [Google Scholar]
- Tate, M. The Most Important Property of Cement-Lime Mortar in Masonry Construction Is …. Int. Build. Lime Symp. 2005, pp. 1–13. Available online: http://www.buildinglime.org/Tate_Property.pdf (accessed on 27 May 2021).
- Fishburn, C.C. Effect of Mortar Properties On Strength of Masonry. In National Bureau of Standards, Monographs; US Department of Commerce, National Bureau of Standards: Washingon, DC, USA, 1961; Volume 36. [Google Scholar]
- Högberg, E. MORTAR BOND Rapport från Byggforskningen, Stockholm; National Swedish Institute for Building Research: Stockholm, Sweden, 1967. [Google Scholar]
- Groot, C.J.W.P. Aspects of Mortar-Brick Bond. In Proceedings of the 8th International Brick/Block Masonry Conference, Dublin, Ireland, 1–30 September 1988; de Courcy, J.W., Ed.; Elsevier Applied Science Publishers Ltd.: Dublin, Ireland, 1988; pp. 175–181. [Google Scholar]
- Jung, E. The Binding Between Mortar and Brick. In Proceedings of the 8th International Brick/Block Masonry Conference, Dublin, Ireland, 1–30 September 1988; de Courcy, J.W., Ed.; Elsevier Applied Science Publishers Ltd.: Dublin, Ireland, 1988; pp. 182–193. [Google Scholar]
- Lawrence, S.J.; Cao, H.T. Microstructure of the interface between brick and mortar. In Proceedings of the 8th International Brick/Block Masonry Conference, Dublin, Ireland, 1–30 September 1988; de Courcy, J.W., Ed.; Elsevier Applied Science Publishers Ltd.: Dublin, Ireland, 1988; pp. 194–204. [Google Scholar]
- Palmer, L.A.; Hall, J.V. Durability and strength of bond between mortar and brick. Bur. Stand. J. Res. 1931, 6, 473–492. [Google Scholar] [CrossRef]
- Patural, L.; Marchal, P.; Govin, A.; Grosseau, P.; Ruot, B.; Devès, O. Cellulose ethers influence on water retention and consistency in cement-based mortars. Cem. Concr. Res. 2011, 41, 46–55. [Google Scholar] [CrossRef]
- Zhi, Z.; Ma, B.; Jian, S.; Su, L.; Guo, Y.; Chen, F. Research on the interface and microstructure of thin layer mortar. ZKG Int. 2016, 69, 62–69. [Google Scholar]
- O‘Looney, D.; Pavía, S. A Study of the Functionality of Hydrated Lime as an Admixture. J. Mater. Sci. Res. 2014, 4, 1–11. [Google Scholar] [CrossRef]
- Green, K.M.; Carter, M.A.; Hoff, W.D.; Wilson, M.A. Effects of lime and admixtures on the water-retaining properties of cement mortars. Cem. Concr. Res. 1999, 29, 1743–1747. [Google Scholar] [CrossRef]
- Plank, J. Applications of Biopolymers in Construction Engineering. In Biopolymers Online; Steinbüchel, A., Ed.; Wiley: Hoboken, NJ, USA, 2005. [Google Scholar] [CrossRef]
- Khayat, K.H. Viscosity-enhancing admixtures for cement-based materials—An overview. Cem. Concr. Compos. 1998, 20, 171–188. [Google Scholar] [CrossRef]
- Plank, J. Applications of biopolymers and other biotechnological products in building materials. Appl. Microbiol. Biotechnol. 2004, 66, 1–9. [Google Scholar] [CrossRef]
- Singh, N.K.; Mishra, P.C.; Singh, V.K.; Narang, K.K. Effects of hydroxyethyl cellulose and oxalic acid on the properties of cement. Cem. Concr. Res. 2003, 33, 1319–1329. [Google Scholar] [CrossRef]
- Zhang, G.; Zhao, J.; Wang, P.; Xu, L. Effect of HEMC on the early hydration of Portland cement highlighted by isothermal calorimetry. J. Therm. Anal. Calorim. 2015, 119, 1833–1843. [Google Scholar] [CrossRef]
- Betioli, A.M.; Gleize, P.J.P.; Silva, D.A.; John, V.M.; Pileggi, R.G. Effect of HMEC on the consolidation of cement pastes: Isothermal calorimetry versus oscillatory rheometry. Cem. Concr. Res. 2009, 39, 440–445. [Google Scholar] [CrossRef]
- Ciobanu, C.; Iluc, S.; Lazǎu, I.; Pǎcurariu, C. Unele proprietǎţi fizico-mecanice ale mortarelor uscate, aditivate cu eteri de celulozǎ—Some physico-mechanical properties of dry mortars containing cellulose ethers. Rev. Rom. Mater. Rom. J. Mater. 2011, 41, 30–41. [Google Scholar]
- Ou, Z.H.; Ma, B.G.; Jian, S.W. Influence of cellulose ethers molecular parameters on hydration kinetics of Portland cement at early ages. Constr. Build. Mater. 2012, 33, 78–83. [Google Scholar] [CrossRef]
- Govin, A.; Bartholin, M.-C.; Biasotti, B.; Giudici, M.; Langella, V.; Grosseau, P. Modification of water retention and rheological properties of fresh state cement-based mortars by guar gum derivatives. Constr. Build. Mater. 2016, 122, 772–780. [Google Scholar] [CrossRef]
- Medić, V. Influence of Hydroxypropyl Guar on Water Retention of Cement Based Renders. Bull. Chem. Technol. Bosnia Herzegovina 2013, 40, 57–60. [Google Scholar]
- Izaguirre, A.; Lanas, J.; Álvarez, J.I.I. Characterization of aerial lime-based mortars modified by the addition of two different water-retaining agents. Cem. Concr. Compos. 2011, 33, 309–318. [Google Scholar] [CrossRef]
- Žižlavský, T.; Vyšvařil, M.; Bayer, P.; Rovnaníková, P. Influence of Guar Gum Derivatives on Hardened Properties of Aerial Lime-Based Mortars. Key Eng. Mater. 2018, 760, 22–29. [Google Scholar] [CrossRef]
- Vyšvařil, M.; Hegrová, M.; Žižlavský, T. Rheological Properties of Lime Mortars with Guar Gum Derivatives. Key Eng. Mater. 2018, 760, 257–265. [Google Scholar] [CrossRef]
- Žižlavský, T.; Vyšvařil, M.; Bayer, P.; Rovnaníková, P. Impact of guar gum and chitosan ethers on physico-mechanical properties and durability of natural hydraulic lime mortars. In Proceedings of the 5th Historic Mortars Conference, Pamplona, Spain, 19–21 June 2019; RILEM Publications S.A.R.L.: Paris, France, 2019; pp. 1279–1290. [Google Scholar]
- Lasheras-Zubiate, M.; Navarro-Blasco, I.; Fernández, J.M.M.; Álvarez, J.I.I. Effect of the addition of chitosan ethers on the fresh state properties of cement mortars. Cem. Concr. Compos. 2012, 34, 964–973. [Google Scholar] [CrossRef]
- Ustinova, Y.V.; Nikiforova, T.P. Cement Compositions with the Chitosan Additive. Procedia Eng. 2016, 153, 810–815. [Google Scholar] [CrossRef]
- Vyšvařil, M.; Žižlavský, T. Effect of chitosan ethers on fresh state properties of lime mortars. IOP Conf. Ser. Mater. Sci. Eng. 2017, 251, 012039. [Google Scholar] [CrossRef]
- Mignon, A.; Snoeck, D.; D’Halluin, K.; Balcaen, L.; Vanhaecke, F.; Dubruel, P.; Van Vlierberghe, S.; De Belie, N. Alginate biopolymers: Counteracting the impact of superabsorbent polymers on mortar strength. Constr. Build. Mater. 2016, 110, 169–174. [Google Scholar] [CrossRef]
- Bezerra, U.T. Biopolymers with superplasticizer properties for concrete. In Biopolymers and Biotech Admixtures for Eco-Efficient Construction Materials; Woodhead Publishing Limited: Cambridge, United Kingdom, 2016; pp. 195–220. ISBN 9780081002148. [Google Scholar]
- Arizzi, A.; Banfill, P.F.G. Rheology of lime pastes with biopolymer-based additives. Mater. Struct. 2019, 52, 8. [Google Scholar] [CrossRef]
- Žižlavský, T.; Vyšvařil, M.; Rovnaníková, P. Rheology of natural hydraulic lime pastes modified by non-traditional biopolymeric admixtures. Epa. J. Silic. Based Compos. Mater. 2019, 71, 204–209. [Google Scholar] [CrossRef]
- Žižlavský, T.; Vyšvařil, M.; Rovnaníková, P. Characterization of aerial lime-based mortars with addition of biopolymers. IOP Conf. Ser. Mater. Sci. Eng. 2018, 379, 012006. [Google Scholar] [CrossRef]
- Žižlavský, T.; Vyšvařil, M.; Bayer, P.; Rovnaníková, P. Microstructure of biopolymer-modified aerial lime mortars. MATEC Web Conf. 2020, 322, 01023. [Google Scholar] [CrossRef]
- Peik, J.A.; Steenbergen, S.M.; Veeder, G.T. Heteropolysaccharide S-657. 1992. Available online: https://patents.google.com/patent/US5175278A/en (accessed on 27 March 2021).
- Isik, I.E.; Ozkul, M.H. Utilization of polysaccharides as viscosity modifying agent in self-compacting concrete. Constr. Build. Mater. 2014, 72, 239–247. [Google Scholar] [CrossRef]
- Van Der Vurst, F.; Grünewald, S.; Feys, D.; Lesage, K.; Vandewalle, L.; Vantomme, J.; De Schutter, G. Effect of the mix design on the robustness of fresh self-compacting concrete. Cem. Concr. Compos. 2017, 82, 190–201. [Google Scholar] [CrossRef]
- Courard, L.; Darimont, A. Appetency and adhesion: Analysis of the kinetcs of contact between concrete and repairing mortars. In Interfacial Transition Zone in Cementitious Composites; CRC Press: London, UK, 1998; pp. 221–229. [Google Scholar] [CrossRef]
- Paiva, H.; Esteves, L.P.P.; Cachim, P.B.B.; Ferreira, V.M.M. Rheology and hardened properties of single-coat render mortars with different types of water retaining agents. Constr. Build. Mater. 2009, 23, 1141–1146. [Google Scholar] [CrossRef]
- Seabra, M.P.; Paiva, H.; Labrincha, J.A.; Ferreira, V.M. Admixtures effect on fresh state properties of aerial lime based mortars. Constr. Build. Mater. 2009, 23, 1147–1153. [Google Scholar] [CrossRef]
- Cappellari, M.; Daubresse, A.; Chaouche, M. Influence of organic thickening admixtures on the rheological properties of mortars: Relationship with water-retention. Constr. Build. Mater. 2013, 38, 950–961. [Google Scholar] [CrossRef]
- Vyšvařil, M.; Hegrová, M.; Žižlavský, T. Influence of Cellulose Ethers on Fresh State Properties of Lime Mortars. Solid State Phenom. 2018, 276, 69–74. [Google Scholar] [CrossRef]
- Arizzi, A.; Cultrone, G. The water transfer properties and drying shrinkage of aerial lime-based mortars: An assessment of their quality as repair rendering materials. Environ. Earth Sci. 2014, 71, 1699–1710. [Google Scholar] [CrossRef]
- Lanas, J.; Alvarez-Galindo, J.I. Masonry repair lime-based mortars: Factors affecting the mechanical behavior. Cem. Concr. Res. 2003, 33, 1867–1876. [Google Scholar] [CrossRef]
- Santos, A.R.; do Rosário Veiga, M.; Santos Silva, A.; de Brito, J.; Álvarez, J.I. Evolution of the microstructure of lime based mortars and influence on the mechanical behaviour: The role of the aggregates. Constr. Build. Mater. 2018, 187, 907–922. [Google Scholar] [CrossRef]
- Žižlavský, T.; Vyšvařil, M.; Bayer, P.; Rovnaníková, P. Properties of Aerial Lime-Based Mortars with Chitosan Ethers. Solid State Phenom. 2018, 276, 75–82. [Google Scholar] [CrossRef]
- Cook, R.A.; Hover, K.C. Mercury porosimetry of hardened cement pastes. Cem. Concr. Res. 1999, 29, 933–943. [Google Scholar] [CrossRef]
- Mishra, P.C.; Singh, V.K.; Narang, K.K.; Singh, N.K. Effect of carboxymethyl-cellulose on the properties of cement. Mater. Sci. Eng. A 2003, 357, 13–19. [Google Scholar] [CrossRef]
- Saric-Coric, M.; Khayat, K.H.; Tagnit-Hamou, A. Performance characteristics of cement grouts made with various combinations of high-range water reducer and cellulose-based viscosity modifier. Cem. Concr. Res. 2003, 33, 1999–2008. [Google Scholar] [CrossRef]
- Abrams, D.A. Design of Concrete Mixtures; Bulletin (Structural Materials Research Laboratory); Structural Materials Research Laboratory, Lewis Institute: Chicago, IL, USA, 1919. [Google Scholar]
- Nagaraj, T.S.; Banu, Z. Generalization of Abrams’ law. Cem. Concr. Res. 1996, 26, 933–942. [Google Scholar] [CrossRef]
- Zizlavsky, T.; Vysvaril, M.; Rovnanikova, P. Rheological study on influence of hydroxypropyl derivatives of guar gum, cellulose, and chitosan on the properties of natural hydraulic lime pastes. IOP Conf. Ser. Mater. Sci. Eng. 2019, 583, 012009. [Google Scholar] [CrossRef]
- Beushausen, H.; Höhlig, B.; Talotti, M. The influence of substrate moisture preparation on bond strength of concrete overlays and the microstructure of the OTZ. Cem. Concr. Res. 2017, 92, 84–91. [Google Scholar] [CrossRef]
- Palmer, L.A.; Parsons, D.A. A study of the properties of mortars and bricks and their relation to bond. Bur. Stand. J. Res. 1934, 12, 609. [Google Scholar] [CrossRef]
- Palmer, L.A.; Parsons, D.A. Permeability tests of 8-in. Brick Wallettes. In Proceedings of the ASTM Proceeding 1934, Atlantic City, NJ, USA, 25–29 June 1934; American Society for Testing and Materials: West Conshohocken, PA, USA, 1934; pp. 419–454. [Google Scholar]
- Groot, C.J.W.P. Effect of water on mortar brick bond. Ph.D. Thesis, TU Delft, Delft, The Netherlands, 1993. [Google Scholar]
- Zhang, P.; Teramoto, A.; Ohkubo, T. Laboratory-scale Method to Assess the Durability of Rendering Mortar and Concrete Adhesion Systems. J. Adv. Concr. Technol. 2020, 18, 521–531. [Google Scholar] [CrossRef]









| Abbrev. | Chemical Composition | Dosage (%) | Water/Binder Ratio (–) | Manufacturer |
|---|---|---|---|---|
| REF | – | – | 0.600 | – |
| HPCH | hydroxypropyl chitosan | 0.1 | 0.725 | Kraeber & Co. GmbH |
| 0.5 | 0.850 | |||
| 1.0 | 0.900 | |||
| HPMC | hydroxypropylmethyl cellulose | 0.1 | 0.725 | Lotte Fine Chemical |
| 0.5 | 0.850 | |||
| 1.0 | 1.000 | |||
| HPG | hydroxypropyl guar gum | 0.1 | 0.650 | Lamberti s.p.a. |
| 0.5 | 0.800 | |||
| 1.0 | 0.925 | |||
| ALGNA | sodium alginate | 0.1 | 0.675 | Sigma-Aldrich, Co |
| 0.5 | 0.700 | |||
| 1.0 | 0.875 | |||
| DG | diutan gum | 0.1 | 0.800 | CP Kelco |
| 0.5 | 0.950 | |||
| 1.0 | 1.100 |
| Dfm (kg m−3) | Air Content (%) | WRV (%) | Cm (kg m−2 min−½) | Total Open Porosity (%) | |
|---|---|---|---|---|---|
| REF | 1920 | 4.80 | 90.5 | 1.727 | 29.75 |
| HPCH 0.1 | 1895 | 4.20 | 90.4 | 1.938 | 31.04 |
| HPCH 0.5 | 1810 | 5.50 | 91.4 | 2.117 | 37.03 |
| HPCH 1.0 | 1810 | 5.00 | 89.5 | 2.363 | 37.92 |
| HPMC 0.1 | 1835 | 7.25 | 91.8 | 2.287 | 33.45 |
| HPMC 0.5 | 1485 | 17.25 | 96.8 | 1.012 | 42.85 |
| HPMC 1.0 | 1355 | 22.50 | 98.4 | 0.611 | 50.69 |
| HPG 0.1 | 1895 | 5.70 | 88.5 | 2.424 | 29.74 |
| HPG 0.5 | 1760 | 12.40 | 95.8 | 2.030 | 36.34 |
| HPG 1.0 | 1425 | 18.50 | 98.3 | 1.322 | 41.25 |
| ALGNA 0.1 | 1900 | 5.40 | 85.7 | 1.808 | 31.35 |
| ALGNA 0.5 | 1890 | 5.60 | 92.8 | 1.901 | 34.47 |
| ALGNA 1.0 | 1810 | 6.50 | 91.6 | 1.955 | 37.70 |
| DG 0.1 | 1870 | 3.60 | 86.6 | 3.072 | 35.37 |
| DG 0.5 | 1840 | 1.80 | 98.2 | 2.701 | 33.02 |
| DG 1.0 | 1755 | 2.85 | 97.5 | 1.554 | 38.76 |
Publisher’s Note: MDPI stays neutral with regard to jurisdictional claims in published maps and institutional affiliations. |
© 2021 by the authors. Licensee MDPI, Basel, Switzerland. This article is an open access article distributed under the terms and conditions of the Creative Commons Attribution (CC BY) license (https://creativecommons.org/licenses/by/4.0/).
Share and Cite
Žižlavský, T.; Bayer, P.; Vyšvařil, M. Bond Properties of NHL-Based Mortars with Viscosity-Modifying Water-Retentive Admixtures. Minerals 2021, 11, 685. https://doi.org/10.3390/min11070685
Žižlavský T, Bayer P, Vyšvařil M. Bond Properties of NHL-Based Mortars with Viscosity-Modifying Water-Retentive Admixtures. Minerals. 2021; 11(7):685. https://doi.org/10.3390/min11070685
Chicago/Turabian StyleŽižlavský, Tomáš, Patrik Bayer, and Martin Vyšvařil. 2021. "Bond Properties of NHL-Based Mortars with Viscosity-Modifying Water-Retentive Admixtures" Minerals 11, no. 7: 685. https://doi.org/10.3390/min11070685
APA StyleŽižlavský, T., Bayer, P., & Vyšvařil, M. (2021). Bond Properties of NHL-Based Mortars with Viscosity-Modifying Water-Retentive Admixtures. Minerals, 11(7), 685. https://doi.org/10.3390/min11070685

