Nonlinear Mixing Characteristics of Reflectance Spectra of Typical Mineral Pigments
Abstract
1. Introduction
2. Materials
2.1. Sample Preparation
2.1.1. Pigment Selection
2.1.2. Binder Selection
2.1.3. Making the Mockups
2.2. Data Acquisition and Preprocessing
3. Methods
- (1)
- Pigment sample preparation and data acquisition. Samples of mixed pigment in different mass ratios and a Chinese painting were produced as study objects. Moreover, the progress of data acquisition of those objects is given in detail in Section 2.2.
- (2)
- Accuracy analysis of abundances estimated by linear and nonlinear algorithms. For each mixture sample, the measured spectrum was decomposed to obtain the abundance of each pigment endmember, under the assumption that the pigment endmembers are known. The FCLS based on the linear mixing model and the Fan model (FM), the generalized bilinear model (GBM) and polynomial post-nonlinear model (PPNM) algorithms based on the nonlinear mixing model, were selected and adapted to estimate the abundance of each pigment in the mixed samples. Then, the abundance accuracies of linear and nonlinear algorithms were compared to explore the spectral nonlinearity of the mixed pigment.
- (3)
- The similarity analysis between measured and reconstructed mixed spectra. Based on the measured spectra of pure pigments and their corresponding abundance in a mixture calculated by different algorithms, the reconstructed spectra can be obtained by the LMM, the FM, GBM and PPNM, respectively. Moreover, by comparing the similarities between the reconstructed spectra and the measured spectra of the corresponding mixed pigments, the spectral characteristics of pigment mixing were analyzed.
- (4)
- Spectral mixing characteristics analysis. According to the above spectral unmixing analysis and reconstructed mixed spectra analysis, the spectral nonlinearity of the mixed pigments was discussed for the five typical mineral pigments.
- (5)
- Experiment with a Chinese painting. The PPNM algorithm was selected to study a Chinese painting to evaluate the nonlinear model’s ability to correctly estimate the pigments and their relative concentrations.
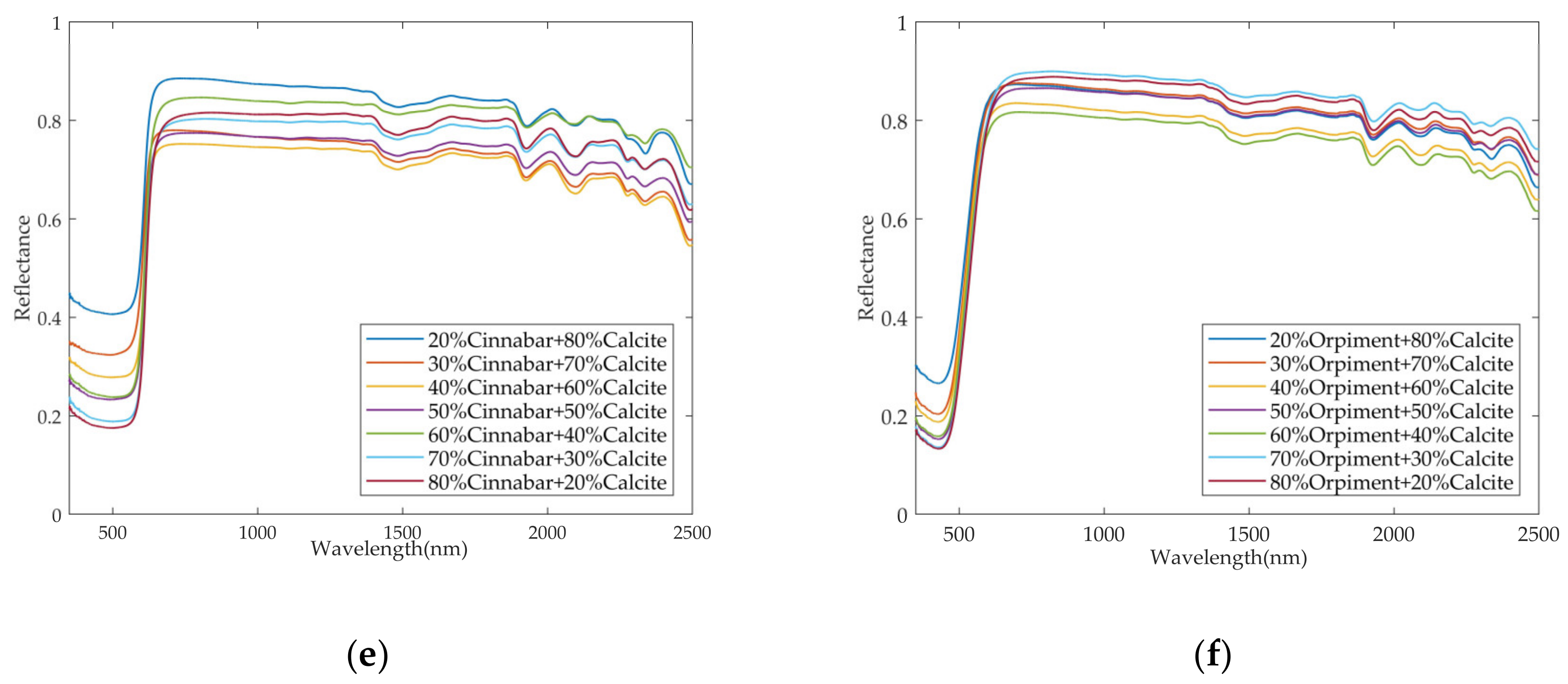
3.1. Spectral Characteristics
3.2. Absorption/Scattering Characteristics
3.3. Linear Mixing Model
3.4. Bilinear Spectral Mixing Model
3.4.1. Fan Model
3.4.2. Generalized Bilinear Model
3.4.3. Polynomial Post-Nonlinear Model
4. Experimental Results
4.1. Abundance Accuracy by Different Methods
- (1)
- For the five groups of pigment mixture, the spectral mixing characteristics showed a certain degree of nonlinearity. The result was consistent with the previous research conclusions on powder pigment mixtures [38]. Furthermore, for the abundance RMSE obtained by the FCLS, the abundance accuracy of the mixture of azurite and malachite listed in Table 3 as well as the mixture of azurite and orpiment listed in Table 4 were much better than that of the other groups of mixtures. The spectral mixing characteristics of the two groups of mixtures were likely to be simpler and less nonlinear. For the other mixtures, the abundance accuracy obtained by the four algorithms was relatively low, especially that obtained by the FCLS. The nonlinearity of these mixtures was of high intensity.
- (2)
- For the four unmixing algorithms, the FCLS provided poor results while the NLMM was the best on the study of five groups of mixtures, particularly the PPNM. The abundance RMSE obtained by the PPNM was almost half of that obtained by the FCLS. The reason the PPNM achieved the best results may be that it took the interaction between the same pigment particles into account. Moreover, the FM and GBM might produce some of the same abundances depending on the parameter value. Their accuracy was also significantly improved compared with the FCLS. Although the abundances were improved by the NLMM, the error was still a little large, which indicated that a more effective NLMM should be developed to fit with the pigment mixing.
- (3)
- For the different component pigments used, the linearity of spectral mixing was better with the mineral pigments that are color pigments, whose curves are obviously different. The linear model may be used directly for these kinds of mixtures when the accuracy requirement is not very strict. On the other hand, when the pigment mixture is composed of mineral pigments with similar curves or white pigment is one of the components, the nonlinear mixing characteristic plays a key role in the measured spectra. In this case, it was necessary to select the nonlinear model to estimate the abundances of pigment endmembers in these mixtures.
4.2. Analysis of Reconstructed Mixed Spectra
- (1)
- In Figure 7, the wavelengths of the peaks corresponding to the larger RD by the LMM in the five groups of mixed pigments are marked. The peaks indicated that the nonlinear effects were of high intensity around these bands. We also found that in the visible bands, the RD of the LMM had peaks corresponding to the spectral characteristics of the component pigments in a mixture. Moreover, after 1500 nm, the nonlinearity of pigment mixing increased as the wavelength increased.
- (2)
- For all mixed pigment samples, although the spectral characteristics of the nonlinear mixing in the spectral range 1500–2500 nm were intense, the absolute RD values in different spectral bands associated with the nonlinear models were relatively smaller than those by LMM. This indicates that the NLMM can fit the nonlinearities of a spectral mixture well. In addition, based on the different nonlinear degree of the entire spectral range, we can develop a suitable method to estimate the proportion of the pigment in the mixture depending on the wavelength bands.
- (3)
- Note that for the mixture of azurite and malachite, the RD curves of the FM and GBM in Figure 7a coincided because the abundances estimated by them were the same due to the parameter .
4.3. Nonlinear Unmixing on a Chinese Painting
5. Discussion
5.1. Unmixing Based on Continuum Removal Transformation of Reflectance Spectra
5.2. Nonlinear Unmixing by the K-M Theory
6. Conclusions
Author Contributions
Funding
Conflicts of Interest
References
- Zhang, X. Chinese traditional pigment minerals. China Non-Met. Miner. Ind. Guide 2020, 4, 10–14. (In Chinese) [Google Scholar]
- Siddall, R. Mineral Pigments in Archaeology: Their Analysis and the Range of Available Materials. Minerals 2018, 8, 201. [Google Scholar] [CrossRef]
- Herens, E.; Defeyt, C.; Walter, P.; Strivay, D. Discovery of a woman portrait behind La Violoniste by Kees van Dongen through hyperspectral imaging. Herit. Sci. 2017, 5, 14. [Google Scholar] [CrossRef]
- Ma, C.; Liu, Z.; Cheng, L. Raman Spectra, XRF and SEM analysis of the pigments from the color paintings of Longmen Grottos. J. Light Scatt. 2018, 30, 357–361. (In Chinese) [Google Scholar]
- Howe, E.; Kaplan, E.; Newman, R.; Frantz, J.H.; Pearlstein, E.; Levinson, J.; Madden, O. The occurrence of a titanium dioxide/silica white pigment on wooden Andean qeros: A cultural and chronological marker. Herit. Sci. 2018, 6, 41. [Google Scholar] [CrossRef]
- Delaney, J.K.; Dooley, K.A.; van Loon, A.; Vandivere, A. Mapping the pigment distribution of Vermeer’s Girl with a Pearl Earring. Herit. Sci. 2020, 8, 4. [Google Scholar] [CrossRef]
- Gueli, A.; Gallo, S.; Pasquale, S. Optical and colorimetric characterization on binary mixtures prepared with coloured and white historical pigments. Dye. Pigment. 2018, 157, 342–350. [Google Scholar] [CrossRef]
- Shen, J.; Li, Y.; He, J. On the Kubelka-Munk absorption coefficient. Dye. Pigment. 2016, 127, 187–188. [Google Scholar] [CrossRef]
- Fonseca, B.; Patterson, C.S.; Ganio, M.; MacLennan, D.; Trentelman, K. Seeing red: Towards an improved protocol for the identification of madder-and cochineal-based pigments by fiber optics reflectance spectroscopy (FORS). Herit. Sci. 2019, 7, 92. [Google Scholar] [CrossRef]
- Grabowski, B.; Masarczyk, W.; Głomb, P.; Mendys, A. Automatic pigment identification from hyperspectral data. J. Cult. Herit. 2018, 31, 1–12. [Google Scholar] [CrossRef]
- Wang, L.; Li, Z.; Ma, Q.; Mei, J. Non-destructive and in-situ identification of pigments in wall paintings using hyperspectral technology. Dunhuang Res. 2015, 3, 122–128. (In Chinese) [Google Scholar]
- Wu, T.; Li, G.; Yang, Z.; Zhang, H.; Lei, Y.; Wang, N.; Zhang, L. Shortwave infrared imaging spectroscopy for analysis of ancient paintings. Appl. Spectrosc. 2016, 71, 977–987. [Google Scholar] [CrossRef]
- Li, J.; Wan, X. Superpixel segmentation and pigment identification of colored relics based on visible spectral image. Spectrochim. Acta Part A Mol. Biomol. Spectrosc. 2017, 189, 275–281. [Google Scholar] [CrossRef]
- Chen, J.; Richard, C.; Honeine, P. Nonlinear unmixing of hyperspectral data based on a linear-mixture/nonlinear-fluctuation model. IEEE Trans. Signal. Process. 2013, 61, 480–492. [Google Scholar] [CrossRef]
- Deborah, H.; George, S.; Hardeberg, J.Y. Pigment mapping of the scream (1893) based on hyperspectral imaging. In Proceedings of International Conference on Image and Signal Processing; Springer: Berlin/Heidelberg, Germany, 2014; Volume 8509, pp. 247–256. [Google Scholar]
- Bai, D.; Messinger, D.W.; Howell, D. A hyperspectral imaging spectral unmixing and classification approach to pigment mapping in the Gough & Selden Maps. J. Am. Inst. Conserv. 2019, 58, 69–89. [Google Scholar]
- Zhao, H.; Zhang, L.; Wu, T.; Huang, C. Research on the model of spectral unmixing for minerals based on derivative of ratio spectroscopy. Spectrosc. Spectr. Anal. 2013, 33, 172–176. (In Chinese) [Google Scholar]
- Lyu, S.; Liu, Y.; Hou, M.; Yin, Q.; Wu, W.; Yan, X. Quantitative analysis of mixed pigments for Chinese paintings using the improved method of ratio spectra derivative spectrophotometry based on mode. Herit. Sci. 2020, 8, 31. [Google Scholar] [CrossRef]
- Wang, G.; Liu, Z. Mixed pigment composition analysis method based on spectral representation and independent component analysis. Spectrosc. Spectr. Anal. 2015, 35, 1682–1689. (In Chinese) [Google Scholar]
- Rohani, N.; Salvant, J.; Bahaadini, S.; Cossairt, O.; Walton, M.; Katsaggelos, A. Automatic pigment identification on Roman Egyptian paintings by using sparse modeling of hyperspectral images. In Proceedings of 2016 24th European Signal Processing Conference (EUSIPCO), Budapest, Hungary, 29 August–2 September 2016; IEEE: Budapest, Hungary, 2016; pp. 2111–2115. [Google Scholar]
- Kubelka, P.; Munk, F. An article on optics of paint layers. Z. Tech. Phys. 1931, 12, 259–274. [Google Scholar]
- Taufique, A.M.N.; Messinger, D.W. Hyperspectral pigment analysis of cultural heritage artifacts using the opaque form of Kubelka-Munk theory. In Proceedings of Algorithms, Technologies, and Applications for Multispectral and Hyperspectral Imagery XXV; SPIE Defense + Commercial Sensing: Baltimore, MD, USA, 2019; p. 1098611. [Google Scholar]
- Rohani, N.; Pouyet, E.; Walton, M.; Cossairt, O.; Katsaggelos, A.K. Nonlinear unmixing of hyperspectral datasets for the study of painted works of art. Angew. Chem. 2018, 130, 11076–11080. [Google Scholar] [CrossRef]
- Bai, D. A Hyperspectral Image Classification Approach to Pigment Mapping of Historical Artifacts Using Deep Learning Methods; Rochester Institute of Technology: Rochester, NY, USA, 2019. [Google Scholar]
- Kleynhans, T.; Schmidt Patterson, C.M.; Dooley, K.A.; Messinger, D.W.; Delaney, J.K. An alternative approach to mapping pigments in paintings with hyperspectral reflectance image cubes using artificial intelligence. Herit. Sci. 2020, 8, 84. [Google Scholar] [CrossRef]
- Zhang, S.; Fu, Q.; Yang, L.; Ma, Y.; Wang, W.; Zhang, W.; Zhang, J.; Fang, X. Research on polychrome and binding media of acrobat figures in pit K9901 of Qinling. Sci. Conserv. Archaeol. 2020, 4, 82–88. (In Chinese) [Google Scholar]
- Li, Y.; Zhao, L.; Fang, X.; Wang, L. Characterization and properties of gelatin as a kind of conservation material for painted cultural relics. J. Northwest. Norm. Univ. Nat. Sci. 2021, 1, 70–76+83. (In Chinese) [Google Scholar]
- Zhao, Y.; Berns, R.S.; Taplin, L.A.; Coddington, J. An investigation of multispectral imaging for the mapping of pigments in paintings. In Proceedings of Computer Image Analysis in the Study of Art; SPIE: New York, NY, USA, 2008; Volume 6810, p. 681007. [Google Scholar]
- Bioucas-Dias, J.M.; Plaza, A.; Dobigeon, N.; Parente, M.; Du, Q.; Gader, P.; Chanussot, J. Hyperspectral unmixing overview: Geometrical, statistical, and sparse regression-based approaches. IEEE J. Sel. Top. Appl. Earth Obs. Remote Sens. 2012, 5, 354–379. [Google Scholar] [CrossRef]
- Heinz, D.C.; Chang, C.I. Fully constrained least squares linear spectral mixture analysis method for material quantification in hyperspectral imagery. IEEE Trans. Geosci. Remote Sens. 2001, 39, 529–545. [Google Scholar] [CrossRef]
- Altmann, Y.; Dobigeon, N.; Tourneret, J.-Y. Bilinear models for nonlinear unmixing of hyperspectral images. In Proceedings of 2011 3rd Workshop on Hyperspectral Image and Signal Processing: Evolution in Remote Sensing (WHISPERS); IEEE: Lisbon, Portugal, 2011; pp. 1–4. [Google Scholar]
- Fan, W.; Hu, B.; Miller, J.; Li, M. Comparative study between a new nonlinear model and common linear model for analyzing laboratory simulated-forest hyperspectral data. Int. J. Remote Sens. 2009, 30, 2951–2962. [Google Scholar] [CrossRef]
- Heylen, B.; Scheunders, P. A Multilinear mixing model for nonlinear spectral unmixing. IEEE Trans. Geosci. Remote Sens. 2015, 54, 1–12. [Google Scholar] [CrossRef]
- Halimi, A.; Altmann, Y.; Dobigeon, N.; Tourneret, J.-Y. Unmixing hyperspectral images using the generalized bilinear model. In Proceedings of 2011 IEEE International Geoscience and Remote Sensing Symposium; IEEE: Vancouver, BC, Canada, 2011; pp. 1886–1889. [Google Scholar]
- Altmann, Y.; Halimi, A.; Dobigeon, N.; Tourneret, J.-Y. Supervised nonlinear spectral unmixing using a postnonlinear mixing model for hyperspectral imagery. IEEE Trans. Image Process. 2012, 21, 3017–3025. [Google Scholar] [CrossRef]
- Dobigeon, N.; Tits, L.; Somers, B.; Altmann, Y.; Coppin, P. A comparison of nonlinear mixing models for vegetated areas using simulated and real hyperspectral data. IEEE J. Sel. Top. Appl. Earth Obs. Remote Sens. 2014, 7, 1869–1878. [Google Scholar] [CrossRef]
- Meng, D.; Lv, S.; Hou, M.; Gao, Z. On geometry-simplex endmember extraction algorithms for the mixed pixel of typical mineral pigment mixture. Geomat. World 2020, 27, 1–6. (In Chinese) [Google Scholar]
- Zhao, H.; Zhao, X.; Liu, X. Spectral mixing model of mineral pigments on Chinese paintings-taking cinnabar and orpiment for example. Sci. Technol. Eng. 2018, 18, 6–11. (In Chinese) [Google Scholar]
- Ren, H.; Chang, C.I. Automatic spectral target recognition in hyperspectral imagery. IEEE Trans. Aerosp. Electron. Syst. 2003, 39, 1232–1249. [Google Scholar]
- Zhao, H.; Zhao, X. Nonlinear unmixing of minerals based on the log and continuum removal model. Eur. J. Remote Sens. 2019, 52, 277–293. [Google Scholar] [CrossRef]















| Name | Parameters |
|---|---|
| Spectral range | 350–2500 nm |
| Number of bands | 2151 |
| Spectral width | 2.5 nm |
| Spectral resolution | 350–1000 nm @ 3 nm; 1001–2500 nm @ 8 nm |
| Size | 12.7 × 35.6 × 29.2 cm |
| Weight | 5.44 kg |
| Name | Parameters |
|---|---|
| Spectral range | 400–1000 nm |
| Number of bands | 1040 |
| Spectral width | 0.6 nm |
| Spectral resolution | 2.6 nm |
| Weight | 1.85 kg |
| Abundance Measured | Azurite | 0.2 | 0.3 | 0.4 | 0.5 | 0.6 | 0.7 | 0.8 | RMSE |
|---|---|---|---|---|---|---|---|---|---|
| Malachite | 0.8 | 0.7 | 0.6 | 0.5 | 0.4 | 0.3 | 0.2 | ||
| Abundance by FCLS | Azurite | 0.3777 | 0.3199 | 0.5191 | 0.5455 | 0.6294 | 0.7554 | 0.9815 | 0.1103 |
| Malachite | 0.6223 | 0.6801 | 0.4809 | 0.4545 | 0.3706 | 0.2446 | 0.0185 | ||
| Abundance by FM | Azurite | 0.3715 | 0.3220 | 0.4744 | 0.4923 | 0.5588 | 0.6503 | 0.7933 | 0.0753 |
| Malachite | 0.6285 | 0.6780 | 0.5256 | 0.5077 | 0.4412 | 0.3497 | 0.2067 | ||
| Abundance by GBM | Azurite | 0.3715 | 0.3220 | 0.4744 | 0.4923 | 0.5588 | 0.6503 | 0.7933 | 0.0753 |
| Malachite | 0.6285 | 0.6780 | 0.5256 | 0.5077 | 0.4412 | 0.3497 | 0.2067 | ||
| Abundance by PPNM | Azurite | 0.3016 | 0.2629 | 0.4112 | 0.4614 | 0.5106 | 0.6043 | 0.7763 | 0.0666 |
| Malachite | 0.6984 | 0.7371 | 0.5888 | 0.5386 | 0.4894 | 0.3957 | 0.2237 |
| Abundance Measured | Azurite | 0.2 | 0.3 | 0.4 | 0.5 | 0.6 | 0.7 | 0.8 | RMSE |
|---|---|---|---|---|---|---|---|---|---|
| Orpiment | 0.8 | 0.7 | 0.6 | 0.5 | 0.4 | 0.3 | 0.2 | ||
| Abundance by FCLS | Azurite | 0.0708 | 0.1556 | 0.2550 | 0.3838 | 0.4262 | 0.5459 | 0.6491 | 0.1458 |
| Orpiment | 0.9292 | 0.8444 | 0.7450 | 0.6162 | 0.5738 | 0.4541 | 0.3509 | ||
| Abundance by FM | Azurite | 0.1695 | 0.2561 | 0.3647 | 0.5005 | 0.5431 | 0.6499 | 0.7348 | 0.0449 |
| Orpiment | 0.8305 | 0.7439 | 0.6353 | 0.4995 | 0.4569 | 0.3501 | 0.2652 | ||
| Abundance by GBM | Azurite | 0.1695 | 0.2561 | 0.3647 | 0.4699 | 0.5155 | 0.6499 | 0.7348 | 0.0520 |
| Orpiment | 0.8305 | 0.7439 | 0.6353 | 0.5301 | 0.4845 | 0.3501 | 0.2652 | ||
| Abundance by PPNM | Azurite | 0.3099 | 0.3644 | 0.4353 | 0.5038 | 0.5443 | 0.6817 | 0.7670 | 0.0561 |
| Orpiment | 0.6901 | 0.6356 | 0.5647 | 0.4962 | 0.4557 | 0.3183 | 0.2330 |
| Abundance Measured | Cinnabar | 0.2 | 0.3 | 0.4 | 0.5 | 0.6 | 0.7 | 0.8 | RMSE |
|---|---|---|---|---|---|---|---|---|---|
| Orpiment | 0.8 | 0.7 | 0.6 | 0.5 | 0.4 | 0.3 | 0.2 | ||
| Abundance by FCLS | Cinnabar | 0.1306 | 0.1841 | 0.0171 | 0 | 0.0535 | 0.0923 | 0.4827 | 0.4112 |
| Orpiment | 0.8694 | 0.8159 | 0.9829 | 1 | 0.9465 | 0.9077 | 0.5173 | ||
| Abundance by FM | Cinnabar | 0.1123 | 0.0248 | 0.6521 | 0.3216 | 0.5665 | 0.5679 | 0.8112 | 0.1680 |
| Orpiment | 0.8877 | 0.9752 | 0.3479 | 0.6784 | 0.4335 | 0.4321 | 0.1888 | ||
| Abundance by GBM | Cinnabar | 0.3191 | 0.2438 | 0.2900 | 0 | 0.4123 | 0.4900 | 0.7344 | 0.2278 |
| Orpiment | 0.6809 | 0.7562 | 0.7100 | 1 | 0.5877 | 0.5100 | 0.2656 | ||
| Abundance by PPNM | Cinnabar | 0.3437 | 0.2540 | 0.3288 | 0.4007 | 0.4434 | 0.5102 | 0.7299 | 0.1214 |
| Orpiment | 0.6563 | 0.7460 | 0.6712 | 0.5993 | 0.5566 | 0.4898 | 0.2701 |
| Abundance Measured | Cinnabar | 0.2 | 0.3 | 0.4 | 0.5 | 0.6 | 0.7 | 0.8 | RMSE |
|---|---|---|---|---|---|---|---|---|---|
| Calcite | 0.8 | 0.7 | 0.6 | 0.5 | 0.4 | 0.3 | 0.2 | ||
| Abundance by FCLS | Cinnabar | 0.7426 | 0.6554 | 0.7025 | 0.8146 | 0.9538 | 0.9462 | 0.9880 | 0.3448 |
| Calcite | 0.2574 | 0.3446 | 0.2975 | 0.1854 | 0.0462 | 0.0538 | 0.0120 | ||
| Abundance by FM | Cinnabar | 0.5245 | 0.4617 | 0.5619 | 0.7112 | 0.6461 | 0.7313 | 0.7325 | 0.1732 |
| Calcite | 0.4755 | 0.5383 | 0.4381 | 0.2888 | 0.3539 | 0.2687 | 0.2675 | ||
| Abundance by GBM | Cinnabar | 0.5245 | 0.5083 | 0.5995 | 0.6834 | 0.6461 | 0.7313 | 0.7325 | 0.1812 |
| Calcite | 0.4755 | 0.4917 | 0.4005 | 0.3166 | 0.3539 | 0.2687 | 0.2675 | ||
| Abundance by PPNM | Cinnabar | 0.4561 | 0.5277 | 0.6065 | 0.6845 | 0.6876 | 0.7680 | 0.7925 | 0.1717 |
| Calcite | 0.5439 | 0.4723 | 0.3935 | 0.3155 | 0.3124 | 0.2320 | 0.2075 |
| Abundance Measured | Orpiment | 0.2 | 0.3 | 0.4 | 0.5 | 0.6 | 0.7 | 0.8 | RMSE |
|---|---|---|---|---|---|---|---|---|---|
| Calcite | 0.8 | 0.7 | 0.6 | 0.5 | 0.4 | 0.3 | 0.2 | ||
| Abundance by FCLS | Orpiment | 1 | 1 | 0.9997 | 1 | 0.9822 | 1 | 1 | 0.5366 |
| Calcite | 0 | 0 | 0.0003 | 0 | 0.0178 | 0 | 0 | ||
| Abundance by FM | Orpiment | 0.6433 | 0.6991 | 0.7774 | 0.7596 | 0.8599 | 0.7374 | 0.7504 | 0.3017 |
| Calcite | 0.3567 | 0.3009 | 0.2226 | 0.2404 | 0.1401 | 0.2626 | 0.2496 | ||
| Abundance by GBM | Orpiment | 1 | 1 | 0.7864 | 1 | 0.8202 | 1 | 1 | 0.4920 |
| Calcite | 0 | 0 | 0.2136 | 0 | 0.1798 | 0 | 0 | ||
| Abundance by PPNM | Orpiment | 0.6355 | 0.7409 | 0.7563 | 0.8501 | 0.8097 | 0.8944 | 0.9008 | 0.3219 |
| Calcite | 0.3645 | 0.2591 | 0.2437 | 0.1499 | 0.1903 | 0.1056 | 0.0992 |
| Method | Azurite and Malachite | Azurite and Orpiment | Cinnabar and Orpiment | Cinnabar and Calcite | Orpiment and Calcite | |||||
|---|---|---|---|---|---|---|---|---|---|---|
| RE | SAD | RE | SAD | RE | SAD | RE | SAD | RE | SAD | |
| LMM | 0.0042 | 0.0849 | 0.0030 | 0.0812 | 0.0071 | 0.0655 | 0.0128 | 0.0735 | 0.0084 | 0.0555 |
| FM | 0.0018 | 0.0666 | 0.0009 | 0.0483 | 0.0022 | 0.0564 | 0.0044 | 0.0664 | 0.0029 | 0.0489 |
| GBM | 0.0018 | 0.0666 | 0.0009 | 0.0473 | 0.0030 | 0.0516 | 0.0041 | 0.0652 | 0.0078 | 0.0511 |
| PPNM | 0.0008 | 0.0677 | 0.0008 | 0.0472 | 0.0018 | 0.0490 | 0.0025 | 0.0671 | 0.0014 | 0.0467 |
| Endmember | Results of Spectral Matching | ||
|---|---|---|---|
| 1 | silver (0.860) | ink (0.841) | hackmanite (0.840) |
| 2 | eosin (0.668) | vermilion (0.627) | cinnabar (0.600) |
| 3 | orpiment (0.697) | realgar (0.689) | ocher (0.677) |
| 4 | malachite (0.583) | clam meal (0.511) | malachite 3 (0.494) |
| 5 | vermilion (0.719) | cinnabar (0.705) | eosin (0.702) |
| 6 | azurite (0.562) | azurite 2 (0.524) | azurite 1 (0.510) |
| 7 | ink (0.722) | white lead (0.701) | hackmanite (0.701) |
| 8 | ink (0.608) | hackmanite (0.488) | biotite (0.477) |
| 9 | clam meal (0.642) | malachite (0.553) | biotite (0.517) |
| Mixture | Truth Abundance | 0.2 | 0.3 | 0.4 | 0.5 | 0.6 | 0.7 | 0.8 | RMSE |
|---|---|---|---|---|---|---|---|---|---|
| 0.8 | 0.7 | 0.6 | 0.5 | 0.4 | 0.3 | 0.2 | |||
| Azurite Malachite | Azurite | 0.5701 | 0.4936 | 0.6455 | 0.6593 | 0.6923 | 0.7530 | 0.8356 | 0.1974 |
| Malachite | 0.4299 | 0.5064 | 0.3545 | 0.3407 | 0.3077 | 0.2470 | 0.1644 | ||
| Azurite Orpiment | Azurite | 0.0479 | 0.0571 | 0.0744 | 0.0980 | 0.1115 | 0.1649 | 0.2344 | 0.4131 |
| Orpiment | 0.9521 | 0.9429 | 0.9256 | 0.9020 | 0.8885 | 0.8351 | 0.7656 | ||
| Cinnabar Orpiment | Cinnabar | 0.0244 | 0.0343 | 0 | 0 | 0 | 0.0290 | 0.1669 | 0.4961 |
| Orpiment | 0.9756 | 0.9657 | 1 | 1 | 1 | 0.9710 | 0.8331 | ||
| Cinnabar Calcite | Cinnabar | 0 | 0.0016 | 0.0089 | 0.0221 | 0.0264 | 0.0442 | 0.0504 | 0.5115 |
| Calcite | 1 | 0.9984 | 0.9911 | 0.9779 | 0.9736 | 0.9558 | 0.9496 | ||
| Orpiment Calcite | Orpiment | 0.1888 | 0.2964 | 0.3368 | 0.4548 | 0.4308 | 0.5286 | 0.5467 | 0.1354 |
| Calcite | 0.8112 | 0.7036 | 0.6632 | 0.5452 | 0.5692 | 0.4714 | 0.4533 |
Publisher’s Note: MDPI stays neutral with regard to jurisdictional claims in published maps and institutional affiliations. |
© 2021 by the authors. Licensee MDPI, Basel, Switzerland. This article is an open access article distributed under the terms and conditions of the Creative Commons Attribution (CC BY) license (https://creativecommons.org/licenses/by/4.0/).
Share and Cite
Lyu, S.; Meng, D.; Hou, M.; Tian, S.; Huang, C.; Mao, J. Nonlinear Mixing Characteristics of Reflectance Spectra of Typical Mineral Pigments. Minerals 2021, 11, 626. https://doi.org/10.3390/min11060626
Lyu S, Meng D, Hou M, Tian S, Huang C, Mao J. Nonlinear Mixing Characteristics of Reflectance Spectra of Typical Mineral Pigments. Minerals. 2021; 11(6):626. https://doi.org/10.3390/min11060626
Chicago/Turabian StyleLyu, Shuqiang, Die Meng, Miaole Hou, Shuai Tian, Chunhao Huang, and Jincheng Mao. 2021. "Nonlinear Mixing Characteristics of Reflectance Spectra of Typical Mineral Pigments" Minerals 11, no. 6: 626. https://doi.org/10.3390/min11060626
APA StyleLyu, S., Meng, D., Hou, M., Tian, S., Huang, C., & Mao, J. (2021). Nonlinear Mixing Characteristics of Reflectance Spectra of Typical Mineral Pigments. Minerals, 11(6), 626. https://doi.org/10.3390/min11060626

