Abstract
Ilmenite disseminated grain size is relatively fine, and it must be finely ground to fully separate ilmenite from gangue and then produce fine-grained minerals, which deteriorates flotation. A novel method using buoyant carriers to improve the recovery of fine ilmenite in froth flotation was introduced in this study. Hydrophobized glass bubbles (HGB) as carrier materials were obtained by an efficient, simple modification of ordinary glass bubbles. The carrier flotation of fine ilmenite in the presence of HGB was investigated by micro flotation tests, X-ray diffractometer analysis, Fourier transform infrared (FTIR), optical microscope observation, and the extended DLVO theory (XDLVO). Micro-flotation results showed that the recovery of fine ilmenite in presence of HGB was 37.7% higher than that when using NaOL alone at pH 6. FTIR analysis and optical microscope observation revealed that fine ilmenite particles can be closely attached on the HGB surface to increase apparent particle size considerably. The data calculated from the DLVO theory indicated that the acid–base interaction force determined the adsorption between two hydrophobic particles.
1. Introduction
As a strategic metal, titanium has wide applications in the fields of medicine and aerospace. Titanium ores, which are the crucial footstone of the titanium industry, include ilmenite (FeTiO3) and rutile (TiO2), and it is reported that ilmenite in vanadium–titanium magnetite account for about 90% of China’s titanium resources [1,2]. Before the titanium metal extraction, the processing of titanium-bearing ores mainly through grinding, accompanied by beneficiation methods, such as flotation, heavy media separation, and magnetic separation to obtain concentrates. Historically, flotation is the most efficient method to separate ilmenite from other silicon-containing minerals [3]. However, restricted by beneficiation methods, the recycling utilization rate of Panzhihua ilmenite is low, especially the fine-grained ilmenite (<20 µm), and, due to the small mass and large specific surface area, its recovery is recognized as a problem of mineral processing and also the most outstanding and urgent problem in comprehensive utilization of titanium resources in this region. Therefore, the recovery of fine ilmenite remains a highly challenging problem and attracts researchers’ attention.
The range of mineral particle size for flotation is strictly limited (about 20–80 µm) to achieve a better recovery rate due to the extremely high surface energy of fine-grained ilmenite that disturbs the selectivity of flotation [4]. Figure 1 presents the effect of particle size on ilmenite recovery. The results show that the flotability of ilmenite increases remarkably with an increase in particle size from 10 µm to 60 µm. Therefore, floatability greatly improves as particle size reaches the intermediate zone (37–74 µm in general). However, because fine particles (<20 µm) have a high surface area energy, a large specific surface area, and a small mass, they are deflected by hydraulic drag forces [5]. Therefore, under mechanical stirring, fine particles move along the fluid streamline around bubbles instead of colliding with them [6,7,8]. Fine particle flotation results in an extremely inefficient process performance, marked by reduced flotation recovery and affecting the concentrate grade [9]. Ores become more complicated, disseminated, and consequently more difficult to process because mineral resources have been exploited over time. The problem of fine particle flotation has become increasingly prominent and important. Several alternatives have been proposed to improve bubble–particle collision efficiency and address this problem by reducing the bubble size or increasing the apparent particle size [10,11,12,13]. Furthermore, the technique of magnifying the apparent particle size is achieved by increasing the specific surface area and mass of fine mineral particles to reduce surface area energy. These techniques induce fine particles to form flocs or aggregates [14,15,16]. Several alternatives including selective flocculation, shear flocculation, carrier flotation, and particle agglomeration have been proposed [17,18,19].
Figure 1.
Effect of particle size on flotation recovery of ilmentie treated with sodium oleate (pH 6.0, 2.0 × 10−4 mol·L−1 sodium oleate).
Since American scholars applied carrier flotation to remove titanium-containing impurities in kaolin in 1961, carrier flotation has attracted worldwide attention, and a systematic study was conducted on the application and mechanism of auto-carrier flotation [20,21,22]. Carrier flotation can be regarded as coarse-grained minerals with good floatability as a carrier, carrying fine-grained minerals, and then recovering “carrier–fine mineral” aggregates by conventional flotation [23]. The carrier for flotation can be divided into two sections: (a) Minerals, which have been studied by the extended DLVO theory, effects of above parameters on carrier flotation by contact angle, zeta potential, and other measurements of particle surface, and (b) Nonmineral materials, which have not been studied widely [24,25,26]. However, mineral material carrier flotation, which was researched sufficient in previous study, was developed stagnate due to poor hydrophobicity and high density. In the authors’ view, nonmineral material carriers accomplish the following properties to improve the recovery of fine particles in flotation:
Density lower than water density. Carrier material with a density lower than water density would assist optimum levels of recovery.
High hydrophobicity level to selectively recover target mineral particles.
Particle size 5–10 times larger than mineral particles. Therefore, in order to collect mineral particles of 10 µm (on average), a carrier size of 50–150 µm is deliberated as acceptable.
Considering these characteristics, glass bubbles have been identified as potential carrier materials. In 2020, S. Arriagada et al. applied a kind of nonmineral material—hydrophobized glass bubble (HGB)—as a carrier into the flotation of fine bornite [27]. So far, there have been relatively few studies on fine particles with poor floatability. Therefore, based on this conclusion and experimental results, HGB was introduced as a carrier material to augment the apparent particle size in this study. Moreover, the adhesion mechanism of ilmenite onto the HGB surface was thoroughly investigated in a sodium oleate (NaOL) system by using micro-flotation, Fourier transform infrared (FTIR), extended DLVO (XDLVO) theory, and optical microscope observation.
2. Experimental
2.1. Materials and Reagents
The silica glass bubbles used were purchased from the 3M Company. K20 glass bubbles were used in this work (d90 = 110 μm, d50 = 65 μm, d10 = 30 μm, and density = 0.20 g/cm3). The ilmenite and titanaugite samples used in the experiments were obtained from the tailing of magnetic separation of vanadium–titanium magnetite in Panzhihua, Sichuan Province, China. The mineral samples were crushed and dry-ground in a porcelain ball mill and then purified through magnetic and gravity separation. Figure 2 and the X-ray fluorescence results listed in Table 1 indicate that the TiO2 content is 48.51%, but the purities of ilmenite and titanaugite are above 90%, as verified by the X-ray diffraction (XRD) results and chemical composition. Each fine-grained mineral was ground to a diameter smaller than 0.019 mm and used for subsequent experiments. Analytical-grade NaOL and sodium silicate purchased from the Sinopharm Chemical Reagent Co., Ltd. (Shanghai, China) were used as collector and depressant, respectively. Acetone was used as mixing cosolvent for the esterified particles, and high-purity 1-butanol (>99% w/w) from the Macklin Biochemical Technology Co., Ltd. (Shanghai, China) was used as hydrophobization chemical reagent. Potassium chloride (KCl) was used as background electrolyte for zeta potential measurements. Sodium hydroxide (NaOH) and sulfuric acid (H2SO4) stock solutions were used to adjust the pH, and deionized (DI) water (resistivity = 18.3 M·cm) was used throughout the experiments.
Figure 2.
X-ray diffraction spectra of (a) ilmenite and (b) titanaugite.
Table 1.
Chemical compositions of purified ilmenite and titanaugite samples (mass fraction, %).
2.2. Materials Characterization
The chemical composition of the samples was detected using an X-ray diffractometer. The phase composition was analyzed with the aid of Jade6.5 software.
The zeta potential of HGB and ilmenite was measured by a Delsa-440sx zeta meter (Brea, CA, USA). First, 20 mg of the samples was added to 40 mL of electrolyte solution (10−3·mol·L−1·KCl) for the measurements. The required pH was adjusted by H2SO4 and NaOH solutions for 3 min, followed by another 3 min for adding the desired concentration of NaOL collector. The suspension was stirred with a magnetic stirrer for 14 min, then settled for 10 min. The supernatant was used for measurement. The average of three individual measurements was used for analysis.
The contact angles of ilmenite and HGB treated with or without NaOL were measured by a contact angle goniometer (Dropmaster 300, Kyowa Interface Science Co., Ltd., Tokyo, Japan).
The laser-based particle size was measured with Master-size 2000 (Malvern, UK) to obtain the size distribution of fine-grained mineral particles.
2.3. Optical Microscope Observation
An optical microscope (OLYMPUS CX31, Tokyo, Japan) was used to observe the state of ilmenite particles (size distributions of −19 μm) before and after the collector and HGB addition in an aqueous suspension. The prepared condition was the same as that in the micro-flotation experiment (pH: 6.0, NaOL concentration: 4.0 × 10−4·mol·L−1). A small amount of suspension was dropped on the microslide and then moved to the microscope for observation after natural drying.
2.4. FTIR Measurements
FTIR measurements were recorded using a Nicolet 380 FTIR spectrometer (Thermo Fisher Scientific, Waltham, MA, USA) and the KBr reflection method. First, the mineral sample was finely ground to smaller than 5 µm before contacting with the collector. Then, 1 g of the mineral sample was added to 40 mL of aqueous solution with or without NaOL (4.0 × 10−4 mol·L−1) at pH 6.0. The suspension was filtered after 20 min of mechanical stirring. The precipitation was washed five times with DI water and vacuum-dried at 60 °C. The 2.0% powder was mixed with dry KBr pressing disc pellets for measurements.
2.5. Glass Bubbles Hydrophobization
HGB is obtained by hydrophobizing the silica surface of “glass bubbles”. “Glass bubbles” must be esterified with straight chain alcohols to produce chemically bonded alkane coatings, obtain HGB, and make the original glass bubbles (OGB) surface hydrophobic [27]. Reactions need to be carried out in excess reagents without relying on precise reagent concentrations to prevent secondary or polymerization reactions [28]. The general esterification reaction scheme is given in Equation (1) [29], where the reaction occurs in surface silanol groups:
≡Si-OH + HO-RxHy ↔ Si-O-RxHy + H2O
First, 50 g of silica particles was reacted with 130 g 1-butanol and boiled in a 500 mL insulated round-bottom flask under reflux for 7 h. A magnetic stirrer was used to stir continuously and prevent the mixture from coagulating. A condenser with a CaCl2 drying tube on top was used to prevent the entry of moisture from the surrounding environment. Once the boiling period was finished, the coated particles were centrifuged and washed twice in acetone and once in ethanol to ensure the complete removal of excess reagent.
2.6. Micro-Flotation Experiment
Micro-flotation experiments were conducted in an XFGII flotation machine with a stirring rate of 1700 rpm. The 2 g purified mineral sample and 40 mL of deionized water were mixed in each test. The suspension pH was adjusted by H2SO4 or NaOH solution by stirring for 3 min. After this period, the depressant was added to the suspension and conditioned for 3 min, followed by the addition of the desired concentration of the collector and conditioning for another 3 min. Then, HGB carrier or OGB was added and stirred for 6 min. Flotation time was limited to 3 min, and froth was scraped out every 10 s. Figure 3 illustrates the flowsheet involved in the micro-flotation test. The concentrates and tailing were filtered, dried, and weighed to calculate the mineral recovery.
Figure 3.
Flowsheet of ilmenite sample flotation.
3. Results and Discussion
3.1. Micro-Flotation
Figure 4 illustrates the flotation behaviors of ilmenite and titanaugite (38–74 μm) using 2.0 × 10−4 mol·L−1 of NaOL collector as a function of pH. The results show that the flotability behaviors of ilmenite and titanaugite first increase remarkably and then stabilize above 80% when pH increases from 2.0 to 12.0, and floatability of titanaugite trends are remarkably similar to ilmenite. The optimal pulp pHs for ilmenite and titanaugite are around 6.0 and 7.0, respectively, and the maximum recovery difference between ilmenite and titanaugite is 47.42% at pH 6.0.
Figure 4.
Effect of pH on flotation recovery of ilmentie and titanaugite treated with sodium oleate (the mineral size distributions of 38–74 μm, 2.0 × 10−4 mol·L−1 sodium oleate).
Figure 5 shows the effect of HGB dosage on floatability of fine ilmenite and fine titanaugite at a pH of 6.0. It further showed that the flotation recoveries of ilmenite and titanaugite increased with the HGB dosage. When the HGB dosage was more than 0.02 g, the flotation recoveries of both minerals occurred at high platforms.
Figure 5.
Effect of HGB dosage on fine ilmenite and fine titanaugite recoveries (the mineral size distributions of 0–19 μm, 4.0 × 10−4 mol·L−1 sodium oleate).
Figure 6 shows the relationship between fine-grained minerals and flotation recovery by NaOL of 4.0 × 10−4 mol·L−1 as a function of pH. In the presence of collector NaOL, the recovery of ilmenite and titanaugite (0–19 μm) has a poor floatability. The flotation recovery of ilmenite in acidic aqueous solutions first increases sharply with the increase of pH, stabilizes above 50% when pH is over 5.0, and continues to increase in a weakly alkaline environment. Floatability of fine titanaugite trends is remarkably similar to fine ilmenite. The effect of OGB addition on the flotation behavior was investigated, and the results are shown in Figure 6. The flotation recoveries of two minerals are nearly unchanged with an increase of pH from 2.0 to 12.0 in the presence of mixed OGB, indicating that OGB cannot promote flotation performance. However, HGB leads to an effective increase for both minerals. The results denote that when NaOL is used as the collector at pH 5.0–8.0, the recovery of ilmenite mixed with HGB reaches a maximum at and above pH 6.0, the recovery of ilmenite is only approximately 40%, but the recovery of ilmenite mixed with HGB is close to 85%. However, the maximum recovery difference between two minerals is only 32.87%. Therefore, the recovery difference between two minerals is no more than 33%, and the flotation separation of the two minerals is difficult to achieve [30]. Otherwise, when pH increases from 10 to 12, the same as normal size minerals, the floatability of both minerals is excellent, which differs from the results of previous studies [31]. This finding may be related to the decrease in the surface tension of NaOL and the sharp increase in foamability as pH increases, resulting in a further decrease in the selectivity of NaOL [32].
Figure 6.
Effect of pH on flotation recovery of NaOL adsorbed fine ilmenite and fine titanaugite in the absence and presence of HGB and OGB (the mineral size distributions of 0–19 μm, 4.0 × 10−4 mol·L−1 sodium oleate, HGB/OGB dosage = 0.02 g).
In the usual pH range (5.0–8.0), ilmenite and titanaugite mixed with HGB have an excellent floatability, and accomplishing the flotation separation of the two minerals is difficult using a single collector. Therefore, sodium silicate (10 mg·L−1) was used in the carrier flotation of ilmenite to hinder the adsorption of NaOL collector on the titanaugite surface, flocculate fine titanaugite particles, and prevent titanaugite from floating together with ilmenite. Figure 7 shows that after adding 10 mg·L−1 sodium silicate, the floatability of ilmenite is nearly unaffected, while titanaugite recovery declines remarkably [33]. In conclusion, HGB can improve the flotation recovery of ilmenite across a wide range of pulp pH values. The flotation separation of the two minerals can be achieved at pH 6.0 and recovery difference between ilmenite and titanaugite increased from approximately 32.87% to 52.11%.
Figure 7.
Effect of pH on flotation recovery of fine ilmenite and fine titanaugite mixed with HGB after treated with sodium oleate and sodium silicate (the mineral size distributions of 0–19 μm, 4.0 × 10−4 mol·L−1 sodium oleate, 10 mg·L−1 sodium silicate, HGB dosage = 0.02 g).
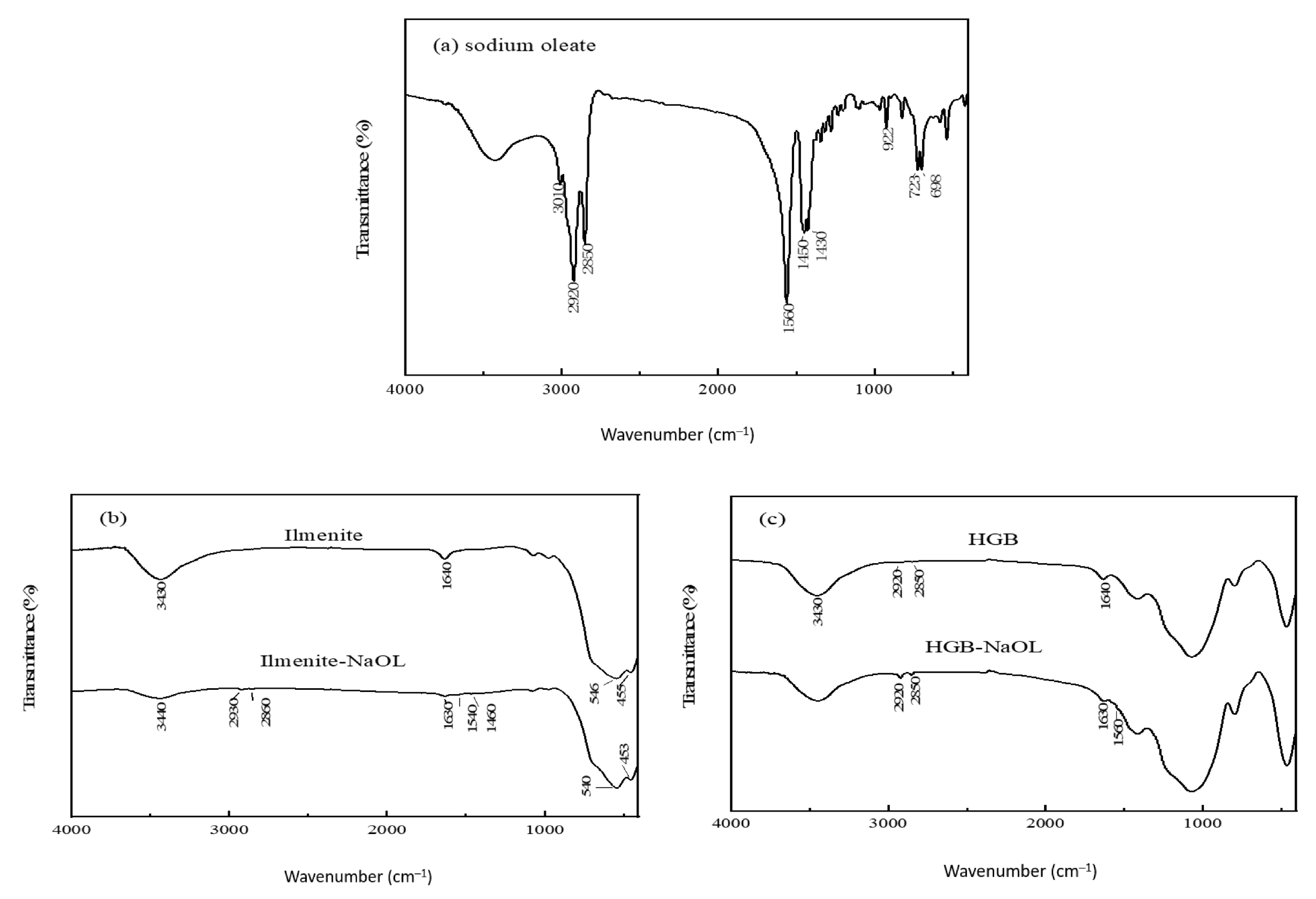
3.2. FTIR Analysis
Figure 8 shows the infrared spectra of NaOL, ilmenite, HGB, and both materials treated with NaOL (4.0 × 10−4 mol·L−1) at a pH of 6.0. On the IR spectrum of NaOL, the bands at 2922.80 and 2851.68 cm−1 are previously attributed to the C-H stretching vibrations of methyl and methylene –CH, respectively. The bands at 1561.00 and 1449.36 cm−1 belong to the –COO– vibration, the band at 1561.00 cm−1 corresponds to the asymmetric stretching vibration of –COOC–, and the band at 1449.36 cm−1 corresponds to the symmetric stretching vibration of –COOC– [34].
Figure 8.
FTIR spectra of (a) NaOL, (b) ilmenite, and (c) HGB under various conditions.
Figure 8b shows that the peaks at about 545 and 458 cm−1 are characteristic bands for ilmenite. The peaks at approximately 1632 and 3443 cm−1 could be attributed to the bending mode of adsorbed water, in which the peak at approximately 3443 cm−1 corresponds to the stretching vibration of –OH [35]. Compared with the IR spectrum of purified ilmenite, new peaks shift to 2919, 2850, 1544, and 1463 cm−1, bonds at 2919 and 2850 cm−1 can correspond to the stretching vibration of –CH2– and –CH3– in NaOL, and these shifts indicate the adsorption of oleate species on the ilmenite surface through chemisorption [36].
The FTIR spectra of HGB and HGB treated with NaOL at a pH of 6.0 are shown in Figure 8c. On the spectrum of untreated HGB, the bands at approximately 2923 and 2856 cm−1 are attributed to the C-H stretching vibration of the –CH2– and –CH3– groups, respectively. The small peaks indicate that the reaction in Equation (1) is successful. Figure 8c shows that the stronger peaks at approximately 2922 and 2852 cm−1 and the new bond at approximately 1560 cm−1 result from the –COOC– asymmetric stretching vibration. The characteristic peaks of oleate species shift weakly due to physisorption of the oleate species on the surface of HGB.
3.3. Estimation of Interaction Energies by Extended DLVO Theory
The classic DLVO theory was proposed by Deryagin and Landau, and Verwey and Overbeek [37]. It explains the stability of colloids, including electrical double-layer interaction forces and London–van der Waals interaction forces. The classic DLVO theory cannot fully explain the flotation behavior of mineral particles due to the existence of various flotation agents in slurry. Van Oss et al. formulated the XDLVO theory. They added an acid-based interaction component built on the electron-donating and electron-accepting interactions between polar moieties in an aqueous solution. In general, small particle interaction energies can be explained by surface thermodynamics and the XDLVO theory, in which the interaction energy between ilmenite and HGB is calculated as a function of separation distance [38].
According to the XDLVO theory, the total energy of interaction is determined as follows:
where is the electrostatic interaction energy, is the London–van der Waals dispersion energy, and is the acid–base interaction energy.
The electrostatic force between HGB and ilmenite can be expressed by the following equation for the sphere–sphere system:
where , is absolute dielectric constant (8.854 × 10−12 C−2·J−1·m−1), is the dielectric constant of the medium, and 78.5 C−2J−1m−1 is the aqueous medium’s dielectric constant, such that ε = 6.95 × 10−10 C−2J−1m−1 [39]; φ1 and φ2 are the Stern potentials of the HGB and mineral, respectively, which are often replaced with ζ-potential; a1 and a2 are the radius of the HGB and mineral particle, respectively, which are measured with Master-size 2000; H is the minimum separation distance between the HGB and mineral particle; and the reciprocal of the Debye length, κ−1, is 9.61 nm calculated via nm. In the NaOL solution (4.0 × 10−4 mol·L−1) of pH 6.0, the ζ-potentials of HGB and ilmenite measured by a Delsa-440sx zeta-meter are −60.8 and −91.6 mV, respectively.
For the HGB–NaOL–ilmenite system, the London–van der Waals energy dispersion can be obtained from the following Equation:
where a1 and a2 represent the radius of the HGB and mineral particle, respectively; A1, A2, A3, and A4 are the Hamaker constants for the mineral particle P interacting with HGB B in a medium (water) W with collector (NaOL) C over the minimum separation distance H; δ1 and δ2 are the thickness of the adsorbent layer on the surface of mineral particle and HGB, respectively. A1, A2, A3, and A4 could be calculated as follows:
where AP, AB, AW, and AC refer to the Hamaker constant for the mineral particle, HGB, medium (water), and collector (NaOL), respectively. The Hamaker constants of ilmenite, HGB, water, and NaOL are 19.7 × 10−20 J, 15 × 10−20 J, 3.7 × 10−20J, and 4.7 × 10−20J, respectively [40].
Hydrophobic interaction energy VH can be determined by the following relationship (sphere–sphere system) [41]:
where a is the radius of the particle; h0 is the correlation length of the molecules in the liquid; H0 is the minimum separation distance between HGB and ilmenite surfaces; a1 and a2 are the radii of the HGB and mineral particle, respectively; and H is the separation distance.
could be calculated as follows:
where b, p, and w represent HGB, ilmenite, and liquid, respectively, and γ+ and γ− represent the electron acceptor and electron donor parameters, respectively.
The contact angles of liquids on the solid phase were measured by a contact angle goniometer to calculate the surface tension parameters () for the HGB or minerals, and contact angle results show in Figure 9, the parameters were obtained as follows:
where s and l represent solid (HGB or mineral) and liquids, respectively, and represent the surface tension and a polar component of the surface tension, respectively. The value of oxidized minerals is equal to 0 [42]. Equations (7) and (8) could be simplified as follows:
Figure 9.
Contact angles of (a) fine ilmenite and (b) HGB in HGB–NaOL–ilmenite system (NaOL concentration: 4.0 × 10−4 mol·L−1).
In this study, 10 µm, 65 µm, 1.3 nm, 1.3 nm, 10 nm, 0. 2 nm, 72.8 mJ·m−2, 21.8 mJ·m−2, 25.5 mJ·m−2, and 25.5 mJ·m−2 are the specific values of a1, a2, δ1, δ2, h0, H0, , respectively [18]. The calculation results are shown in Figure 10.
Figure 10.
Interaction energy curves between ilmenite and HGB as function of interparticle interaction distance (pH: 6.0, NaOL concentration: 4.0 × 10−4 mol·L−1).
Figure 10 shows that the electrostatic interaction (VE) calculated by Equation (3) is closely related to the zeta potential of ilmenite and HGB. The value of VE is positive, and VE is an order of magnitude larger than VW from Equations (4) and (5) because ilmenite and HGB are highly negatively charged in the NaOL solution. The total interaction energy (without VH) exhibits a relatively high energy barrier in close contact (<20 nm), thus making ilmenite particle fail to attach on the HGB surface. However, the optical microscope observation reveals that ilmenite particles and HGB have a good attachment in NaOL solution. The results show that the total interaction energy also depends on acid–base interaction energy (VH). The hydrophobic interaction energy calculated by Equations (6), (10) and (11) illustrates that the value of hydrophobic interaction energy is positive, and VH is an order of magnitude larger than VE, which shows that hydrophobic interaction energy determines the attachment between ilmenite particle and HGB. Total interaction energy increases as the interaction distance between particles decreases. The theoretical calculation value is consistent with the experimental data.
3.4. Optical Microscope Observation of Ilmenite
Figure 11 illustrates attachment images of the fine ilmenite mixed HGB treated with or without NaOL at a concentration 4.0 × 10−4 mol·L−1. Figure 11 shows that the carrier phenomenon occurs between fine ilmenite particles and carrier HGB under the addition of a collector reagent. Figure 11a shows ilmenite particle has a good dispersion ability in an aqueous solution. Figure 11b shows fine ilmenite treated with NaOL, few mineral particles form aggregates, and most of them are still in a dispersed state. Figure 11c,d shows that the mineral particles are surrounded and attached on the surface of the HGB carrier, which indicates that carrier HGB could attach ilmenite treated with the collector, with the addition of a collector reagent and the HGB particle input. In addition, the larger the particle size of the HGB carrier is, the more ilmenite particles can be attached. To sum up, the potential mechanism for the carrier flotation of ilmenite and HGB (Figure 12) could be presumed as follows. First, ilmenite is placed in the flotation cell to be treated with NaOL, such that NaOL is chemisorbed on the ilmenite surface to make ilmenite hydrophobic. Then, hollow glass bubbles after hydrophobization by 1-butanol are added to the flotation cell. The NaOL-treated ilmenite particles collide with HGB particles in the flotation machine. The hydrophobic forces could then form between the alkyl chains of the oleate species and HGB surfaces, causing the aggregation of HGB and ilmenite particles. The glass bubble is hollow and has strong natural floatability. The surface of the aggregate formed by the glass bubble and mineral is also covered with hydrophobic groups. The joint action of the two improves the floatability of ilmenite in the solution and forms a new method of flotation of fine ilmenite using the hydrophobic glass bubble as the carrier.
Figure 11.
Microscope images of fine ilmenite treated with/without HGB. (a) Ilmenite, (b) ilmenite + NaOL, and (c,d) ilmenite + NaOL + HGB. (The mineral size distributions of 0–19 μm, pH = 6.0, 4.0 × 10−4 mol·L−1 sodium oleate.)
Figure 12.
Carrier flotation model of HGB particles promotes ilmenite flotation behavior.
4. Conclusions
HGB was studied as the carrier to promote fine-grained ilmenite recovery. The micro-flotation results showed that the floatability of fine ilmenite and titanaugite remarkably decreased compared with that of coarse ilmenite and titanaugite. HGB could improve the flotation of ilmenite and titanaugite using NaOL as collector and sodium silicate as depressant to separate ilmenite from titanaugite and achieve the best separation effect at pH 6.0. The flotation recovery difference between ilmenite and titanaugite increased from approximately 32.87% to 52.11%. The results of FTIR analysis revealed that NaOL chemisorbed onto the surface of the mineral particles and physisorbed on the HGB surfaces. Optical microscope observation results indicated that ilmenite particles treated with NaOL solution can be attached on the surface of the HGB, and larger HGB particles can attach more ilmenite particles. According to the XDLVO theory, the total energy of interaction calculation results showed that total energy depended not only on electrostatic and London–van der Waals interactions, but also on acid–base interactions. The surface free energy and zeta potential of mineral and carrier were the main factors affecting the acid–base interaction force. The acid–base interactions force determined whether two hydrophobic particles can stick together. Most importantly, adhesion behaviors between mineral and HGB, which was lacking in previous studies, was comprehensively explained here.
Author Contributions
Conceptualization, P.C. and Y.C.; methodology, P.C., Y.C., and H.L. (Hang Liu); software, X.L.; validation, Y.L. and X.W.; formal analysis, H.L. (Haoyu Li); investigation, Y.C. and X.C.; resources, P.C.; data curation, H.W.; writing—original draft preparation, Y.C. and H.L. (Hang Liu); writing—review and editing, P.C. and Y.C.; supervision W.S.; project administration P.C.; funding acquisition, P.C. All authors have read and agreed to the published version of the manuscript.
Funding
The authors acknowledge the support of the Natural Science Foundation of China (52074357), the National key Research and Development Program (2019YFC1803501, 2019YFC1803503, 2018YFC1801804, and 2019YFC0408300), the Natural Science Foundation of China (52074356), and China Postdoctoral Science Foundation (2019M650188).
Institutional Review Board Statement
Not applicable.
Informed Consent Statement
Not applicable.
Data Availability Statement
Not applicable.
Acknowledgments
Not applicable.
Conflicts of Interest
The authors declare no conflict of interest.
References
- Bulatovic, S.; Wyslouzil, D.M. Process development for treatment of complex perovskite, ilmenite and rutile ores. Miner. Eng. 1999, 12, 1407–1417. [Google Scholar] [CrossRef]
- Chen, P.; Zhai, J.; Sun, W.; Hu, Y.; Yin, Z.; Lai, X. Adsorption mechanism of lead ions at ilmenite/water interface and its influence on ilmenite flotability. J. Ind. Eng. Chem. 2017, 53, 285–293. [Google Scholar] [CrossRef]
- Zhou, M.-F.; Chen, W.T.; Wang, C.Y.; Prevec, S.A.; Liu, P.P.; Howarth, G.H. Two stages of immiscible liquid separation in the formation of Panzhihua-type Fe-Ti-V oxide deposits, SW China. Geosci. Front. 2013, 4, 481–502. [Google Scholar] [CrossRef]
- Shellnutt, J.G.; Jahn, B.M. Formation of the Late Permian Panzhihua plutonic-hypabyssal-volcanic igneous complex: Implications for the genesis of Fe-Ti oxide deposits and A-type granites of SW China. Earth Planet. Sci. Lett. 2010, 289, 509–519. [Google Scholar] [CrossRef]
- Shahbazi, B.; Rezai, B.; Javad Koleini, S.M. Bubble–particle collision and attachment probability on fine particles flotation. Chem. Eng. Process. Process Intensif. 2010, 49, 622–627. [Google Scholar] [CrossRef]
- Ge, L.; Evans, G.M.; Moreno-Atanasio, R. CFD-DEM investigation of the interaction between a particle swarm and a stationary bubble: Particle-bubble collision efficiency. Powder Technol. 2020, 366, 641–652. [Google Scholar] [CrossRef]
- Chen, S.; Chen, X.; Wan, D.; Yi, X.; Sun, X.; Ji, L.; Wang, G. A lattice Boltzmann study of the collisions in a particle-bubble system under turbulent flows. Powder Technol. 2020, 361, 759–768. [Google Scholar] [CrossRef]
- Hassanzadeh, A.; Hassas, B.V.; Kouachi, S.; Brabcova, Z.; Çelik, M.S. Effect of bubble size and velocity on collision efficiency in chalcopyrite flotation. Colloids Surf. A Physicochem. Eng. Asp. 2016, 498, 258–267. [Google Scholar] [CrossRef]
- Nguyen, A.V.; Ralston, J.; Schulze, H.J. On modelling of bubble–particle attachment probability in flotation. Int. J. Miner. Process. 1998, 53, 225–249. [Google Scholar] [CrossRef]
- Ireland, P.M.; Jameson, G.J. Collision of a rising bubble–particle aggregate with a gas–liquid interface. Int. J. Miner. Process. 2014, 130, 1–7. [Google Scholar] [CrossRef]
- Wang, H.; Yang, W.; Yan, X.; Wang, L.; Wang, Y.; Zhang, H. Regulation of bubble size in flotation: A review. J. Environ. Chem. Eng. 2020, 8, 104070. [Google Scholar] [CrossRef]
- Farrokhpay, S.; Filippova, I.; Filippov, L.; Picarra, A.; Rulyov, N.; Fornasiero, D. Flotation of fine particles in the presence of combined microbubbles and conventional bubbles. Miner. Eng. 2020, 155, 106439. [Google Scholar] [CrossRef]
- Jameson, G.J. Hydrophobicity and floc density in induced-air flotation for water treatment. Colloids Surf. A Physicochem. Eng. Asp. 1999, 151, 269–281. [Google Scholar] [CrossRef]
- Shamlooh, M.; Rimeh, A.; Nasser, M.S.; Al-Ghouti, M.A.; El-Naas, M.H.; Qiblawey, H. Enhancement of flocculation and shear resistivity of bentonite suspension using a hybrid system of organic coagulants and anionic polyelectrolytes. Sep. Purif. Technol. 2020, 237, 116462. [Google Scholar] [CrossRef]
- Kostoglou, M.; Karapantsios, T.D.; Evgenidis, S. On a generalized framework for turbulent collision frequency models in flotation: The road from past inconsistencies to a concise algebraic expression for fine particles. Adv. Colloid Interface Sci. 2020, 284, 102270. [Google Scholar] [CrossRef] [PubMed]
- Islam, M.T.; Nguyen, A.V. Effect of microturbulence on bubble-particle collision during the bubble rise in a flotation cell. Miner. Eng. 2020, 155, 106418. [Google Scholar] [CrossRef]
- Loganathan, S.; Sankaran, S. Surface chemical and selective flocculation studies on iron oxide and silica suspensions in the presence of xanthan gum. Miner. Eng. 2021, 160, 106668. [Google Scholar] [CrossRef]
- Roth, C.M.; Unger, K.K.; Lenhoff, A.M. Mechanistic model of retention in protein ion-exchange chromatography. J. Chromatogr. A 1996, 726, 45–56. [Google Scholar] [CrossRef]
- Sadowski, Z.; Polowczyk, I. Agglomerate flotation of fine oxide particles. Int. J. Miner. Process. 2004, 74, 85–90. [Google Scholar] [CrossRef]
- Zou, W.; Gong, L.; Huang, J.; Zhang, Z.; Sun, C.; Zeng, H. Adsorption of hydrophobically modified polyacrylamide P(AM-NaAA-C16DMAAC) on model coal and clay surfaces and the effect on selective flocculation of fine coal. Miner. Eng. 2019, 142, 105887. [Google Scholar] [CrossRef]
- Bu, X.; Wang, X.; Zhou, S.; Li, B.; Zhan, H.; Xie, G. Discrimination of Six Flotation Kinetic Models Used in the Conventional Flotation and Carrier Flotation of-74 mu m Coal Fines. ACS Omega 2020, 5, 13813–13821. [Google Scholar] [CrossRef] [PubMed]
- Zhao, X.; Meng, Q.; Yuan, Z.; Zhang, Y.; Li, L. Effect of sodium silicate on the magnetic separation of ilmenite from titanaugite by magnetite selective coating. Powder Technol. 2019, 344, 233–241. [Google Scholar] [CrossRef]
- Ateşok, G.; Boylu, F.; Çelĭk, M.S. Carrier flotation for desulfurization and deashing of difficult-to-float coals. Miner. Eng. 2001, 14, 661–670. [Google Scholar] [CrossRef]
- Zhang, X.; Zhou, X.; Xi, H.; Sun, J.; Liang, X.; Wei, J.; Xiao, X.; Liu, Z.; Li, S.; Liang, Z.; et al. Interpretation of adhesion behaviors between bacteria and modified basalt fiber by surface thermodynamics and extended DLVO theory. Colloids Surf. B Biointerfaces 2019, 177, 454–461. [Google Scholar] [CrossRef] [PubMed]
- Hu, N.; Liu, W.; Jin, L.; Li, Y.; Li, Z.; Liu, G.; Huang, D.; Wu, Z.; Yin, H. Recovery of trace Cu2+ using a process of nano-adsorption coupled with flotation: SNP as an adsorbing carrier. Sep. Purif. Technol. 2017, 184, 257–263. [Google Scholar] [CrossRef]
- Rubio, J.; Hoberg, H. The process of separation of fine mineral particles by flotation with hydrophobic polymeric carrier. Int. J. Miner. Process. 1993, 37, 109–122. [Google Scholar] [CrossRef]
- Arriagada, S.; Acuña, C.; Vera, M. New technology to improve the recovery of fine particles in froth flotation based on using hydrophobized glass bubbles. Miner. Eng. 2020, 156, 106364. [Google Scholar] [CrossRef]
- Hunter, T.N.; Wanless, E.J.; Jameson, G.J. Effect of esterically bonded agents on the monolayer structure and foamability of nano-silica. Colloids Surf. A Physicochem. Eng. Asp. 2009, 334, 181–190. [Google Scholar] [CrossRef]
- Utsugi, H.; Horikoshi, H.; Matsuzawa, T. Mechanism of esterification of alcohols with surface silanols and hydrolysis of surface esters on silica gels. J. Colloid Interface Sci. 1975, 50, 154–161. [Google Scholar] [CrossRef]
- Salmani Nuri, O.; Irannajad, M.; Mehdilo, A. Reagent adsorption on modified mineral surfaces: Isotherm, kinetic and thermodynamic aspects. J. Mol. Liq. 2019, 291, 111311. [Google Scholar] [CrossRef]
- Du, Y.; Meng, Q.; Yuan, Z.; Ma, L.; Xu, Y. Study on the flotation behavior and mechanism of ilmenite and titanaugite with sodium oleate. Miner. Eng. 2020, 152, 106366. [Google Scholar] [CrossRef]
- Meng, Q.; Yuan, Z.; Yu, L.; Xu, Y.; Du, Y.; Zhang, C. Selective depression of titanaugite in the ilmenite flotation with carboxymethyl starch. Appl. Surf. Sci. 2018, 440, 955–962. [Google Scholar] [CrossRef]
- Xiao, W.; Ren, Y.-x.; Yang, J.; Cao, P.; Wang, J.; Qin, W.-q.; Qiu, G.-z. Adsorption mechanism of sodium oleate and styryl phosphonic acid on rutile and amphibole surfaces. Trans. Nonferrous Met. Soc. China 2019, 29, 1939–1947. [Google Scholar] [CrossRef]
- Chen, P.; Lu, X.; Chai, X.; Mulenga, H.; Gao, J.; Liu, H.; Meng, Q.; Sun, W.; Gao, Y. Influence of Fe–BHA complexes on the flotation behavior of ilmenite. Colloids Surf. A Physicochem. Eng. Asp. 2021, 612, 125964. [Google Scholar] [CrossRef]
- Chen, P.; Zhai, J.; Sun, W.; Hu, Y.; Yin, Z. The activation mechanism of lead ions in the flotation of ilmenite using sodium oleate as a collector. Miner. Eng. 2017, 111, 100–107. [Google Scholar] [CrossRef]
- Fan, G.; Zhang, C.; Wang, T.; Deng, J.; Cao, Y.; Chang, L. New insight into surface adsorption thermodynamic, kinetic properties and adsorption mechanisms of sodium oleate on ilmenite and titanaugite. Adv. Powder Technol. 2020, 31, 3628–3639. [Google Scholar] [CrossRef]
- Van Oss, C.J. Chapter Three—The Extended DLVO Theory. Interface Sci. Technol. 2008, 16, 31–48. [Google Scholar]
- Adamczyk, Z.; Weroński, P. Application of the DLVO theory for particle deposition problems. Adv. Colloid Interface Sci. 1999, 83, 137–226. [Google Scholar] [CrossRef]
- Piñeres, J.; Barraza, J. Energy barrier of aggregates coal particle–bubble through the extended DLVO theory. Int. J. Miner. Process. 2011, 100, 14–20. [Google Scholar] [CrossRef]
- Mei, W.; Li, X.; Cao, Y. Chemical Formulas Manual; Transl. Scienmce Press: Beijing, China, 1987. [Google Scholar]
- Oss, C.J.V.; Giese, R.F.; Costanzo, P.M. DLVO and non-DLVO interactions in hectorite. Clays Clay Miner. 1990, 38, 151–159. [Google Scholar]
- Farahat, M.; Hirajima, T.; Sasaki, K.; Doi, K. Adhesion of Escherichia coli onto quartz, hematite and corundum: Extended DLVO theory and flotation behavior. Colloids Surf. B Biointerfaces 2009, 74, 140–149. [Google Scholar] [CrossRef] [PubMed]
Publisher’s Note: MDPI stays neutral with regard to jurisdictional claims in published maps and institutional affiliations. |
© 2021 by the authors. Licensee MDPI, Basel, Switzerland. This article is an open access article distributed under the terms and conditions of the Creative Commons Attribution (CC BY) license (http://creativecommons.org/licenses/by/4.0/).











