Flotation Depression of Arsenopyrite Using Sodium Nitrobenzoate under Alkaline Conditions
Abstract
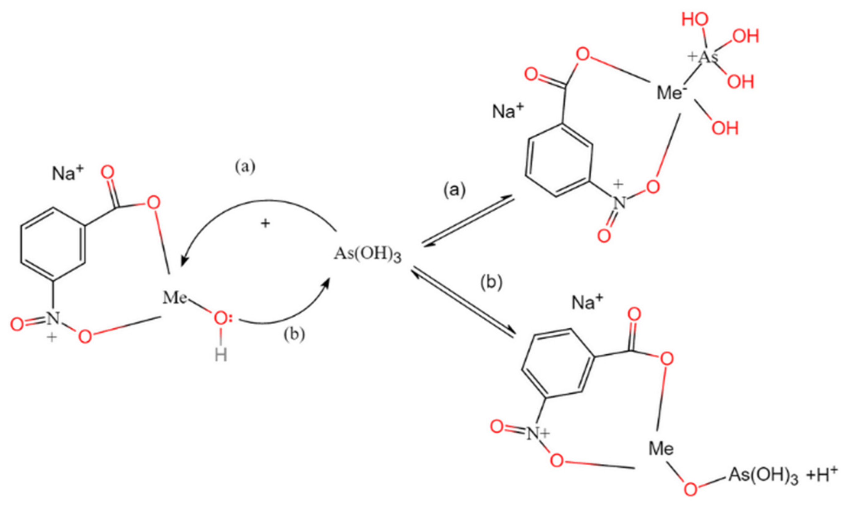
:1. Introduction
2. Materials and Methods
2.1. Materials
2.2. Methods
2.2.1. Micro-Flotation Tests
2.2.2. FTIR Measurements
2.2.3. XPS Measurements
2.2.4. Electrochemical Measurements
3. Results and Discussion
3.1. Arsenopyrite Flotation Experiments
3.2. FTIR Analysis
3.3. XPS Analysis
3.4. Electrochemical Analysis
4. Conclusions
Author Contributions
Funding
Data Availability Statement
Acknowledgments
Conflicts of Interest
References
- Rathi, B.S.; Kumar, P.S. A review on sources, identification and treatment strategies for the removal of toxic Arsenic from water system. J. Hazard. Mater. 2021, 418, 126299. [Google Scholar] [CrossRef] [PubMed]
- Mandaliev, P.N.; Mikutta, C.; Barmettler, K.; Kotsev, T.; Kretzschmar, R. Arsenic Species Formed from Arsenopyrite Weathering along a Contamination Gradient in Circumneutral River Floodplain Soils. Environ. Sci. Technol. 2013, 48, 208–217. [Google Scholar] [CrossRef] [PubMed]
- Corkhill, C.; Vaughan, D. Arsenopyrite oxidation—A review. Appl. Geochem. 2009, 24, 2342–2361. [Google Scholar] [CrossRef]
- Buckley, A.N.; Walker, G.W. The surface composition of arsenopyrite exposed to oxidizing environments. Appl. Surf. Sci. 1988, 35, 227–240. [Google Scholar] [CrossRef]
- Park, I.; Higuchi, K.; Tabelin, C.B.; Jeon, S.; Ito, M.; Hiroyoshi, N. Suppression of arsenopyrite oxidation by microencapsulation using ferric-catecholate complexes and phosphate. Chemosphere 2021, 269, 129413. [Google Scholar] [CrossRef]
- Chen, H.; Li, B.; Zhang, B. Decomposition of pyrite and the interaction of pyrite with coal organic matrix in pyrolysis and hydropyrolysis. Fuel 2000, 79, 1627–1631. [Google Scholar] [CrossRef]
- Alonso, D.L.; Latorre, S.; Castillo, E.; Brandão, P.F. Environmental occurrence of arsenic in Colombia: A review. Environ. Pollut. 2014, 186, 272–281. [Google Scholar] [CrossRef] [PubMed]
- Ma, X.; Bruckard, W. Rejection of arsenic minerals in sulfide flotation—A literature review. Int. J. Miner. Process. 2009, 93, 89–94. [Google Scholar] [CrossRef]
- Bruckard, W.; Davey, K.; Jorgensen, F.; Wright, S.; Brew, D.; Haque, N.; Vance, E. Development and evaluation of an early removal process for the beneficiation of arsenic-bearing copper ores. Miner. Eng. 2010, 23, 1167–1173. [Google Scholar] [CrossRef]
- Harmer, S.; Nesbitt, H. Stabilization of pyrite (FeS2), marcasite (FeS2), arsenopyrite (FeAsS) and loellingite (FeAs2) surfaces by polymerization and auto-redox reactions. Surf. Sci. 2004, 564, 38–52. [Google Scholar] [CrossRef]
- Aylmore, M.G.; Lincoln, F.J. Mechanical milling of auriferous arsenopyrite and pyrite. J. Alloys Compd. 1996, 242, 22–34. [Google Scholar] [CrossRef]
- Qiu, T.; Zhang, B.; Zhang, W. Current status and progress of technology of separating arsenopyrite and pyrite. Min. Process. Equip. 2013, 41, 1–5. [Google Scholar]
- Xiong, D.L.; Yue-Hua, H.U.; Zhi-Guo, H.E. Advances in Research on Organic Depressor’s Depressing of Arsenopyrite in Sulfide Flotation. Min. Metall. Eng. 2004, 24, 42–44. [Google Scholar]
- Chen, Y.; Yang, H.; Liu, Y.; Chen, G. Structural evolution of arsenopyrite and dearsenification by mechanical activation. J. Environ. Chem. Eng. 2021, 9, 104682. [Google Scholar] [CrossRef]
- Guo, B.; Lin, X.; Fu, W.; Ku, J. Establishment of electrochemical methods to examine the adsorption of flotation surfactants onto a mineral surface. J. Chem. Technol. Biotechnol. 2020, 95, 1580–1589. [Google Scholar] [CrossRef]
- Li, G.; Zhang, H.; Shinnosuke, U. Surface chemical compositions of arsenopyrite and pyrite particles. Nonferrous Met. 1992, 44, 25–29. [Google Scholar]
- Beattie, M.; Poling, G. A study of the surface oxidation of arsenopyrite using cyclic voltammetry. Int. J. Miner. Process. 1987, 20, 87–108. [Google Scholar] [CrossRef]
- Qiang, L.; Jin, H. Preparation of some new micromolecular organic depressants and their reactivty to pyrite and arsenopyrite. J. Cent. South Univ. 1991, 22, 256–262. [Google Scholar]
- Chen, J.; Feng, Q.; Yiping, L.U. Structure of organic depressants and its depressing on sulfide minerals. Nonferrous Met. 1998, 50, 61–65. [Google Scholar]
- Liu, Z.S.; Fu-Chu, W.U.; Lun, S.X. The Research Status and Development for Flotation Separation of Pyrite and Arsenopyrite. Yunnan Metall. 2015, 44, 12–17. [Google Scholar]
- Zhao, Z.Q.; Ren, L.D. Separation of Arsenopyrite from Pyrite by Reverse Flotation. Multipurp. Util. Miner. Resour. 2000, 7–12. [Google Scholar] [CrossRef]
- Liu, R.; Li, J.; Wang, Y.; Liu, D. Flotation separation of pyrite from arsenopyrite using sodium carbonate and sodium humate as depressants. Colloids Surf. A Physicochem. Eng. Asp. 2020, 595, 124669. [Google Scholar] [CrossRef]
- Andrá, P.; Kunierová, M.; Adam, M.; Slesarova, A.; Chovan, M. Biological-chemical oxidation of ore minerals at the Pezinok deposit (Male Karpaty Mts., Western Carpathians Slovakia). Inz. Miner. 2009, 10, 1–26. [Google Scholar]
- Min, Z.H.; Bing, Q.Y.; Dan, F. A study on inhibitive action of sodium p-nitrobenzoate for corrosion of carbon steel. Oilfield Chem. 1996, 13, 70–73. [Google Scholar]
- Boctor, N.Z. Mineral Chemistry of Metal Sulfides. Earth-Sci. Rev. 1980, 15, 410–411. [Google Scholar] [CrossRef]
- Liu, X.; Li, Q.; Zhang, Y.; Jiang, T.; Yang, Y.; Xu, B.; He, Y. Electrochemical behaviour of the dissolution and passivation of arsenopyrite in 9K culture medium. Appl. Surf. Sci. 2020, 508, 145269. [Google Scholar] [CrossRef]
- Redkina, G.V.; Sergienko, A.S.; Kuznetsov, Y.I. Effect of sodium dodecylphosphonate and its composition with sodium m-nitrobenzoate on anodic behavior of zinc in chloride-containing borate buffer. Corros. Mater. Prot. 2019, 2019. [Google Scholar] [CrossRef]
- Yuwang, X. Mineralogical Study of a Polymetallic Sulfide Ore in Inner Mongolia. Nonferrous Met. Miner. Process. Sect. 2019, 1, 6–13. [Google Scholar] [CrossRef]
- Ning, S.; Li, G.; Shen, P.; Zhang, X.; Li, J.; Liu, R.; Liu, D. Selective separation of chalcopyrite and talc using pullulan as a new depressant. Colloids Surf. A Physicochem. Eng. Asp. 2021, 623, 126764. [Google Scholar] [CrossRef]
- Cao, Z.; Wang, P.; Zhang, W.; Zeng, X.; Cao, Y. Mechanism of sodium sulfide on flotation of cyanide-depressed pyrite. Trans. Nonferrous Met. Soc. China 2020, 30, 484–491. [Google Scholar] [CrossRef]
- Wang, X.-H. Interfacial Electrochemistry of Pyrite Oxidation and Flotation. 1: Effect of borate on pyrite surface oxidation. J. Colloid Interface Sci. 1996, 178, 628–637. [Google Scholar] [CrossRef]
- Janczak, J. Structure and phase transition in 1-(diaminomethylene)thiouron-1-ium m-nitrobenzoate monohydrate and the structure of its anhydrous deuterated analogue. J. Mol. Struct. 2021, 1230, 129626. [Google Scholar] [CrossRef]
- Fuerstenau, M.C.; Kuhn, M.C.; Elgillani, D.A. The role of dixanthogen in xanthate flotation of pyrite. Trans. AIME 1968, 241, 148–156. [Google Scholar]
- Schaufuss, A.G.; Nesbitt, H.W.; Scaini, M.J.; Hoechst, H.; Bancroft, M.G.; Szargan, R. Reactivity of surface sites on fractured arsenopyrite (FeAsS) toward oxygen. Am. Mineral. 2000, 85, 1754–1766. [Google Scholar] [CrossRef]
- Qin, W.-Q.; Wang, X.-J.; Ma, L.-Y.; Jiao, F.; Liu, R.-Z.; Gao, K. Effects of galvanic interaction between galena and pyrite on their flotation in the presence of butyl xanthate. Trans. Nonferrous Met. Soc. China 2015, 25, 3111–3118. [Google Scholar] [CrossRef]
- Nesbitt, H.; Muir, I.; Prarr, A. Oxidation of arsenopyrite by air and air-saturated, distilled water, and implications for mechanism of oxidation. Geochim. Cosmochim. Acta 1995, 59, 1773–1786. [Google Scholar] [CrossRef]
- Wang, X.-H.; Forssberg, K.E. Mechanisms of pyrite flotation with xanthates. Int. J. Miner. Process. 1991, 33, 275–290. [Google Scholar] [CrossRef]
- Yang, J. Changsha, China. Oxidation kinetics of xanthate at the surface of pyrite and arsenopyrite. J. Cent. South Univ. Technol. 1995, 26, 600–604. [Google Scholar]
- Lin, H.-T.; Wang, M.; Li, G.-C. Complexation of arsenate with humic substance in water extract of compost. Chemosphere 2004, 56, 1105–1112. [Google Scholar] [CrossRef]
- Zhu, T.; Lu, X.; Liu, H.; Li, J.; Zhu, X.; Lu, J.; Wang, R. Quantitative X-ray photoelectron spectroscopy-based depth profiling of bioleached arsenopyrite surface by Acidithiobacillus ferrooxidans. Geochim. Cosmochim. Acta 2014, 127, 120–139. [Google Scholar] [CrossRef]
- Mizokawa, Y. Quantitative Chemical Depth Profiles of anodic Oxide on GaAs Obtained by X-ray Photoelectron Spectroscopy. J. Electrochem. Soc. 1979, 126, 1370–1374. [Google Scholar] [CrossRef]
- Fornasiero, D.; Li, F.; Ralston, J.; Smart, R.S. Oxidation of Galena Surfaces. J. Colloid Interface Sci. 1994, 164, 333–344. [Google Scholar] [CrossRef]
- Costa, M.; Rego, A.B.D.; Abrantes, L. Characterization of a natural and an electro-oxidized arsenopyrite: A study on electrochemical and X-ray photoelectron spectroscopy: I. X-ray photoelectron spectroscopic and dissolution kinetics studies. Int. J. Miner. Process. 2002, 65, 83–108. [Google Scholar] [CrossRef]
- Deng, M.; Karpuzov, D.; Liu, Q.; Xu, Z. Cryo-XPS study of xanthate adsorption on pyrite. Surf. Interface Anal. 2013, 45, 805–810. [Google Scholar] [CrossRef]
- Mikhlin, Y.; Karacharov, A.; Tomashevich, Y.; Shchukarev, A. Cryogenic XPS study of fast-frozen sulfide minerals: Flotation-related adsorption of n -butyl xanthate and beyond. J. Electron. Spectros. Relat. Phenom. 2016, 206, 65–73. [Google Scholar] [CrossRef]
- Sisenov, G.K.; Bogdanovskaya, V.A.; Tarasevich, M.R. Redox reactions of arsenopyrite in aqueous electrolyte solutions. Sov. Electrochem. 1988, 24, 729–733. [Google Scholar]
- Guo, H.; Yen, W.-T. Effect of cell design and electrode configuration on the efficiency of applied potential and sulfide mineral flotation. Miner. Eng. 2003, 16, 877–880. [Google Scholar] [CrossRef]
- Wang, X.-H.; Ahlberg, E.; Forssberg, K.S.E. Electrochemical study of surface oxidation and collectorless flotation of arsenopyrite. J. Appl. Electrochem. 1992, 22, 1095–1103. [Google Scholar] [CrossRef]
- Monte, M.; Dutra, A.; Albuquerque, C.; Tondo, L.; Lins, F. The influence of the oxidation state of pyrite and arsenopyrite on the flotation of an auriferous sulphide ore. Miner. Eng. 2002, 15, 1113–1120. [Google Scholar] [CrossRef]
- Qin, W.; Qiu, G.; Jing, X.U.; Wang, D. Electrochemical behavior of pyrite in the prensence of xanthate solution i. electrodeposit of dixanthogen at surface of pyrite electrode. Nonferrous Met. 1999, 51, 26–29. [Google Scholar]
- Sun, Z.J.; Hu, J.B.; Qian, Y.G.; Lu, Y.Q.; Li, Q.L. Studies on the Electrochemical Behavior of Methotrexate and Its ApplicationatCo/GC Ion Implantation Modified Electrode. Chem. J. Chin. Univ. 2002, 23, 541–545. [Google Scholar] [CrossRef]












| Element | Fe | As | S | Si | Zn | Al | Ca | Mn | K | P |
|---|---|---|---|---|---|---|---|---|---|---|
| Content (wt.%) | 34.93 | 47.12 | 14.88 | 1.37 | 0.64 | 0.51 | 0.48 | 0.03 | 0.03 | 0.01 |
| Apy | Apy + NaBX | Wavenumber/cm−1 | Functional Groups | Bonding Properties | |
|---|---|---|---|---|---|
| Apy + m-NBO | Apy + m-NBO + NaBX | ||||
| 3436 | 3436 | 3438 | 3436 | O–H bending vibrations | water (adsorbed water) |
| 1630 | 1626 | 1629 | 1630 | O–H bending vibrations | water (adsorbed water) |
| / | / | 1404, 1387 | 1405, 1388 | –NO2 symmetrical stretching vibration | m-NBO |
| / | 1382 | / | / | –CH3 bending vibrations | NaBX |
| / | 1112 | / | 1116 | C=S stretching vibration | NaBX |
| 1049 | 1053 | 1083 | 1033 | SO42− stretch vibration | Apy |
| 871 | / | 829 | / | As–O stretching vibration | Apy |
| 580 | 601 | 612 | 607 | Fe–O stretching vibration | Apy |
| 431 | 431 | 433 | 434 | O–As–O bending vibrations | Apy |
| Chemical State | BE/eV | FWHW | Atomic/% | ||||||
|---|---|---|---|---|---|---|---|---|---|
| Apy | Apy + NaBX | Apy + m-NBO | Apy + m-NBO + NaBX | Apy | Apy + NaBX | Apy + m-NBO | Apy + m-NBO + NaBX | ||
| Fe2+–AsS | 707.3 | 707.1 | 707.3 | 707.0 | 1.0 | 35 | 43 | 29 | 41 |
| Fe2+–(Fe–O) | 709.6 | 709.4 | 709.5 | 709.6 | 2.7 | 20 | 19 | 20 | 16 |
| Fe3+(Fe–O) | 711.7 | 711.6 | 711.8 | 711.7 | 2.6 | 45 | 38 | 51 | 43 |
| As−1–S | 41.3 | 41.1 | 41.3 | 41.2 | 1.0 | 39 | 33 | 26 | 34 |
| As0 | 42.1 | 41.8 | 42.0 | 41.9 | 1.0 | ||||
| As3+–O | 44.2 | 44.0 | 44.1 | 44.2 | 1.7 | 23 | 26 | 17 | 33 |
| As5+–O | 45.5 | 45.4 | 45.5 | 45.5 | 1.8 | 38 | 41 | 57 | 33 |
| or S=S | 162.3 | 162.2 | 162.3 | 162.1 | 1.1 | 71 | 74 | 60 | 62 |
| or S=C | 163.6 | 163.2 | 163.5 | 163.4 | 1.1 | ||||
| S0 or S=S | 164.8 | 164.0 | 164.8 | 164.8 | 1.4 | 11 | 11 | 18 | 23 |
| or S–S | 166.1 | 165.3 | 166.1 | 165.9 | 1.4 | ||||
| 168.3 | 168.1 | 168.5 | 167.9 | 1.9 | 18 | 15 | 22 | 15 | |
| 169.6 | 169.3 | 169.8 | 169.2 | 1.9 | |||||
| Electrode | Corrosion Potential Ecorr (mV) | Corrosion Current Icorr (μA/cm2) |
|---|---|---|
| Apy | −95.5 | 8.49 |
| Apy + NaBX | −100.5 | 10.47 |
| Apy + m-NBO | −101.9 | 8.99 |
| Apy + m-NBO + NaBX | −165.0 | 7.31 |
| Electrode | Corrosion Potential Ecorr (mV) | Corrosion Current Icorr (μA/cm2) |
|---|---|---|
| Apy | −228 | 2.22 |
| Apy + NaBX | −201 | 2.64 |
| Apy + m-NBO | −219 | 2.92 |
| Apy + m-NBO + NaBX | −205 | 2.49 |
Publisher’s Note: MDPI stays neutral with regard to jurisdictional claims in published maps and institutional affiliations. |
© 2021 by the authors. Licensee MDPI, Basel, Switzerland. This article is an open access article distributed under the terms and conditions of the Creative Commons Attribution (CC BY) license (https://creativecommons.org/licenses/by/4.0/).
Share and Cite
Sun, X.; Wu, B.; Hu, M.; Qiu, H.; Deng, J.; Cai, J.; Jin, X. Flotation Depression of Arsenopyrite Using Sodium Nitrobenzoate under Alkaline Conditions. Minerals 2021, 11, 1216. https://doi.org/10.3390/min11111216
Sun X, Wu B, Hu M, Qiu H, Deng J, Cai J, Jin X. Flotation Depression of Arsenopyrite Using Sodium Nitrobenzoate under Alkaline Conditions. Minerals. 2021; 11(11):1216. https://doi.org/10.3390/min11111216
Chicago/Turabian StyleSun, Xiaohao, Bozeng Wu, Mingzhen Hu, Hongxin Qiu, Jiushuai Deng, Jiaozong Cai, and Xiaoli Jin. 2021. "Flotation Depression of Arsenopyrite Using Sodium Nitrobenzoate under Alkaline Conditions" Minerals 11, no. 11: 1216. https://doi.org/10.3390/min11111216
APA StyleSun, X., Wu, B., Hu, M., Qiu, H., Deng, J., Cai, J., & Jin, X. (2021). Flotation Depression of Arsenopyrite Using Sodium Nitrobenzoate under Alkaline Conditions. Minerals, 11(11), 1216. https://doi.org/10.3390/min11111216
