Towards Identification of Zircon Populations in Permo-Carboniferous Rhyolites of Central Europe: Insight from Automated SEM-Mineral Liberation Analyses
Abstract
1. Introduction
2. Sampling and Methodological Approach
2.1. Bulk Rock Geochemistry
2.2. Mineral Liberation Analyses
3. Case Study of Permo-Carboniferous Rhyolites
3.1. Geological Setting
3.2. Chemical Composition
3.3. Petrography
3.3.1. Chemnitz
3.3.2. Bieberstein
3.3.3. Halle
3.3.4. Krucze
3.3.5. Organy
3.4. Zircon Associations
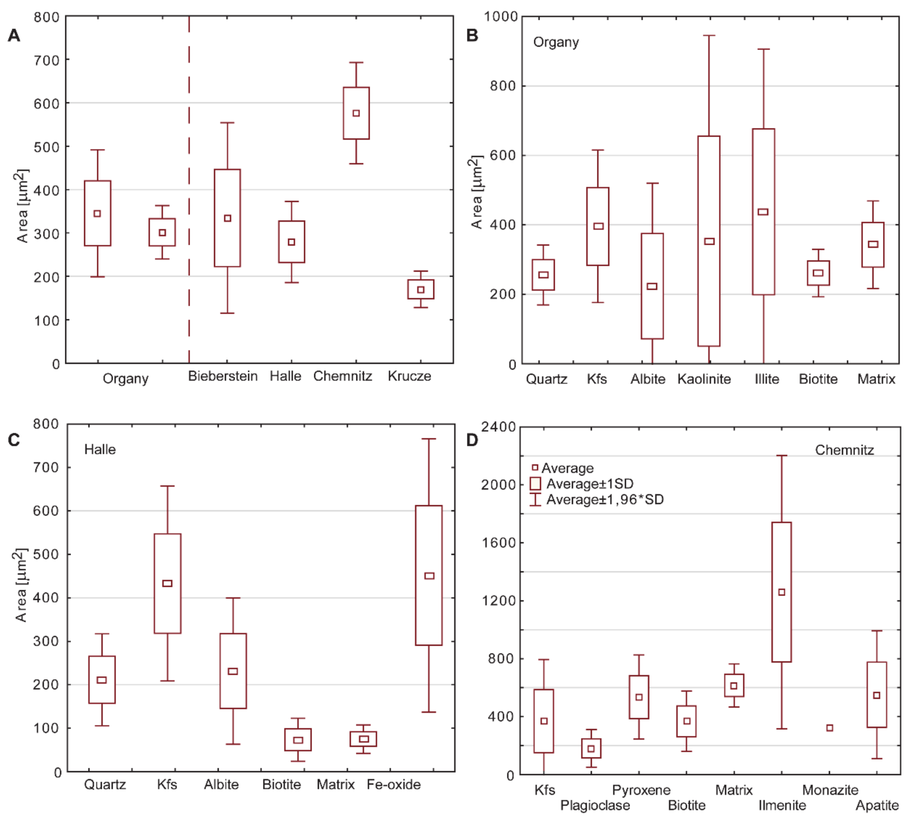
3.5. Mineral Grain Size Distribution
3.6. Whole-Rock Versus Modal Composition
4. Discussion
4.1. Chemical and Structural Diversity of Studied Rhyolites
4.2. New Insights into Zircon Behavior in Silicic Magmas Based on SEM-MLA
5. Conclusions
Supplementary Materials
Author Contributions
Funding
Acknowledgments
Conflicts of Interest
References
- Pietranik, A.; Slodczyk, E.; Hawkesworth, C.J.; Breitkreuz, C.; Storey, C.D.; Whitehouse, M.; Milke, R. Heterogeneous zircon cargo involuminous late paleozoic rhyolites: Hf, oisotope and zr/hf records of plutonic tovolcanicmagma evolution. J. Pet. 2013, 54, 1483–1501. [Google Scholar] [CrossRef]
- Schaltegger, U. Hydrothermal zircon. Elements 2007, 3, 51. [Google Scholar] [CrossRef]
- Siégel, C.; Bryan, S.E.; Allen, C.M.; Gust, D.A. Use and abuse of zircon-based thermometers: A critical review and a recommended approach to identify antecrystic zircons. Earth-Sci. Rev. 2018, 176, 87–116. [Google Scholar] [CrossRef]
- Bryan, S.E.; Ferrari, L.; Reiners, P.W.; Allen, C.M.; Petrone, C.M.; Ramos-rosique, A.; Campbell, I.H. New insights into crustal contributions to large-volume rhyolite generation in the mid-Tertiary Sierra Madre Occidental province, Mexico, revealed by U-Pb geochronology. J. Pet. 2008, 49, 47–77. [Google Scholar] [CrossRef]
- Kern, J.M.; de Silva, S.L.; Schmitt, A.K.; Kaiser, J.F.; Iriarte, A.R.; Economos, R. Geochronological imaging of an episodically constructed subvolcanic batholith: U-Pb in zircon chronochemistry of the Altiplano-Puna Volcanic Complex of the Central Andes. Geosphere 2016, 12, 1054–1077. [Google Scholar] [CrossRef]
- Słodczyk, E.; Breitkreuz, C. Zircon abundance, size and paragenesis in SiO2-rich volcanic rocks: Implications for geochronologic studies. Geosci. Notes 2014, 2.1, 15–35. [Google Scholar]
- Schulz, B.; Merker, G.; Gutzmer, J. Automated SEM mineral liberation analysis (MLA) with generically labelled EDX spectra in the mineral processing of rare earth element ores. Minerals 2019, 9, 527. [Google Scholar] [CrossRef]
- Wojtulek, P.M.; Schulz, B.; Delura, K.; Dajek, M. Formation of chromitites and ferrogabbros in ultramafic and mafic members of the Variscan Ślęża ophiolite (SW Poland). Ore Geol. Rev. 2019, 106, 97–112. [Google Scholar] [CrossRef]
- Repstock, A.; Heuer, F.; Im, J.; Hübner, M.; Schulz, B.; Breitkreuz, C.; Gilbricht, S.; Fischer, F.; Lapp, M. A Late Paleozoic Snake River-type ignimbrite (Planitz vitrophyre) in the Chemnitz Basin, Germany: Textural and compositional evidence for complex magma evolution in an intraplate setting. J. Volcanol. Geotherm. Res. 2019, 369, 35–49. [Google Scholar] [CrossRef]
- Morrison, A.L.; Swierczek, Z.; Gulson, B.L. Visualisation and quantification of heavy metal accessibility in smelter slags: The influence of morphology on availability. Environ. Pollut. 2016, 210, 271–281. [Google Scholar] [CrossRef]
- Pietranik, A.; Kierczak, J.; Tyszka, R.; Schulz, B. Understanding heterogeneity of a slag-derived weathered material: The role of automated SEM-EDS analyses. Minerals 2018, 8, 513. [Google Scholar] [CrossRef]
- Klemetti, E.W.; Clynne, M.A. Localized rejuvenation of a crystal mush recorded in zircon temporal and compositional variation at the lassen volcanic center, Northern California. PLoS ONE 2014, 9, e113157. [Google Scholar] [CrossRef] [PubMed]
- Storm, S.; Shane, P.; Schmitt, A.K.; Lindsay, J.M. Contrasting punctuated zircon growth in two syn-erupted rhyolite magmas from Tarawera volcano: Insights to crystal diversity in magmatic systems. Earth Planet. Sci. Lett. 2011, 301, 511–520. [Google Scholar] [CrossRef]
- Keller, C.B.; Schoene, B.; Samperton, K.M. A stochastic sampling approach to zircon eruption age interpretation. Geochem. Perspect. Lett. 2018, 8, 31–35. [Google Scholar] [CrossRef]
- Słodczyk, E.; Pietranik, A.; Breitkreuz, C.; Pedziwiatr, A.; Bokła, M.; Schab, K.; Grodzicka, M. Formation of a laccolith by magma pulses: Evidence from modal and chemical composition of the 500 m long borehole section through the Permo-Carboniferous Landsberg laccolith (Halle Volcanic Complex). Geochem. J. 2015, 49, 523–537. [Google Scholar] [CrossRef]
- Hoffmann, U.; Breitkreuz, C.; Breiter, K.; Sergeev, S.; Stanek, K.; Tichomirowa, M. Carboniferous-Permian volcanic evolution in Central Europe-U/Pb ages of volcanic rocks in Saxony (Germany) and northern Bohemia (Czech Republic). Int. J. Earth Sci. 2013, 102, 73–99. [Google Scholar] [CrossRef]
- Romer, R.L.; Förster, H.J.; Breitkreuz, C. Intracontinental extensional magmatism with a subduction fingerprint: The late carboniferous halle volcanic complex (Germany). Contrib. Miner. Pet. 2001, 141, 201–221. [Google Scholar] [CrossRef]
- Repstock, A.; Breitkreuz, C.; Lapp, M.; Schulz, B. Voluminous and crystal-rich igneous rocks of the Permian Wurzen volcanic system, northern Saxony, Germany: Physical volcanology and geochemical characterization. Int. J. Earth Sci. 2018, 107, 1485–1513. [Google Scholar] [CrossRef]
- Breitkreuz, C.; Ehling, B.C.; Sergeev, S. Chronological evolution of an intrusive/extrusive system: The late paleozoic halle volcanic complex in the northeastern saale basin (Germany). Z. Dtsch. Ges. Geowiss. 2009, 160, 173–190. [Google Scholar] [CrossRef]
- Breitkreuz, C.; Ehling, B.C.; Pastrik, N. The Subvolcanic Units of the Late Paleozoic Halle Volcanic Complex, Germany: Geometry, Internal Textures and Emplacement Mode. In Advances in Volcanology; Springer: Cham, Switzerland, 2018; pp. 295–307. [Google Scholar]
- Mock, A.; Jerram, D.A.; Breitkreuz, C. Using Quantitative Textural Analysis to Understand the Emplacement of Shallow-Level Rhyolitic Laccoliths—A Case Study from the Halle Volcanic Complex, Germany. J. Pet. 2003, 44, 833–849. [Google Scholar] [CrossRef]
- Schmiedel, T.; Breitkreuz, C.; Görz, I.; Ehling, B.C. Geometry of laccolith margins: 2D and 3D models of the Late Paleozoic Halle Volcanic Complex (Germany). Int. J. Earth Sci. 2014, 104, 323–333. [Google Scholar] [CrossRef]
- Słodczyk, E.; Pietranik, A.; Breitkreuz, C.; Fanning, C.M.; Anczkiewicz, R.; Ehling, B.C. Rhyolite magma evolution recorded in isotope and trace element composition of zircon from Halle Volcanic Complex. Lithos 2016, 248, 402–417. [Google Scholar] [CrossRef]
- Awdankiewicz, M.; Kryza, R.; Szczepara, N. Timing of post-collisional volcanism in the eastern part of the Variscan Belt: Constraints from SHRIMP zircon dating of Permian rhyolites in the North-Sudetic Basin (SW Poland). Geol. Mag. 2014, 151, 611–628. [Google Scholar] [CrossRef]
- Mikulski, S.Z.; Williams, I.S. Zircon U-Pb dating of igneous rocks in the Radzimowice and Wielisław Złotoryjski auriferous polymetallic deposits, sudetes, SW Poland. Ann. Soc. Geol. Pol. 2014, 84, 213–233. [Google Scholar]
- Kryza, R.; Awdankiewicz, M. Ambiguous geological position of Carboniferous rhyodacites in the Intra-Sudetic basin (SW Poland) clarified by SHRIMP zircon ages. Geol. Q. 2012, 56, 55–66. [Google Scholar]
- Awdankiewicz, M.; Awdankiewicz, H.; Rapprich, V.; Stárková, M. A permian andesitic tuff ring at Rožmitál (the Intra-Sudetic Basin, Czech Republic)—Evolution from explosive to effusive and high-level intrusive activity. Geol. Q. 2014, 58, 759–778. [Google Scholar] [CrossRef][Green Version]
- Boehnke, P.; Watson, E.B.; Trail, D.; Harrison, T.M.; Schmitt, A.K. Zircon saturation re-revisited. Chem. Geol. 2013, 351, 324–334. [Google Scholar] [CrossRef]
- Sun, S.S.; McDonough, W.F. Chemical and isotopic systematics of oceanic basalts: Implications for mantle composition and processes. Geol. Soc. Spec. Publ. 1989, 42, 313–345. [Google Scholar] [CrossRef]
- Breitkreuz, C.; Mock, A. Are laccolith complexes characteristic of transtensional basin systems? Examples from the Permo-Carboniferous of Central Europe. Geol. Soc. Spec. Publ. 2004, 234, 13–31. [Google Scholar] [CrossRef]
- Breitkreuz, C.; Kennedy, A. Magmatic flare-up at the Carboniferous/Permian boundary in the NE German Basin revealed by SHRIMP zircon ages. Tectonophysics 1999, 302, 307–326. [Google Scholar] [CrossRef]
- Benek, R.; Kramer, W.; McCann, T.; Scheck, M.; Negendank, J.F.W.; Korich, D.; Huebscher, H.D.; Bayer, U. Permo-Carboniferous magmatism of the Northeast German Basin. Tectonophysics 1996, 266, 379–404. [Google Scholar] [CrossRef]
- Tamura, Y.; Gill, J.B.; Tollstrup, D.; Kawabata, H.; Shukuno, H.; Chang, Q.; Miyazaki, T.; Takahashi, T.; Hirahara, Y.; Kodaira, S.; et al. Silicic magmas in the Izu-Bonin oceanic arc and implications for crustal evolution. J. Pet. 2009, 50, 685–723. [Google Scholar] [CrossRef]
- Nairn, I.A.; Shane, P.R.; Cole, J.W.; Leonard, G.J.; Self, S.; Pearson, N. Rhyolite magma processes of the ∼AD 1315 Kaharoa eruption episode, Tarawera volcano, New Zealand. J. Volcanol. Geotherm. Res. 2004, 131, 265–294. [Google Scholar] [CrossRef]
- Hildreth, W.; Wilson, C.J.N. Compositional zoning of the bishop tuff. J. Pet. 2007, 48, 951–999. [Google Scholar] [CrossRef]
- Cole, J.W.; Deering, C.D.; Burt, R.M.; Sewell, S.; Shane, P.A.R.; Matthews, N.E. Okataina Volcanic Centre, Taupo Volcanic Zone, New Zealand: A review of volcanism and synchronous pluton development in an active, dominantly silicic caldera system. Earth Sci. Rev. 2014, 128, 1–17. [Google Scholar] [CrossRef]
- Elliott, B.A. Petrogenesis of heavy rare earth element enriched rhyolite: Source and magmatic evolution of the round top laccolith, trans-pecos, texas. Minerals 2018, 8, 423. [Google Scholar] [CrossRef]
- Swallow, E.J.; Wilson, C.J.N.; Myers, M.L.; Wallace, P.J.; Collins, K.S.; Smith, E.G.C. Evacuation of multiple magma bodies and the onset of caldera collapse in a supereruption, captured in glass and mineral compositions. Contrib. Miner. Pet. 2018, 173, 33. [Google Scholar] [CrossRef]
- Słodczyk, E.; Pietranik, A.; Glynn, S.; Wiedenbeck, M.; Breitkreuz, C.; Dhuime, B. Contrasting sources of Late Paleozoic rhyolite magma in the Polish Lowlands: Evidence from U–Pb ages and Hf and O isotope composition in zircon. Int. J. Earth Sci. 2018, 107, 2065–2081. [Google Scholar] [CrossRef]
- Chamberlain, K.J.; Wilson, C.J.N.; Wooden, J.L.; Charlier, B.L.A.; Ireland, T.R. New perspectives on the bishoptuff from zircon textures, ages andtrace elements. J. Pet. 2014, 55, 395–426. [Google Scholar] [CrossRef]
- Luthardt, L.; Hofmann, M.; Linnemann, U.; Gerdes, A.; Marko, L.; Rößler, R. A new U–Pb zircon age and a volcanogenic model for the early Permian Chemnitz Fossil Forest. Int. J. Earth Sci. 2018, 107, 2465–2489. [Google Scholar] [CrossRef]
- Drost, K.; Wirth, R.; Košler, J.; Fonneland Jørgensen, H.; Ntaflos, T. Chemical and structural relations of epitaxial xenotime and zircon substratum in sedimentary and hydrothermal environments: A TEM study. Contrib. Miner. Pet. 2013, 165, 737–756. [Google Scholar] [CrossRef]
- Deering, C.D.; Cole, J.W.; Vogel, T.A. A rhyolite compositional continuum governed by lower crustal source conditions in the taupo volcanic zone, New Zealand. J. Pet. 2008, 49, 2245–2276. [Google Scholar] [CrossRef]








© 2020 by the authors. Licensee MDPI, Basel, Switzerland. This article is an open access article distributed under the terms and conditions of the Creative Commons Attribution (CC BY) license (http://creativecommons.org/licenses/by/4.0/).
Share and Cite
Przybyło, A.; Pietranik, A.; Schulz, B.; Breitkreuz, C. Towards Identification of Zircon Populations in Permo-Carboniferous Rhyolites of Central Europe: Insight from Automated SEM-Mineral Liberation Analyses. Minerals 2020, 10, 308. https://doi.org/10.3390/min10040308
Przybyło A, Pietranik A, Schulz B, Breitkreuz C. Towards Identification of Zircon Populations in Permo-Carboniferous Rhyolites of Central Europe: Insight from Automated SEM-Mineral Liberation Analyses. Minerals. 2020; 10(4):308. https://doi.org/10.3390/min10040308
Chicago/Turabian StylePrzybyło, Arkadiusz, Anna Pietranik, Bernhard Schulz, and Christoph Breitkreuz. 2020. "Towards Identification of Zircon Populations in Permo-Carboniferous Rhyolites of Central Europe: Insight from Automated SEM-Mineral Liberation Analyses" Minerals 10, no. 4: 308. https://doi.org/10.3390/min10040308
APA StylePrzybyło, A., Pietranik, A., Schulz, B., & Breitkreuz, C. (2020). Towards Identification of Zircon Populations in Permo-Carboniferous Rhyolites of Central Europe: Insight from Automated SEM-Mineral Liberation Analyses. Minerals, 10(4), 308. https://doi.org/10.3390/min10040308

