Effect of Sodium Chloride Concentration on Saturated Permeability of Remolded Loess
Abstract
1. Introduction
2. Materials and Methods
2.1. Materials
2.2. Preparation of Specimens
2.3. Solutions
2.4. Saturated Hydraulic Conductivity Test
2.4.1. Test Apparatus
2.4.2. Sample Saturation
2.4.3. Ksat Measurement
2.5. Water Chemical Analysis
3. Results
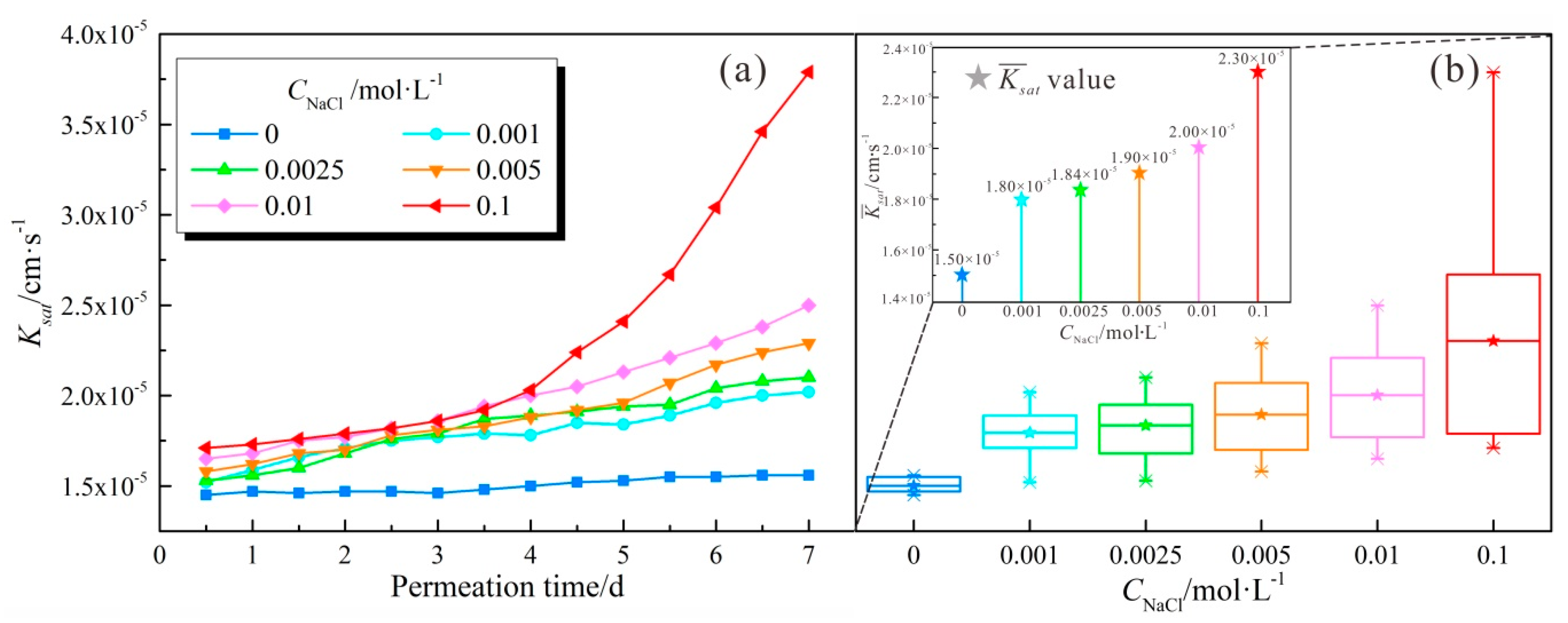
3.1. Variation Characteristics of Ksat
3.2. Chemical Characteristics of the Leachate
3.3. Desalination Effect of Soil
3.4. Characteristics of Soil Chemical Compositions
4. Discussion
4.1. Response of Permeability to Water–Soil Chemical Interaction
4.1.1. Dissolution and Precipitation
4.1.2. Redox Action
4.1.3. Exchange and Adsorption
4.2. Response of Permeability to the Soil Microstructure
5. Conclusions
Author Contributions
Funding
Conflicts of Interest
References
- Li, P.; Xie, W.; Pak, R.Y.; Vanapalli, S.K. Microstructural evolution of loess soils from the Loess Plateau of China. Catena 2019, 173, 276–288. [Google Scholar] [CrossRef]
- Peng, J.; Wang, S.; Wang, Q.; Zhuang, J.; Huang, W.; Zhu, X.; Leng, Y.; Ma, P. Distribution and genetic types of loess landslides in China. J. Asian Earth Sci. 2019, 170, 329–350. [Google Scholar] [CrossRef]
- An, P. Experimental Study on Seepage Degradation of Reshape Saturated Loess under Seepage. Master’s Thesis, Northwest A & F University, Yangling, China, 2011. (In Chinese). [Google Scholar]
- An, P.; Zhang, A.J.; Liu, H.T.; Wang, T. Degradation mechanism of long-term seepage and permeability analysis of remolded saturated loess. Rock Soil Mech. 2013, 34, 1965–1971. (In Chinese) [Google Scholar]
- Liu, Z.; Dugan, B.; Masiello, C.A.; Barnes, R.T.; Gallagher, M.E.; Gonnermann, H. Impacts of biochar concentration and particle size on hydraulic conductivity and DOC leaching of biochar–sand mixtures. J. Hydrol. 2016, 533, 461–472. [Google Scholar] [CrossRef]
- Chapuis, R.P. Predicting the saturated hydraulic conductivity of soils: A review. Bull. Eng. Geol. Environ. 2012, 71, 401–434. [Google Scholar] [CrossRef]
- Gao, Y.; Qian, H.; Li, X.; Chen, J.; Jia, H. Effects of lime treatment on the hydraulic conductivity and microstructure of loess. Environ. Earth Sci. 2018, 77, 529. [Google Scholar] [CrossRef]
- Mu’Azu, M.A. Influence of compactive effort on Bagasse ash with cement treated lateritic soil. Leonardo Electron. J. Pract. Technol. 2007, 10, 79–92. [Google Scholar]
- Metelková, Z.; Boháč, J.; Přikryl, R.; Sedlářová, I. Maturation of loess treated with variable lime admixture: Pore space textural evolution and related phase changes. Appl. Clay Sci. 2012, 61, 37–43. [Google Scholar] [CrossRef]
- Cuisinier, O.; Auriol, J.C.; Le Borgne, T.; Deneele, D. Microstructure and hydraulic conductivity of a compacted lime-treated soil. Eng. Geol. 2011, 123, 187–193. [Google Scholar] [CrossRef]
- Yan, G.S.; Zhang, H.Y.; Li, H.P.; Hu, X.Y. Research on permeability experiment of modified loess. Coal Ash 2013, 25, 1–5. (In Chinese) [Google Scholar]
- Cai, N.; Cao, L.W.; Shang, J.Q. Effect of chemical on the permeability of silt in the seepage process of inorginic solution. Sci. Technol. Eng. 2018, 18, 312–317. (In Chinese) [Google Scholar]
- Zhang, J. Study on the influence of inorganic salt solution on the permeability of silty clay. Technol. Innov. Appl. 2017, 16, 75. (In Chinese) [Google Scholar]
- Yılmaz, G.; Yetimoglu, T.; Arasan, S. Hydraulic conductivity of compacted clay liners permeated with inorganic salt solutions. Waste Manag. Res. 2008, 26, 464–473. [Google Scholar] [CrossRef] [PubMed]
- Jo, H.Y.; Katsumi, T.; Benson, C.H.; Edil, T.B. Hydraulic conductivity and swelling of nonprehydrated GCLs permeated with single-species salt solutions. J. Geotech. Geoenviron. Eng. 2001, 127, 557–567. [Google Scholar] [CrossRef]
- Xu, H.; Yang, X. Releasing of major elements from loess leached by rain. Soil Environ. Sci. 2002, 11, 38–41. (In Chinese) [Google Scholar]
- Guo, Y.W.; Zhang, Y.L.; Dang, X.L.; Jia, T.C. Behaviors of CaCO3 in Loess collapse caused by irrigation. Acta Pedol. Since 2008, 45, 1034–1039. (In Chinese) [Google Scholar]
- Kolstad, D.C.; Benson, C.H.; Edil, T.B. Hydraulic conductivity and swell of nonprehydrated geosynthetic clay liners permeated with multispecies inorganic solutions. J. Geotech. Geoenviron. Eng. 2004, 130, 1236–1249. [Google Scholar] [CrossRef]
- Chen, J.; Fang, Y.; Gu, R.; Shu, H.; Ba, L.; Li, W. Study on pore size effect of low permeability clay seepage. Arab. J. Geosci. 2019, 12, 238. [Google Scholar] [CrossRef]
- Wang, J.H.; Peng, Z.B.; Du, C.X. Chemical interaction of water-soil within slope. Chin. J. Geol. Hazard Control 2006, 2, 69–73. (In Chinese) [Google Scholar]
- Nguyen, X.-P.; Cui, Y.-J.; Tang, A.M.; Deng, Y.; Li, X.-L.; Wouters, L. Effects of pore water chemical composition on the hydro-mechanical behavior of natural stiff clays. Eng. Geol. 2013, 166, 52–64. [Google Scholar] [CrossRef]
- Godoy, V.A.; Zuquette, L.V.; Gómez-Hernández, J.J. Spatial variability of hydraulic conductivity and solute transport parameters and their spatial correlations to soil properties. Geoderma 2019, 339, 59–69. [Google Scholar] [CrossRef]
- Zhang, X.G.; Ma, G.W.; Yi, N.; Chen, X.; Wu, H. Experimental analysis of chemical damage of water to soil structure. In Key Engineering Materials; Trans Tech Publications Ltd.: Bäch, Switzerland, 2007. [Google Scholar]
- Zhu, W.; Xu, H.Q.; Wang, S.W.; Fan, X.H. Influence of CaCl2 solution on the permeability of different clay-based cutoff walls. Rock Soil Mech. 2016, 37, 1224–1230. (In Chinese) [Google Scholar]
- Jing, D.; Pan, Y. Electroviscous effect and convective heat transfer of pressure-driven flow through microtubes with surface charge-dependent slip. Int. J. Heat Mass Transf. 2016, 101, 648–655. [Google Scholar] [CrossRef]
- Gleason, M.H.; Daniel, D.E.; Eykholt, G.R. Calcium and sodium bentonite for hydraulic containment applications. J. Geotech. Geoenviron. Eng. 1997, 123, 438–445. [Google Scholar] [CrossRef]
- Kaya, A.; Fang, H.-Y. The effects of organic fluids on physicochemical parameters of fine-grained soils. Can. Geotech. J. 2000, 37, 943–950. [Google Scholar] [CrossRef]
- Jia, Y.J.; Zhuang, J.Q.; Wang, Y.; Zhao, Y.; Niu, P.Y.; Jia, K.C. Experimental study for effect of sodium sulfate’s concentration on shear strength of loess. J. Eng. Geol. 2019, 27, 1041–1047. (In Chinese) [Google Scholar]
- Ministry of Water Resources of the Peoples’ Republic of China. Standard for Soil Test Method (GB/T 50123-1999); China Planning Press: Beijing, China, 1999. (In Chinese)
- Xu, P.P.; Feng, W.W.; Qian, H.; Liu, F.X. Discussion on comparison and accuracy of reusable soil compaction test. J. Eng. Geol. 2017, 25, 129–133. [Google Scholar]
- Sun, J.Z. Loess Science (First Part); Hong Kong Archaeological Society Press: Hong Kong, China, 2005. (In Chinese) [Google Scholar]
- Wen, B.-P.; He, L. Influence of lixiviation by irrigation water on residual shear strength of weathered red mudstone in Northwest China: Implication for its role in landslides’ reactivation. Eng. Geol. 2012, 151, 56–63. [Google Scholar] [CrossRef]
- Wang, J.J.; Qiu, Z.F. Anisotropic hydraulic conductivity and critical hydraulic gradient of a crushed sandstone–mudstone particle mixture. Mar. Georesour. Geotechnol. 2017, 35, 89–97. [Google Scholar] [CrossRef]
- Fener, M.; Yesiller, N. Vertical pore structure profile of a compacted clayey soil. Eng. Geol. 2013, 166, 204–215. [Google Scholar] [CrossRef]
- Chen, W.; Ma, Y.; Yu, H.; Li, F.; Li, X.; Sillen, X. Effects of temperature and thermally-induced microstructure change on hydraulic conductivity of Boom Clay. J. Rock Mech. Geotech. Eng. 2017, 9, 383–395. [Google Scholar] [CrossRef]
- Ye, W.M.; Wan, M.; Chen, B.; Chen, Y.G.; Cui, Y.J.; Wang, J. Temperature effects on the swelling pressure and saturated hydraulic conductivity of the compacted GMZ01 bentonite. Environ. Earth Sci. 2013, 68, 281–288. [Google Scholar] [CrossRef]
- Zhang, M.; Zhu, X.; Yu, G.; Yan, J.; Wang, X.; Chen, M.; Wang, W. Permeability of muddy clay and settlement simulation. Ocean Eng. 2015, 104, 521–529. [Google Scholar] [CrossRef]
- Yang, X.J.; Wang, Y.; Fan, H.H.; Xu, N.R. Effects of pore solution’s pH value on engineering properties of remolded loess. J. Yangtze River Sci. Res. Inst. 2018, 35, 92–97. (In Chinese) [Google Scholar]
- Mitchell, J.K.; Soga, K. Fundamentals of Soil Behavior; John Wiley & Sons: Hoboken, NJ, USA, 2005. [Google Scholar]
- Wang, T.; Zhang, A.J.; Liu, H.T.; An, P. Permeability properties of reshaped loess in osmotic solution of different acidities. J. Yangtze River Sci. Res. Inst. 2013, 30, 35–40. (In Chinese) [Google Scholar]
- Liu, H.-m.; Zhou, D.; Wu, H.; Jiao, W.-C.; Wang, Y.-T. Experimental study on water-soil interaction influence for environmental change of marine soft soil. In Civil, Architecture and Environmental Engineering; CRC Press: Taipei, China, 2017; pp. 1239–1246. [Google Scholar]
- Chen, Y.; Wang, Y.; Liu, Q.; Zhuo, Q.G.; Zhang, X.J.; Chen, X.L. Effect of salts and common ions on solubility of calcite and its geological implications. J. China Univ. Pet. 2016, 40, 33–39. (In Chinese) [Google Scholar]
- Newton, R.C.; Manning, C.E. Experimental determination of calcite solubility in H2O-NaCl solutions at deep crust/upper mantle pressures and temperatures: Implications for metasomatic processes in shear zones. Am. Mineral. 2002, 87, 1401–1409. [Google Scholar] [CrossRef]
- Yan, Z.W.; Zhang, Z.W. The effect of chloride on the solubility of calcite and dolomite. Hydrogeol. Eng. Geol. 2009, 36, 113–118. (In Chinese) [Google Scholar]
- Liu, Y.; Liang, H.C.; Tang, Z.H.; Cai, H.S.; Liu, J.W. Inverse modeling of geochemical behavior of Ca2+ in landslide water-soil interaction system near the Three Gorges Reservoir. Hydrogeol. Eng. Geol. 2012, 39, 106–110. (In Chinese) [Google Scholar]
- Gratchev, I.B.; Towhata, I. Effects of acidic contamination on the geotechnical properties of marine soils in Japan. In Proceedings of the Nineteenth International Offshore and Polar Engineering Conference, Osaka, Japan, 21–26 July 2009. [Google Scholar]
- Gratchev, I.; Towhata, I. Compressibility of natural soils subjected to long-term acidic contamination. Environ. Earth Sci. 2011, 64, 193–200. [Google Scholar] [CrossRef]
- Holdren, G.R., Jr.; Speyer, P.M. Reaction rate-surface area relationships during the early stages of weathering. II. Data on eight additional feldspars. Geochim. Cosmochim. Acta 1987, 51, 2311–2318. [Google Scholar] [CrossRef]
- Huang, W.L.; Longo, J.M. The effect of organics on feldspar dissolution and the development of secondary porosity. Chem. Geol. 1992, 98, 271–292. [Google Scholar] [CrossRef]
- Zhang, Y.W.; Zeng, J.H.; Zhang, S.W.; Wang, Y.S.; Zhang, S.P. An Overview of Feldspar Dissolution Experiments. Geol. Sci. Technol. Inf. 2009, 28, 31–37. (In Chinese) [Google Scholar]
- Blake, R.; Walter, L. Effects of organic acids on the dissolution of orthoclase at 80 C and pH 6. Chem. Geol. 1996, 132, 91–102. [Google Scholar] [CrossRef]
- Blake, R.E.; Walter, L.M. Kinetics of feldspar and quartz dissolution at 70–80 °C and near-neutral pH: Effects of organic acids and NaCl. Geochim. Cosmochim. Acta 1999, 63, 2043–2059. [Google Scholar] [CrossRef]
- Ross, S. Soil Processes: A Systematic Approach; Routledge: Abingdon, UK, 1989. [Google Scholar]
- Chen, G.X.; Fan, L.B.; Chen, S. Soil Science and Soil Mechanics, 2nd ed.; China Water & Power Press: Beijing, China, 2006. (In Chinese) [Google Scholar]
- Fukue, M.; Minato, T.; Horibe, H.; Taya, N. The micro-structures of clay given by resistivity measurements. Eng. Geol. 1999, 54, 43–53. [Google Scholar] [CrossRef]
- Lee, J.-M.; Shackelford, C.D. Impact of bentonite quality on hydraulic conductivity of geosynthetic clay liners. J. Geotech. Geoenviron. Eng. 2005, 131, 64–77. [Google Scholar] [CrossRef]
- Lee, J.-M.; Shackelford, C.D.; Benson, C.H.; Jo, H.-Y.; Edil, T.B. Correlating index properties and hydraulic conductivity of geosynthetic clay liners. J. Geotech. Geoenviron. Eng. 2005, 131, 1319–1329. [Google Scholar] [CrossRef]
- Fan, X.; Xu, Q.; Scaringi, G.; Li, S.; Peng, D. A chemo-mechanical insight into the failure mechanism of frequently occurred landslides in the Loess Plateau, Gansu Province, China. Eng. Geol. 2017, 228, 337–345. [Google Scholar] [CrossRef]
- Tiwari, B.; Tuladhar, G.R.; Marui, H. Variation in residual shear strength of the soil with the salinity of pore fluid. J. Geotech. Geoenviron. Eng. 2005, 131, 1445–1456. [Google Scholar] [CrossRef]
- Zhang, F.; Wang, G.; Kamai, T.; Chen, W.; Zhang, D.; Yang, J. Undrained shear behavior of loess saturated with different concentrations of sodium chloride solution. Eng. Geol. 2013, 155, 69–79. [Google Scholar] [CrossRef]










| Optimal Moisture Content/% | Maximum Dry Density/g·cm−3 | Specific Gravity Gs | Liquid Limit/% | Plastic Limit/% | Grain Size Distribution/% | ||
|---|---|---|---|---|---|---|---|
| Clay (<5 μm) | Silt (5–50 μm) | Sand (>50 μm) | |||||
| 17.07 | 1.74 | 2.71 | 36.9 | 19.8 | 26.36 | 73.44 | 0.20 |
| Nominal Oxide | SiO2 | Al2O3 | CaO | K2O | Na2O | MgO | Fe2O3 | Others |
|---|---|---|---|---|---|---|---|---|
| wt. % | 52.21 | 13.19 | 9.07 | 2.77 | 1.15 | 3.34 | 5.75 | 12.52 |
| Mineral | Quartz | Plagioclase | Illite | Calcite | Chlorite | Orthoclase | Dolomite | Amphibole | Hematite |
|---|---|---|---|---|---|---|---|---|---|
| wt. % | 43.1 | 13.5 | 11 | 10.9 | 7.9 | 7.5 | 4.4 | 1.5 | 0.2 |
| CNaCl (mol·L−1) | 0 | 0.001 | 0.0025 | 0.005 | 0.01 | 0.1 |
|---|---|---|---|---|---|---|
| Ki (cm·s−1) | 1.45 × 10−5 | 1.52 × 10−5 | 1.53 × 10−5 | 1.58 × 10−5 | 1.65 × 10−5 | 1.71 × 10−5 |
| Kf (cm·s−1) | 1.56 × 10−5 | 2.02 × 10−5 | 2.10 × 10−5 | 2.29 × 10−5 | 2.50 × 10−5 | 3.79 × 10−5 |
| ∆K (cm·s−1) | 1.11 × 10−6 | 5.00 × 10−6 | 5.68 × 10−6 | 7.05 × 10−6 | 8.44 × 10−6 | 2.08 × 10−6 |
© 2020 by the authors. Licensee MDPI, Basel, Switzerland. This article is an open access article distributed under the terms and conditions of the Creative Commons Attribution (CC BY) license (http://creativecommons.org/licenses/by/4.0/).
Share and Cite
Xu, P.; Zhang, Q.; Qian, H.; Qu, W. Effect of Sodium Chloride Concentration on Saturated Permeability of Remolded Loess. Minerals 2020, 10, 199. https://doi.org/10.3390/min10020199
Xu P, Zhang Q, Qian H, Qu W. Effect of Sodium Chloride Concentration on Saturated Permeability of Remolded Loess. Minerals. 2020; 10(2):199. https://doi.org/10.3390/min10020199
Chicago/Turabian StyleXu, Panpan, Qiying Zhang, Hui Qian, and Wengang Qu. 2020. "Effect of Sodium Chloride Concentration on Saturated Permeability of Remolded Loess" Minerals 10, no. 2: 199. https://doi.org/10.3390/min10020199
APA StyleXu, P., Zhang, Q., Qian, H., & Qu, W. (2020). Effect of Sodium Chloride Concentration on Saturated Permeability of Remolded Loess. Minerals, 10(2), 199. https://doi.org/10.3390/min10020199

