Geological Controls on Mineralogy and Geochemistry of the Permian and Jurassic Coals in the Shanbei Coalfield, Shaanxi Province, North China
Abstract
1. Introduction
2. Geological Setting
3. Samples and Methods
4. Results
4.1. Coal Quality and Rank
4.2. Mineralogy
4.2.1. Mineralogical Compositions and Vertical Distribution
4.2.2. The Modes of Occurrence of Minerals
Silicate Minerals
Carbonate Minerals
Sulfide Minerals
Oxide and Hydroxide Minerals
Sulfate Minerals
Phosphate Mineral
4.3. Geochemistry
4.3.1. Major and Trace Element Concentration
4.3.2. Rare Earth Elements and Yttrium (REY)
4.3.3. Modes of Occurrence of Selected Elements in Coal
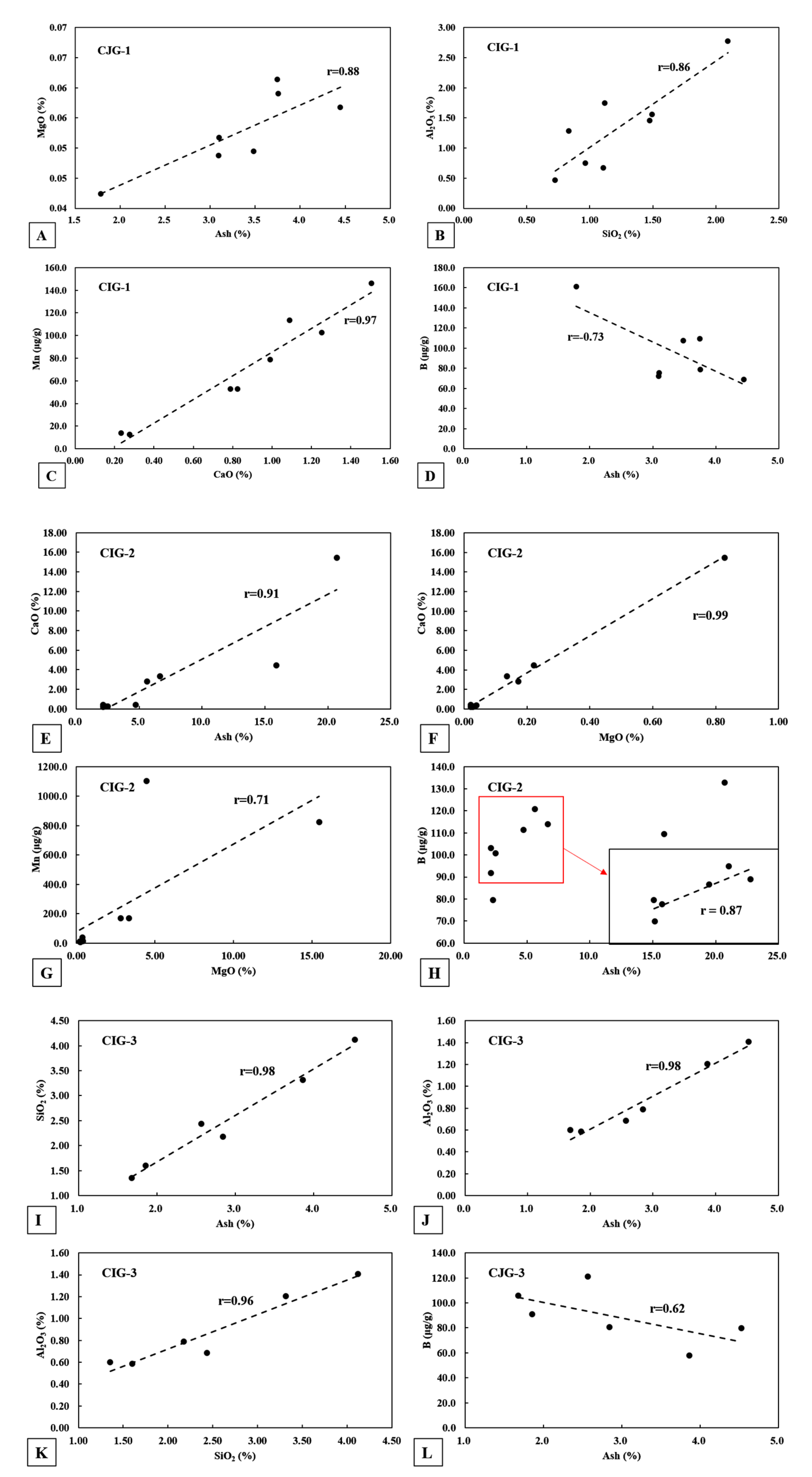
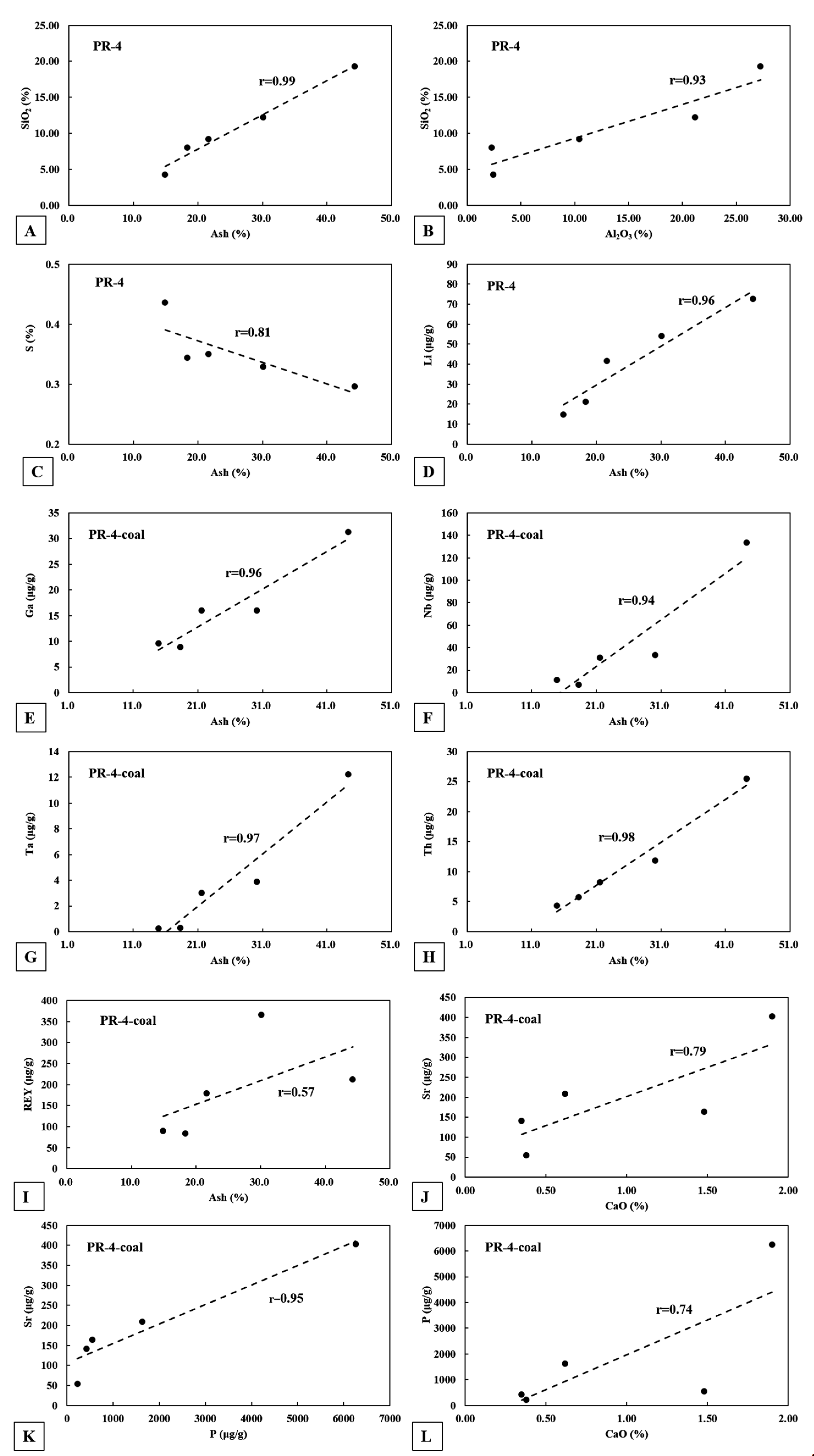
5. Discussion
5.1. Sedimentary Source Rocks
5.2. Diagenetic Fluid Supplies
5.3. Enrichment of Trace Elements
5.3.1. Boron
5.3.2. Phosphorus, Sr, and Ba
5.3.3. Niobium, Ta, Ga, and Th
5.3.4. Rare Earth Elements and Y
6. Conclusion
Author Contributions
Funding
Conflicts of Interest
References
- Zhuang, X.; Querol, X.; Alastuey, A.; Juan, R.; Plana, F.; Lopez-Soler, A.; Du, G.; Martynov, V.V. Geochemistry and mineralogy of the Cretaceous Wulantuga higher-germanium coal deposit in Shengli coal field, Inner Mongolia, Northeastern China. Int. J. Coal Geol. 2006, 66, 119–136. [Google Scholar] [CrossRef]
- Zhuang, X.; Querol, X.; Alastuey, A.; Plana, F.; Moreno, N.; Andrés, J.M.; Wang, J. Mineralogy and geochemistry of the coals from the Chongqing and Southeast Hubei coal mining districts, South China. Int. J. Coal Geol. 2007, 71, 263–275. [Google Scholar] [CrossRef]
- Dai, S.; Zhao, L.; Peng, S.; Chou, C.L.; Wang, X.; Zhang, Y.; Li, D.; Sun, Y. Abundances and distribution of minerals and elements in high-alumina coal fly ash from the Jungar power plant, Inner Mongolia, China. Int. J. Coal Geol. 2010, 81, 320–332. [Google Scholar] [CrossRef]
- Dai, S.; Zhou, Y.; Zhang, M.; Wang, X.; Wang, J.; Song, X.; Jiang, Y.; Luo, Y.; Song, Z.; Yang, Z.; et al. A new type of Nb(Ta)–Zr(Hf)–REE–Ga polymetallic deposit in the late Permian coal-bearing strata, eastern Yunnan, Southwestern China: Possible economic significance and genetic implications. Int. J. Coal Geol. 2010, 83, 55–63. [Google Scholar] [CrossRef]
- Dai, S.; Ren, D.; Chou, C.-L.; Finkelman, R.B.; Seredin, V.V.; Zhou, Y. Geochemistry of trace elements in Chinese coals: A review of abundances, genetic types, impacts on human health, and industrial utilization. Int. J. Coal Geol. 2012, 94, 3–21. [Google Scholar] [CrossRef]
- Dai, S.; Graham, I.; Ward, C. A review of anomalous rare earth elements and yttrium in coal. Int. J. Coal Geol. 2016, 159, 82–95. [Google Scholar] [CrossRef]
- Dai, S.; Finkelman, R.B. Coal as a promising source of critical elements: Progress and future prospects. Int. J. Coal Geol. 2018, 186, 155–164. [Google Scholar] [CrossRef]
- Wang, Z.; Dai, S.; Zou, J.; French, D.; Graham, I.T. Rare earth elements and yttrium in coal ash from the Luzhou power plant in Sichuan, Southwest China: Concentration, characterization and optimized extraction. Int. J. Coal Geol. 2019, 203, 1–14. [Google Scholar] [CrossRef]
- Qi, H.; Hu, R.; Zhang, Q. Concentration and distribution of trace elements in lignite from the Shengli Coalfield, Inner Mongolia, China: Implications on origin of the associated Wulantuga Germanium Deposit. Int. J. Coal Geol. 2007, 71, 129–152. [Google Scholar] [CrossRef]
- Hu, R.; Qi, H.; Zhou, M.; Su, W.; Bi, X.; Peng, J.; Zhong, H. Geological and geochemical constraints on the origin of the giant Lincang coal seam-hosted germanium deposit, Yunnan, SW China: A review. Ore Geol. Rev. 2009, 36, 221–234. [Google Scholar] [CrossRef]
- Dai, S.; Wang, P.; Ward, C.R.; Tang, Y.; Song, X.; Jiang, J.; Hower, J.C.; Li, T.; Seredin, V.V.; Wagner, N.J.; et al. Elemental and mineralogical anomalies in the coal-hosted Ge ore deposit of Lincang, Yunnan, southwestern China: Key role of N2–CO2-mixed hydrothermal solutions. Int. J. Coal Geol. 2015, 152, 19–46. [Google Scholar] [CrossRef]
- Du, G.; Zhuang, X.; Querol, X.; Izquierdo, M.; Alastuey, A.; Moreno, T.; Font, O. Ge distribution in the Wulantuga high-germanium coal deposit in the Shengli coalfield, Inner Mongolia, northeastern China. Int. J. Coal Geol. 2009, 78, 16–26. [Google Scholar] [CrossRef]
- Seredin, V.V.; Danilcheva, J. Coal-hosted Ge deposits of the Russian Far East. In Mineral Deposits at the Beginning of the 21st Century; Swets and Zeitlinger Publishers: Lisse, The Netherlands, 2001; pp. 89–92. [Google Scholar]
- Seredin, V.V.; Danilcheva, Y.A.; Magazina, L.O.; Sharova, I.G. Ge-bearing coals of the Luzanovka Graben, Pavlovka brown coal deposit, southern Primorye. Lithol. Miner. Resour. 2006, 41, 280–301. [Google Scholar] [CrossRef]
- Dai, S.; Yang, J.; Ward, C.R.; Hower, J.C.; Liu, H.; Garrison, T.M.; French, D.; O’Keefe, J.M.K. Geochemical and mineralogical evidence for a coal-hosted uranium deposit in the Yili Basin, Xinjiang, northwestern China. Ore Geol. Rev. 2015, 70, 1–30. [Google Scholar] [CrossRef]
- Dai, S.; Seredin, V.V.; Ward, C.R.; Hower, J.C.; Xing, Y.; Zhang, W.; Song, W.; Wang, P. Enrichment of U–Se–Mo–Re–V in coals preserved within marine carbonate successions: Geochemical and mineralogical data from the Late Permian Guiding Coalfield, Guizhou, China. Mineral. Depos. 2015, 50, 159–186. [Google Scholar] [CrossRef]
- Dai, S.; Xie, P.; Jia, S.; Ward, C.R.; Hower, J.C.; Yan, X.; French, D. Enrichment of U-Re-V-Cr-Se and rare earth elements in the Late Permian coals of the Moxinpo Coalfield, Chongqing, China: Genetic implications from geochemical and mineralogical data. Ore Geol. Rev. 2017, 80, 1–17. [Google Scholar] [CrossRef]
- Dai, S.; Ren, D.; Chou, C.-L.; Li, S.; Jiang, Y. Mineralogy and geochemistry of the No. 6 coal (Pennsylvanian) in the Jungar coalfield, Ordos Basin, China. Int. J. Coal Geol. 2006, 66, 253–270. [Google Scholar] [CrossRef]
- Dai, S.; Li, D.; Chou, C.-L.; Zhao, L.; Zhang, Y.; Ren, D.; Ma, Y.; Sun, Y. Mineralogy and geochemistry of boehmite-rich coals: New insights from the Haerwusu surface mine, Jungar coalfield, Inner Mongolia, China. Int. J. Coal Geol. 2008, 74, 185–202. [Google Scholar] [CrossRef]
- Dai, S.; Jiang, Y.; Ward, C.R.; Gu, L.; Seredin, V.V.; Liu, H.; Zhou, D.; Wang, X.; Sun, Y.; Zou, J.; et al. Mineralogical and geochemical compositions of the coal in the Guanbanwusu Mine, Inner Mongolia, China: Further evidence for the existence of an Al (Ga and REE) ore deposit in the Jungar Coalfield. Int. J. Coal Geol. 2012, 98, 10–40. [Google Scholar] [CrossRef]
- Li, J.; Zhuang, X.; Yuan, W.; Liu, B.; Querol, X.; Font, O.; Moreno, N.; Li, J.; Gang, T.; Liang, G. Mineral composition and geochemical characteristics of the Li-Ga-rich coals in the Buertaohai-Tianjiashipan mining district, Jungar Coalfield, Inner Mongolia. Int. J. Coal Geol. 2016, 167, 157–175. [Google Scholar] [CrossRef]
- Yang, N.; Tang, S.; Zhang, S.; Xi, Z.; Li, J.; Yuan, Y.; Guo, Y. In seam variation of element-oxides and trace elements in coal from the eastern Ordos Basin, China. Int. J. Coal Geol. 2018, 197, 31–41. [Google Scholar] [CrossRef]
- Ren, D.; Zhao, F.; Wang, Y.; Yang, S. Distribution of minor and trace elements in Chinese coals. Int. J. Coal Geol. 1999, 40, 109–118. [Google Scholar] [CrossRef]
- Ren, D.; Zhao, F.; Dai, S.; Zhang, J.; Luo, K. Geochemistry of Trace Elements in Coal; Science Press: Beijing, China, 2006; 556p. (In Chinese) [Google Scholar]
- Bouška, V.; Pešek, J.; Sýkorová, I. Probable modes of occurrence of chemical elements in coal. Acta Montana. Serie B Fuel Carbon Miner. Process. Praha 2000, 10, 53–90. [Google Scholar]
- Dai, S.; Ren, D.; Hou, X.; Shao, L. Geochemical and mineralogical anomalies of the late Permian coal in the Zhijin coalfield of southwest China and their volcanic origin. Int. J. Coal Geol. 2003, 55, 117–138. [Google Scholar] [CrossRef]
- Dai, S.; Ren, D.; Zhou, Y.; Chou, C.-L.; Wang, X.; Zhao, L.; Zhu, X. Mineralogy and geochemistry of a superhigh-organic-sulfur coal, Yanshan Coalfield, Yunnan, China: Evidence for a volcanic ash component and influence by submarine exhalation. Chem. Geol. 2008, 255, 182–194. [Google Scholar] [CrossRef]
- Dai, S.; Zhang, W.; Ward, C.R.; Seredin, V.V.; Hower, J.C.; Li, X.; Song, W.; Wang, X.; Kang, H.; Zheng, L.; et al. Mineralogical and geochemical anomalies of late Permian coals from the Fusui Coalfield, Guangxi Province, southern China: Influences of terrigenous materials and hydrothermal fluids. Int. J. Coal 2013, 105, 60–84. [Google Scholar] [CrossRef]
- Dai, S.; Li, T.; Jiang, Y.; Ward, C.R.; Hower, J.C.; Sun, J.; Liu, J.; Song, H.; Wei, J.; Li, Q.; et al. Mineralogical and geochemical compositions of the Pennsylvanian coal in the Hailiushu Mine, Daqingshan Coalfield, Inner Mongolia, China: Implications of sediment-source region and acid hydrothermal solutions. Int. J. Coal 2015, 137, 92–110. [Google Scholar] [CrossRef]
- Zhao, F.; Cong, Z.; Peng, S.; Tang, Y.; Ren, D. Geochemical characteristics of REE in Jurassic coal of Yan’an formation from Dongsheng coalfield. J. China. Univ. Min. Technol. 2002, 12, 138–142. (In English) [Google Scholar]
- Liu, D.; Zhou, A.; Liu, J. Geochemical characteristics of rare earth elements in Yan’an formation, Jurassic system, Dongsheng coalfield. Coal Geol. China 2007, 19, 20–22. (In Chinese) [Google Scholar]
- Wang, S.M. Ordos basin tectonic evolution and structural control of coal. Geol. Bull. China 2011, 30, 544–552. (In Chinese) [Google Scholar]
- Wang, X.; Jiao, Y.; Wu, L.; Rong, H.; Wang, X.; Song, J. Rare earth element geochemistry and fractionation in Jurassic coal from Dongsheng–Shenmu area, Ordos Basin. Fuel 2014, 136, 233–239. [Google Scholar] [CrossRef]
- Wang, X.; Wang, X.; Pan, S.; Yang, Q.; Hou, S.; Jiao, Y.; Zhang, W. Occurrence of analcime in the middle Jurassic coal from the Dongsheng Coalfield, northeastern Ordos Basin, China. Int. J. Coal Geol. 2018, 196, 126–138. [Google Scholar] [CrossRef]
- Wang, S. Coal Accumulation and Coal Resource Evaluation of Ordos Basin; China Coal Industry Publishing House: Beijing, China, 1996. [Google Scholar]
- Wang, D.; Shao, L.; Li, Z.; Li, M.; Lv, D.; Liu, H. Hydrocarbon generation characteristics, reserving performance and preservation conditions of continental coal measure shale gas: A case study of Mid-Jurassic shale gas in the Yan’an Formation, Ordos Basin. J. Pet. Sci. Eng. 2016, 145, 609–628. [Google Scholar] [CrossRef]
- ASTM D3173/D3173M-17a, Standard Test Method for Moisture in the Analysis Sample of Coal and Coke; ASTM International: West Conshohocken, PA, USA, 2017. Available online: www.astm.org (accessed on 5 February 2020).
- ASTM D3174-12(2018), Standard Test Method for Ash in the Analysis Sample of Coal and Coke from Coal; ASTM International: West Conshohocken, PA, USA, 2018. Available online: www.astm.org (accessed on 5 February 2020).
- ASTM D3175-18, Standard Test Method for Volatile Matter in the Analysis Sample of Coal and Coke; ASTM International: West Conshohocken, PA, USA, 2018. Available online: www.astm.org (accessed on 5 February 2020).
- Chung, F. Quantitative interpretation of X-ray diffraction patterns of mixtures: I. Matrix flushing method for quantitative multicomponent analysis. J. Appl. Crystallogr. 1974, 7, 519–525. [Google Scholar] [CrossRef]
- Querol, X.; Whateley, M.K.G.; Fernandez-Turiel, J.L.; Tuncali, E. Geological controls on the mineralogy and geochemistry of the Beypazari lignite, Central Anatolia, Turkey. Int. J. Coal Geol. 1997, 33, 255–271. [Google Scholar] [CrossRef]
- Chou, C.L. Sulfur in coals: A review of geochemistry and origins. Int. J. Coal Geol. 2012, 100, 1–13. [Google Scholar] [CrossRef]
- Ward, C.R.; Christie, P.J. Clays and other minerals in coal seams of the Moura-Baralaba area, Bowen Basin, Australia. Int. J. Coal Geol. 1994, 25, 287–309. [Google Scholar] [CrossRef]
- Dai, S.; Chou, C.L. Occurrence and origin of minerals in a chamosite-bearing coal of Late Permian age, Zhaotong, Yunnan, China. Am. Miner. 2007, 92, 1253–1261. [Google Scholar] [CrossRef]
- Dai, S.; Li, T.; Seredin, V.V.; Ward, C.R.; Hower, J.C.; Zhou, Y.; Zhang, M.; Song, X.; Song, W.; Zhao, C. Origin of minerals and elements in the Late Permian coals, tonsteins, and host rocks of the Xinde Mine, Xuanwei, eastern Yunnan, China. Int. J. Coal Geol. 2014, 121, 53–78. [Google Scholar] [CrossRef]
- Ward, C.R. Analysis, origin and significance of mineral matter in coal: An updated review. Int. J. Coal Geol. 2016, 165, 1–27. [Google Scholar] [CrossRef]
- Liang, S.; Liu, Q.; Yu, C.; Song, H. Ammonium-bearing illite in tonsteins of Permo- Carboniferous coal accumulation area of Northern China. J. Hebei Inst. Archit. Sci. Technol. 2005, 22, 59–65. (In Chinese) [Google Scholar]
- Dai, S.; Liu, J.; Ward, C.R.; Hower, J.C.; French, D.; Jia, S.; Hood, M.M.; Garrison, T.M. Mineralogical and geochemical compositions of Late Permian coals and host rocks from the Guxu Coalfield, Sichuan Province, China, with emphasis on enrichment of rare metals. Int. J. Coal Geol. 2016, 166, 71–95. [Google Scholar] [CrossRef]
- Permana, A.K.; Ward, C.R.; Li, Z.; Gurba, L.W. Distribution and origin of minerals in high-rank coals of the South Walker Creek area, Bowen Basin, Australia. Int. J. Coal Geol. 2013, 116, 185–207. [Google Scholar] [CrossRef]
- Liu, J.; Song, H.; Dai, S.; Nechaev, V.P.; Graham, I.T.; French, D.; Nechaeva, E.V. Mineralization of REE-Y-Nb-Ta-Zr-Hf in Wuchiapingian coals from the Liupanshui Coalfield, Guizhou, southwestern China: Geochemical evidence for terrigenous input. Ore Geol. Rev. 2019, 115, 103190. [Google Scholar] [CrossRef]
- Li, B.; Zhuang, X.; Querol, X.; Moreno, N.; Yang, L.; Shangguan, Y.; Li, J. Mineralogy and Geochemistry of Late Permian Coals within the Tongzi Coalfield in Guizhou Province, Southwest China. Minerals 2019, 9, 44. [Google Scholar] [CrossRef]
- Wang, X.; Dai, S.; Ren, D.; Yang, J. Mineralogy and geochemistry of Al-hydroxide/oxyhydroxide mineral-bearing coals of Late Paleozoic age from the Weibei coalfield, southeastern Ordos Basin, North China. Int. J. Coal Geol. 2011, 26, 1086–1096. [Google Scholar] [CrossRef]
- Dai, S.; Zou, J.; Jiang, Y.; Ward, C.R.; Wang, X.; Li, T.; Xue, W.; Liu, S.; Tian, H.; Sun, X.; et al. Mineralogical and geochemical compositions of the Pennsylvanian coal in the Adaohai Mine, Daqingshan Coalfield, Inner Mongolia, China: Modes of occurrence and origin of diaspore, gorceixite, and ammonianillite. Int. J. Coal Geol. 2012, 94, 250–270. [Google Scholar] [CrossRef]
- Kostava, I.; Petrov, O.; Kortenski, J. Mineralogy, geochemistry and pyrite content of Bulgarian subbituminous coals, Pernik Basin. In Coalbed Methane and Coal Geology; Gayer, R., Harris, I., Eds.; Geological Society Publication: London, UK, 1996; Volume 109, pp. 301–314. [Google Scholar]
- Dai, S.; Wang, X.; Seredin, V.V.; Hower, J.C.; Ward, C.R.; O’Keefe, J.M.K.; Huang, W.; Li, T.; Li, X.; Liu, H.; et al. Petrology, mineralogy, and geochemistry of the Ge-rich coal from the Wulantuga Ge ore deposit, Inner Mongolia, China: New data and genetic implications. Int. J. Coal Geol. 2012, 90–91, 72–99. [Google Scholar] [CrossRef]
- Spiro, B.F.; Liu, J.; Dai, S.; Zeng, R.; Large, D.; French, D. Marine derived 87Sr/86Sr in coal, a new key to geochronology and palaeoenvironment: Elucidation of the India-Eurasia and China-Indochina collisions in Yunnan, China. Int. J. Coal Geol. 2019, 215, 103304. [Google Scholar] [CrossRef]
- Seredin, V.V.; Dai, S. Coal deposits as potential alternative sources for lanthanides and yttrium. Int. J. Coal Geol. 2012, 94, 67–93. [Google Scholar] [CrossRef]
- Taylor, S.R.; McLennan, S.M. The Continental Crust: Its Composition and Evolution; Blackwell: Oxford, UK, 1985; 312p. [Google Scholar]
- Dai, S.; Hower, J.C.; Finkelman, R.B.; Graham, I.T.; French, D.; Ward, C.R.; Eskenazy, G.; Wei, Q.; Zhao, L. Organic associations of non-mineral elements in coal: A review. Int. J. Coal Geol. 2020, 218, 103347. [Google Scholar] [CrossRef]
- Eskenazy, G.; Finkelman, R.B.; Chattarjee, S. Some considerations concerning the use of correlation coefficients and cluster analysis in interpreting coal geochemistry data. Int. J. Coal Geol. 2010, 83, 491–493. [Google Scholar] [CrossRef]
- Kortenski, J.; Sotirov, A. Trace and major element content and distribution in Neogene lignite from the Sofia Basin, Bulgaria. Int. J. Coal Geol. 2002, 52, 63–82. [Google Scholar] [CrossRef]
- Bauluz, B.; Mayayo, M.J.; Fernandez-Nieto, C.; Lopez, J.M.G. Geochemistry of Precambrian and Paleozoic siliciclastic rocks from the Iberian Range NE Spain/: Implications for source-area weathering, sorting, provenance, and tectonic setting. Chem. Geol. 2000, 168, 135–150. [Google Scholar] [CrossRef]
- Cullers, R. The geochemistry of shales, siltstones and sandstones of Pennsylvanian–Permian age, Colorado, USA: Implications for provenance and metamorphic studies. Lithos 2000, 51, 181–203. [Google Scholar] [CrossRef]
- Cullers, R. Implications of elemental concentrations for provenance, redox conditions, and metamorphic studies of shales and limestones near Pueblo, CO, USA. Chem. Geol. 2002, 191, 305–327. [Google Scholar] [CrossRef]
- Hayashi, K.; Fujisawa, H.; Holland, H.D.; Ohmoto, H. Geochemistry of ~1.9 Ga sedimentary rocks from northeastern Labrador, Canada. Geochim. Cosmochim. Acta 1997, 61, 4115–4137. [Google Scholar] [CrossRef]
- McLennan, S.M.; Hemming, S.; McDaniel, D.K.; Hanson, G.N. Geochemical approaches to sedimentation, provenance and tectonics. Geol. Soc. Am. Spec. Pap. 1993, 284, 21–40. [Google Scholar]
- Dai, S.; Ren, D.; Li, S. Discovery of the super large gallium ore deposit in Jungar, Inner Mongolia, North China. Chin. Sci. Bull 2006, 51, 2243–2252. [Google Scholar] [CrossRef]
- Yan, X.; Dai, S.; Graham, I.T.; He, X.; Shan, K.; Liu, X. Determination of Eu concentrations in coal, fly ash and sedimentary rocks using a cation exchange resin and inductively coupled plasma mass spectrometry (ICP-MS). Int. J. Coal Geol. 2018, 191, 152–156. [Google Scholar] [CrossRef]
- Cullers, R. The controls on the major and trace element variation of shale, siltstones, and sandstones of Pennsylvanian-Permian age from uplifted continental blocks in Colorado to platform sediment in Kansas, USA. Geochim. Cosmochim. Acta 1994, 58, 4955–4972. [Google Scholar] [CrossRef]
- Middelburg, J.J.; van der Weijden, C.H.; Woittiez, J.R. Chemical processes affecting the mobility of major, minor and trace elements during weathering of granitic rocks. Chem. Geol. 1988, 68, 253–273. [Google Scholar] [CrossRef]
- Nesbitt, H.W.; Wilson, R.E. Recent chemical weathering of basalts. Am. J. Sci. 1992, 292, 740–777. [Google Scholar] [CrossRef]
- Dai, S.; Luo, Y.; Seredin, V.V.; Ward, C.R.; Hower, J.C.; Zhao, L.; Liu, S.; Zhao, C.; Tian, H.; Zou, J. Revisiting the late permian coal from the Huayingshan, Sichuan, southwestern China: Enrichment and occurrence modes of minerals and trace elements. Int. J. Coal Geol. 2014, 122, 110–128. [Google Scholar] [CrossRef]
- Belousova, E.A.; Griffin, W.L.; O’Reilly, S.Y.; Fisher, N.I. Igneous zircon trace element composition as an indicator of source rock type. Contrib. Mineral. Petrol. 2002, 143, 602–622. [Google Scholar] [CrossRef]
- Boyd, R.J. The partitioning behaviour of boron from tourmaline during ashing of coal. Int. J. Coal Geol. 2002, 53, 43–54. [Google Scholar] [CrossRef]
- Finkelman, R.B. Modes of occurrence of trace elements in coal. In US Geological Survey, Open File Report; U.S. Geological Survey: Reston, VA, USA, 1981; pp. 81–99. [Google Scholar]
- Finkelman, R.B. Mode of occurrence of potentially hazardous elements in coal: Levels of confidence. Fuel Process. Technol. 1994, 39, 21–34. [Google Scholar] [CrossRef]
- Rügner, O. Tonmineral-Neubildung und Paläosalinitätim Unteren Muschelkalk des Südlichen Germanischen Beckens. Ph.D. Thesis, University of Heidelberg, Heidelberg, Germany, 2000; 189p. [Google Scholar]
- Shao, L.; Jones, T.; Gayer, R.; Dai, S.; Li, S.; Jiang, Y.; Zhang, P. Petrology and geochemistry of the high-sulphur coals from the Upper Permian carbonate coal measures in the Heshan Coalfield, southern China. Int. J. Coal Geol. 2003, 55, 1–26. [Google Scholar] [CrossRef]
- Zeng, R.; Zhuang, X.; Koukouzas, N.; Xu, W. Characterization of trace elements in sulphur-rich Late Permian coals in the Heshan coal field, Guangxi, South China. Int. J. Coal Geol. 2005, 61, 87–95. [Google Scholar] [CrossRef]
- Bouska, V.; Pesek, J. Boron in the aleuropelites of the Bohemian massif. In Proceedings of the 5th Meeting of the European Clay Groups, Prague, Czech Republic, 31 August–3 September 1983; pp. 147–155. [Google Scholar]
- Goodarzi, F.; Swaine, D.J. The influence of geological factors on the concentration of boron in Australian and Canadian coals. Chem. Geol. 1994, 118, 301–318. [Google Scholar] [CrossRef]
- Lyons, P.C.; Palmer, C.A.; Bostick, N.H.; Fletcher, J.D.; Dulong, F.T.; Brown, F.W.; Brown, Z.A.; Krasnow, M.R.; Romankiw, L.A. Chemistry and origin of minor and trace elements in vitrinite concentrates from a rank series from the eastern United States, England, and Australia. Int. J. Coal Geol. 1989, 13, 481–527. [Google Scholar] [CrossRef]
- Eskenazy, G.M.; Delibaltova, D.; Mincheva, E. Geochemistry of boron in Bulgarian coals. Int. J. Coal Geol. 1994, 25, 93–110. [Google Scholar] [CrossRef]
- Dai, S.; Liu, J.; Ward, C.R.; Hower, J.C.; Xie, P.; Jiang, Y.; Hood, M.M.; O’Keefe, J.M.K.; Song, H. Petrological, geochemical, and mineralogical compositions of the low-Ge coals from the Shengli Coalfield, China: A comparative study with Ge-rich coals and a formation model for coal-hosted Ge ore deposit. Ore Geol. Rev. 2015, 71, 318–349. [Google Scholar] [CrossRef]
- Dai, S.; Guo, W.; Nechaev, V.P.; French, D.; Ward, C.R.; Spiro, B.F.; Finkelman, R.B. Modes of occurrence and origin of mineral matter in the Palaeogene coal (No. 19-2) from the Hunchun Coalfield, Jilin Province, China. Int. J. Coal Geol. 2018, 189, 94–110. [Google Scholar] [CrossRef]
- Guo, W.; Dai, S.; Nechaev, V.P.; Nechaeva, E.V.; Wei, G.; Finkelman, R.B.; Spiro, B.F. Geochemistry of Palaeogene coals from the Fuqiang Mine, Hunchun Coalfield, northeastern China: Composition, provenance, and relation to the adjacent polymetallic deposits. J. Geochem. Explor. 2019, 196, 192–207. [Google Scholar] [CrossRef]
- Dai, S.; Bechtel, A.; Eble, C.F.; Flores, R.M.; French, D.; Graham, I.T.; Hood, M.M.; Hower, J.C.; Korasidis, V.A.; Moore, T.A.; et al. Recognition of peat depositional environments in coal: A review. Int. J. Coal Geol. 2020, 219, 103383. [Google Scholar] [CrossRef]
- Liu, H.; Zhang, Y.; Wang, H.; Jia, Y.; Long, Y. Study of Lithofacies Paleogeography of Coal-bearing Formations of Jungar Coalfield; Geological Publishing House: Beijing, China, 1991; 128p. [Google Scholar]
- Wang, D.; Shao, L.; Li, X.; Li, Z. Palaeogeographic characteristics of the Middle Jurassic Yan’an Age in northern Shaanxi Province. J. Palaeogeogr. 2012, 14, 451–460. [Google Scholar]
- Wang, X.; Tang, Y.; Jiang, Y.; Xie, P.; Zhang, S.; Chen, Z. Mineralogy and geochemistry of an organic- and V-Cr-Mo-U-rich siliceous rock of Late Permian age, western Hubei Province, China. Int. J. Coal Geol. 2017, 172, 19–30. [Google Scholar] [CrossRef]
- Meng, Q.T.; Liu, Z.J.; Bruch, A.A.; Liu, R.; Hu, F. Palaeoclimatic evolution during Eocene and its influence on oil shale mineralisation, Fushun basin, China. J. Asian Earth Sci. 2012, 45, 95–105. [Google Scholar] [CrossRef]
- Dai, S.; Hower, J.C.; Ward, C.R.; Gou, W.; Song, H.; O’Keefe, J.M.K.; Xie, P.; Hood, M.M.; Yan, X. Elements and phosphorus minerals in the middle Jurassic inertinite-rich coals of the Muli Coalfield on the Tibetan Plateau. Int. J. Coal Geol. 2015, 144–145, 23–47. [Google Scholar] [CrossRef]
- Dai, S.; Ward, C.R.; Graham, I.T.; French, D.; Hower, J.C.; Zhao, L.; Wang, X. Altered volcanic ashes in coal and coal-bearing sequences: A review of their nature and significance. Earth-Sci. Rev. 2017, 175, 44. [Google Scholar] [CrossRef]
- Finkelman, R.B.; Dai, S.; French, D. The importance of minerals in coal as the hosts of chemical elements: A review. Int. J. Coal Geol. 2019, 212, 103251. [Google Scholar] [CrossRef]
















| Sample | Mad% | Ad% | Vdaf% | St, d% |
|---|---|---|---|---|
| CJG-1-1 | 7.40 | 5.10 | 35.00 | 0.81 |
| CJG-1-2 | 7.20 | 4.00 | 32.30 | 0.28 |
| CJG-1-3 | 6.80 | 3.30 | 30.50 | 0.29 |
| CJG-1-4 | 6.80 | 4.80 | 32.20 | 0.27 |
| CJG-1-5 | 7.10 | 3.70 | 34.60 | 0.34 |
| CJG-1-6 | 6.70 | 3.30 | 28.40 | 0.23 |
| CJG-1-7 | 8.50 | 2.00 | 38.60 | 0.43 |
| CJG-1-8 | 7.20 | 4.00 | 39.10 | 0.40 |
| Average | 7.21 | 3.78 | 33.84 | 0.38 |
| CJG-2-1 | 5.40 | 6.00 | 38.30 | 0.38 |
| CJG-2-2 | 5.30 | 21.90 | 47.00 | 0.27 |
| CJG-2-3 | 5.50 | 7.10 | 38.70 | 0.29 |
| CJG-2-4 | 6.20 | 17.00 | 43.50 | 0.28 |
| CJG-2-5 | 5.10 | 5.00 | 40.60 | 0.51 |
| CJG-2-6 | 7.00 | 2.30 | 38.90 | 0.28 |
| CJG-2-7 | 6.10 | 2.70 | 41.30 | 0.27 |
| CJG-2-8 | 6.00 | 2.30 | 40.10 | 0.35 |
| CJG-2-9 | 5.60 | 2.40 | 37.90 | 0.34 |
| Average | 5.80 | 7.41 | 40.70 | 0.33 |
| CJG-3-1 | 5.60 | 4.80 | 37.20 | 0.28 |
| CJG-3-2 | 5.50 | 4.10 | 32.70 | 0.23 |
| CJG-3-3 | 6.00 | 3.00 | 36.70 | 0.25 |
| CJG-3-4 | 6.30 | 2.00 | 36.00 | 0.22 |
| CJG-3-5 | 6.30 | 1.80 | 37.30 | 0.29 |
| CJG-3-6 | 6.20 | 2.70 | 41.60 | 0.31 |
| Average | 5.98 | 3.07 | 36.92 | 0.26 |
| PR-4-T | 1.10 | 79.50 | 76.70 | 0.05 |
| PR-4-1 | 1.80 | 45.00 | 40.30 | 0.30 |
| PR-4-2(P) | 1.40 | 76.90 | 69.90 | 0.05 |
| PR-4-3(p) | 1.70 | 69.80 | 55.90 | 0.07 |
| PR-4-4 | 1.80 | 61.60 | 48.90 | 0.20 |
| PR-4-5 | 2.10 | 30.70 | 38.70 | 0.33 |
| PR-4-6 | 2.40 | 22.10 | 41.70 | 0.35 |
| PR-4-7 | 2.70 | 18.80 | 41.30 | 0.34 |
| PR-4-8 | 2.90 | 15.30 | 41.90 | 0.44 |
| Average (coals) | 2.38 | 26.38 | 40.78 | 0.35 |
| Sample | Kaolinite | Calcite | Dolomite | Tobelite | Apatite | Galena | Anatase | Zircon | Boehmite |
|---|---|---|---|---|---|---|---|---|---|
| PR-4-T | 68.3 | 1.7 | 8.6 | ||||||
| PR-4-1 | 43 | 1.3 | |||||||
| PR-4-2 (P) | 75.9 | ||||||||
| PR-4-3 (P) | 68.7 | ||||||||
| PR-4-4 (P) | 59.8 | 0.7 | * | * | * | ||||
| PR-4-5 | 27.3 | 2.8 | |||||||
| PR-4-6 | 20.6 | 0.3 | * | 0.7 | * | * | |||
| PR-4-7 | 17.9 | 0.5 | |||||||
| PR-4-8 | 9.4 | 5.5 | |||||||
| Sample | Quartz | Kaolinite | Calcite | Pyrite | Gypsum | Siderite | Chamosite | ||
| CJG-1-1 | 1.6 | 0.4 | 2.3 | 0.3 | 0.1 | * | |||
| CJG-1-2 | 1.3 | 0.6 | 1.8 | ||||||
| CJG-1-3 | 0.5 | 0.4 | 2.2 | ||||||
| CJG-1-4 | 1.3 | 0.6 | 2.6 | ||||||
| CJG-1-5 | 0.4 | 0.2 | 2.9 | ||||||
| CJG-1-6 | 0.5 | 0.5 | 2 | ||||||
| CJG-1-7 | 0.9 | 0.8 | |||||||
| CJG-1-8 | 2.2 | 1.6 | |||||||
| CJG-3-1 | 4.1 | 0.4 | 0.1 | ||||||
| CJG-3-2 | 3.2 | 0.6 | 0.1 | 0.1 | |||||
| CJG-3-3 | 2 | 0.6 | 0.2 | ||||||
| CJG-3-4 | 1.5 | 0.3 | * | ||||||
| CJG-3-5 | 1.2 | 0.5 | |||||||
| CJG-3-6 | 2.5 | 0.1 | |||||||
| Sample | Quartz | Kaolinite | Calcite | Dolomite | Pyrite | Siderite | Ankerite | Gypsum | |
| CJG-2-1 | 0.3 | 0.2 | 4.6 | 0.6 | |||||
| CJG-2-2 | 17.6 | 3.1 | |||||||
| CJG-2-3 | 0.1 | 0.4 | 5.6 | 0.1 | 0.3 | ||||
| CJG-2-4 | 3.4 | 0.5 | 7.2 | 0.2 | 4.4 | 0.2 | |||
| CJG-2-5 | 3.5 | 0.7 | 0.2 | 0.1 | 0.2 | ||||
| CJG-2-6 | 1.1 | 0.4 | 0.6 | 0.1 | |||||
| CJG-2-7 | 2.3 | 0.1 | 0.1 | ||||||
| CJG-2-8 | 2.1 | ||||||||
| CJG-2-9 | 1.4 | 0.9 | |||||||
| Sample | SiO2 | Al2O3 | CaO | Fe2O3 | K2O | MgO | Na2O | SiO2/Al2O3 | Al2O3/TiO2 |
|---|---|---|---|---|---|---|---|---|---|
| CJG-1-1 | 1.75 | 1.12 | 1.09 | 1.39 | 0.04 | 0.06 | 0.07 | 1.6 | 29.5 |
| CJG-1-2 | 1.56 | 1.49 | 0.79 | 0.27 | 0.04 | 0.06 | 0.07 | 1.1 | 64.1 |
| CJG-1-3 | 0.67 | 1.11 | 0.82 | 0.31 | 0.04 | 0.05 | 0.06 | 0.6 | 97.3 |
| CJG-1-4 | 1.45 | 1.48 | 1.25 | 0.30 | 0.04 | 0.06 | 0.07 | 1 | 60.2 |
| CJG-1-5 | 0.46 | 0.73 | 1.50 | 0.38 | 0.04 | 0.05 | 0.07 | 0.7 | 61.4 |
| CJG-1-6 | 0.75 | 0.96 | 0.99 | 0.18 | 0.05 | 0.05 | 0.07 | 0.8 | 83.8 |
| CJG-1-7 | 1.28 | 0.83 | 0.23 | 0.25 | 0.04 | 0.04 | 0.06 | 1.6 | 31.2 |
| CJG-1-8 | 2.78 | 2.10 | 0.28 | 0.28 | 0.04 | 0.06 | 0.08 | 1.4 | 63.2 |
| Average | 1.34 | 1.23 | 0.87 | 0.42 | 0.04 | 0.05 | 0.07 | 1.1 | 54.4 |
| CJG-2-1 | 0.38 | 0.61 | 2.82 | 1.37 | 0.04 | 0.17 | 0.26 | 0.7 | 38.2 |
| CJG-2-2 | 0.00 | 0.48 | 15.44 | 3.21 | 0.04 | 0.83 | 0.13 | 0 | 117.9 |
| CJG-2-3 | 0.32 | 1.42 | 3.35 | 0.97 | 0.04 | 0.14 | 0.23 | 0.2 | 133 |
| CJG-2-4 | 3.48 | 2.24 | 4.47 | 10.44 | 0.04 | 0.22 | 0.17 | 1.6 | 49.8 |
| CJG-2-5 | 3.70 | 1.30 | 0.40 | 1.29 | 0.05 | 0.04 | 0.22 | 2.9 | 26.1 |
| CJG-2-6 | 1.22 | 0.61 | 0.41 | 0.41 | 0.04 | 0.02 | 0.20 | 2.1 | 44.2 |
| CJG-2-7 | 2.29 | 0.76 | 0.26 | 0.42 | 0.04 | 0.03 | 0.22 | 3.1 | 25.1 |
| CJG-2-8 | 0.96 | 1.15 | 0.22 | 0.56 | 0.04 | 0.03 | 0.20 | 0.9 | 73.5 |
| CJG-2-9 | 1.76 | 1.08 | 0.22 | 0.42 | 0.05 | 0.02 | 0.22 | 1.7 | 70.6 |
| Average | 1.57 | 1.07 | 3.06 | 2.12 | 0.04 | 0.17 | 0.20 | 1.5 | 48.1 |
| CJG-3-1 | 4.12 | 1.41 | 0.16 | 0.46 | 0.04 | 0.04 | 0.22 | 3 | 40.6 |
| CJG-3-2 | 3.31 | 1.20 | 0.21 | 0.62 | 0.04 | 0.07 | 0.22 | 2.9 | 44.4 |
| CJG-3-3 | 2.18 | 0.79 | 0.25 | 0.68 | 0.04 | 0.06 | 0.20 | 2.9 | 43.8 |
| CJG-3-4 | 1.60 | 0.59 | 0.15 | 0.48 | 0.04 | 0.04 | 0.19 | 2.8 | 47.8 |
| CJG-3-5 | 1.35 | 0.60 | 0.13 | 0.54 | 0.04 | 0.03 | 0.18 | 2.3 | 53.9 |
| CJG-3-6 | 2.44 | 0.69 | 0.14 | 0.33 | 0.04 | 0.02 | 0.16 | 3.7 | 49.6 |
| Average | 2.50 | 0.88 | 0.17 | 0.52 | 0.04 | 0.04 | 0.19 | 2.9 | 44.4 |
| PR-4-T | 34.85 | 51.60 | 0.14 | 0.81 | 0.13 | 0.07 | 0.13 | 0.7 | 46.2 |
| PR-4-1 | 19.27 | 27.25 | 0.38 | 0.76 | 0.20 | 0.09 | 0.11 | 0.7 | 24.3 |
| PR-4-2 (P) | 34.02 | 39.45 | 0.13 | 0.67 | 0.14 | 0.07 | 0.12 | 0.9 | 33.3 |
| PR-4-3 (P) | 30.79 | 37.39 | 0.34 | 0.89 | 0.95 | 0.15 | 0.16 | 0.9 | 40.1 |
| PR-4-4 (P) | 26.84 | 39.15 | 0.76 | 0.88 | 0.19 | 0.07 | 0.11 | 0.7 | 38.6 |
| PR-4-5 | 12.25 | 21.16 | 1.90 | 0.42 | 0.11 | 0.04 | 0.07 | 0.6 | 63.8 |
| PR-4-6 | 9.22 | 10.41 | 0.62 | 0.37 | 0.04 | 0.04 | 0.06 | 0.9 | 35.1 |
| PR-4-7 | 8.01 | 2.27 | 0.35 | 0.17 | 0.05 | 0.02 | 0.06 | 3.7 | 36.5 |
| PR-4-8 | 4.22 | 2.40 | 1.48 | 0.35 | 0.04 | 0.05 | 0.05 | 1.8 | 45.5 |
| Average (coal) | 10.59 | 12.70 | 0.94 | 0.41 | 0.09 | 0.05 | 0.07 | 1.5 | 41.0 |
| Sample | Li | Be | B | P | Sc | V | Cr | Ni | Cu | Zn | Ga | Rb | Sr | Y | Zr | Nb | Ba | La | |||
|---|---|---|---|---|---|---|---|---|---|---|---|---|---|---|---|---|---|---|---|---|---|
| CJG-1-1 | 1.2 | 8.6 | 104 | 17 | 5.9 | 27 | 35 | 8.1 | 3.2 | 5.7 | 6.9 | <dl | 35 | 25.7 | 11 | 5.5 | 5.3 | 5.7 | |||
| CJG-1-2 | 1.5 | <dl | 79 | 18 | <dl | 3.6 | 4.2 | 2.3 | <dl | 10 | 0.80 | <dl | 29 | 4.4 | 7 | 3.1 | 5.9 | 4.3 | |||
| CJG-1-3 | 1.1 | <dl | 71 | 18 | <dl | 3.5 | 3.3 | 2.2 | <dl | 7.7 | <dl | <dl | 24 | 2.4 | 4.5 | 1.7 | 2.5 | 2.8 | |||
| CJG-1-4 | 1.5 | <dl | 74 | 17 | <dl | 3.8 | 4.1 | 3.0 | 1.5 | 6.4 | <dl | <dl | 35 | 1.9 | 11 | 3.0. | 3.6 | 3.0 | |||
| CJG-1-5 | <dl | <dl | 104 | 19 | <dl | 5.8 | 2.9 | 7.3 | 1.6 | 18 | <dl | <dl | 33 | 1.4 | 3.4 | 0.86 | 4.5 | 2.3 | |||
| CJG-1-6 | 0.90 | <dl | 70 | 20 | <dl | 4.2 | 3.1 | 2.6 | 1.2 | 8.0 | <dl | <dl | 25 | 1.1 | 2.4 | 0.98 | 2.5 | 2.3 | |||
| CJG-1-7 | <dl | <dl | 154 | 19 | <dl | 8.6 | 5.1 | 6.7 | 9.4 | 9.5 | 1.0 | <dl | 25 | 4.8 | 7.5 | 1.7 | 14 | 3.5 | |||
| CJG-1-8 | 1.6 | 4.6 | 114 | 17 | 1.1 | 14 | 9.7 | 9.1 | 7.1 | 9.8 | 5.8 | 2.6 | 36 | 21 | 6.5 | 2.7 | 12 | 7.2 | |||
| Average | 0.98 | 1.7 | 96 | 18 | 0.88 | 8.8 | 8.4 | 5.2 | 3.0 | 9.4 | 1.8 | 0.33 | 30 | 7.8 | 6.7 | 2.4 | 6.3 | 3.9 | |||
| CJG-2-1 | 1.0 | <dl | 123 | 18 | <dl | 2.5 | 2.7 | 2.5 | 1.7 | 12 | <dl | <dl | 160 | <dl | 3.2 | 1.1 | 15 | <dl | |||
| CJG-2-2 | 0.84 | <dl | 134 | 18 | <dl | 1.0 | 1.8 | 1.9 | <dl | 4.6 | <dl | <dl | 323 | <dl | 1.0. | <dl | 39 | 1.0 | |||
| CJG-2-3 | 1.5 | <dl | 114 | 18 | <dl | 1.4 | 2.3 | 2.1 | 1.4 | 4.3 | <dl | <dl | 145 | <dl | 1.9 | <dl | 16 | 1.3 | |||
| CJG-2-4 | 2.0 | <dl | 113 | 17 | <dl | 6.3 | 4.8 | 2.7 | 4.3 | 7.7 | 1.4 | 1.9 | 224 | 2.0 | 11 | 2.5 | 25 | 3.4 | |||
| CJG-2-5 | 1.4 | <dl | 104 | 19 | <dl | 2.1 | 2.9 | 2.3 | 2.8 | 4.4 | <dl | <dl | 146 | 2.0 | 9 | 3.1 | 22 | 2.2 | |||
| CJG-2-6 | 0.78 | <dl | 106 | 18 | <dl | 1.8 | 2.3 | 3.0 | 1.5 | 5.0 | <dl | <dl | 142 | <dl | 2.6 | 0.85 | 19 | <dl | |||
| CJG-2-7 | 1.1 | <dl | 96 | 19 | <dl | 2.0 | 2.8 | 2.5 | 1.9 | 3.5 | <dl | <dl | 159 | 0.85 | 5.4 | 2.0 | 26 | 1.2 | |||
| CJG-2-8 | 1.6 | <dl | 100 | 16 | <dl | 6.1 | 2.4 | 3.6 | 1.6 | 6.0 | <dl | <dl | 179 | <dl | 6.1 | 1.3 | 19 | 2.0 | |||
| CJG-2-9 | 1.1 | <dl | 74 | 19 | <dl | 2.1 | 2.2 | 3.4 | 1.4 | 4.5 | <dl | <dl | 190 | 2.0 | 3.6 | 1.0 | 18 | 2.2 | |||
| Average | 1.3 | 0 | 107 | 18 | <dl | 2.8 | 2.7 | 2.7 | 1.8 | 5.8 | 0.16 | 0.21 | 185 | 0.76 | 4.9 | 1.3 | 22 | 1.5 | |||
| CJG-3-1 | 1.4 | 1.3 | 87 | 16 | <dl | 4.5 | 4.2 | 3.6 | 4.1 | 6.2 | 0.87 | 0.81 | 93 | 5.0 | 7.1 | 2.5 | 20 | 2.9 | |||
| CJG-3-2 | 1.5 | <dl | 58 | 18 | <dl | 3.2 | 3.3 | 2.2 | 2.2 | 4.9 | <dl | <dl | 97 | 1.1 | 4.7 | 1.8 | 17 | 2.2 | |||
| CJG-3-3 | 1.1 | <dl | 83 | 17 | <dl | 4.5 | 2.6 | 2.2 | 2.1 | 11 | <dl | <dl | 84 | <dl | 3.5 | 1.3 | 16 | 1.2 | |||
| CJG-3-4 | <dl | <dl | 88 | 19 | <dl | 3.8 | 2.2 | 1.5 | 1.4 | 5.9 | <dl | <dl | 63 | <dl | 2.1 | <dl | 11 | <dl | |||
| CJG-3-5 | <dl | <dl | 111 | 17 | <dl | 8.0 | 2.5 | 3.2 | 1.7 | 5.0 | <dl | <dl | 62 | <dl | 2.3 | <dl | 11 | 1.2 | |||
| CJG-3-6 | 0.83 | 2.2 | 119 | 18 | <dl | 5.1 | 2.2 | 4.1 | 1.5 | 6.9 | <dl | <dl | 56 | 5.0 | 3.1 | 1.1 | 11 | 2.7 | |||
| Average | 0.81 | 0.58 | 91 | 18 | <dl | 4.9 | 2.8 | 2.8 | 2.2 | 6.7 | 0.15 | 0.14 | 76 | 1.9 | 3.8 | 1.1 | 14 | 1.7 | |||
| Chinese coal | 32 | 2.1 | 53 | 402 | 4.4 | 35 | 15 | 14 | 18 | 41 | 6.6 | 9.3 | 140 | 18 | 90 | 9.4 | 159 | 23 | |||
| Sample | Ce | Pr | Nd | Sm | Gd | Dy | Ho | Er | Yb | Ta | W | Pb | Th | U | ΣREY | LREY | MREY | HREY | Ce/Ce* | ||
| CJG-1-1 | 15.1 | 2.2 | 11 | 2.9 | 3.4 | 4.9 | 1.1 | 3.6 | 4.0 | 2.5 | 1.5 | 3.6 | 1.7 | <dl | 79 | 37 | 34 | 8.7 | 0.99 | ||
| CJG-1-2 | 7.6 | 0.84 | 3.4 | <dl | <dl | <dl | <dl | <dl | <dl | <dl | 1.1 | <dl | 1.2 | <dl | 21 | 16 | 4.4 | <dl | 0.93 | ||
| CJG-1-3 | 5.0 | <dl | 2.2 | <dl | <dl | <dl | <dl | <dl | <dl | 1.0 | <dl | <dl | <dl | <dl | 12 | 9.9 | 2.4 | <dl | - | ||
| CJG-1-4 | 4.8 | <dl | 2.0 | <dl | <dl | <dl | <dl | <dl | <dl | <dl | <dl | <dl | 1.3 | <dl | 12 | 9.7 | 1.9 | <dl | - | ||
| CJG-1-5 | 3.5 | <dl | 1.6 | <dl | <dl | <dl | <dl | <dl | <dl | <dl | <dl | 0.87 | <dl | <dl | 8.8 | 7.4 | 1.4 | <dl | - | ||
| CJG-1-6 | 3.4 | <dl | 1.4 | <dl | <dl | <dl | <dl | <dl | <dl | 0.99 | <dl | 1.0 | <dl | <dl | 8.2 | 7.1 | 1.1 | <dl | - | ||
| CJG-1-7 | 7.6 | 0.96 | 3.7 | <dl | <dl | <dl | <dl | <dl | <dl | 1.0 | 3.3 | 2.0 | 1.1 | <dl | 21 | 16 | 4.8 | <dl | 0.99 | ||
| CJG-1-8 | 17.2 | 2.3 | 10 | 2.4 | 2.7 | 3.2 | <dl | 2.0 | 1.7 | <dl | 3.3 | 3.5 | 1.7 | 0.8 | 70 | 40 | 27 | 3.7 | 0.98 | ||
| Average | 8 | 0.79 | 4.4 | 0.66 | 0.76 | 1.0 | 0.14 | 0.7 | 0.71 | 0.69 | 1.1 | 1.4 | 0.88 | 0.10 | 29 | 18 | 9.6 | 1.5 | 0.97 | ||
| CJG-2-1 | 1.3 | <dl | <dl | <dl | <dl | <dl | <dl | <dl | <dl | <dl | <dl | 1.6 | <dl | <dl | 1.3 | 1.3 | <dl | <dl | - | ||
| CJG-2-2 | 1.5 | <dl | <dl | <dl | <dl | <dl | <dl | <dl | <dl | 0.82 | <dl | 1.1 | <dl | <dl | 2.4 | 2.4 | <dl | <dl | - | ||
| CJG-2-3 | 2.1 | <dl | 0.82 | <dl | <dl | <dl | <dl | <dl | <dl | <dl | <dl | 1.6 | <dl | <dl | 4.2 | 4.2 | <dl | <dl | - | ||
| CJG-2-4 | 6.8 | <dl | 2.6 | <dl | <dl | <dl | <dl | <dl | <dl | <dl | <dl | 2.6 | 1.0 | <dl | 15 | 12.8 | 2.1 | <dl | - | ||
| CJG-2-5 | 5.1 | <dl | 2.4 | <dl | <dl | <dl | <dl | <dl | <dl | <dl | <dl | 1.6 | <dl | <dl | 12 | 9.7 | 2.0 | <dl | - | ||
| CJG-2-6 | 1.3 | <dl | <dl | <dl | <dl | <dl | <dl | <dl | <dl | 1.0 | <dl | 1.8 | <dl | <dl | 1.3 | 1.3 | <dl | <dl | - | ||
| CJG-2-7 | 1.9 | <dl | 0.88 | <dl | <dl | <dl | <dl | <dl | <dl | <dl | <dl | 1.4 | <dl | <dl | 4.7 | 3.9 | 0.88 | <dl | - | ||
| CJG-2-8 | 2.9 | <dl | 1.1 | <dl | <dl | <dl | <dl | <dl | <dl | <dl | <dl | 2.1 | 1.0 | <dl | 6.0 | 6.0 | <dl | <dl | - | ||
| CJG-2-9 | 4.8 | <dl | 2.2 | <dl | <dl | <dl | <dl | <dl | <dl | <dl | 1.0 | 1.9 | <dl | <dl | 11 | 9.3 | 2.0 | <dl | - | ||
| Average | 3.1 | <dl | 1.1 | <dl | <dl | <dl | <dl | <dl | <dl | 0.20 | 0.11 | 1.7 | 0.22 | <dl | 6.4 | 5.6 | 1.7 | <dl | - | ||
| CJG-3-1 | 6.3 | <dl | 3.3 | <dl | <dl | <dl | <dl | <dl | <dl | <dl | 3.6 | 3.0 | 0.78 | <dl | 17 | 13 | 2.9 | <dl | - | ||
| CJG-3-2 | 3.5 | <dl | 1.4 | <dl | <dl | <dl | <dl | <dl | <dl | <dl | <dl | 1.8 | <dl | <dl | 8.2 | 7.1 | 2.2 | <dl | - | ||
| CJG-3-3 | 2.1 | <dl | 0.83 | <dl | <dl | <dl | <dl | <dl | <dl | <dl | <dl | 1.6 | <dl | <dl | 4.2 | 4.2 | 1.2 | <dl | - | ||
| CJG-3-4 | 1.0 | <dl | <dl | <dl | <dl | <dl | <dl | <dl | <dl | <dl | <dl | 1.4 | <dl | <dl | 1.0 | 1.0 | <dl | <dl | - | ||
| CJG-3-5 | 1.9 | <dl | 0.78 | <dl | <dl | <dl | <dl | <dl | <dl | <dl | <dl | 2.0 | <dl | <dl | 3.9 | 3.9 | 1.2 | <dl | - | ||
| CJG-3-6 | 5.2 | <dl | 2.7 | <dl | <dl | <dl | <dl | <dl | <dl | <dl | 2.6 | 2.4 | <dl | <dl | 16 | 11 | 2.7 | <dl | - | ||
| Average | 3.3 | <dl | 1.5 | <dl | <dl | <dl | <dl | <dl | <dl | <dl | 1.0 | 2.0 | 0.13 | <dl | 8.4 | 6.6 | 1.7 | <dl | - | ||
| Chinese coal | 47 | 6.4 | 22 | 4.1 | 4.7 | 3.7 | 1.0 | 1.8 | 2.1 | 0.6 | 1.1 | 15.1 | 5.8 | 2.4 | - | - | - | - | - | ||
| Sample | Li | Be | B | P | Sc | V | Cr | Ni | Cu | Zn | Ga | Rb | Sr | Y | Zr | Nb | Ba | La | Ce | Pr | Nd |
| PR-4-T | 171 | 3.3 | 34 | 636 | 7.8 | 36 | 8.5 | 5.1 | 11 | 32 | 35 | 2.5 | 56 | 20 | 372 | 94 | 77 | 14 | 33 | 4.3 | 17 |
| PR-4-1 | 75 | 9.6 | 33 | 227 | 9.8 | 44 | 13 | 5.8 | 12 | 41 | 32 | 4 | 56 | 41 | 455 | 137 | 229 | 34 | 71 | 8.6 | 32 |
| PR-4-2(P) | 167 | 3.6 | 35 | 545 | 9.2 | 40 | 10 | 5.7 | 12 | 34 | 36 | 3 | 58 | 25 | 433 | 96 | 84 | 15 | 37.9 | 4.9 | 20 |
| PR-4-3(P) | 177 | 6.4 | 33 | 1850 | 15 | 55 | 23 | 9.7 | 21 | 28 | 37 | 25 | 626 | 41 | 431 | 99 | 232 | 119 | 188.8 | 19 | 69 |
| PR-4-4(P) | 159 | 6.5 | 42 | 3381 | 12 | 38 | 17 | 7.7 | 11 | 32 | 33 | 3.9 | 762 | 41 | 444 | 211 | 354 | 114 | 195.5 | 20 | 77 |
| PR-4-5 | 56 | 4.2 | 42 | 6256 | 5.7 | 27 | 9.9 | 6.8 | 13 | 15 | 17 | 1.8 | 420 | 59 | 153 | 35 | 668 | 56 | 127.4 | 16 | 69 |
| PR-4-6 | 41 | 2 | 44 | 1632 | 3.8 | 30 | 7.7 | 7.1 | 11 | 17 | 16 | <dl | 207 | 21 | 127 | 31 | 175 | 37 | 66.9 | 7.3 | 27 |
| PR-4-7 | 20 | 1.5 | 53 | 426 | 1.3 | 17 | 4.1 | 4.4 | 14 | 13 | 8.2 | <dl | 130 | 6.5 | 46 | 6.4 | 36 | 17 | 31.2 | 3.3 | 12 |
| PR-4-8 | 16 | 1.4 | 64 | 551 | <dl | 13 | 2.5 | 4.1 | 7.4 | 12 | 10 | <dl | 173 | 9.7 | 59 | 12 | 41 | 19 | 36.9 | 4.0 | 14 |
| Average (coal) | 42 | 3.7 | 47 | 1818 | 4.1 | 26 | 7.4 | 5.6 | 11 | 20 | 17 | 1.2 | 197 | 27 | 168 | 44 | 230 | 33 | 67 | 7.8 | 31 |
| Chinese coal | 32 | 2.1 | 53 | 402 | 4.4 | 35 | 15 | 14 | 18 | 41 | 6.6 | 9.3 | 140 | 18 | 90 | 9.4 | 159 | 23 | 47 | 6.4 | 22 |
| Sample | Sm | Eu | Gd | Tb | Dy | Ho | Er | Yb | Hf | Ta | W | Pb | Th | U | ΣREY | LREY | MREY | HREY | Ba/Eu | Eu/Eu* | Ce/Ce* |
| PR-4-T | 3.8 | <dl | 3.9 | <dl | 4.4 | 0.84 | 2.2 | 2.0 | 8.3 | 8.1 | 10.4 | 36 | 19 | 7.1 | 105 | 71 | 28 | 5.0 | - | - | 0.99 |
| PR-4-1 | 5.9 | 0.82 | 5.8 | 1.1 | 7.6 | 1.6 | 5.1 | 5.1 | 9.3 | 13 | 9.7 | 49 | 26 | 3.4 | 219 | 151 | 56 | 12 | 269 | 0.68 | 0.95 |
| PR-4-2(P) | 4.6 | <dl | 4.9 | 0.86 | 5.6 | 1.0 | 2.8 | 2.4 | 10 | 6.9 | 9.8 | 41 | 25 | 7.3 | 124 | 82 | 36 | 6.1 | - | - | 1.02 |
| PR-4-3(P) | 12 | 1.6 | 11 | 1.7 | 9.5 | 1.7 | 4.8 | 4.1 | 9.5 | 9.3 | 10 | 39 | 26 | 5.0 | 482 | 407 | 64 | 11 | 148 | 0.66 | 0.91 |
| PR-4-4(P) | 12 | 1.3 | 11 | 1.6 | 9.4 | 1.8 | 5.2 | 4.8 | 11 | 22 | 10.8 | 38 | 35 | 5.8 | 494 | 419 | 64 | 12 | 265 | 0.54 | 0.93 |
| PR-4-5 | 14 | 1.7 | 14 | 2.0 | 11 | 2.0 | 5.3 | 3.9 | 3.5 | 4.0 | 3.3 | 28 | 12 | 5.8 | 381 | 283 | 87 | 11 | 402 | 0.57 | 0.96 |
| PR-4-6 | 4.9 | <dl | 4.7 | <dl | 4.2 | <dl | 2.2 | 1.9 | 2.9 | 3.0 | 2.9 | 20 | 8.2 | 3.3 | 177 | 142 | 30 | 4.1 | - | - | 0.94 |
| PR-4-7 | 2.0 | <dl | 1.7 | <dl | 1.4 | <dl | <dl | <dl | 1.1 | <dl | 1.0 | 24 | 5.3 | 1.2 | 75 | 66 | 9.7 | <dl | - | - | 0.94 |
| PR-4-8 | 2.5 | <dl | 2.3 | <dl | 2.0 | <dl | 1.1 | 0.90 | 1.3 | <dl | 2.1 | 13 | 4.5 | 1.0 | 93 | 77 | 14 | 2.0 | - | - | 0.97 |
| Average (coal) | 5.9 | 0.50 | 5.7 | 0.62 | 5.2 | 0.72 | 2.7 | 2.4 | 3.6 | 4.0 | 3.8 | 27 | 11 | 2.9 | 189 | 144 | 39 | 5.8 | - | 0.63 | 0.95 |
| Chinese coal | 4.1 | 0.8 | 4.7 | 0.6 | 3.7 | 1 | 1.8 | 2.1 | 3.7 | 0.6 | 1.1 | 15.1 | 5.8 | 2.4 | - | - | - | - | - | - | - |
© 2020 by the authors. Licensee MDPI, Basel, Switzerland. This article is an open access article distributed under the terms and conditions of the Creative Commons Attribution (CC BY) license (http://creativecommons.org/licenses/by/4.0/).
Share and Cite
Shangguan, Y.; Zhuang, X.; Li, J.; Li, B.; Querol, X.; Liu, B.; Moreno, N.; Yuan, W.; Yang, G.; Pan, L. Geological Controls on Mineralogy and Geochemistry of the Permian and Jurassic Coals in the Shanbei Coalfield, Shaanxi Province, North China. Minerals 2020, 10, 138. https://doi.org/10.3390/min10020138
Shangguan Y, Zhuang X, Li J, Li B, Querol X, Liu B, Moreno N, Yuan W, Yang G, Pan L. Geological Controls on Mineralogy and Geochemistry of the Permian and Jurassic Coals in the Shanbei Coalfield, Shaanxi Province, North China. Minerals. 2020; 10(2):138. https://doi.org/10.3390/min10020138
Chicago/Turabian StyleShangguan, Yunfei, Xinguo Zhuang, Jing Li, Baoqing Li, Xavier Querol, Bo Liu, Natalia Moreno, Wei Yuan, Guanghua Yang, and Lei Pan. 2020. "Geological Controls on Mineralogy and Geochemistry of the Permian and Jurassic Coals in the Shanbei Coalfield, Shaanxi Province, North China" Minerals 10, no. 2: 138. https://doi.org/10.3390/min10020138
APA StyleShangguan, Y., Zhuang, X., Li, J., Li, B., Querol, X., Liu, B., Moreno, N., Yuan, W., Yang, G., & Pan, L. (2020). Geological Controls on Mineralogy and Geochemistry of the Permian and Jurassic Coals in the Shanbei Coalfield, Shaanxi Province, North China. Minerals, 10(2), 138. https://doi.org/10.3390/min10020138

