Phosphogypsum and Black Steel Slag as Additives for Ecological Bentonite-Based Materials: Microstructure and Characterization
Abstract
1. Introduction
2. Material and Methods
2.1. Raw Materials
2.2. Experimental Procedure
2.3. Characterization Techniques
3. Results and Discussion
3.1. Characterization of Raw Materials
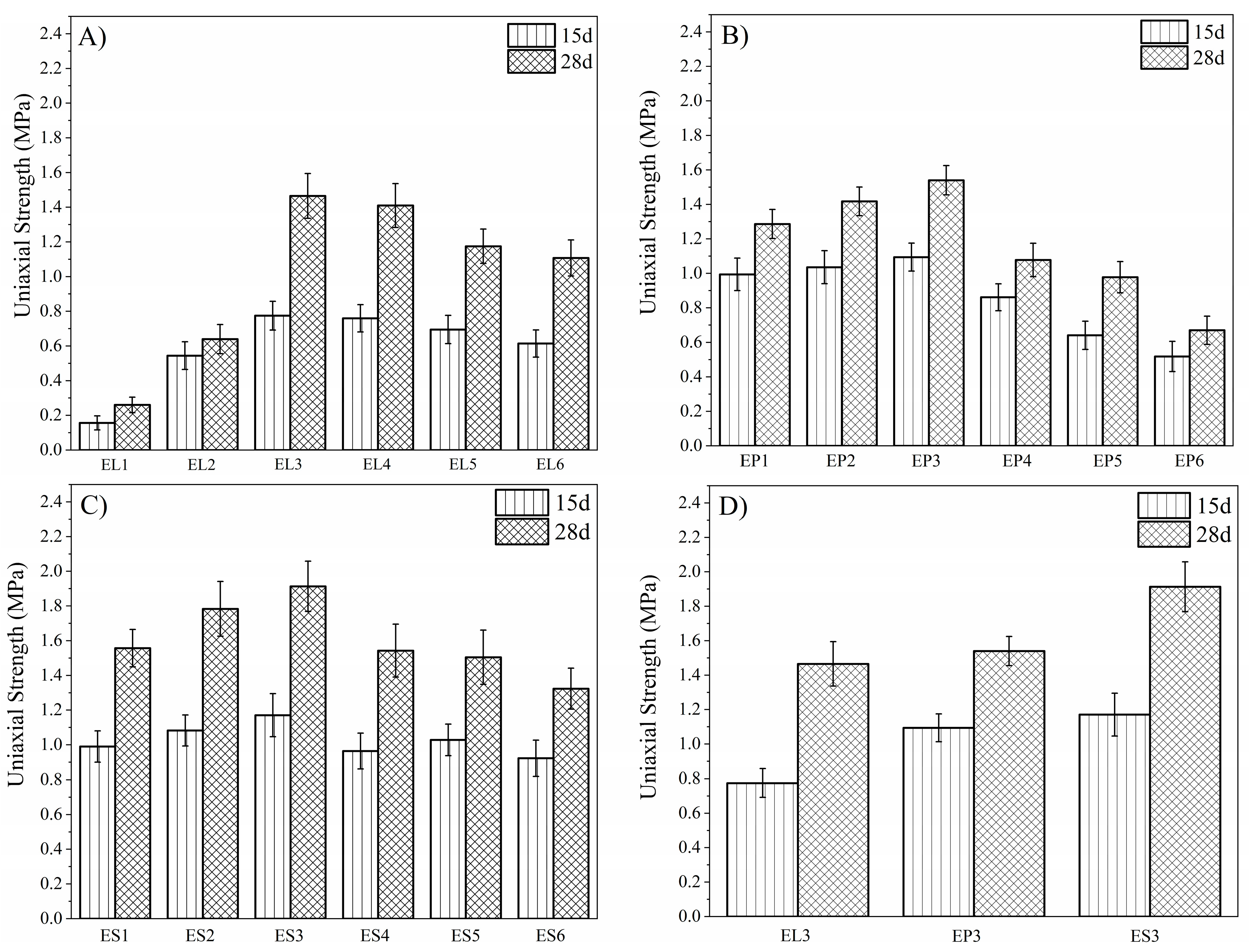
3.2. Compressive Uniaxial Strength
3.3. Kinetic Study by XRD
3.4. Infrared and Raman Results
- Step 1: formation of Q3 tetrahedra by an attack of hydroxyl ions on Q4 tetrahedra:
- Step 2: the dissolution of tetrahedra Q3 in the form of tetrahedra Q0 follows further cutting of siloxane bonds by hydroxyl ions:
- Step 3: the dissolved silica can diffuse into the interstitial solution and form with the alkalis and lime hydrated calcium silicates and/or hydrated calco-sodium silicates of type Q1:
3.5. Microstructure
3.6. DSC Analysis
4. Conclusions
- The hydration kinetics of the bentonite-lime and bentonite-lime-PG mixtures are slow.
- The formation of calcium silicate hydrate (C–S–H) increases the mechanical properties of bentonite-lime, bentonite-lime-PG and bentonite–lime–PG–Ss mixtures.
- The addition of PG alone to the bentonite-lime mixture allows the neo-formation of hydrated calcium silicate (C–S–H) and ettringite, which increases the compressive strength of the specimens.
- The microstructural analysis confirmed the formation of ettringite, which bonds the aggregates of the bentonite-lime-PG and bentonite–lime–PG–Ss mixtures.
- The addition of the black steel slag to the bentonite–lime–PG mixture accelerates the hydration kinetics and activates the pozzolanic reaction due to the presence of C2S in the slag, and thus promoting the increase of the mechanical strength of the B–L–PG–Ss mixture.
- The compressive strength of hydrated BL, BL–PG and BL–PG–Ss mixtures increases from 15 to 28 days of curing. Furthermore, 8% of slag added to the B–L–PG mixture increase the mechanical compression of 0.6 MPa after 28 days of hardening.
Author Contributions
Funding
Acknowledgments
Conflicts of Interest
References
- World Steel in Figures. World Steel Association ISBN 978-2-930069-87-6. 2016. Available online: https://www.worldsteel.org/en/dam/jcr:4f060d8b-3602-4ffe-9e87-7e93e0659449/Word+Steel+in+-Figures+2016.pdf (accessed on 29 September 2020).
- Rapport Financier Semestriel. Relation Actionnaires, SONASID. 2019. Available online: http://www.sonasid.ma/Finances/Rapports-annuels (accessed on 29 September 2020).
- Chaurand, P.; Rose, J.; Briois, V.; Olivi, L.; Hazemann, J.L.; Proux, O.; Nzssif, V.; Susini, J.; Salom, M.; Bottero, J.Y. Environmental impacts of steel slag reused in road construction: A crystallographic and molecular (XANES) approach. J. Hazard. Mater. 2007, 139, 537–542. [Google Scholar] [CrossRef] [PubMed]
- Nakase, K.; Matsui, A.; Kikuchi, N.; Miki, Y.; Kishimoto, Y.; Goto, I.; Nagasaka, T. Fundamental research on a rational steelmaking slag recycling system by phosphorus separation and collection. J. Manuf. Sci. Prod. 2013, 13, 39–45. [Google Scholar] [CrossRef]
- Igarashi, T.; Herrera, P.S.; Uchiyama, H.; Miyamae, H.; Iyatomi, N.; Hashimoto, K.; Tabelin, C.B. The two-step neutralization ferrite-formation process for sustainable acid mine drainage treatment: Removal of copper, zinc and arsenic, and the influence of coexisting ions on ferritization. Sci. Total Environ. 2020, 715, 136877. [Google Scholar] [CrossRef] [PubMed]
- Tabelin, C.B.; Igarashi, T.; Villacorte-Tabelin, M.; Park, I.; Opiso, E.M.; Ito, M.; Hiroyoshi, N. Arsenic, selenium, boron, lead, cadmium, copper, and zinc in naturally contaminated rocks: A review of their sources, modes of enrichment, mechanisms of release, and mitigation strategies. Sci. Total Environ. 2018, 645, 1522–1553. [Google Scholar] [CrossRef]
- Tabelin, C.B.; Silwamba, M.; Paglinawan, F.C.; Mondejar, A.J.S.; Duc, H.G.; Resabal, V.J.; Opiso, E.M.; Igarashi, T.; Tomiyama, S.; Ito, M.; et al. Solid-phase partitioning and release-retention mechanisms of copper, lead, zinc and arsenic in soils impacted by artisanal and small-scale gold mining (ASGM) activities. Chemosphere 2020, 260, 127574. [Google Scholar] [CrossRef]
- Sarfo, P.; Das, A.; Wyss, G.; Young, C. Recovery of metal values from copper slag and reuse of residual secondary slag. Waste Manag. 2017, 70, 272–281. [Google Scholar] [CrossRef] [PubMed]
- Sarfo, P.; Wyss, G.; Ma, G.; Das, A.; Young, C. Carbothermal reduction of copper smelter slag for recycling into pig iron and glass. Miner. Eng. 2017, 107, 8–19. [Google Scholar] [CrossRef]
- Roychand, R.; Pramanik, B.K.; Zhang, G.; Setunge, S. Recycling steel slag from municipal wastewater treatment plants into concrete applications—A step towards circular economy. Resour. Conserv. Recycl. 2020, 152, 104533. [Google Scholar] [CrossRef]
- Wang, Z.; He, X.; Li, J.; Qi, J.; Zhao, C.; Yang, G. Preparation of magnetic steel-slag particle electrode and its performance in a novel electrochemical reactor for oilfield wastewater advanced treatment. J. Ind. Eng. Chem. 2018, 58, 18–23. [Google Scholar] [CrossRef]
- Barca, C.; Roche, N.; Troesch, S.; Andres, Y.; Chazarenc, F. Modelling hydrodynamics of horizontal flow steel slag filters designed to upgrade phosphorus removal in small wastewater treatment plants. J. Environ. Manag. 2018, 206, 349–356. [Google Scholar] [CrossRef]
- Amuchi, M.; Abtahi, S.M.; Koosha, B.; Hejazi, S.M.; Sheikhzeinoddin, H. Reinforcement of steel-slag asphalt concrete using polypropylene fibers. J. Ind. Text. 2015, 44, 526–541. [Google Scholar] [CrossRef]
- Gonçalves, D.R.; Fontes, W.C.; Mendes, J.C.; Silva, G.J.; Peixoto, R.A. Evaluation of the economic feasibility of a processing plant for steelmaking slag. Waste Manag. Res. 2016, 34, 107–112. [Google Scholar] [CrossRef] [PubMed]
- Kang, G.; Cikmit, A.A.; Tsuchida, T.; Honda, H.; Kim, Y.S. Strength development and microstructural characteristics of soft dredged clay stabilized with basic oxygen furnace steel slag. Constr. Build. Mater. 2019, 203, 501–513. [Google Scholar] [CrossRef]
- Cao, L.; Shen, W.; Huang, J.; Yang, Y.; Zhang, D.; Huang, X.; Jiel, Z.; Ji, X. Process to utilize crushed steel slag in cement industry directly: Multi-phased clinker sintering technology. J. Clean. Prod. 2019, 217, 520–529. [Google Scholar] [CrossRef]
- Zhang, X.; Zhao, S.; Liu, Z.; Wang, F. Utilization of steel slag in ultra-high performance concrete with enhanced eco-friendliness. Constr. Build. Mater. 2019, 214, 28–36. [Google Scholar] [CrossRef]
- Zhang, Y.J.; Liu, L.C.; Xu, Y.; Wang, Y.C. A new alkali-activated steel slag-based cementitious material for photocatalytic degradation of organic pollutant from waste water. J. Hazard. Mater. 2012, 209, 146–150. [Google Scholar] [CrossRef] [PubMed]
- Huang, Y.; Qian, J.; Lu, L.; Zhang, W.; Wang, S.; Wang, W.; Cheng, X. Phosphogypsum as a component of calcium sulfoaluminate cement: Hazardous elements immobilization, radioactivity and performances. J. Clean. Prod. 2020, 248, 119287. [Google Scholar] [CrossRef]
- Liu, L.; Zhou, A.; Deng, Y.; Cui, Y.; Yu, Z.; Yu, C. Strength performance of cement/slag-based stabilized soft clays. Constr. Build. Mater. 2019, 211, 909–918. [Google Scholar] [CrossRef]
- Croft, J.B. The influence of soil mineralogical composition on cement stabilization. Geotechnique 1967, 17, 119–135. [Google Scholar] [CrossRef]
- Tayibi, H.; Choura, M.; López, F.A.; Alguacil, F.J.; López-Delgado, A. Environmental impact and management of phosphogypsum. J. Environ. Manag. 2009, 90, 2377–2386. [Google Scholar] [CrossRef]
- Oumnih, S.; Gharibi, E.; Yousfi, E.B.; Bekkouch, N.; El Hammouti, K. Posphogypsum waste valorization by acid attack with the presence of metallic iron. J. Mater. Environ. Sci. 2017, 8, 338–344. [Google Scholar]
- Tsioka, M.; Voudrias, E.A. Comparison of alternative management methods for phosphogypsum waste using life cycle analysis. J. Clean. Prod. 2020, 121386. [Google Scholar] [CrossRef]
- Rutherford, P.M.; Dudas, M.J.; Arocena, J.M. Trace elements and fluoride in phosphogypsum leachates. Environ. Technol. 1995, 16, 343–354. [Google Scholar] [CrossRef]
- Romero-Hermida, M.I.; FloreS-Alés, V.; Hurtado-Bermúdez, S.J.; Santos, A.; Esquivias, L. Environmental Impact of Phosphogypsum-Derived Building Materials. Int. J. Environ. Res. Public Health 2020, 17, 4248. [Google Scholar] [CrossRef] [PubMed]
- Silva, M.V.; de Rezende, L.R.; dos Anjos Mascarenha, M.M.; de Oliveira, R.B. Phosphogypsum, tropical soil and cement mixtures for asphalt pavements under wet and dry environmental conditions. Resour. Conserv. Recycl. 2019, 144, 123–136. [Google Scholar] [CrossRef]
- De Rezende, L.R.; Curado, T.D.S.; Silva, M.V.; Mascarenha, M.M.D.A.; Metogo, D.A.N.; Neto, M.P.C.; Bernucci, L.L.B. Laboratory study of phosphogypsum, stabilizers, and tropical soil mixtures. J. Mater. Civ. Eng. 2017, 29, 04016188. [Google Scholar] [CrossRef]
- Zeng, L.L.; Bian, X.; Zhao, L.; Wang, Y.J.; Hong, Z.S. Effect of phosphogypsum on physiochemical and mechanical behaviour of cement stabilized dredged soil from Fuzhou, China. Geomech. Energy Environ. 2020, 100195. [Google Scholar] [CrossRef]
- Oumnih, S.; Gharibi, E.K.; Bekkouch, N.; Fagel, N.; Elhamouti, K.; El Ouahabi, M. Phosphogypsum waste as additives to lime stabilization of bentonite. Sustain. Environ. Res. 2019, 29, 35. [Google Scholar] [CrossRef]
- Harrou, A.; Gharibi, E.; Nasri, H.; Fagel, N.; El Ouahabi, M. Physico-mechanical properties of phosphogypsum and black steel slag as aggregate for bentonite-lime based materials. Mater. Today Proc. 2020. [Google Scholar] [CrossRef]
- Amrani, M.; Taha, Y.; Kchikach, A.; Benzaazoua, M.; Hakkou, R. Phosphogypsum recycling: New horizons for a more sustainable road material application. J. Build. Eng. 2020, 30, 101267. [Google Scholar] [CrossRef]
- Değirmenci, N. Utilization of phosphogypsum as raw and calcined material in manufacturing of building products. Constr. Build. Mater. 2008, 22, 1857–1862. [Google Scholar] [CrossRef]
- Ajam, L.; Ouezdou, M.B.; Felfoul, H.S.; El Mensi, R. Characterization of the Tunisian phosphogypsum and its valorization in clay bricks. Constr. Build. Mater. 2009, 23, 3240–3247. [Google Scholar] [CrossRef]
- Rosales, J.; Pérez, S.M.; Cabrera, M.; Gázquez, M.J.; Bolivar, J.P.; de Brito, J.; Agrela, F. Treated phosphogypsum as an alternative set regulator and mineral addition in cement production. J. Clean. Prod. 2020, 244, 118752. [Google Scholar] [CrossRef]
- Gu, K.; Chen, B. Loess stabilization using cement, waste phosphogypsum, fly ash and quicklime for self-compacting rammed earth construction. Constr. Build. Mater. 2020, 231, 117195. [Google Scholar] [CrossRef]
- Romero-Hermida, M.I.; Borrero-López, A.M.; Alejandre, F.J.; Flores-Alésc, V.; Santosd, A.; Francob, J.M.; Esquiviasa, L. Phosphogypsum waste lime as a promising substitute of commercial limes: A rheological approach. Cem. Concr. Compos. 2019, 95, 205–216. [Google Scholar] [CrossRef]
- Haque, M.A.; Chen, B.; Liu, Y.; Shah, S.F.A.; Ahmad, M.R. Improvement of physico-mechanical and microstructural properties of magnesium phosphate cement composites comprising with Phosphogypsum. J. Clean. Prod. 2020, 121268. [Google Scholar] [CrossRef]
- Shen, W.; Liu, Y.; Wu, M.; Zhang, D.; Du, X.; Zhao, D.; Xu, G.; Zhang, B.; Xiong, X. Ecological carbonated steel slag pervious concrete prepared as a key material of sponge city. J. Clean. Prod. 2020, 256, 120244. [Google Scholar] [CrossRef]
- A Salah, B.; Gaber, M.S.; Kandil, T. The Removal of Uranium and Thorium from Their Aqueous Solutions by 8-Hydroxyquinoline Immobilized Bentonite. Minerals 2019, 9, 626. [Google Scholar] [CrossRef]
- Nasri, H.; Elhammouti, K.; Azdimousa, A.; Achalhi, M.; Bengamra, S. Calcimetric and sedimentometric characterization of clay deposits in the Neogene Boudinar basin (north eastern Rif, Morocco): Implication on the eustatic and hydrodynamic evolution of the basin and economic interest. J. Mater. Environ. Sci. 2016, 7, 859–870. [Google Scholar]
- Sebbahi, S.; Chameikh, M.L.O.; Sahban, F.; Aride, J.; Benarafa, L.; Belkbir, L. Thermal behaviour of Moroccan phosphogypsum. Thermochim. Acta 1997, 302, 69–75. [Google Scholar] [CrossRef]
- Kamseu, E.; Lancellotti, I.; Sglavo, V.M.; Modolo, L.; Leonelli, C. Design of inorganic polymer mortar from ferricalsialic and calsialic slags for indoor humidity control. Materials 2016, 9, 410. [Google Scholar] [CrossRef]
- Sebbar, N.; Lahmili, A.; Bahi, L.; Ouadif, L. Treatment of clay soils with steel slag, in road engineering. In Proceedings of the Seventh International Congress “Water, Waste and Environment” (EDE7-2019), Sale, Morocc, 20–22 November 2019; Volume 150, p. 02017. [Google Scholar]
- Hassoune, H.; Lahhit, M.; Khalid, A.; Lachehab, A. Application of leaching tests on phosphogypsum by infiltration-percolation. Water Sci. Technol. 2017, 76, 1844–1851. [Google Scholar] [CrossRef] [PubMed]
- Manzano, H.; Dolado, J.S.; Ayuela, A. Elastic properties of the main species present in Portland cement pastes. Acta Mater. 2009, 57, 1666–1674. [Google Scholar] [CrossRef]
- Dihang, M.D. Mécanisme de Coagulation et de Floculation de Suspensions D'argiles Diluées Rencontrées en Traitement des Eaux. Ph.D. Thesis, Université de Toulouse, Université Toulouse III-Paul Sabatier, Toulouse, France, 2007. [Google Scholar]
- Gu, Y.; Martin, R.P.; Metalssi, O.O.; Fen-Chong, T.; Dangla, P. Pore size analyses of cement paste exposed to external sulfate attack and delayed ettringite formation. Cem. Concr. Res. 2019, 123, 105766. [Google Scholar] [CrossRef]
- Qiao, Z.; Liu, Q.; Zhang, S.; Wu, Y. The mineralogical characteristics between opaline silica in bentonite and α-cristobalite. Solid State Sci. 2019, 96, 105948. [Google Scholar] [CrossRef]
- Gou, Z.; Chang, J.; Gao, J.; Wang, Z. In vitro bioactivity and dissolution of Ca2(SiO3)(OH)2 and β-Ca2SiO4 fibers. J. Eur. Ceram. Soc. 2004, 24, 3491–3497. [Google Scholar] [CrossRef]
- Robinet, L.; Coupry, C.; Eremin, K.; Hall, C. The use of Raman spectrometry to predict the stability of historic glasses. J. Raman Spectrosc. 2006, 37, 789–797. [Google Scholar] [CrossRef]
- Matson, D.W.; Sharma, S.K.; Philpotts, J.A. The structure of high-silica alkali-silicate glasses. A Raman spectroscopic investigation. J. Non Crys. Solids 1983, 58, 323–352. [Google Scholar] [CrossRef]
- Sharma, S.K.; Mammone, J.F.; Nicol, M.F. Raman investigation of ring configurations in vitreous silica. Nature 1981, 292, 140–141. [Google Scholar] [CrossRef]
- McMillan, P. Structural studies of silicate glasses and melts—Applications and limitations of Raman spectroscopy. Am. Mineral. 1984, 69, 622–644. [Google Scholar]
- Monnin, Y. Méthodologie Pour Décrire le Gonflement Multi-Echelle de Calcaires Siliceux Soumis à la Réaction Alcali-Silice Dans le Matériau Béton. Ph.D. Thesis, Université d’Artois, Arras, France, 2005. [Google Scholar]
- Li, H.; Guan, X.; Zhang, X.; Ge, P.; Hu, X.; Zou, D. Influence of superfine ettringite on the properties of sulphoaluminate cement-based grouting materials. Constr. Build. Mater. 2018, 166, 723–731. [Google Scholar] [CrossRef]
- Jiménez, A.; Prieto, M. Thermal stability of ettringite exposed to atmosphere: Implications for the uptake of harmful ions by cement. Environ. Sci. Technol. 2015, 49, 7957–7964. [Google Scholar] [CrossRef] [PubMed]








| Mixtures | Ss (wt.%) | PG (wt.%) | L (wt.%) | B (wt.%) |
|---|---|---|---|---|
| EL1 | 0 | 0 | 2 | 98 |
| EL2 | 0 | 0 | 5 | 95 |
| EL3 | 0 | 0 | 8 | 92 |
| EL4 | 0 | 0 | 11 | 89 |
| EL5 | 0 | 0 | 14 | 86 |
| EL6 | 0 | 0 | 20 | 80 |
| EP1 | 0 | 2 | 8 | 90 |
| EP2 | 0 | 5 | 8 | 87 |
| EP3 | 0 | 8 | 8 | 84 |
| EP4 | 0 | 11 | 8 | 81 |
| EP5 | 0 | 14 | 8 | 78 |
| EP6 | 0 | 20 | 8 | 72 |
| ES1 | 2 | 8 | 8 | 82 |
| ES2 | 5 | 8 | 8 | 77 |
| ES3 | 8 | 8 | 8 | 74 |
| ES4 | 11 | 8 | 8 | 73 |
| ES5 | 14 | 8 | 8 | 70 |
| ES6 | 20 | 8 | 8 | 64 |
| Clay | Liquid Limit % | Plasiticity Limit % | Plasticity Index (PI) | Clay (<0.005 mm) % | Silt (0.005–0.075 mm) % | Sand (0.075–2 mm) % | pH0 |
|---|---|---|---|---|---|---|---|
| Bentonite | 103 | 30.5 | 72.5 | 33.8 | 17.8 | 48.7 | 8.72 |
Publisher’s Note: MDPI stays neutral with regard to jurisdictional claims in published maps and institutional affiliations. |
© 2020 by the authors. Licensee MDPI, Basel, Switzerland. This article is an open access article distributed under the terms and conditions of the Creative Commons Attribution (CC BY) license (http://creativecommons.org/licenses/by/4.0/).
Share and Cite
Harrou, A.; Gharibi, E.K.; Taha, Y.; Fagel, N.; El Ouahabi, M. Phosphogypsum and Black Steel Slag as Additives for Ecological Bentonite-Based Materials: Microstructure and Characterization. Minerals 2020, 10, 1067. https://doi.org/10.3390/min10121067
Harrou A, Gharibi EK, Taha Y, Fagel N, El Ouahabi M. Phosphogypsum and Black Steel Slag as Additives for Ecological Bentonite-Based Materials: Microstructure and Characterization. Minerals. 2020; 10(12):1067. https://doi.org/10.3390/min10121067
Chicago/Turabian StyleHarrou, Achraf, El Khadir Gharibi, Yassine Taha, Nathalie Fagel, and Meriam El Ouahabi. 2020. "Phosphogypsum and Black Steel Slag as Additives for Ecological Bentonite-Based Materials: Microstructure and Characterization" Minerals 10, no. 12: 1067. https://doi.org/10.3390/min10121067
APA StyleHarrou, A., Gharibi, E. K., Taha, Y., Fagel, N., & El Ouahabi, M. (2020). Phosphogypsum and Black Steel Slag as Additives for Ecological Bentonite-Based Materials: Microstructure and Characterization. Minerals, 10(12), 1067. https://doi.org/10.3390/min10121067

