Bio-Precipitation of Carbonate and Phosphate Minerals Induced by the Bacterium Citrobacter freundii ZW123 in an Anaerobic Environment
Abstract
1. Introduction
2. Materials and Methods
2.1. Culture Medium
2.2. Isolation and Identification of Bacterium Strain ZW123
2.3. Biochemical Parameters of Liquid Medium Inoculated by C. freundii ZW123
2.4. Biotic Mineral Formation Induced by C. freundii ZW123
2.5. Characteristics of Minerals Induced by C. freundii ZW123
2.6. Amino Acid Composition of EPS
2.7. Thermal Characterization of Biotic and Abiotic Minerals
2.8. Stable Carbon and Nitrogen Isotope Analyses
2.9. Molecular Dynamics Simulation of Glu Adsorption onto Struvite Surfaces
3. Results
3.1. Identification of Bacteria ZW123
3.2. Physicochemical Parameters of the Liquid Medium Inoculated with C. freundii ZW123
3.3. Characteristics of Minerals Induced by C. freundii ZW123
3.3.1. XRD Analyses and Rietveld Refinement
3.3.2. Molecular Dynamics Simulation Results
3.3.3. SEM and EDS Analyses of Biominerals
3.3.4. HRTEM, SAED, STEM and Elemental Mapping Analysis of the Minerals
3.3.5. FTIR Analyses
3.4. Amino Acid Composition of EPS
3.5. XPS Analyses of Biotic Struvite
3.6. Stable Isotope Composition of Minerals and Organic Carbon Sources
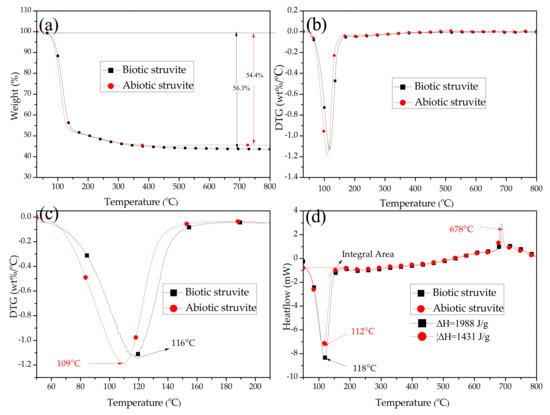
3.7. Thermal Characteristics of Biotic and Abiotic Struvite
4. Discussion
4.1. Physiological and Biochemical Parameters and the Favourable Environment for Biomineralization
4.2. Magnesium Content in Biotic Mg-Rich Calcite
4.3. The Role of Magnesium Ions in Monohydrocalcite Formation
4.4. Struvite Induced by C. freundii ZW123
4.5. Morphology of Struvite Induced by ZW123 Bacterium
4.6. Ecological Implications
5. Conclusions
Supplementary Materials
Author Contributions
Funding
Conflicts of Interest
References
- Dong, H.; Fredrickson, J.K.; Kennedy, D.W.; Zachara, J.M.; Kukkadapu, R.K.; Onstott, T.C. Mineral transformations associated with the microbial reduction of magnetite. Chem. Geol. 2000, 169, 299–318. [Google Scholar] [CrossRef]
- Li, H.; Yao, Q.-Z.; Wang, F.-P.; Huang, Y.-R.; Fu, S.-Q.; Zhou, G.-T. Insights into the formation mechanism of vaterite mediated by a deep-sea bacterium Shewanella piezotolerans WP3. Geochim. Cosmochim. Acta 2018, 256, 35–48. [Google Scholar] [CrossRef]
- Qiu, X.; Wang, H.; Yao, Y.; Duan, Y. High salinity facilitates dolomite precipitation mediated by Haloferax volcanii DS52. Earth Planet. Sci. Lett. 2017, 472, 197–205. [Google Scholar] [CrossRef]
- Deng, S.; Dong, H.; Lv, G.; Jiang, H.; Yu, B.; Bishop, M. Microbial dolomite precipitation using sulfate reducing and halophilic bacteria: Results from Qinghai Lake, Tibetan Plateau, NW China. Chem. Geol. 2010, 278, 151–159. [Google Scholar] [CrossRef]
- Wang, H.; Zeng, C.; Liu, Q.; Liu, D.; Xuan, Q.; Gong, L. Calcium carbonate precipitation induced by a bacterium strain isolated from an oligotrophic cave in Central China. Front. Earth Sci. China 2010, 4, 148–151. [Google Scholar] [CrossRef]
- Han, Z.; Zhao, Y.; Yan, H.; Zhao, H.; Han, M.; Sun, B.; Meng, R.; Zhuang, D.; Li, D.; Gao, W.; et al. The Characterization of Intracellular and Extracellular Biomineralization Induced by Synechocystis sp. PCC6803 Cultured under Low Mg/Ca Ratios Conditions. Geomicrobiol. J. 2017, 34, 362–373. [Google Scholar] [CrossRef]
- Zhuang, D.; Yan, H.; Tucker, M.E.; Zhao, H.; Han, Z.; Zhao, Y.; Sun, B.; Li, D.; Pan, J.; Zhao, Y.; et al. Calcite precipitation induced by Bacillus cereus MRR2 cultured at different Ca2+ concentrations: Further insights into biotic and abiotic calcite. Chem. Geol. 2018, 500, 64–87. [Google Scholar] [CrossRef]
- Couradeau, E.; Benzerara, K.; Gérard, E.; Moreira, D.; Bernard, S.; Brown, G.; Lopez-Garcia, P. An early-branching microbialite cyanobacterium forms intracellular carbonates. Science 2012, 336, 459–462. [Google Scholar] [CrossRef]
- Kajiyama, S.; Nishimura, T.; Sakamoto, T.; Kato, T. Aragonite nanorods in calcium carbonate/polymer hybrids formed through self-organization processes from amorphous calcium carbonate solution. Small 2014, 10. [Google Scholar] [CrossRef]
- Kim, H.J.; Shin, B.; Lee, Y.S.; Park, W. Modulation of calcium carbonate precipitation by exopolysaccharide in Bacillus sp. JH7. Appl. Microbiol. Biotechnol. 2017, 101, 6551–6561. [Google Scholar] [CrossRef] [PubMed]
- Pan, J.; Zhao, H.; Tucker, M.E.; Zhou, J.; Jiang, M.; Wang, Y.; Zhao, Y.; Sun, B.; Han, Z.; Yan, H. Biomineralization of monohydrocalcite induced by the halophile Halomonas smyrnensis WMS-3. Minerals 2019, 9, 632. [Google Scholar] [CrossRef]
- Qiu, X.; Yao, Y.; Wang, H.; Shen, A.; Zhang, J. Halophilic archaea mediate the formation of proto-dolomite in solutions with various sulfate concentrations and salinities. Front. Microbiol. 2019, 10, 480. [Google Scholar] [CrossRef] [PubMed]
- Lian, B.; Hu, Q.; Chen, J.; Ji, J.; Teng, H.H. Carbonate biomineralization induced by soil bacterium Bacillus megaterium. Geochim. Cosmochim. Acta 2006, 70, 5522–5535. [Google Scholar] [CrossRef]
- Zhou, G.-T.; Yao, Q.Z.; Ni, J.; Jin, G. Formation of aragonite mesocrystals and implication for biomineralization. Am. Mineral. 2009, 94, 293–302. [Google Scholar] [CrossRef]
- Han, Z.; Zhao, Y.; Yan, H.; Zhao, H.; Han, M.; Sun, B.; Sun, X.; Hou, F.; Sun, H.; Han, L.; et al. Struvite precipitation induced by a novel Sulfate-Reducing Bacterium Acinetobacter calcoaceticus SRB4 isolated from river sediment. Geomicrobiol. J. 2015, 32, 868–877. [Google Scholar] [CrossRef]
- Yan, H.; Han, Z.; Zhao, H.; Zhou, S.; Chi, N.; Han, M.; Kou, X. Characterization of calcium deposition induced by Synechocystis sp. PCC6803 in BG11 culture medium. Chin. J. Oceanol. Limn. 2014, 32, 503–510. [Google Scholar] [CrossRef]
- Han, Z.; Meng, R.; Yan, H.; Zhao, H.; Han, M.; Zhao, Y.; Sun, B.; Sun, Y.; Wang, J.; Zhuang, D.; et al. Calcium carbonate precipitation by Synechocystis sp. PCC6803 at different Mg/Ca molar ratios under the laboratory condition. Carbonates Evaporites 2017, 32, 561–575. [Google Scholar] [CrossRef]
- Han, Z.; Yan, H.; Zhao, H.; Zhou, S.; Han, M.; Meng, X.; Zhang, Y.; Zhao, Y.; Sun, B.; Yao, C.; et al. Bio-precipitation of calcite with preferential orientation induced by Synechocystis sp. PCC6803. Geomicrobiol. J. 2014, 31, 884–899. [Google Scholar] [CrossRef]
- Han, Z.; Yan, H.; Zhou, S.; Zhao, H.; Zhang, Y.; Zhang, N.; Yao, C.; Zhao, L.; Han, C. Precipitation of calcite induced by Synechocystis sp. PCC6803. World J. Microbiol. Biotechnol. 2013, 29, 1801–1811. [Google Scholar] [CrossRef]
- Vasconcelos, C. Microbial mediation of modern dolomite precipitation and diagenesis under anoxic conditions (Lagoa Vermelha, Rio de Janeiro, Brazil). J. Sediment. Res. 1997, 67. [Google Scholar] [CrossRef]
- Warthmann, R.; Lith, Y.; Vasconcelos, C.; McKenzie, J.; Karpoff, A.m. Bacterially induced dolomite precipitaion in anoxic culture experiments. Geology 2000, 28. [Google Scholar] [CrossRef]
- Han, Z.; Sun, B.; Zhao, H.; Yan, H.; Han, M.; Zhao, Y.; Meng, R.; Zhuang, D.; Li, D.; Ma, Y.; et al. Isolation of Leclercia adcarboxglata Strain JLS1 from dolostone sample and characterization of its induced struvite minerals. Geomicrobiol. J. 2017, 34, 500–510. [Google Scholar] [CrossRef]
- Krause, S.; Liebetrau, V.; Löscher, C.; Böhm, F.; Gorb, S.; Eisenhauer, A.; Treude, T. Marine ammonification and carbonic anhydrase activity induce rapid calcium carbonate precipitation. Geochim. Cosmochim. Acta 2018, 243. [Google Scholar] [CrossRef]
- Ferris, F.; Fyfe, W.S.; Beveridge, T.J. Bacteria as nucleation sites for authigenic minerals in a Metal-Contaminated Lake Sediment. Chem. Geol. 1987, 63, 225–232. [Google Scholar] [CrossRef]
- Kawaguchi, T.; Decho, A. A laboratory investigation of cyanobacterial extracellular polymeric secretion (EPS) in influencing CaCO3 polymorphism. J. Cryst. Growth 2002, 240, 230–235. [Google Scholar] [CrossRef]
- Yan, H.; Han, Z.; Zhao, H.; Pan, J.; Zhao, Y.; Tucker, M.; Zhou, J.; Yan, X.; Yang, H.; Fan, D. The bio-precipitation of calcium and magnesium ions by free and immobilized Lysinibacillus fusiformis DB1-3 in the wastewater. J. Clean. Prod. 2020, 252, 119826. [Google Scholar] [CrossRef]
- Braissant, O.; Cailleau, G.; Dupraz, C.; Verrecchia, A. Bacterially induced mineralization of calcium carbonate in terrestrial environments: The role of exopolysaccharides and amino acids. J. Sediment. Res. 2003, 73, 485–490. [Google Scholar] [CrossRef]
- Sanchez-Roman, M.; Rivadeneyra, M.A.; Vasconcelos, C.; McKenzie, J.A. Biomineralization of carbonate and phosphate by moderately halophilic bacteria. FEMS Microbiol. Ecol. 2007, 61, 273–284. [Google Scholar] [CrossRef]
- Han, Z.; Yu, W.; Zhao, H.; Zhao, Y.; Tucker, M.; Yan, H. The significant roles of Mg/Ca ratio, Cl– and SO42– in carbonate mineral precipitation by the halophile Staphylococcus epidermis Y2. Minerals 2018, 8, 594. [Google Scholar] [CrossRef]
- Guo, W.; Ma, H.; Li, F.; Jin, Z.; Li, J.; Ma, F.; Wang, C. Citrobacter sp strain GW-M Mediates the Coexistence of Carbonate Minerals with Various Morphologies. Geomicrobiol. J. 2013, 30, 749–757. [Google Scholar] [CrossRef]
- Lin, C.Y.; Turchyn, A.; Steiner, Z.; Bots, P.; Lampronti, G.; Tosca, N. The role of microbial sulfate reduction in calcium carbonate polymorph selection. Geochim. Cosmochim. Acta 2018, 237. [Google Scholar] [CrossRef]
- Han, Z.; Li, D.; Zhao, H.; Yan, H.; Li, P. Precipitation of carbonate minerals induced by the Halophilic Chromohalobacter Israelensis under high salt concentrations: Implications for natural environments. Minerals 2017, 7, 95. [Google Scholar] [CrossRef]
- Han, Z.; Wang, J.; Zhao, H.; Tucker, M.E.; Zhao, Y.; Wu, G.; Zhou, J.; Yin, J.; Zhang, H.; Zhang, X.; et al. Mechanism of Biomineralization Induced by Bacillus subtilis J2 and Characteristics of the Biominerals. Minerals 2019, 9, 218. [Google Scholar] [CrossRef]
- Khan, M.S.; Garnier, G. Direct measurement of alkaline phosphatase kinetics on bioactive paper. Chem. Eng. Sci. 2013, 87, 91–99. [Google Scholar] [CrossRef]
- Garcia-Belinchón, C. Struvite recovery: Pilot-scale results and economic assessment of different scenarios. Water Pract. Technol. 2013, 8, 119–130. [Google Scholar] [CrossRef]
- Sun, H.; Yuan, D.; Hou, X.; Wang, X.; Liu, L.; Zhang, D.; Han, Y. A novel metal-organic coordination complex crystal: Tris allylthiourea zinc bromide (ATZB) as a nonlinear optical material. Cryst. Res. Technol. 2007, 42, 65–68. [Google Scholar] [CrossRef]
- Yang, R.; Fan, A.; Loon, T.; Han, Z.; Wang, X. Depositional and diagenetic controls on sandstone reservoirs with low porosity and low permeability in the eastern sulige gas field, China. Acta Geol. Sin. Engl. 2014, 88, 1513–1534. [Google Scholar] [CrossRef]
- Chen, Y.; Xu, X.J.; Cui, H.Z.; Dai, K.H.; Song, Z.S.; Jiang, W.J.; Qi, L. Preferred orientation of crystals and the intensity ratios of XRD peaks of cathode material LiCoO2. Acta Phys. Chim. Sin. 2007, 23, 1948–1953. [Google Scholar] [CrossRef]
- Chen, Y.; Han, Q.; Wang, Y.; Zhang, Q.; Qiao, X. Synthesis of pyridinium polysiloxane for antibacterial coating in supercritical carbon dioxide. J. Appl. Polym. Sci. 2014, 132. [Google Scholar] [CrossRef]
- Li, T.; Yuan, C.; Zhao, Y.; Chen, Q.; Wei, M.; Wang, Y. Synthesis, characterization, and properties of aniline-p-phenylenediamine copolymers. High Perform. Polym. 2013, 25, 348–353. [Google Scholar] [CrossRef]
- Zhang, X.Y.; Ge, S.-S.; Shao, Q.; Liu, M.; Liu, Q.Y. Synthesis and photocatalytic activity of Ceo2 hollow microspheres via yeast template route. Chin. J. Inorg. Chem. 2016, 32, 1535–1542. [Google Scholar] [CrossRef]
- Xiangxin, K.; Jiang, Z.; Han, C.; Lijing, Z.; Zhang, Y.; Zhang, R.; Tian, J. Genesis and Implications of the Composition and Sedimentary Structure of Fine-Grained Carbonate Rocks in the Shulu Sag. J. Earth Sci. 2017, 28, 1047–1063. [Google Scholar] [CrossRef]
- Xu, Y.; Lu, M. Microbially enhanced oil recovery at simulated reservoir conditions by use of engineered bacteria. J. Pet. Sci. Eng. 2011, 78, 233–238. [Google Scholar] [CrossRef]
- Zhu, L.; Zhang, L.; Tang, Y.; Ma, D.; Yang, J. Synthesis of kaolin/sodium alginate-grafted poly(acrylic acid-co-2-acrylamido-2-methyl-1-propane sulfonic acid) hydrogel composite and its sorption of lead, cadmium, and zinc ions. J. Elastom. Plast. 2014, 47, 488–501. [Google Scholar] [CrossRef]
- Jun, L.; Yao, Y.; Liu, D.; Elsworth, D. Experimental evaluation of CO2 enhanced recovery of adsorbed-gas from shale. Int. J. Coal Geol. 2017, 179, 211–218. [Google Scholar] [CrossRef]
- Wang, C.; Wu, Y.; Li, Y.; Shao, Q.; Yan, X.; Han, C.; Wang, Z.; Liu, Z.; Guo, Z. Flame-retardant rigid polyurethane foam with a phosphorus-nitrogen single intumescent flame retardant. Polym. Adv. Technol. 2017, 29, 668–676. [Google Scholar] [CrossRef]
- Cui, X.; Zhu, G.; Pan, Y.; Shao, Q.; Zhao, C.; Dong, M.; Zhang, Y.; Guo, Z. Polydimethylsiloxane-titania nanocomposite coating: Fabrication and corrosion resistance. Polymer 2018, 138, 203–210. [Google Scholar] [CrossRef]
- Yang, W.; Wang, X.-L.; Li, J.; Yan, X.; Ge, S.; Tadakamalla, S.; Guo, Z. Polyoxymethylene/ethylene butylacrylate copolymer/ethylene-methyl acrylate-glycidyl methacrylate ternary blends. Polym. Eng. Sci. 2018, 58, 1127–1134. [Google Scholar] [CrossRef]
- Liu, F.; Csetenyi, L.; Gadd, G. Amino acid secretion influences the size and composition of copper carbonate nanoparticles synthesized by ureolytic fungi. Appl. Microbiol. Biotechnol. 2019, 103, 7217–7230. [Google Scholar] [CrossRef]
- Chang, X.; Wang, T.G.; Li, Q.; Cheng, B.; Tao, X. Geochemistry and possible origin of petroleum in Palaeozoic reservoirs from Halahatang Depression. J. Asian Earth Sci. 2013, 74, 129–141. [Google Scholar] [CrossRef]
- Chen, J.; Chough, S.K.; Han, Z.; Lee, J.-H. An extensive erosion surface of a strongly deformed limestone bed in the Gushan and Chaomidian formations (late Middle Cambrian to Furongian), Shandong Province, China: Sequence-stratigraphic implications. Sediment. Geol. 2011, 233, 129–149. [Google Scholar] [CrossRef]
- Gao, L.; Han, Z.; Han, Y.; Han, C.; Wei, F.; Qin, Z. Controlling of cements and physical property of sandstone by fault as observed in well Xia503 of Huimin sag, Linnan sub-depression. Sci. China Earth Sci. 2013, 56, 1942–1952. [Google Scholar] [CrossRef]
- Li, F.; Li, W. Petrological record of CO2 influx in the Dongying Sag, Bohai Bay Basin, NE China. Appl. Geochem. 2017, 84, 373–386. [Google Scholar] [CrossRef]
- Li, Y.; Chang, X.; Yin, W.; Sun, T.; Song, T. Quantitative impact of diagenesis on reservoir quality of the Triassic Chang 6 tight oil sandstones, Zhenjing area, Ordos Basin, China. Mar. Pet. Geol. 2017, 86, 1014–1028. [Google Scholar] [CrossRef]
- Wang, G.; Chang, X.; Yin, W.; Li, Y.; Song, T. Impact of diagenesis on reservoir quality and heterogeneity of the Upper Triassic Chang 8 tight oil sandstones in the Zhenjing area, Ordos Basin, China. Mar. Petro. Geol. 2017, 83, 84–96. [Google Scholar] [CrossRef]
- Ammann, M.; Siegwolf, R.; Pichlmayer, F.; Suter, M.; Saurer, M.; Brunold, C. Estimating the uptake of traffic-derived NO2 from 15N abundance in Norway spruce needles. Oecologia 1999, 118, 124–131. [Google Scholar] [CrossRef]
- Brenner, D.J.; Grimont, P.A.; Steigerwalt, A.G.; Fanning, G.R.; Ageron, E.; Riddle, C.F. Classification of citrobacteria by DNA hybridization: Designation of Citrobacter farmeri sp. nov., Citrobacter youngae sp. nov., Citrobacter braakii sp. nov., Citrobacter werkmanii sp. nov., Citrobacter sedlakii sp. nov., and three unnamed Citrobacter genomospecies. Int. J. Syst. Bacteriol. 1993, 43, 645–658. [Google Scholar] [CrossRef]
- Han, Z.; Gao, X.; Zhao, H.; Tucker, M.; Zhao, Y.; Bi, Z.; Pan, J.; Wu, G.; Yan, H. Extracellular and intracellular biomineralization induced by Bacillus licheniformis DB1-9 at different Mg/Ca molar ratios. Minerals 2018, 8, 585. [Google Scholar] [CrossRef]
- Ferraris, G.; Fuess, H.; Joswig, W. Neutron diffraction study of MgNH4PO4. 6H2O (struvite) and survey of water molecules donating short hydrogen bonds. Acta Crystallogr. Sect. B 1986, 42, 253–258. [Google Scholar] [CrossRef]
- Sleator, R.D.; Gahan, C.G.; Hill, C. Identification and disruption of the proBA locus in Listeria monocytogenes: Role of proline biosynthesis in salt tolerance and murine infection. Appl. Environ. Microb. 2001, 67, 2571–2577. [Google Scholar] [CrossRef]
- Nyyssola, A.; Kerovuo, J.; Kaukinen, P.; Weymarn, N.; Reinikainen, T. Extreme Halophiles Synthesize Betaine from Glycine by Methylation. J. Biol. Chem. 2000, 275, 22196–22201. [Google Scholar] [CrossRef] [PubMed]
- Liu, Y.; Yuan, Y.; Wang, W.; Wachemo, A.C.; Zou, D. Effects of adding osmoprotectant on anaerobic digestion of kitchen waste with high level of salinity. J. Biosci. Bioeng. 2019, 128, 723–732. [Google Scholar] [CrossRef] [PubMed]
- Margesin, R.; Schinner, F. Potential of halotolerant and halophilic microorganisms for biotechnology. Extremophiles 2001, 5, 73–83. [Google Scholar] [CrossRef] [PubMed]
- Castro, R.; Marcos, P.; Lorriaux, A.; Steil, M.; Gengembre, L.O.; Roussel, P.; Gouvea, D. Interface excess and polymorphic stability of nanosized zirconia-magnesia. Chem. Mater. 2008, 20, 3505–3511. [Google Scholar] [CrossRef]
- Tan, Y.; Shao, Z.-B.; Chen, X.-F.; Long, J.-W.; Chen, L.; Wang, Y.-Z. A novel multifunctional organic-inorganic hybrid curing agent with high flame-retardant efficiency for epoxy resin. ACS Appl. Mater. Interfaces 2015, 7, 17919–17928. [Google Scholar] [CrossRef]
- Bai, J.; Nagashima, T.; Yajima, T. XPS Study of Apatite Formed from Simulated Body Fluid on a Titanium Substrate Surface Nitrided by an Atmospheric Pressure Nitrogen Microwave Plasma. J. Photopolym. Sci. Technol. 2015, 28, 455–459. [Google Scholar] [CrossRef]
- Amalric, J.; Mutin, P.; Guerrero, G.; Ponche, A.; Sotto, A.; Lavigne, J.-P. Phosphonate monolayers functionalized by silver thiolate species as antibacterial nanocoating on titanium and stainless steel. J. Mater. Chem. 2009, 19, 141–149. [Google Scholar] [CrossRef]
- Dufrene, Y.F.; van der Wal, A.; Norde, W.; Rouxhet, P.G. X-ray photoelectron spectroscopy analysis of whole cells and isolated cell walls of gram-positive bacteria: Comparison with biochemical analysis. J. Bacteriol. 1997, 179, 1023–1028. [Google Scholar] [CrossRef]
- Marriott, A.; Hunt, A.; Bergström, E.; Wilson, K.; Budarin, V.; Thomas-Oates, J.; Clark, J.; Brydson, R. Investigating the structure of biomass-derived non-graphitizing mesoporous carbons by electron energy loss spectroscopy in the transmission electron microscope and X-ray photoelectron spectroscopy. Carbon 2013, 67, 514. [Google Scholar] [CrossRef]
- Ke, C.; Shi, B.; Yue, Y.; Qi, J.; Guo, L. Binary synergy strengthening and toughening of bio-inspired nacre-like graphene oxide/sodium alginate composite paper. ACS Nano 2015, 9, 8165–8175. [Google Scholar] [CrossRef]
- Sanchez-Roman, M.; Romanek, C.S.; Fernandez-Remolar, D.C.; Sanchez-Navas, A.; McKenzie, J.A.; Amils Pibernat, R.; Vasconcelos, C. Aerobic biomineralization of Mg-rich carbonates: Implications for natural environments. Chem. Geol. 2011, 281, 143–150. [Google Scholar] [CrossRef]
- Stephenson, A.E.; DeYoreo, J.J.; Wu, L.; Wu, K.J.; Hoyer, J.; Dove, P.M. Peptides enhance magnesium signature in calcite: Insights into origins of vital effects. Science 2008, 322, 724–727. [Google Scholar] [CrossRef] [PubMed]
- Gaetani, G.A.; Cohen, A.L.; Wang, Z.; Crusius, J. Rayleigh-based, multi-element coral thermometry: A biomineralization approach to developing climate proxies. Geochim. Cosmochim. Acta 2011, 75, 1920–1932. [Google Scholar] [CrossRef]
- Ma, Y.; Aichmayer, B.; Paris, O.; Fratzl, P.; Meibom, A.; Metzler, R.A.; Politi, Y.; Addadi, L.; Gilbert, P.U.P.A.; Weiner, S. The grinding tip of the sea urchin tooth exhibits exquisite control over calcite crystal orientation and Mg distribution. Proc. Natl. Acad. Sci. USA 2009, 106, 6048–6053. [Google Scholar] [CrossRef]
- Robach, J.S.; Stock, S.R.; Veis, A. Mapping of magnesium and of different protein fragments in sea urchin teeth via secondary ion mass spectroscopy. J. Struct. Biol. 2006, 155, 87–95. [Google Scholar] [CrossRef]
- Kluge, S.; Weston, J. Can a hydroxide ligand trigger a change in the coordination number of magnesium ions in biological systems? Biochemistry 2005, 44, 4877–4885. [Google Scholar] [CrossRef]
- Fukushi, K.; Munemoto, T.; Sakai, M.; Yagi, S. Monohydrocalcite: A promising remediation material for hazardous anions. Sci. Technol. Adv. Mat. 2011, 12, 064702. [Google Scholar] [CrossRef]
- Rodriguez-Blanco, J.; Shaw, S.; Bots, P.; Roncal-Herrero, T.; Benning, L. The role of Mg in the crystallization of monohydrocalcite. Geochim. Cosmochim. Acta 2014, 127, 204–220. [Google Scholar] [CrossRef]
- Dejehet, F.; Idrissi, S.; Debuys, R. Magnesium and occluded water in calcium carbonate monohydrate. J. Chim. Phys. 1999, 96, 741–753. [Google Scholar] [CrossRef]
- Last, F.; Last, W.; Halden, N. Carbonate microbialites and hardgrounds from Manito Lake, an alkaline, hypersaline lake in the northern Great Plains of Canada. Sediment. Geol. 2010, 225, 34–49. [Google Scholar] [CrossRef]
- Rodriguez-Blanco, J.; Bots, P.; Roncal-Herrero, T.; Shaw, S.; Benning, L. The role of pH and Mg on the stability and crystallization of amorphous calcium carbonate. J. Alloy. Compd. 2012, 536, S477–S479. [Google Scholar] [CrossRef]
- Delgado, G.; Párraga, J.; Martín-García, J.M.; de las Angustias Rivadeneyra, M.; Sánchez-Marañón, M.; Delgado, R. Carbonate and phosphate precipitation by saline soil bacteria in a monitored culture medium. Geomicrobiol. J. 2013, 30, 199–208. [Google Scholar] [CrossRef]
- Rivadeneyra, M.; Martín-Algarra, A.; Sánchez-Navas, A.; Martín-Ramos, D. Carbonate and phosphate precipitation by Chromohalobacter marismortui. Geomicrobiol. J. 2006, 23, 1–13. [Google Scholar] [CrossRef]
- Beavon, J.; Heatley, N. The occurrence of struvite (magnesium ammonium phosphate hexahydrate) in microbial cultures. J. Gen. Microbiol. 1963, 31, 167–169. [Google Scholar] [CrossRef]
- Downey, J.A.; Nickel, J.C.; Clapham, L.; McLean, R.J. In vitro inhibition of struvite crystal growth by acetohydroxamic acid. Br. J. Urol. 1992, 70, 355–359. [Google Scholar] [CrossRef]
- Wierzbicki, A.; Sallis, J.D.; Stevens, E.D.; Smith, M.; Sikes, C.S. Crystal growth and molecular modeling studies of inhibition of struvite by phosphocitrate. Calcif. Tissue Int. 1997, 61, 216–222. [Google Scholar] [CrossRef]
- Li, H.; Yao, Q.-Z.; Wang, Y.-Y.; Li, Y.-L.; Zhou, G.-T. Biomimetic synthesis of struvite with biogenic morphology and implication for pathological biomineralization. Sci. Rep. 2015, 5, 7718. [Google Scholar] [CrossRef]
- Basakcilardan-Kabakci, S.; Thompson, A.; Cartmell, E.; Le Corre, K. Adsorption and precipitation of tetracycline with struvite. Water Environ. Res. 2007, 79, 2551–2556. [Google Scholar] [CrossRef]











| Mg/Ca Ratio | Density (g cm−3) | FWHM (110) | FWHM (111) | FWHM (221) | FWHM (302) | FWHM (113) | FWHM (222) | FWHM (411) |
|---|---|---|---|---|---|---|---|---|
| 6 | 2.4117 | 0.106 | 0.155 | 0.183 | 0.141 | 0.174 | 0.141 | 0.279 |
| 9 | 2.4076 | 0.131 | 0.163 | 0.196 | 0.184 | 0.337 | 0.175 | 0.314 |
| Surfaces | 011 | 020 | 111 | 022 | 002 |
|---|---|---|---|---|---|
| Etotal | 6,703,266 | 837,073 | 2,007,537 | 6,791,561 | 760,446 |
| Esurface | 6,703,511 | 837,211 | 2,007,781 | 6,791,668 | 760,734 |
| EGlu | 35.397 | 26.531 | 12.784 | 38.713 | 32.325 |
| Eadsorption | −280.397 | −164.531 | −256.784 | −145.713 | −320.325 |
| Biotic Minerals | Abiotic Minerals | Yeast Extract | NH4Cl | ||||||
|---|---|---|---|---|---|---|---|---|---|
| Mg/Ca Molar Ratio | δ13C (‰) | δ15N (‰) | δ15N (‰) | Calcite δ13C (‰) | Monohydrocalcite δ13C (‰) | Struvite δ15N (‰) | δ13C (‰) | δ15N (‰) | |
| 0 (calcite + vaterite) | −16.8 | / | −11.19 | −21.8 | |||||
| 3 (Mg-rich calcite) | −17.9 | / | |||||||
| 6 (Monohydrocalcite) | −18.5 | / | −11.63 | ||||||
| 9 (Monohydrocalcite) | −18.5 | / | |||||||
| 12 (Struvite) | / | 2.20 | −0.35 | −0.12 | 4.35 | ||||
© 2020 by the authors. Licensee MDPI, Basel, Switzerland. This article is an open access article distributed under the terms and conditions of the Creative Commons Attribution (CC BY) license (http://creativecommons.org/licenses/by/4.0/).
Share and Cite
Sun, B.; Zhao, H.; Zhao, Y.; Tucker, M.E.; Han, Z.; Yan, H. Bio-Precipitation of Carbonate and Phosphate Minerals Induced by the Bacterium Citrobacter freundii ZW123 in an Anaerobic Environment. Minerals 2020, 10, 65. https://doi.org/10.3390/min10010065
Sun B, Zhao H, Zhao Y, Tucker ME, Han Z, Yan H. Bio-Precipitation of Carbonate and Phosphate Minerals Induced by the Bacterium Citrobacter freundii ZW123 in an Anaerobic Environment. Minerals. 2020; 10(1):65. https://doi.org/10.3390/min10010065
Chicago/Turabian StyleSun, Bin, Hui Zhao, Yanhong Zhao, Maurice E. Tucker, Zuozhen Han, and Huaxiao Yan. 2020. "Bio-Precipitation of Carbonate and Phosphate Minerals Induced by the Bacterium Citrobacter freundii ZW123 in an Anaerobic Environment" Minerals 10, no. 1: 65. https://doi.org/10.3390/min10010065
APA StyleSun, B., Zhao, H., Zhao, Y., Tucker, M. E., Han, Z., & Yan, H. (2020). Bio-Precipitation of Carbonate and Phosphate Minerals Induced by the Bacterium Citrobacter freundii ZW123 in an Anaerobic Environment. Minerals, 10(1), 65. https://doi.org/10.3390/min10010065

