The Fuzzy u-Chart for Sustainable Manufacturing in the Vietnam Textile Dyeing Industry
Abstract
1. Introduction
2. Review of Traditional -Chart
3. Construction of Fuzzy -Chart
4. Classification Conditions
4.1. Ranking Fuzzy Numbers with Nguyen & Hien’s Approach
- at the optimism level of if and only if .
- at the optimism level of if and only if .
- at the optimism level of if and only if .
4.2. Our Extended Ranking Rules
- at the optimism level of if and only if .
- at the optimism level of if and only if .
- at the optimism level of if and only if .
- and ; or,
- and .
- (1)
- if and only if one of the conditions below occurs
- (2)
- if and only if one of the below conditions holds
- (3)
- at the optimism level if and only if
- (4)
- at the optimism level if and only if
4.3. Proposed Classification
- (1)
- The process is in-control if one of the below situations holds
- (2)
- The process is out of control if one of the following conditions is true
- (3)
- The process is rather in-control if one of the below situations occurs
- (4)
- The process is rather out-of-control if one of the following conditions is fulfilled
- Step 1:
- From the collected data, we first construct the fuzzy control limits as presented in Section 3.
- Step 2:
- With each , , and , calculate its left area, right area and expected centroid as shown in Definition 1 and 2.
- Step 3:
- For each β, calculate , , and for each pair (, ) and (, ) from Equation (19).
- Step 4:
- With a given , calculate for each pair (, ) and (, ) from Equation (20).
- Step 5:
- The results obtained from Step 3 and 4 are used in the classification mechanism presented in Section 4.3.
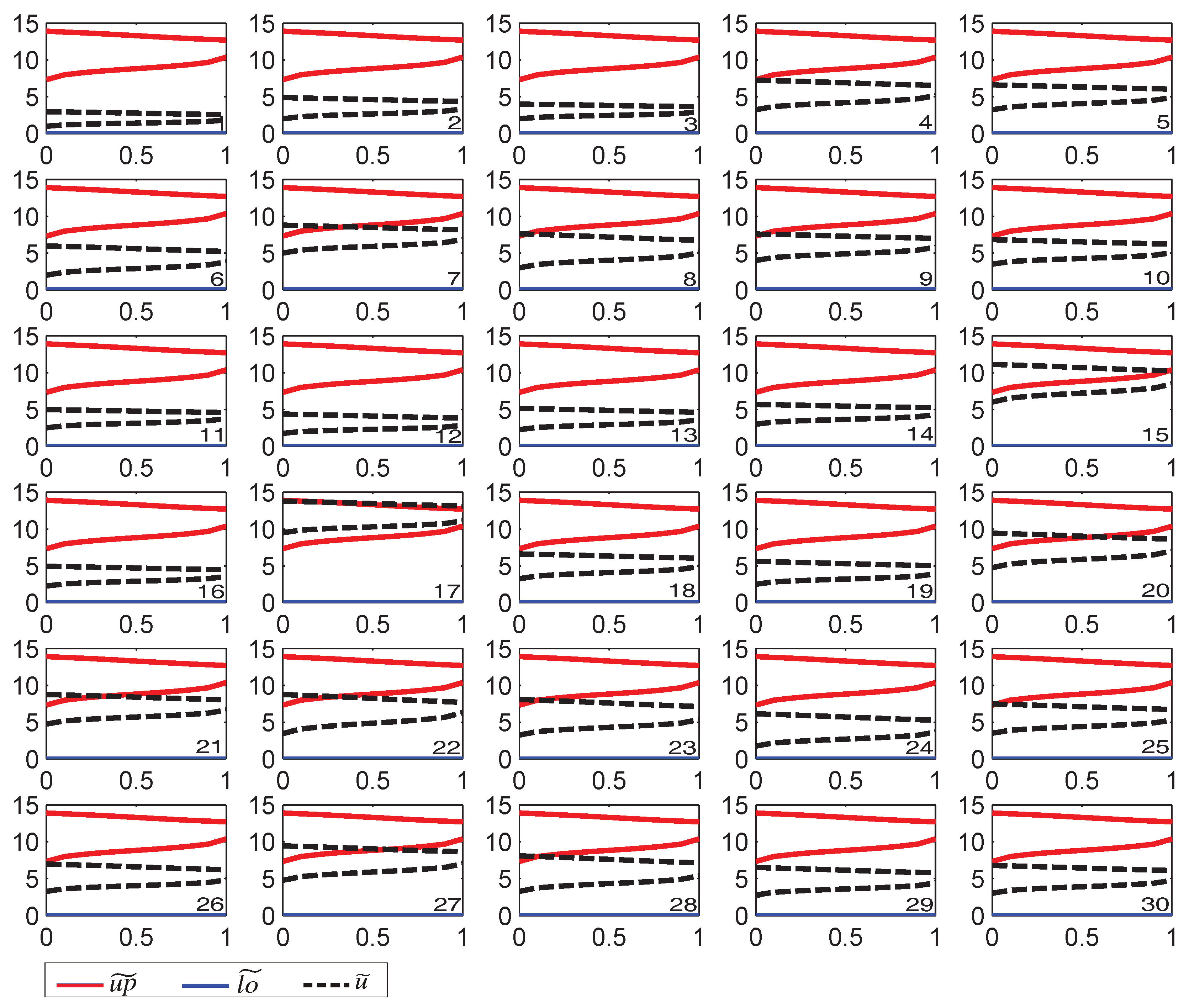
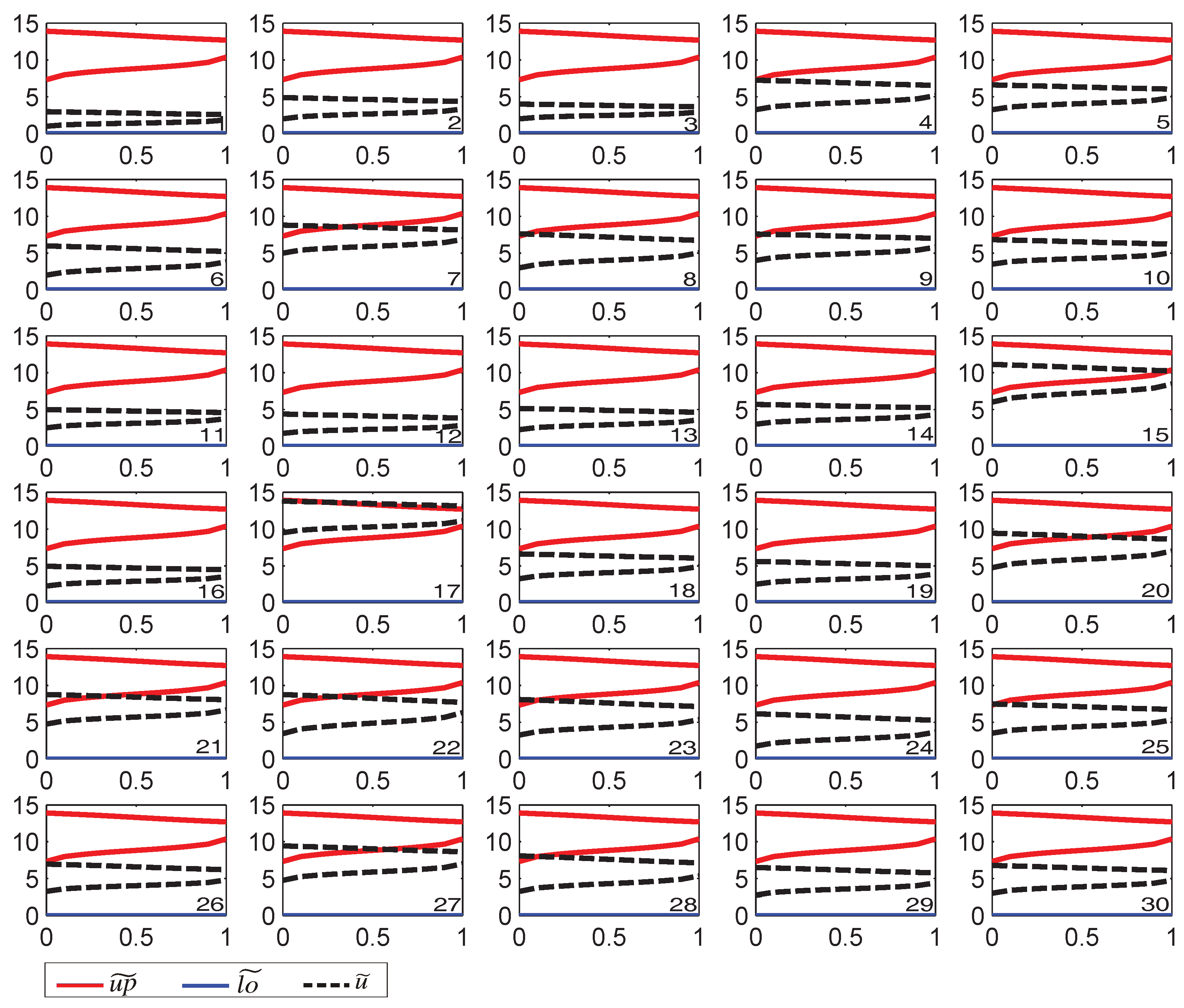
5. Practical Application
5.1. Construction of Fuzzy u-Chart
5.2. Comparative Analysis
6. Conclusions
Acknowledgments
Author Contributions
Conflicts of Interest
Abbreviations
| CLFNs | Control-limits’ fuzzy numbers |
| CL | Center line |
| UCL | Upper control limit |
| LCL | Lower control limit |
| NISD | Necessity index of strict dominance |
| DFA | Direct fuzzy approach |
| FDA | Fuzzy dominance approach |
| LV | Left integral values |
| RV | Right integral values |
| DS | Unit disparity |
| R-In | Rather in-control |
| R-Out | Rather out-of-control |
References
- Montgomery, D.C. Statistical Quality Control—A Modern Introduction; Wiley & Sons: Singapore, 2013. [Google Scholar]
- Walpole, R.E.; Myers, R.H.; Myers, S.L.; Ye, K. Probability and Statistics for Engineers and Scientists, 9th ed.; Prentice Hall: Boston, MA, USA, 2012. [Google Scholar]
- Evans, J.R.; Lindsay, W.M. The Management and Control of Quality, 8th ed.; South-Western College Publishing: New York, NY, USA, 2011. [Google Scholar]
- Shu, M.H.; Nguyen, T.L.; Hsu, B.M. Fuzzy MaxGWMA chart for identifying abnormal variations of on-line manufacturing processes with imprecise information. Expert Syst. Appl. 2014, 41, 1342–1356. [Google Scholar] [CrossRef]
- Lu, K.P.; Chang, S.T.; Yang, M.S. Change-point detection for shifts in control charts using fuzzy shift change-point algorithms. Comput. Ind. Eng. 2016, 93, 12–27. [Google Scholar] [CrossRef]
- Ghobadi, S.; Noghodarian, K.; Noorossana, R.; Mirhosseini, S.M. Developing a multivariate approach to monitor fuzzy quality profiles. Qual. Quant. 2012. [Google Scholar] [CrossRef]
- Gülbay, M.; Kahraman, C.; Ruan, D. α-cut fuzzy control charts for linguistic data. Int. J. Intell. Syst. 2004, 19, 1173–1196. [Google Scholar] [CrossRef]
- Hsieh, C.S.; Chen, Y.W.; Wu, C.H. Characteristics of fuzzy synthetic decision methods for measuring student achievement. Qual. Quant. 2012, 46, 523–543. [Google Scholar] [CrossRef]
- Senturk, S.; Erginel, N. Development of fuzzy and control charts using α-cuts. Inf. Sci. 2009, 179, 1542–1551. [Google Scholar] [CrossRef]
- Faraz, A.; Shapiro, A.F. An application of fuzzy random variables to control charts. Fuzzy Sets Syst. 2010, 161, 2684–2694. [Google Scholar] [CrossRef]
- Faraz, A.; Moghadam, M.B. Fuzzy control chart a better alternative for Shewhart average chart. Qual. Quant. 2007, 41, 375–385. [Google Scholar] [CrossRef]
- Gülbay, M.; Kahraman, C. Development of fuzzy process control charts and fuzzy pattern analyses. Comput. Stat. Data Anal. 2006, 51, 434–451. [Google Scholar] [CrossRef]
- Gülbay, M.; Kahraman, C. An alternative approach to c-fuzzy control charts: direct fuzzy approach. Inf. Sci. 2007, 177, 1463–1480. [Google Scholar] [CrossRef]
- Shu, M.H.; Wu, H.C. Fuzzy and R control charts: Fuzzy dominance approach. Comput. Ind. Eng. 2011, 61, 676–685. [Google Scholar] [CrossRef]
- Nguyen, T.L.; Hsu, B.M.; Shu, M.H. New quantitative approach based on index of optimism for fuzzy judgement of online manufacturing process. Mater. Res. Innov. 2014, 18, 2–4. [Google Scholar] [CrossRef]
- Morabia, Z.S.; Owliaa, M.S.; Bashirib, M.; Doroudyana, M.H. Multi-objective design of control charts with fuzzy process parameters using the hybrid epsilon constraint PSOs. Appl. Soft Comput. 2015, 30, 390–399. [Google Scholar] [CrossRef]
- Wang, J.H.; Raz, T. On the construction of control charts using linguistic variables. Int. J. Prod. Res. 1990, 28, 477–487. [Google Scholar] [CrossRef]
- Kanagawa, A.; Tamaki, F.; Ohta, H. Control charts for progress average and variability based on linguistic data. Int. J. Prod. Res. 1993, 31, 913–922. [Google Scholar] [CrossRef]
- Laviolette, M.; Seaman, J.W.; Barrett, J.D.; Woodall, W.H. A probabilistic and statistical view of fuzzy methods, with discussions. Technometrics 1995, 37, 249–292. [Google Scholar] [CrossRef]
- Asai, K. Fuzzy Systems for Management; IOS Press: Amsterdam, The Netherlands, 1995. [Google Scholar]
- Woodall, W.; Tsui, K.L.; Tucker, G.L. A Review of statistical and fuzzy control charts based on categorical data. In Frontiers in Statistical Quality Control 5; Lenz, H.J., Wilrich, P.T., Eds.; Physica: Heidelberg, Germany, 1997. [Google Scholar]
- Cheng, C.B. Fuzzy process control: Construction of control charts with fuzzy numbers. Fuzzy Sets Syst. 2005, 154, 287–303. [Google Scholar] [CrossRef]
- Guo, R.; Zhao, R.; Cheng, C. Quality control charts for random fuzzy manufacturing environments. J. Qual. 2008, 15, 101–115. [Google Scholar]
- Grzegorrzewski, P.; Hryniewicz, O. Soft methods in statistical quality control. Control Cybern. 2000, 29, 119–140. [Google Scholar]
- Chien, C.F.; Chen, J.H.; Wei, C.C. Constructing a comprehensive modular fuzzy ranking framework and illustrations. J. Qual. 2011, 18, 333–349. [Google Scholar]
- Nguyen, T.L.; Shu, M.H.; Huang, Y.F.; Hsu, B.M. Fuzzy and s charts: Left & Right dominance approach. In Advanced Methods for Computing Collective Intelligence; Nguyen, N.T., Trawiński, B., Katarzyniak, R., Jo, G.S., Eds.; Springer: Berlin/Heidelberg, Germany, 2013; pp. 355–366. [Google Scholar]
- Nguyen, T.L.; Hien, L.T. Innovatively ranking fuzzy numbers with left-right areas and centroids. J. Inf. Math. Sci. 2016, 8, 167–174. [Google Scholar]
- Shu, M.H.; Dang, D.C.; Nguyen, T.L.; Hsu, B.M. Fuzzy and s control charts: A data-adaptability and human-acceptance approach. Complexity 2017. [Google Scholar] [CrossRef]
- Zadeh, L.A. Fuzzy sets. Inf. Control 1965, 8, 338–353. [Google Scholar] [CrossRef]
- Wu, H.C. Evaluate fuzzy Riemann integrals using the Monte Carlo method. J. Math. Anal. Appl. 2001, 264, 324–343. [Google Scholar] [CrossRef][Green Version]
- Wu, H.C. Fuzzy estimation on lifetime data. Comput. Stat. 2004, 19, 613–633. [Google Scholar] [CrossRef]
- Yu, V.F.; Chi, H.T.X.; Chen, C.W. Ranking fuzzy numbers based on epsilon-deviation degree. Appl. Soft Comput. 2013, 13, 3621–3627. [Google Scholar] [CrossRef]
- Yu, V.F.; Chi, H.T.X.; Dat, L.Q.; Phuc, P.N.K.; Chen, C.W. Ranking generalized fuzzy numbers in fuzzy decision making based on left and right transfer coefficients and areas. Appl. Math. Model. 2013, 37, 8106–8117. [Google Scholar] [CrossRef]
- Yu, V.F.; Dat, L.Q. An improved ranking method for fuzzy numbers with integral values. Appl. Soft Comput. 2014, 14, 603–608. [Google Scholar] [CrossRef]
- Nejad, A.M.; Mashinchi, M. Ranking fuzzy numbers based on the areas on the left and the right sides of fuzzy number. Comput. Math. Appl. 2011, 61, 431–442. [Google Scholar] [CrossRef]
- Wang, Y.M.; Luo, Y. Area ranking of fuzzy numbers based on positive and negative ideal points. Comput. Math. Appl. 2009, 58, 1769–1779. [Google Scholar] [CrossRef]
- Singh, P. A new approach for the ranking of fuzzy sets with different heights. J. Appl. Res. Technol. 2012, 10, 941–949. [Google Scholar]
- Phuc, P.N.K.; Yu, V.F.; Chou, S.Y.; Dat, L.Q. Analyzing the ranking method for L-R fuzzy numbers based on deviation degree. Comput. Ind. Eng. 2012, 63, 1220–1226. [Google Scholar] [CrossRef]
- Chu, T.C.; Tsao, C.T. Ranking fuzzy numbers with an area between the centroid point and original point. Comput. Math. Appl. 2002, 43, 111–117. [Google Scholar] [CrossRef]
- Mitchell, H.B.; Schaefer, P.A. On ordering fuzzy numbers. Int. J. Intell. Syst. 2000, 15, 981–993. [Google Scholar] [CrossRef]
- Wong, W.K.; Yuen, C.W.M.; Fan, D.D.; Chan, L.K.; Fung, E.H.K. Stitching defect detection and classification using wavelet transform and BP neural network. Expert Syst. Appl. 2009, 36, 3845–3856. [Google Scholar] [CrossRef]
- Yuen, C.W.M.; Wong, W.K.; Qian, S.Q.; Chan, L.K.; Fung, E.H.K. A hybrid model using genetic algorithm and neural network for classifying garment defects. Expert Syst. Appl. 2009, 36, 2037–2047. [Google Scholar] [CrossRef]
- Lee, C.K.H.; Choy, K.L.; Ho, G.T.S.; Chin, K.S.; Law, K.M.Y.; Tse, Y.K. A hybrid OLAP-association rule mining based quality management system for extracting defect patterns in the garment industry. Expert Syst. Appl. 2013, 40, 2435–2446. [Google Scholar] [CrossRef]
- Shu, M.H.; Chiu, C.C.; Nguyen, T.L.; Hsu, B.M. A demerit-fuzzy rating system, monitoring scheme and classification for manufacturing processes. Expert Syst. Appl. 2014, 41, 7878–7888. [Google Scholar] [CrossRef]



| Sub. | Size | Sub. | Size | ||||||
|---|---|---|---|---|---|---|---|---|---|
| 1 | 5 | 1 | 2 | 3 | 16 | 5 | 3 | 4 | 5 |
| 2 | 4 | 2 | 4 | 5 | 17 | 5 | 10 | 13 | 14 |
| 3 | 4 | 2 | 3 | 4 | 18 | 4 | 4 | 5 | 6 |
| 4 | 5 | 3 | 6 | 7 | 19 | 5 | 4 | 5 | 6 |
| 5 | 5 | 3 | 5 | 6 | 20 | 4 | 5 | 8 | 10 |
| 6 | 4 | 2 | 5 | 6 | 21 | 4 | 5 | 7 | 8 |
| 7 | 5 | 5 | 7 | 9 | 22 | 5 | 6 | 7 | 9 |
| 8 | 4 | 4 | 6 | 7 | 23 | 5 | 4 | 7 | 8 |
| 9 | 5 | 4 | 6 | 7 | 24 | 5 | 2 | 5 | 6 |
| 10 | 5 | 4 | 5 | 6 | 25 | 5 | 4 | 6 | 7 |
| 11 | 5 | 3 | 4 | 5 | 26 | 5 | 4 | 5 | 7 |
| 12 | 4 | 2 | 3 | 4 | 27 | 5 | 5 | 8 | 9 |
| 13 | 4 | 3 | 4 | 5 | 28 | 5 | 4 | 6 | 8 |
| 14 | 5 | 3 | 4 | 5 | 29 | 4 | 3 | 5 | 6 |
| 15 | 5 | 6 | 10 | 11 | 30 | 4 | 3 | 5 | 7 |
| Sub. | 0.5 | 0.6 | 0.7 | 0.8 | 0.5 | 0.6 | 0.7 | 0.8 | |
|---|---|---|---|---|---|---|---|---|---|
| 1 | 2.6312 | 2.6459 | 2.6606 | 2.6753 | 0.0147 | In | In | In | In |
| 2 | 2.2522 | 2.2657 | 2.2792 | 2.2927 | 0.0135 | In | In | In | In |
| 3 | 2.3114 | 2.3228 | 2.3342 | 2.3456 | 0.0114 | In | In | In | In |
| 4 | 1.4553 | 1.4699 | 1.4845 | 1.4991 | 0.0146 | In | In | In | In |
| 5 | 1.6654 | 1.6739 | 1.6824 | 1.6909 | 0.0085 | In | In | In | In |
| 6 | 1.9181 | 1.9316 | 1.9451 | 1.9586 | 0.0135 | In | In | In | In |
| 7 | 1.1658 | 1.1871 | 1.2084 | 1.2297 | 0.0213 | In | In | In | In |
| 8 | 1.4466 | 1.4641 | 1.4816 | 1.4991 | 0.0175 | In | In | In | In |
| 9 | 1.4144 | 1.4241 | 1.4338 | 1.4435 | 0.0097 | In | In | In | In |
| 10 | 1.5025 | 1.5128 | 1.5231 | 1.5334 | 0.0103 | In | In | In | In |
| 11 | 2.2784 | 2.2999 | 2.3214 | 2.3429 | 0.0215 | In | In | In | In |
| 12 | 2.8702 | 2.8820 | 2.8938 | 2.9056 | 0.0118 | In | In | In | In |
| 13 | 2.2506 | 2.2569 | 2.2632 | 2.2695 | 0.0063 | In | In | In | In |
| 14 | 1.9564 | 1.9685 | 1.9806 | 1.9927 | 0.0121 | In | In | In | In |
| 15 | 0.9199 | 0.9961 | 1.0723 | 1.1485 | 0.0762 | In | In | In | In |
| 16 | 2.1772 | 2.1829 | 2.1886 | 2.1943 | 0.0057 | In | In | In | In |
| 17 | −0.0083 | 0.0015 | 0.0113 | 0.0211 | 0.0098 | R-Out | R-In | In | In |
| 18 | 1.3923 | 1.4051 | 1.4179 | 1.4307 | 0.0128 | In | In | In | In |
| 19 | 1.8529 | 1.8666 | 1.8803 | 1.8940 | 0.0137 | In | In | In | In |
| 20 | 1.1172 | 1.1283 | 1.1394 | 1.1505 | 0.0111 | In | In | In | In |
| 21 | 1.1382 | 1.1449 | 1.1516 | 1.1583 | 0.0067 | In | In | In | In |
| 22 | 1.2306 | 1.2371 | 1.2436 | 1.2501 | 0.0065 | In | In | In | In |
| 23 | 1.4805 | 1.4894 | 1.4983 | 1.5072 | 0.0089 | In | In | In | In |
| 24 | 1.9884 | 1.9959 | 2.0034 | 2.0109 | 0.0075 | In | In | In | In |
| 25 | 1.8368 | 1.8447 | 1.8526 | 1.8605 | 0.0079 | In | In | In | In |
| 26 | 1.8165 | 1.8217 | 1.8269 | 1.8321 | 0.0052 | In | In | In | In |
| 27 | 1.0131 | 1.0229 | 1.0327 | 1.0425 | 0.0098 | In | In | In | In |
| 28 | 1.3446 | 1.3507 | 1.3568 | 1.3629 | 0.0061 | In | In | In | In |
| 29 | 1.4602 | 1.4695 | 1.4788 | 1.4881 | 0.0093 | In | In | In | In |
| 30 | 1.4558 | 1.4625 | 1.4692 | 1.4759 | 0.0067 | In | In | In | In |
| Sub. | 0.5 | 0.6 | 0.7 | 0.8 | 0.5 | 0.6 | 0.7 | 0.8 | |
|---|---|---|---|---|---|---|---|---|---|
| 1 | 3.2995 | 3.3180 | 3.3365 | 3.355 | 0.0185 | In | In | In | In |
| 2 | 2.8243 | 2.8415 | 2.8587 | 2.8759 | 0.0172 | In | In | In | In |
| 3 | 2.8985 | 2.9129 | 2.9273 | 2.9417 | 0.0144 | In | In | In | In |
| 4 | 1.8249 | 1.8433 | 1.8617 | 1.8801 | 0.0184 | In | In | In | In |
| 5 | 2.0884 | 2.0991 | 2.1098 | 2.1205 | 0.0107 | In | In | In | In |
| 6 | 2.4053 | 2.4224 | 2.4395 | 2.4566 | 0.0171 | In | In | In | In |
| 7 | 1.4619 | 1.4887 | 1.5155 | 1.5423 | 0.0268 | In | In | In | In |
| 8 | 1.8142 | 1.8363 | 1.8584 | 1.8805 | 0.0221 | In | In | In | In |
| 9 | 1.7737 | 1.7859 | 1.7981 | 1.8103 | 0.0122 | In | In | In | In |
| 10 | 1.8841 | 1.8972 | 1.9103 | 1.9234 | 0.0131 | In | In | In | In |
| 11 | 2.8571 | 2.8842 | 2.9113 | 2.9384 | 0.0271 | In | In | In | In |
| 12 | 3.5992 | 3.6139 | 3.6286 | 3.6433 | 0.0147 | In | In | In | In |
| 13 | 2.8223 | 2.8302 | 2.8381 | 2.846 | 0.0079 | In | In | In | In |
| 14 | 2.4533 | 2.4685 | 2.4837 | 2.4989 | 0.0152 | In | In | In | In |
| 15 | 1.1536 | 1.2495 | 1.3454 | 1.4413 | 0.0959 | In | In | In | In |
| 16 | 2.7302 | 2.7374 | 2.7446 | 2.7518 | 0.0072 | In | In | In | In |
| 17 | −0.0384 | −0.0281 | −0.0178 | −0.0075 | 0.0103 | Out | Out | Out | R-Out |
| 18 | 1.7459 | 1.7621 | 1.7783 | 1.7945 | 0.0162 | In | In | In | In |
| 19 | 2.3235 | 2.3407 | 2.3579 | 2.3751 | 0.0172 | In | In | In | In |
| 20 | 1.4012 | 1.4154 | 1.4296 | 1.4438 | 0.0142 | In | In | In | In |
| 21 | 1.4273 | 1.4357 | 1.4441 | 1.4525 | 0.0084 | In | In | In | In |
| 22 | 1.5432 | 1.5514 | 1.5596 | 1.5678 | 0.0082 | In | In | In | In |
| 23 | 1.8565 | 1.8677 | 1.8789 | 1.8901 | 0.0112 | In | In | In | In |
| 24 | 2.4935 | 2.5029 | 2.5123 | 2.5217 | 0.0094 | In | In | In | In |
| 25 | 2.3033 | 2.3131 | 2.3229 | 2.3327 | 0.0098 | In | In | In | In |
| 26 | 2.2779 | 2.2844 | 2.2909 | 2.2974 | 0.0065 | In | In | In | In |
| 27 | 1.2704 | 1.2828 | 1.2952 | 1.3076 | 0.0124 | In | In | In | In |
| 28 | 1.6861 | 1.6938 | 1.7015 | 1.7092 | 0.0077 | In | In | In | In |
| 29 | 1.8311 | 1.8428 | 1.8545 | 1.8662 | 0.0117 | In | In | In | In |
| 30 | 1.8256 | 1.8340 | 1.8424 | 1.8508 | 0.0084 | In | In | In | In |
© 2017 by the authors. Licensee MDPI, Basel, Switzerland. This article is an open access article distributed under the terms and conditions of the Creative Commons Attribution (CC BY) license (http://creativecommons.org/licenses/by/4.0/).
Share and Cite
Truong, K.-P.; Shu, M.-H.; Nguyen, T.-L.; Hsu, B.-M. The Fuzzy u-Chart for Sustainable Manufacturing in the Vietnam Textile Dyeing Industry. Symmetry 2017, 9, 116. https://doi.org/10.3390/sym9070116
Truong K-P, Shu M-H, Nguyen T-L, Hsu B-M. The Fuzzy u-Chart for Sustainable Manufacturing in the Vietnam Textile Dyeing Industry. Symmetry. 2017; 9(7):116. https://doi.org/10.3390/sym9070116
Chicago/Turabian StyleTruong, Kim-Phung, Ming-Hung Shu, Thanh-Lam Nguyen, and Bi-Min Hsu. 2017. "The Fuzzy u-Chart for Sustainable Manufacturing in the Vietnam Textile Dyeing Industry" Symmetry 9, no. 7: 116. https://doi.org/10.3390/sym9070116
APA StyleTruong, K.-P., Shu, M.-H., Nguyen, T.-L., & Hsu, B.-M. (2017). The Fuzzy u-Chart for Sustainable Manufacturing in the Vietnam Textile Dyeing Industry. Symmetry, 9(7), 116. https://doi.org/10.3390/sym9070116

