Transmission Power Adaption for Full-Duplex Relay-Aided Device-to-Device Communication
Abstract
:1. Introduction
- (1)
- The main contribution of the article is to draft a novel D2D relaying-aided scheme to improve the transmitting rate of a cellular user who is in deep fading or shadowing. Unlike the works that have been done before, our scheme guarantees cellular user’ quality of service in terms of the minimum rate requirement. This means that the performance of the cellular user is improved rather than deteriorated or just maintained, as done in [13,21].
- (2)
- We consider an independent power constraint for the BS and D2D relay respectively rather than under the aggregate power constraint as in [27]. Although we use two inequalities to replace one equation, we also derived a closed form expression of the optimal allocated power and the power split factor.
- (3)
- By making comparisons with traditional direct communication of cellular mode and HD relaying mode, the FD mode we proposed could use the minimum transmitting power to make sure the cellular’ rate requirement with also achieve the D2D rate as far as possible. It also has been demonstrated that the approach we proposed is more prominent in terms of spectral efficiency and power efficiency, in the situation that the residual loopback interference generating the D2D relay is controlled at a tolerable level.
2. System Model
FD Relay-Aided D2D Communication Scheme
3. The Optimal Power Adaption Strategies
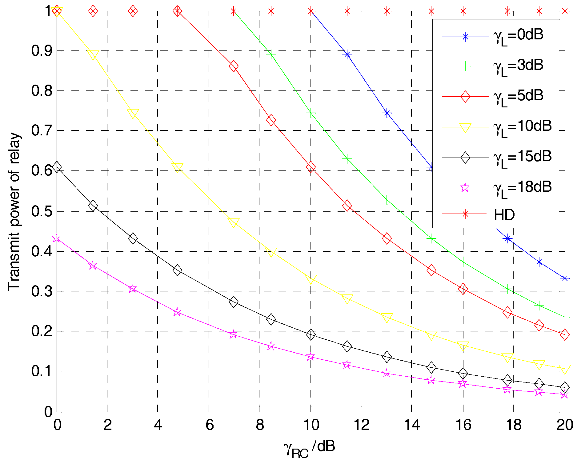
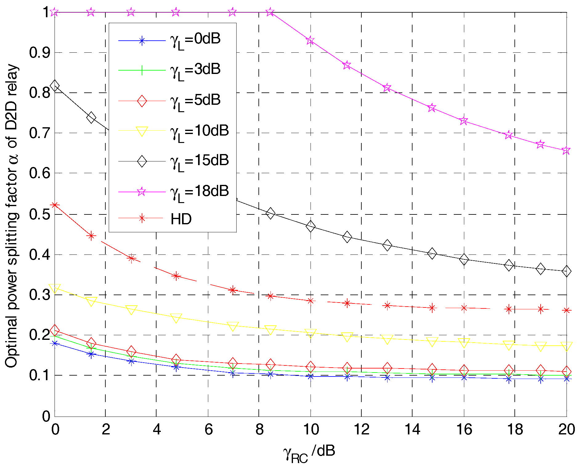
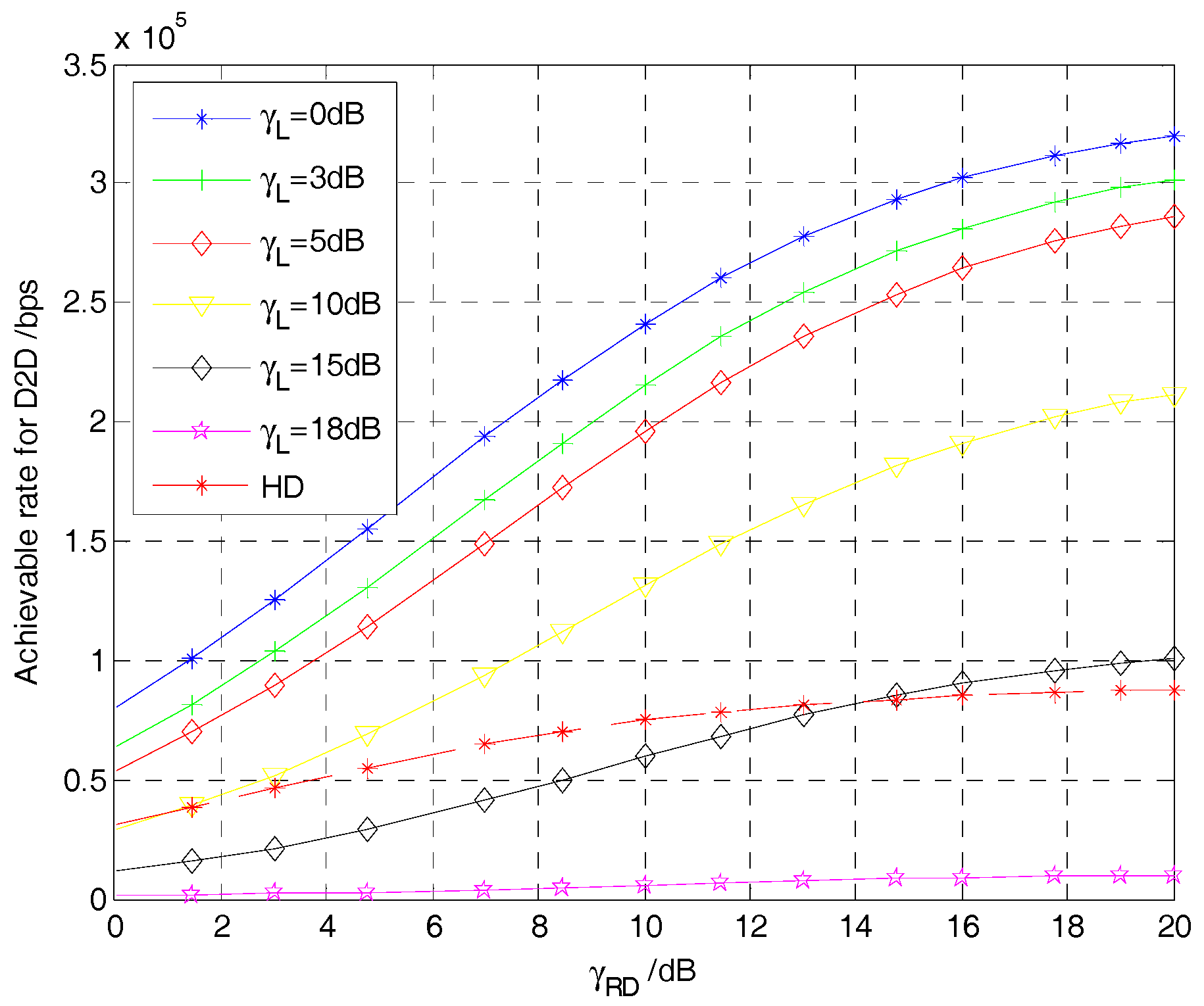
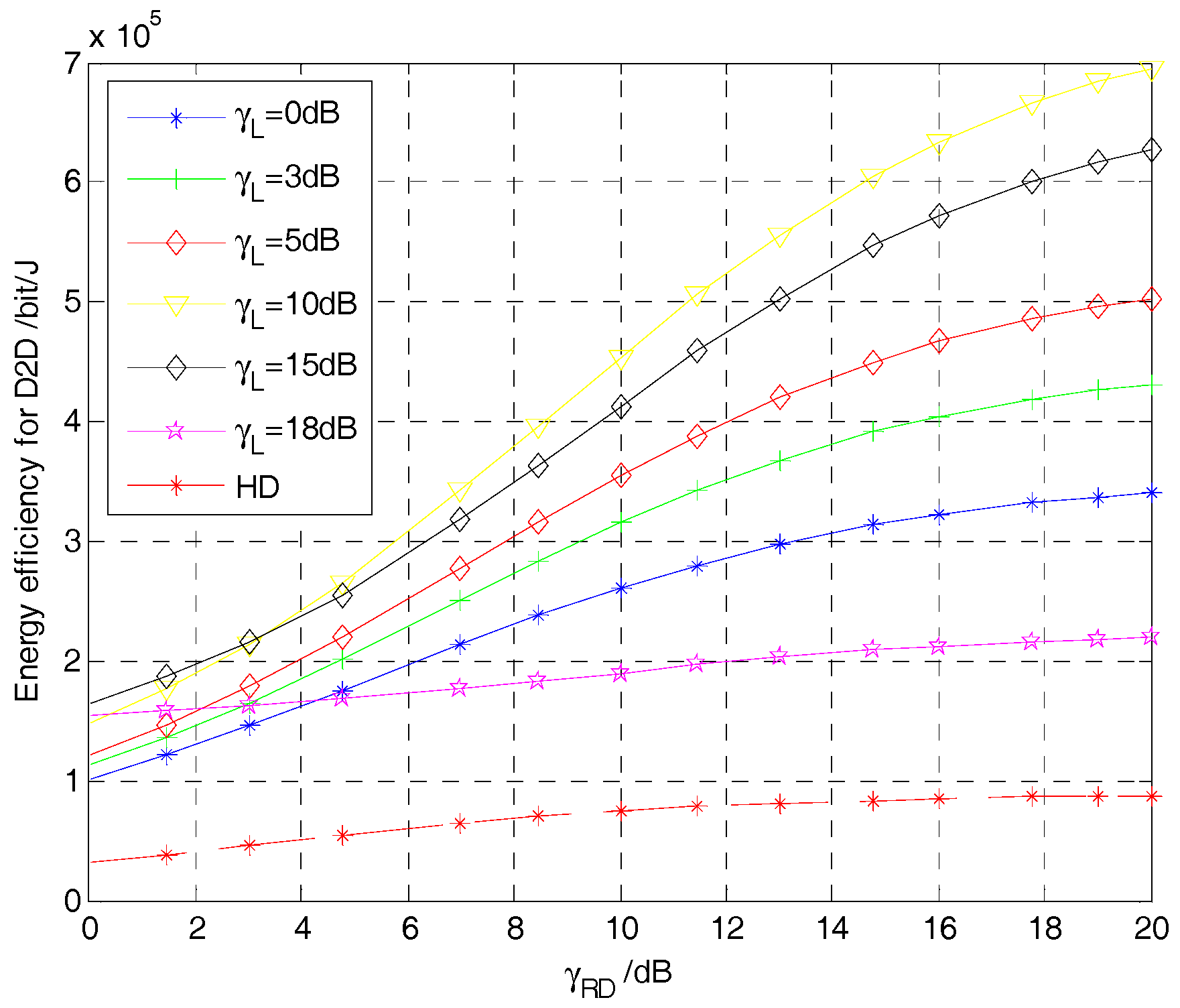
4. Simulation Results
5. Conclusions
Acknowledgments
Author Contributions
Conflicts of Interest
References
- Lin, X.; Andrwes, J.; Ghosh, A.; Ratasuk, R. An overview of 3GPP device-to-device proximity services. IEEE Commun. Mag. 2014, 52, 40–48. [Google Scholar] [CrossRef]
- Asadi, A.; Wang, Q.; Mancuso, V. A survey on device-to-device communication in cellular networks. IEEE Commun. Surv. Tutor. 2014, 16, 1801–1819. [Google Scholar] [CrossRef]
- Doppler, K.; Rinne, M.; Wijting, C.; Ribeiro, C.; Hugl, K. Device-to device communication as an underlay to LTE-Advanced networks. IEEE Commun. Mag. 2009, 47, 42–49. [Google Scholar] [CrossRef]
- Corson, M.; Laroia, R.; Li, J.; Park, V.; Richardson, T.; Tsirtsis, G. Toward proximity-aware internetworking. IEEE Wirel. Commun. Mag. 2010, 17, 26–33. [Google Scholar] [CrossRef]
- Yang, M.J.; Lim, S.Y.; Park, H.J.; Park, N.H. Solving the data overload: Device-to-device bearer control architecture for cellular data offloading. IEEE Veh. Technol. Mag. 2013, 8, 31–39. [Google Scholar] [CrossRef]
- Phunchongharn, P.; Hossain, E.; Kim, D. Resource allocation for device-to-device communications underlaying LTE-Advanced networks. IEEE Wirel. Commun. Mag. 2013, 20, 91–100. [Google Scholar] [CrossRef]
- Feng, D.Q.; Lu, L.; Yuan-Wu, Y.; Li, G.; Li, S.; Feng, G. Device-to-device communications in cellular networks. IEEE Commun. Mag. 2014, 52, 49–55. [Google Scholar] [CrossRef]
- Yu, C.H.; Doppler, K.; Ribeiro, C.; Tirkkonen, O. Resource sharing optimization for device-to-device communication underlaying cellular networks. IEEE Trans. Wirel. Commun. 2011, 10, 2752–2763. [Google Scholar]
- Yu, G.D.; Xu, L.; Feng, D.; Yin, R.; Li, G.Y.; Jiang, Y. Joint mode selection and resource allocation for device-to-device communications. IEEE Trans. Commun. 2014, 62, 3814–3824. [Google Scholar] [CrossRef]
- Ye, Q.; Al-Shalash, M.; Caramanis, C.; Andrews, J.G. Device-to-device modeling and analysis with a modified Matern hardcore BS location model. In Proceedings of the IEEE GLOBECOM, Atlanta, GA, USA, 9–13 December 2013; pp. 1825–1830.
- Lin, X.; Andrews, J.G. Optimal spectrum partition and mode selection in device-to-device overlaid cellular networks. In Proceedings of the IEEE GLOBECOM, Atlanta, GA, USA, 9–13 December 2013; pp. 1837–1842.
- Min, H.; Seo, W.; Lee, J.; Park, S.; Hong, D. Reliability improvement using receive mode selection in the device-to-device uplink period underlaying cellular networks. IEEE Trans. Wirel. Commun. 2011, 10, 413–418. [Google Scholar] [CrossRef]
- Jiang, Y.; Liu, Q.; Zheng, F.; Gao, X.; You, X. Energy-Efficient Joint Resource Allocation and Power Control for D2D Communications. IEEE Trans. Veh. Technol. 2016, 65, 6119–6127. [Google Scholar] [CrossRef]
- Hakola, S.; Chen, T.; Lehtom, J.; Koskela, T. Device-to-device (D2D) communication in cellular network–performance analysis of optimum and practical communication mode selection. In Proceedings of the IEEE Wireless Communications and Networking Conference, Sydney, Australia, 18–21 April 2010.
- Janis, P.; Koivunen, V.; Ribeiro, C.; Korhonen, J.; Doppler, K.; Hugl, K. Interference-aware resource allocation for device-to-device radio underlaying cellular networks. In Proceedings of the IEEE 69th Vehicular Technology Conference Spring, Barcelona, Spain, 26–29 April 2009.
- Zhao, W.; Wang, S. Resource Allocation for Device-to-Device Communication Underlaying Cellular Networks: An Alternating Optimization Method. IEEE Commun. Lett. 2015, 19, 1398–1401. [Google Scholar] [CrossRef]
- Xu, S.; Wang, H.; Chen, T.; Huang, Q.; Peng, T. Effective interference cancellation scheme for device-to-device communication underlaying cellular networks. In Proceedings of the IEEE Vehicular Technology Conference Fall, Ottawa, ON, Canada, 6–9 September 2010.
- Chen, X.; Proulx, B.; Gong, X.; Zhang, J. Exploiting social ties for cooperative D2D communications: A mobile social networking case. IEEE/ACM Trans. Netw. 2015, 23, 1471–1484. [Google Scholar] [CrossRef]
- Laneman, J.N.; Tse, D.N.C.; Wornell, G.W. Cooperative Diversity in Wireless Networks: Efficient Protocols and Outage Behavior. IEEE Trans. Inf. Theory 2004, 50, 3062–3080. [Google Scholar] [CrossRef]
- Zheng, D.; He, C.; Jiang, L.; Ding, J.; Zhang, Q. Power Optimization for D2D Communication Based on Rate Requirement in Relay-Assisted Networks. In Proceedings of the 2015 IEEE International Conference on Communication Workshop (ICCW), London, UK, 8–12 June 2015; pp. 686–691.
- Han, Y.; Pandharipande, A.; Ho Ting, S. Cooperative Spectrum Sharing via Controlled Amplify-and-Forward Relaying. In Proceedings of the IEEE Wireless Communications and Networking Conference (WCNC), Singapore, 11–13 December 2013; pp. 3346–3351.
- Pei, Y.; Liang, Y.C. Resource allocation for device-to-device communications overlaying two-way cellular networks. IEEE Trans. Wirel. Commun. 2013, 12, 3611–3621. [Google Scholar] [CrossRef]
- Zhou, B.; Hu, H.; Huang, S.Q.; Chen, H.H. Intracluster device-to-device relay algorithm with optimal resource utilization. IEEE Trans. Veh. Technol. 2013, 62, 2315–2326. [Google Scholar] [CrossRef]
- Zhao, M.; Gu, X.; Wu, D.; Ren, L. A Two-Stages Relay Selection and Resource Allocation Joint Method for D2D Communication System. In Proceedings of the IEEE Wireless Communications and Networking Conference (WCNC), Doha, Qatar, 3–6 April 2016.
- Han, Y.; Pandharipande, A.; Ho Ting, S. Cooperative Decode-and-Forward Relaying for Secondary Spectrum Access. IEEE Trans Wirel. Commun. 2009, 8, 4945–4950. [Google Scholar]
- Zhang, G.; Yang, K.; Wu, S.; Mei, X.; Zhao, Z. Efficient power control for half-duplex relay based D2D networks under sum power constraints. Wirel. Netw. 2015, 21, 2345–2355. [Google Scholar] [CrossRef]
- Zhang, G.; Yang, K.; Liu, P.; Wei, J. Power Allocation for Full-Duplex Relaying-Based D2D Communication Underlaying Cellular Networks. IEEE Trans. Veh. Technol. 2015, 64, 4911–4916. [Google Scholar] [CrossRef]
- Riihonen, T.; Werner, S.; Wichman, R. Hybrid full-duplex/half-duplex relaying with transmit power adaptation. IEEE Trans. Wirel. Commun. 2011, 10, 3074–3085. [Google Scholar] [CrossRef]
- Kim, T.; Dong, M. An Iterative Hungarian Method to Joint Relay Selection and Resource Allocation for D2D Communications. IEEE Wirel. Commun. Lett. 2014, 3, 625–628. [Google Scholar]







© 2017 by the authors. Licensee MDPI, Basel, Switzerland. This article is an open access article distributed under the terms and conditions of the Creative Commons Attribution (CC BY) license ( http://creativecommons.org/licenses/by/4.0/).
Share and Cite
Dun, H.; Ye, F.; Li, Y. Transmission Power Adaption for Full-Duplex Relay-Aided Device-to-Device Communication. Symmetry 2017, 9, 38. https://doi.org/10.3390/sym9030038
Dun H, Ye F, Li Y. Transmission Power Adaption for Full-Duplex Relay-Aided Device-to-Device Communication. Symmetry. 2017; 9(3):38. https://doi.org/10.3390/sym9030038
Chicago/Turabian StyleDun, Hui, Fang Ye, and Yibing Li. 2017. "Transmission Power Adaption for Full-Duplex Relay-Aided Device-to-Device Communication" Symmetry 9, no. 3: 38. https://doi.org/10.3390/sym9030038
APA StyleDun, H., Ye, F., & Li, Y. (2017). Transmission Power Adaption for Full-Duplex Relay-Aided Device-to-Device Communication. Symmetry, 9(3), 38. https://doi.org/10.3390/sym9030038

