Supramolecular Chirality: Solvent Chirality Transfer in Molecular Chemistry and Polymer Chemistry
Abstract
: Controlled mirror symmetry breaking arising from chemical and physical origin is currently one of the hottest issues in the field of supramolecular chirality. The dynamic twisting abilities of solvent molecules are often ignored and unknown, although the targeted molecules and polymers in a fluid solution are surrounded by solvent molecules. We should pay more attention to the facts that mostly all of the chemical and physical properties of these molecules and polymers in the ground and photoexcited states are significantly influenced by the surrounding solvent molecules with much conformational freedom through non-covalent supramolecular interactions between these substances and solvent molecules. This review highlights a series of studies that include: (i) historical background, covering chiral NaClO3 crystallization in the presence of d-sugars in the late 19th century; (ii) early solvent chirality effects for optically inactive chromophores/fluorophores in the 1960s–1980s; and (iii) the recent development of mirror symmetry breaking from the corresponding achiral or optically inactive molecules and polymers with the help of molecular chirality as the solvent use quantity.1. Introduction
Since the late 19th century, understanding mirror symmetry breaking (MSB) has received much attention among scientists from diverse disciplines, proven by the numbers of monographs, comprehensive reviews and several original papers [1–51]. For example, the origin of biomolecular handedness on the Earth is one of the hottest debated topics among scientists with respect to the birth of our universe and our life. Actually, except for achiral glycine, essential amino acids in proteins are l-form. All sugar moieties in DNA and RNA are d-form. The majority of scientists agree with the idea that natural selection relies on a matter of chance to induce preference; an event of spontaneous symmetry breaking. However, a minority of scientists is strongly convinced that the fundamental lack of mirror image symmetry on primordial Earth inevitably leads to the worlds of l-amino acids and d-sugars. Although it is already established that left-right symmetry is definitively broken at the elemental particle, subatomic and atomic levels [52–66], the detection of dissymmetry at the molecular level, so-called molecular parity violation (MPV), remains an unsolved issue. It is much debated whether the MPV hypothesis is valid and, even if it is true, whether it is detectable spectroscopically or by other acceptable methods [67–76].
Nevertheless, controlled mirror symmetry breaking (CMSB) might be one of the keys in the areas of organic and inorganic chemistry, supramolecular science, polymer science and materials science [77–79]. When most molecules and polymers have specific, handed stereogenic centers and/or handed stereogenic bonds, these substances become optically active or chiral. It is noted that, even if these substances are optically inactive, it does not mean that they are achiral. They may adopt a mixture of racemates or exist because of time-averaged substances in a mirror symmetric potential energy surface. It should be noted that optical activity should be recognized as an observable and/or measurable physical quantity as chiroptical signals in the ground and photoexcited states, while the definition of chirality means structural chiral substance itself, regardless of the lifetime and statistical distribution.
Two optically-inactive, but chirally-metastable molecules, gauche n-butane and twisted boat cyclohexane, and optically-inactive cyclobutane and ammonia are shown in Figure 1. n-Butane and cyclohexane are credited as achiral molecules. For example, n-butane has three rotational isomers, an enantiomeric pair of gauche forms (D2-symmetry, thermally metastable) and one achiral trans form (the most stable conformer thermally) [80,81]. Similarly, cyclohexane has two conformational achiral isomers (a stable chair and metastable boat forms) and an enantiopair of twist boats (D2-symmetry, metastable). However, one cannot observe any detectable optical activity of these gauche n-butane and twist boat cyclohexane because of their dynamic behavior, small population and ultrashort lifetime in the thermally excited states. Cyclobutane, being optically inactive and achiral, undergoes a flip-flop motion between two inversion isomers existing in a double-well minimal potential, like the ammonia molecule (Figure 1).
A possible chiral species that is detectable chiroptically is classified into two: intra- and inter-molecular origins. The former is ascribed to stereogenic centers and/or stereogenic bonds embedded in the chiral species themselves. These are ascribed on direct, straightforward chiral induction biases. The latter arises from the external influence of molecular species, including stereogenic centers and/or stereogenic bonds. These are indirect chiral induction biases. The origin of the latter is ascribed to the external influence of molecular species, including stereogenic centers and/or stereogenic bonds. These are regarded as indirect, but rather faint chiral induction biases.
With respect of the latter case, one should imagine how a target chiral/achiral molecule behaves in a liquid state: (i) a target chiral molecule is surrounded by solvent molecules; (ii) an achiral molecule is surrounded by chiral solvent molecules; (iii) a chiral molecule is surrounded by chiral solvent molecules; (iv) an achiral molecule is surrounded by achiral solvent molecules; and (v) a chiral molecule is surrounded by chiral solvent molecules. However, although these are the faint chiral induction biases, chiral induction biases can be amplified with the help of solvent quantity. Actually, the chiroptical properties in the ground and photoexcited states of optically-inactive molecules, supramolecules and polymers are significantly affected by the surrounding solvent molecules through non-covalent supramolecular interactions between these substances and solvent molecules. The chiroptically detectable chiral species originate from a subtle balance between repulsive and attractive forces in existing chiral molecules and surrounding media.
To detect the optical active substances in the ground states, circular dichroism (CD) and optical rotation dispersion (ORD) in electronic transition and vibrational circular dichroism and Raman optically activity in vibronic transition are useful. Contrarily, circularly polarized luminescence (CPL) allows us to detect the optical activity of chiral species in the photoexcited states. These structures are predictable computationally using the Gaussian 09 package [82–85].
This review focuses on: (i) the historical background, covering chiral NaClO3 crystallization with sugar molecules in 1898 [4]; (ii) the early works of molecular chirality-induced MSB transfer experiments in 1960s–1990s in the presence of the solvent quantity of chiral molecules; and (iii) recent developments in solvent chirality-induced MSB from the corresponding achiral molecules, supramolecules and polymers.
2. Chiral Solvent and Chiral Additive Effects without Chemical Reactions
2.1. Optically-Active Molecules in the Ground State
In the late 19th century, Kipping and Pope reported the first successful sugar chirality transfer experiments of chiral NaClO3 crystallization in water solutions of d-dextrose, d-mannitol and d-dulcitol [1,2,4]. In the 1960s, several workers studied the solvent chirality transfer of several small achiral and/or CD-silent molecules in isotropic solutions [86]. Mason et al. [87] observed for the first time an induced circular dichroism (ICD) phenomenon at forbidden d–d transitions of [Co(NH3)6](ClO4)3 induced by coordination with diethyl-(+)-tartrate in aqueous solution. Bosnich was the first to find ICD effects at n–π transitions of aromatic ketones, including benzyl and benzophenone in (S,S)-2,3-butanediol (Figure 2) [88]. A recent vibrational experimental and ab initio theoretical study revealed that benzyl adopts an inherently twisting conformation due to the H–H repulsion [89]. Hayward et al. [90] studied the ICD effects of ten aliphatic ketones (acyclics and cyclics) in six chiral tetrahydrofuranols (Figure 2). Noack suggested the existence of a molecular complex with a 1:1 molar ratio between these ketones and l-menthol (Figure 2) [91], possibly, due to chiral OH/O interactions [92]. Many kinds of chiral alcohols are used to induce CD-active ketones in solution (Figure 3).
2.2. Optically Active Molecules in the Photoexcited State
In a series of studies aiming to determine the absolute stereochemical configuration of non-chromophoric alkyl alkanols, amines and more complex natural products in the UV-Vis region, Dillion and Nakanishi used optically-inactive bis(hexafluoroacetylacetonate)Cu(II) (Cu(hfac)2), bis(acetylacetonate)Ni(II) (Ni(acac)2) and tris(dipivalomethanato)Pr(III) (Pr(dpm)3) as molecular chromophoric probes in the UV-visible region (Figure 4) [93–96]. Furthermore, Anderson et al. [97] reported CD signals from optically-inactive tris(2,2-dimethyl-6,6,7,7,8,8,8-heptafluoro-3,5-octanedionate) Eu(III) (Eu(fod)3) (possibly, as a mixture of Δ- and Λ-forms), known as an 1H-NMR shift reagent, induced by various chiral 2-alkanols, 2-arylcyclohexanols, 1-phenylethylamine, amphetamine, l-menthol and a series of sesquiterpene-derived alcohols in chloroform and CCl4 (Figure 4).
Aiming at absolute stereochemical configuration of non-chromophoric alkanols and alkyl amines in the UV-Vis region by CPL spectroscopy, Brittain and Richardson [98] found that, in a systematic study of the CPL characteristics of tris(3-trifluoroacetyl-d-camphorato)Eu(III) (Eu(facam)3), the CPL characteristics (normalized as the glum value at two 5D0 → 7F1 and 5D0 → 7F2 transitions) greatly depend on the nature of chelating solvents, including Me2SO, DMF, a series of primary, secondary and several tertiary amines with/without dimethyl sulfoxide (Me2SO), a series of primary, secondary and a tertiary alkanol with/without Me2SO, a series of aliphatic ketones with/without Me2SO and chlorinated solvents with/without Me2SO (Figure 4). When (Eu(facam)3) was dissolved in tert-butylamine, sec-butanol and tert-butanol with dimethyl sulfoxide (DMSO), the magnitude of the glum value attained ~−2.0, which is the theoretical limit of CPL signals. These novel results led to further reports of several CD-silent, but CPL-active β-diketonate rare-earth complexes (Eu3+ and Tb3+) dissolved in several chiral amines and chiral alcohol (Figure 4) [99,100]. Among these complexes, the glum value of Eu(dpm) dissolved in chiral aromatic amine, (R)-1-phenyletylamine, showed −0.5 at 5D0 → 7F1 transitions (594 nm), while the glum values of other Eu(fod), Eu(dbm) and Eu(bzac) in (R)-1-phenyletylamine decreased to be in the order of −10−2 at 5D0 → 7F1 transitions, possibly due to overcrowded coordination between the phenyl moieties of diketonate and aromatic amine.
2.3. Optically Active Supramolecules in the Ground State
Intra- and inter-molecular CH/π interactions, existing ubiquitously among most organic substances, have recently been established as one of the weakest hydrogen bonding interactions [98]. Aoyama et al. [101] designed a resorcinol cyclic tetramer bearing four long alkyl chains (host molecule) by cooperative intermolecular CH/π interaction with various chiral alkanols (Figure 5). The host efficiently binds secondary alcohols, such as (R)- and (S)-2-pentanol and (R)- and (S)-1-phenylethanol, a tricyclic secondary alcohol (3R)- and (3S)-endo-tricyclo[5.2.1.02.6]deca-4,8-dien-3-ol, terpenes, such as d- and l-menthol, epimeric borneol and isoborneol and steroids, such as epicholestanol and cholesterol, characterized by CD and 1H-NMR spectroscopies (Figure 6). The binding constant attains the order of K = 1–54 (M−1) at ambient temperature. However, (S)-limonene and l-menthyl chloride did not induce any detectable CD signals, due to the absence of OH groups in these guests.
Achiral CD-silent Zn bis-porphyrin linked with a flexible linker gave rise to CD-active 1:1 and 1:2 host-guest complexes with chiral amines and chiral alcohols, arising from relatively intense Zn/N and Zn/O coordination abilities. Berova, Nakanishi and coworkers [102–104] designed molecular chromophoric tweezers based on two Zn porphyrins linked with a long floppy pentamethylene diester to bind a number of chiral diamines, amino acid derivatives and amino alcohol derivatives in n-hexane, characterized by CD spectroscopy (Figures 7 and 8).
Borovkov and Inoue [105–109] showed that a twisted zinc porphyrin rotamer linked with a shorter ethane spacer can efficiently switch between syn- and anti- forms with P(plus)- and M(minus) sense by step-wise coordination with a family of chiral secondary amines and chiral secondary alcohols, proven by variable temperature UV-Vis and CD spectra and 1H-NMR spectra (Figures 7 and 8). The binding constant (K) was attained in the order of 103–104 M−1 in CH2Cl2, depending on the nature of the amines. The host-ligand titration curve of the Soret (B) band showed that UV-Vis and CD intensities reach a level-off at host:ligand = 1:1000 (in molar ratio). This suggested that a highly excess amount of chiral guest amines can induce chiral geometry in CD-silent dimeric porphyrin. This led us to the idea that the solvent quantity (100–101 M−1) of chiral fluid can induce certain chiral geometry in carefully designed non-chiral hosts in double-minimal-well or multi-minimal-well potentials dissolved in fluidic condition at ambient temperature.
Actually, Aida et al. [110] designed a supramolecular dimeric porphyrin that is capable of forming a twisted molecular box by tetramerization dissolved in chiral hydrocarbon, (S)- and (R)-limonene through multipoint non-covalent interactions. This was proven by analyzing CD spectra at the Soret band, as functions of limonene ee and the time-course CD change in a dilute condition (Figure 9).
2.4. Optically Active Polymers in the Ground State
Chiral fluidic molecules facilitate the induction of optically-active and/or helical polymers from optically-inactive, achiral and/or CD-/CPL-silent polymers with the help of van der Waals (London dispersion), CH/π, dipole-dipole interactions in the absences of distinct intermolecular hydrogen bonding, Coulombic, charge-transfer and metal-ligand coordinating interactions.
Green et al. observed for the first time the generation of optically active poly(n-hexyl isocyanate) (PHIC) with a preferred handed helix in non-racemic solvents, such as (S)-1-chloro-2-methylbutane and a series of (R)-2-chloroalkanes, proven by CD signals (Figures 10 and 11) [111,112].
Yashima et al. reported generating optically-active cis-transoid polyphenylacetylene conveying carboxyl groups due to hydrogen bonding interactions with various chiral amines and chiral amino alcohols in polar DMSO (Figure 12) [113–115]. Optically-inactive cis-poly(phenylacetylene) and chiral sources (amines and amino alcohols) are dissolved in a high concentration in polar DMSO (Figures 13 and 14).
2.5. Optically Active Molecular Aggregates in the Ground State
Even if chiral fluidic molecules did not induce any detectable CD signals toward optically-inactive and/or achiral molecules, these molecules often became CD-active species as a suspension in fluidic solvent(s) during aggregation process with the help of van der Waals, CH/π, π/π stacking, dipole-dipole and hydrogen bonding interactions. Meijer et al. [79,115–117] demonstrated the chiroptical induction ability of terpenoids, (S)- and (R)-citronellic acid, (S)- and (R)-citronellol and (S)-2,6-dimethyloctane as chirality inducers to a well-defined disc-shaped molecule with C3 symmetry and an oligophenylene bearing tri(n-dodecyloxy)phenyl and as one end group and a ureidotriazine moiety with multiple hydrogen-bonding ability as the other side, by cooperative π–π stacking (Figure 15). These chiral aggregations are possibly due to chiral OH/N, OH/O and CH/π interactions upon very slow cooling (1 K per minute) confirmed by variable temperature CD spectroscopy [79,115–117]. CD-active supramolecular π–π stacks of optically-inactive guanosine derivative are formed with the help of amino acids (not solvent quantity) [118]. Optically-inactive cation-charged pyrene derivatives were generated with the help of anionic tryptophan as a chiral dopant (not solvent quantity), due to intense Coulombic interactions [119]. Recently, Würthner et al. [120] used naturally occurring limonene as a chiral solvent to successfully generate helical nanofiber from optically-inactive perylene bisamide derivatives carrying tri(n-dodecyloxy)phenyl groups, proven by variable temperature CD measurement and AFM observation (Figure 16).
2.6. Optically Active Polymer Aggregates in the Ground State
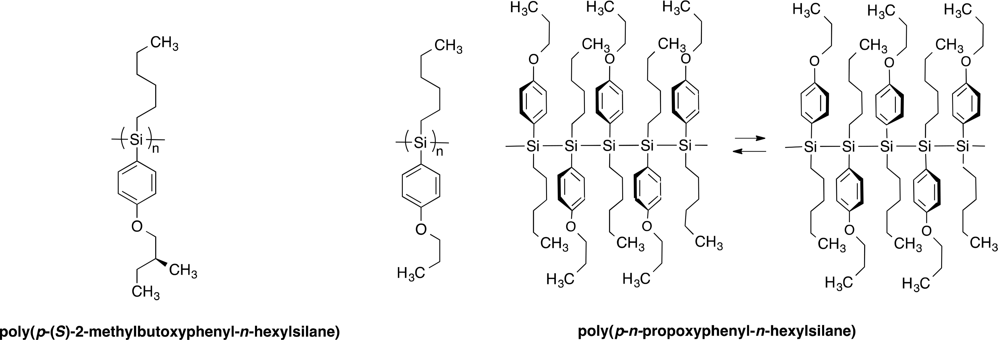
The author and coworkers have reported that a certain polysilane bearing (S)-2-methylbutoxyphenyl and n-hexyl groups dissolved in tetrahydrofuran (THF) does not show any detectable CD signals in the UV-Vis region, regardless of the presence of chiral moieties at remote positions from the Si–Si main chain (Figure 17). This polysilane is CD-silent, but abruptly revealed intense bisignate CD signals in the UV region due to the Siσ-Siσ* transition by adding methanol (aggregation-inducing poor solvent) [121]. This finding led us to the chiral solvent-induced aggregation of CD-silent polysilane bearing n-propoxyphenyl and n-hexyl groups dissolved in a mixture of toluene and methanol (Figure 17) [122]. Here, the authors used the solvent quantity of a series of chiral alcohols available commercially (Figure 18).
Our molecular mechanics (MM) calculation using the PCFF (polymer consistent force field) tuned for polymers revealed that, regardless of isotactic (it) and syndiotactic (st) sequences, the polysilane adopts a CD-silent helical conformation with an equal probability of left- and right-helices deriving from a double-well potential energy surface (Figure 19a) [121], similar to the cases of aromatic/aliphatic ketones, twisted cyclohexane, n-butane and cyclobutane. A possible pathway for this alcohol-induced CD originates from chiral OH/O interactions [121].
As shown in Figure 19b, the aggregates of the polysilane with n-propoxyphenyl and n-hexyl groups clearly showed exciton couplet CD signals at Siσ-Siσ* transitions (~350 nm and ~370 nm) in response to the molecular chirality of 2-phenylethanol [121]. However, regardless of a pair of enantiopure (S)- and (R)-alcohols, we are aware that CD profiles (wavelength extrema and absolute magnitude) are exactly in non-mirror-image relation, although we did not mention this subtle difference in the original paper [121]. This non-mirror-image relation may be ascribed to some impurities, as claimed in several papers [68,71,73,117]. It may also infer other unknown reasons, such as an inherent mirror symmetry breaking at a global level upward, our universe scale [123,124] and macroscopic MPV effects [21,37,43,46,51,67,72,74].
The commercially available chiral alcohols shown above are very expensive compared to common chemicals. However, this knowledge led us to the following terpene chirality transfer experiments that were successful in generating CD- and/or CPL-active π-conjugative polymer as aggregate and non-aggregate states from the corresponding CD-silent polymers existing as a racemic mixture of P- and M-helices in a double-well potential (Figure 20) [125–129]. Among several terpenes (Figure 21), nonpolar (S)- and (R)-limonenes are versatile chiral solvents that efficiently induce CD- and CPL-activity in these polymers as aggregate and non-aggregate forms, because they are inexpensive, non-toxic and recyclable liquids with a human-friendly flavor. It is worth noting that carvone and limonene oxide (a mixture of trans and cis) did not induce any detectable CD- and CPL-active polymer aggregates, possibly due to the presence of polar oxygen atoms [125,128]. However, nonpolar (S)- and (R)-α-pinenes are inducible to CD- and CPL-active polymers [126]. We assume that, similar to the non-coplanar ability of biphenyl, due to H–H repulsion (Figure 22), the inherent twisting ability between the nearest neighboring fluorene rings and between fluorene and the adjacent vinylene moiety is responsible for the double-well potential, leading to the instability of coplanar fluorene ring conformations (Figure 23) [125–128,130,131]. Indeed, fluorenes linked with a C≡C triple bond did not produce any CD-active aggregate, due to the lack of H–H repulsion (Figure 23) [128].
Holder et al. first reported that solvent chirality transfer of two (S)-2-methylbutoxy derivatives without specific functional groups allows the generation of optically-active poly(methylphenylsilane) and poly(methyl-n-hexylsilane), which are inherently nonpolar chemical structures (Figure 24) [132,133], proven by the CD spectra. This led us to examine limonene chirality transfer aggregation in nonpolar three poly(dialkylsilane)s that are definitively in a CD-silent state in a homogeneous solution. Our MM calculation and UV absorption spectra indicated to us that three poly(dialkylsilane)s exist as a mixture of P-73 and M-73 helices [134], leading to CD- and/or CPL-silent states, as well as poly(methylphenylsilane) [133]. Recently, Akagi et al. showed that water-soluble poly(p-phenylene) bearing achiral cationic pendants turns into CD- and CPL-active spherulites suspended in mixed methanol-water (1:1 (v/v)) with the help of (S)- and (R)-binaphthols carrying anionic pendants (Figure 25) [135]. Furthermore, Campbell, Fuchter and coworkers obtained CPL- and CD-active thin films consisting of poly[(9,9-di-n-octylfluorenyl-2,7-diyl)-alt-(benzo[2,1,3]thiadiazol-4,8-diyl)] (F8BT), 6%–53% of 1-aza[6]helicenes by weight and 52% of [7]helicene by weight (Figure 26) [136]. If the composite films are regarded as solid solution systems, it is possible that a mixture of achiral optically-inactive and/or achiral polymers and chiral molecular solids can become CD-active and/or CPL-active solid materials.
2.7. Optically Active Polymer Solid Crystals in the Ground State by Molecular Chirality Vapor Transfer
Molecular crystals often show polymorphs that can form several stable and metastable packing structures by containing external guest molecules into the cavity of the crystals. In 1990, Guerra et al. reported that syndiotactic polystyrene (s-PS) can crystallize into α, β and γ-forms depending on cooling conditions from the melt state and co-crystallize as δ and ɛ-forms with external host molecules (Figure 27) [137]. The same research team found that, although a δ-phase s-PS thin film becomes optically active crystals, the sign of CD signals due to the allowed π–π* transition of phenyl rings at ≈200 nm is determined by the molecular chirality of the terpenes [138]. Nanoporous cavity and channels of the δ-phase are responsible for this chiral molecular sorption induced chiral crystallization. These features are characterized by CD, VCD, wide-angle-X-ray diffractometer (WAXD) and atomic force microscopy (AFM) [137–140].
However, although they initially thought that carvone chirality determines the sign of chiral δ-phase s-PS [138] by CD spectroscopy, a more recent study refuted the previous idea and showed that the signs of CD and VCD signal δ-phase s-PS film rely on the essential nature only of the polymer host supramolecular chirality, because these chiroptical signs are not determined by carvone chirality, (S) or (R), proven by the VCD spectra of the δ-phase s-PS film used [141]. A recent VCD and theoretical study of (R)-limonene revealed that (R)-limonene has three stable rotational isomers in which the C–C bond between the isopropenyl group and equatorial cyclohexene ring can rotate freely [142]. The relative population of these three forms is approximately 1:1:1 at ambient temperature. This result should lead to the idea that δ-phase s-PS film has a function of physisorption of a certain specific rotational isomer of carvone, regardless of carvone chirality. The stereocenter of carvone is not deterministic.
3. Chiral Solvents and Chiral Additive Effects Leading to Chemical Reactions
3.1. Photochemical Cyclization
In the early 1970s, Kagan et al. [143,144] and Calvin et al. [145] independently applied a photochemical cyclization reaction—so-called absolute asymmetric synthesis—to the corresponding achiral or optically-inactive precursors in achiral solvents (benzene) by irradiating a circularly-polarized light source to synthesize non-racemic [6]helicene, but less than 1% ee. Dutch chemists obtained optically active [6]helicene in a range of 0.2%–2.1% ee by photochemically cyclizing the corresponding optically inactive precursor dissolved in several chiral solvents with the use of unpolarized light as an irradiating source (Figure 28). This uniqueness may arise from intramolecular the CH/π interaction [146] with the help of chiral solvents [101,147].
3.2. Catalytic and Electrochemical Polymerization
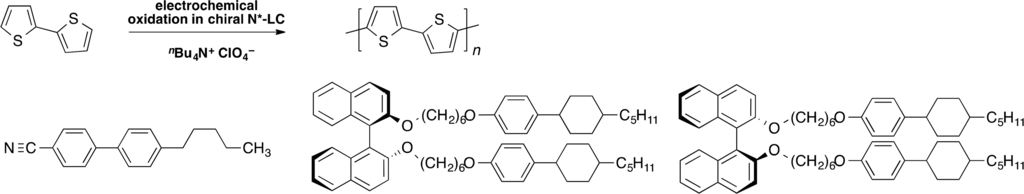
Chiral liquid crystalline media are regarded as viscous chiral solvents able to serve as chiral influences to efficiently generate optically-active helical π-conjugated polymers. Since 1998, Akagi et al. have developed the chiral nematic liquid crystal field with the induced polymerization of various polymerizable monomers involving acetylene gas with the help of catalytic and electrochemical polymerization reactions (Figures 29 and 31) [77,148–153]. The helical shapes of polymers during polymerization are retained, because the resulting polymers are insoluble in these chiral liquid crystals.
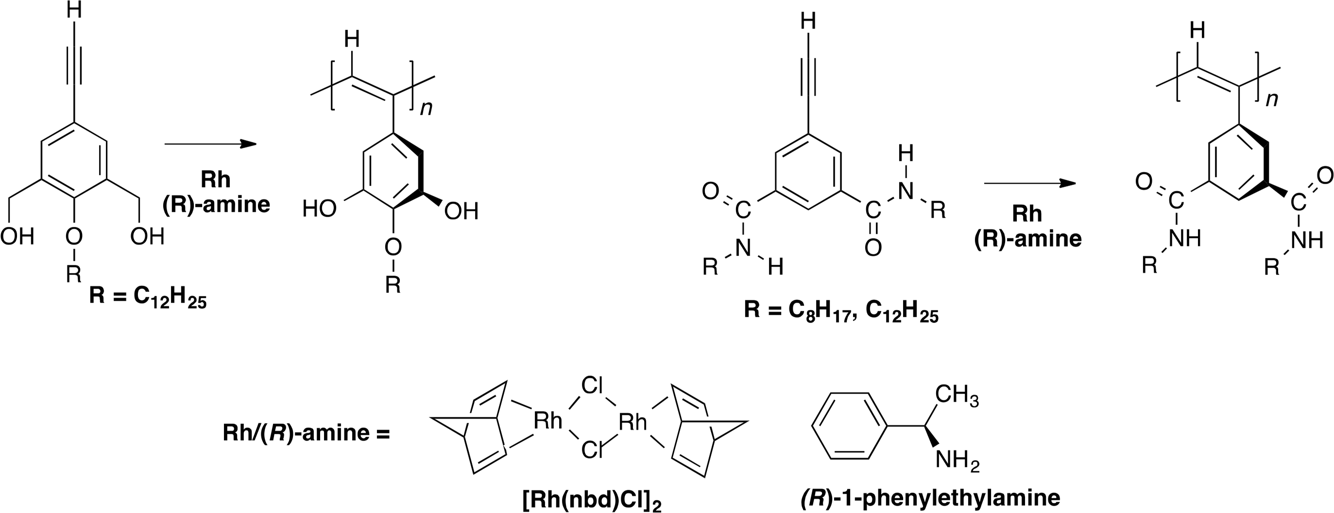
Aoki et al. obtained CD-active helical poly(1-phenylacetylene) derivatives from the corresponding acetylene monomer carrying well-designed substituents with a hydrogen bonding ability between the nearest neighbor side chains in the presence of achiral Rhodium catalysis and chiral (R)-2-phenylethylamine as co-catalyst (Figure 32) [154,155]. Kwak et al. [156] successfully yielded optically-active cis-cisoid poly(diphenylacetylene)s by polymerizing achiral diphenylacetylene carrying p-trimethylsilylphenyl and unsubstituted phenyl groups in α-pinene with the help of achiral Rh catalyst (Figure 33). Nonpolar bicyclic rigid α-pinene was a very useful chiral solvent to efficiently provide the cis-cisoid poly(diphenylacetylene)s.
4. Conclusions
The present review highlighted chiral solvent-induced mirror symmetry breaking of several CD-silent, CPL-silent and/or optically-inactive molecules, supramolecules and polymers in the ground and photoexcited states. It should be emphasized that we always imagine the dynamic behaviors of twisting and/or flip-flop motions of optically-inactive molecules, supramolecules and polymers surrounded by fluidic solvent molecules and the existence of non-covalent interactions between these substances. Most chemical and physical properties of these molecules and polymers in the ground and photoexcited states might be influenced by chiral molecules, due to much conformational freedom. These invisible interactions between these chiral solvents and optically inactive substances are possible to spectroscopically visualize with the help of CD, CPL, ORD and VCD spectra, as well as computational prediction.
Acknowledgments
The author gratefully acknowledges Victor Borovkov for giving him an opportunity to present this review in the special issue of “Supramolecular Chirality”. The author thanks JSPS KAKENHI (the Japan Society for the Promotion of Science, Grants-in-Aid for Scientific Research) for the work (26620155). The author is thankful to Leigh McDowell (Nara Institute of Science and Technology, NAIST) for English proofing the manuscript.
Conflicts of Interest
The author declares no conflict of interest.
References
- Kipping, F.S.; Pope, W.J. Racemism and pseudoracemism. J. Chem. Soc 1897, 71, 989–1001. [Google Scholar]
- Kipping, F.S.; Pope, W.J. Enantiomorphism. J. Chem. Soc 1898, 73, 606–617. [Google Scholar]
- Japp, F.R. Stereochemistry and Vitalism. Nature 1898, 58, 54–55. [Google Scholar]
- Kipping, F.; Pope, W.J. The crystallisation of externally compensated mixtures. J. Chem. Soc. Trans 1909, 95, 103–108. [Google Scholar]
- Frank, F.C. On spontaneous asymmetric synthesis. Biochim. Biophys. Acta 1953, 11, 459–463. [Google Scholar]
- Wald, G. The origin of optical activity. Ann. N. Y. Acad. Sci 1957, 69, 352–368. [Google Scholar]
- Ulbricht, T.L.V.; Vester, F. Attempts to induce optical activity with polarized β-radiation. Tetrahedron 1962, 18, 629–637. [Google Scholar]
- Yamagata, Y. A hypothesis for the asymmetric appearance of biomolecules on earth. J. Theor. Biol 1966, 11, 495–498. [Google Scholar]
- Thiemann, W.; Darge, W. Experimental attempts for the study of the origin of optical activity on earth. Orig. Life 1974, 5, 263–283. [Google Scholar]
- Rein, D. Some remarks on parity violating effects of intramolecular interactions. J. Mol. Evol 1974, 4, 15–22. [Google Scholar]
- Letokhov, V.S. On difference of energy levels of left and right molecules due to weak interactions. Phys. Lett 1975, 53A, 275–276. [Google Scholar]
- Zel’dovich, B.Y.; Saakyan, D.B.; Sobel’man, I.I. Energy difference between right- and left-hand molecules, due to parity nonconservation in weak interactions of electrons with nuclei. Sov. Phys. JETP Lett 1977, 25, 94–97. [Google Scholar]
- Keszthelyi, L. Origin of the asymmetry of biomolecules and weak interaction. Orig. Life 1977, 8, 299–340. [Google Scholar]
- Harris, R.A.; Stodolsky, L. Quantum beats in optical activity and weak interactions. Phys. Lett 1978, 78B, 313–317. [Google Scholar]
- Hegstrom, R.A.; Rein, D.W.; Sandars, P.G.H. Calculation of the parity nonconserving energy difference between mirror-image molecules. J. Chem. Phys 1980, 73, 2329–2341. [Google Scholar]
- Mason, S.F. Origins of biomolecular handedness. Nature 1984, 311, 19–23. [Google Scholar]
- Hegstrom, R.A. Weak neutral current and β radiolysis effects on the origin of the biomolecular chirality. Nature 1985, 315, 749–750. [Google Scholar]
- Kondepudi, D.K.; Nelson, G.W. Weak neutral currents and the origin of biomolecular chirality. Nature 1985, 314, 438–441. [Google Scholar]
- Mason, S.F.; Tranter, G.E. The electroweak origin of biomolecular handedness. Proc. R. Soc. Lond. A 1985, A397, 45–65. [Google Scholar]
- Quack, M. On the measurement of the parity violating energy difference between enantiomers. Chem. Phys. Lett 1986, 132, 147–153. [Google Scholar]
- Barron, L.D. Symmetry and molecular chirality. Chem. Soc. Rev 1986, 15, 189–223. [Google Scholar]
- Applequist, J. Optical activity: Biot’s bequest. Am. Sci 1987, 75, 59–68. [Google Scholar]
- Wiesenfeld, L. Effect of atomic number on parity-violating energy differences between enantiomers, O, S, Se, Te. Mol. Phys 1988, 64, 739–745. [Google Scholar]
- Gardner, M. The New Ambidextrous Universe—Symmetry and Asymmetry from Mirror Reflections to Superstrings, 3rd ed.; Freeman: New York, NY, USA, 1990. [Google Scholar]
- Barra, A.L.; Robert, J.B.; Wiesenfeld, L. Possible observation of parity nonconservation by high-resolution NMR. Europhys. Lett 1988, 5, 217–222. [Google Scholar]
- Avetisov, V.A.; Goldanskii, V.I.; Kuz’min, V.V. Handedness, origin of life and evolution. Phys. Today 1991, 44, 33–41. [Google Scholar]
- Latel, H. Parity Violation in Atomic Physics. In Chirality—From Weak Bosons to the α-Helix; Janoschek, R., Ed.; Springer: Berlin, Germany, 1992; Chapter 1; pp. 1–17. [Google Scholar]
- Bonner, W.A. The origin and amplification of biomolecular chirality. Orig. Life Evol. Biosph 1991, 21, 59–111. [Google Scholar]
- Salam, A. The role of chirality in the origin of life. J. Mol. Evol 1991, 33, 105–113. [Google Scholar]
- Orgel, L. Molecular replication. Nature 1992, 358, 203–209. [Google Scholar]
- Kikuchi, O.; Kiyonaga, H. Parity-violating energy shift of helical n-alkane. J. Mol. Struct 1994, 312, 271–274. [Google Scholar]
- Bada, J.L. Origins of homochirality. Nature 1995, 374, 594–595. [Google Scholar]
- Cline, D.B. Physical Origin of Homochirality in Life. AIP Conference Proceedings Serier 379; AIP Press: Woodbury, NY, USA, 1996. [Google Scholar]
- Avalos, M.; Babiano, R.; Cintas, P.; Jiménez, J.; Palacios, J.; Barron, L.D. Absolute asymmetric synthesis under physical fields: Facts and fictions. Chem. Rev 1998, 98, 2845–2874. [Google Scholar]
- Bailey, J.; Chrysostomou, A.; Hough, J.H.; Gledhill, T.M.; McCall, A.; Clark, S.; Ménard, F.; Tamura, M. Circular polarization in star-formation regions: Implications for biomolecular homochirality. Science 1998, 281, 672–674. [Google Scholar]
- Laerdahl, J.; Schwerdtfeger, P. Fully relativistic ab initio calculations of the energies of chiral molecules including parity-violating weak interactions. Phys. Rev. A 1999, 60, 4439–4450. [Google Scholar]
- Szabó-Nagy, A.; Keszthelyi, L. Demonstration of the parity-violating energy difference between enantiomers. Proc. Natl. Acad. Sci. USA 1999, 96, 4252–4255. [Google Scholar]
- Feringa, B.L.; van Delden, R.A. Absolute asymmetric synthesis: The origin, control, and amplification of chirality. Angew. Chem. Int. Ed 1999, 38, 3418–3438. [Google Scholar]
- Avalos, M.; Babiano, R.; Cintas, P.; Jiménez, J.; Palacios, J. From parity to chirality: Chemical implications revisited. Tetrahedron Asymmetry 2000, 11, 2991–2404. [Google Scholar]
- MacDermott, A.J. The ascent of parity-violation: Exochirality in the solar system and beyond. Enantiomer 2000, 5, 153–168. [Google Scholar]
- Avalos, M.; Babiano, R.; Cintas, P.; Jiménez, J.L.; Palacios, J.C. Chiral autocatalysis: Where stereochemistry meets the origin of life. Chem. Commun 2000, 887–892. [Google Scholar]
- Frank, P.; Bonner, W.A.; Zare, R. On One Hand But Not the Other: The Challenge of the Origin and Survival of Homochirality in Prebiotic Chemistry. In Chemistry for the 21st Century; Keinan, E., Schechter, E., Eds.; Wiley-VCH: Weinheim, Germany, 2001; Chapter 11; pp. 175–208. [Google Scholar]
- Fujiki, M. Experimental tests of parity violation at helical polysilylene level. Macromol. Rapid Commun 2001, 22, 669–674. [Google Scholar]
- Lough, L.W.; Wainer, I.W. Chirality in Natural and Applied Science; Blackwell: Oxford, UK, 2002. [Google Scholar]
- Quack, M. How important is parity violation for molecular and biomolecular chirality? Angew. Chem. Int. Ed 2002, 41, 4618–4630. [Google Scholar]
- Shinitzky, M.; Nudelman, F.; Barda, Y.; Haimovitz, R.; Chen, E.; Deamer, D.W. Unexpected differences between d- and l- tyrosine lead to chiral enhancement in racemic mixtures. Orig. Life Evol. Biosph 2002, 32, 285–297. [Google Scholar]
- Crassous, J.; Chardonnet, C.; Saue, T.; Schwerdtfeger, P. Recent experimental and theoretical developments towards the observation of parity violation (PV) effects in molecules by spectroscopy. Org. Biomol. Chem 2005, 3, 2218–2224. [Google Scholar]
- Wagniére, G.H. On Chirality and the Universal Asymmetry—Reflections in Image and Mirror Image; Wiley-VCH: Weinheim, Germany, 2007. [Google Scholar]
- Soai, K.; Kawasaki, T. Asymmetric autocatalysis with amplification of chirality. Top. Curr. Chem 2008, 284, 1–33. [Google Scholar]
- Guijarro, A.; Yus, M. The Origin of Chirality in the Molecules of Life; RSC: London, UK, 2009. [Google Scholar]
- Fujiki, M. Mirror symmetry breaking in helical polysilanes: Preference between left and right of chemical and physical origin. Symmetry 2010, 2, 1625–1652. [Google Scholar]
- Lee, T.D.; Yang, C.N. Question of parity conservation in weak interactions. Phys. Rev 1956, 105, 254–258. [Google Scholar]
- Wu, C.S.; Ambler, E.; Hayward, R.W.; Hoppes, D.D.; Hudson, R.P. Experimental test of parity conservation in beta decay. Phys. Rev 1957, 105, 1413–1415. [Google Scholar]
- Nambu, Y.; Jona-Lasinio, G. Dynamical model of elementary particles based on an analogy with Superconductivity. I. Phys. Rev 1961, 122, 345–358. [Google Scholar]
- Nambu, Y.; Jona-Lasinio, G. Dynamical model of elementary particles based on an analogy with superconductivity. II. Phys. Rev 1961, 124, 246–254. [Google Scholar]
- Cabibbo, N. Unitary symmetry and leptonic decays. Phys. Rev. Lett 1963, 10, 531–533. [Google Scholar]
- Wigner, E.P. Violations of symmetry in physics. Sci. Am 1965, 213, 28–36. [Google Scholar]
- Kobayashi, M.; Maskawa, T. CP-Violation in the renormalizable theory of weak interaction. Prog. Theor. Phys 1973, 49, 652–657. [Google Scholar]
- Weinberg, S. Conceptual foundations of the unified theory of weak and electromagnetic interactions. Rev. Mod. Phys 1980, 52, 515–523. [Google Scholar]
- Salam, A. Gauge unification of fundamental forces. Rev. Mod. Phys 1980, 52, 525–538. [Google Scholar]
- Glashow, S.L. Towards a unified theory: Threads in a tapestry. Rev. Mod. Phys 1980, 52, 539–543. [Google Scholar]
- Rubbia, C. Experimental observation of the intermediate vector bosons W+, W−, and Z°. Rev. Mod. Phys 1985, 57, 699–722. [Google Scholar]
- Bouchiat, M.-A.; Pottier, L. Optical experiments and weak interactions. Science 1986, 234, 1203–1210. [Google Scholar]
- Adair, R.K. A flaw in a universal mirror. Sci. Am 1988, 258, 30–36. [Google Scholar]
- Sozzi, M.S. Discrete Symmetries and CP Violation: From Experiment to Theory; Oxford University Press: Oxford, UK, 2008. [Google Scholar]
- Frois, B.; Bouchiat, M.-A. Parity Violation in Atoms and Polarized Electron Scattering; World Scientific: London, UK, 1999. [Google Scholar]
- Wang, W.; Yi, F.; Ni, Y.; Zhao, Z.; Jin, X.; Tang, Y. Parity violation of electroweak force in phase transitions of single crystals of d- and l-alanine and valine. J. Biol. Phys 2000, 26, 51–65. [Google Scholar]
- Sullivan, R.; Pyda, M.; Pak, J.; Wunderlich, B.; Thompson, J.R.; Pagni, R.; Pan, H.; Barnes, C.; Schwerdtfeger, P.; Compton, R. Search for electroweak interactions in amino acid crystals. II. The Salam hypothesis. J. Phys. Chem. A 2003, 107, 6674–6680. [Google Scholar]
- Laubender, G.; Berger, R. Ab initio calculation of parity-violating chemical shifts in NMR spectra of chiral molecules. ChemPhysChem 2003, 4, 395–399. [Google Scholar]
- Weijo, V.; Manninen, P.; Vaara, J. Perturbational calculations of parity-violating effects in nuclear-magnetic-resonance parameters. J. Chem. Phys 2005, 123. [Google Scholar] [CrossRef]
- Wilson, C.C.; Myles, D.; Ghosh, M.; Johnson, L.N.; Wang, W. Neutron diffraction investigations of l- and d-alanine at different temperatures: The search for structural evidence for parity violation. New J. Chem 2005, 29, 1318–1322. [Google Scholar]
- Scolnik, Y.; Portnaya, I.; Cogan, U.; Tal, S.; Haimovitz, R.; Fridkin, M.; Elitzur, A.C.; Deamer, D.W.; Shinitzky, M. Subtle differences in structural transitions between poly-l- and poly-d-amino acids of equal length in water. Phys. Chem. Chem. Phys 2006, 8, 333–339. [Google Scholar]
- Lahav, M.; Weissbuch, I.; Shavit, E.; Reiner, C.; Nicholson, G.J.; Schurig, V. Parity violating energetic difference and enantiomorphous crystals-caveats; Reinvestigation of tyrosine crystallization. Orig. Life Evol. Biosph 2006, 36, 151–170. [Google Scholar]
- Kodona, E.K.; Alexopoulos, C.; Panou-Pomonis, E.; Pomonis, P.J. Chirality and helix stability of polyglutamic acid enantiomers. J. Colloid. Interface Sci 2008, 319, 72–80. [Google Scholar]
- Figgen, D.; Schwerdtfeger, P. Structures, inversion barriers, and parity violation effects in chiral SeOXY molecules (X,Y = H, F, Cl, Br, or I). J. Chem. Phys 2009, 130. [Google Scholar] [CrossRef]
- Darquié, B.; Stoeffler, C.; Shelkovnikov, A.; Daussy, C.; Amy-Klein, A.; Chardonnet, C.; Zrig, S.; Guy, L.; Crassous, J.; Soulard, P.; et al. Progress toward the first observation of parity violation in chiral molecules by high-resolution laser spectroscopy. Chirality 2010, 22, 870–884. [Google Scholar]
- Akagi, K. Helical polyacetylene: Asymmetric polymerization in a chiral liquid-crystal field. Chem. Rev 2009, 109, 5354–5401. [Google Scholar]
- Yashima, E.; Maeda, K.; Iida, H.; Furusho, Y.; Nagai, K. Helical polymers: Synthesis, structures, and functions. Chem. Rev 2009, 109, 6102–6211. [Google Scholar]
- De Greef, T.F.A.; Smulders, M.M.J.; Wolffs, M.; Schenning, A.P.H.J.; Sijbesma, R.P.; Meijer, E.W. Supramolecular Polymerization. Chem. Rev 2009, 109, 5687–5754. [Google Scholar]
- Vollhardt, K.P.C.; Schore, N.E. Organic Chemistry: Structure and Function, 6th ed; Freeman: New York, NY, USA, 2010. [Google Scholar]
- Juaristi, E. Introduction to Stereochemistry & Conformational Analysis; Wiley-Interscience: New York, NY, USA, 1991. [Google Scholar]
- Berova, N.; Polavarapu, P.L.; Nakanishi, K.; Woody, R.W. Comprehensive Chiroptical Spectroscopy—Instrumentation, Methodologies, and Theoretical Simulations; Wiley: New York, NY, USA, 2012. [Google Scholar]
- Riehl, J.P.; Richardson, F.S. Circularly polarized luminescence spectroscopy. Chem. Rev 1986, 86, 1–16. [Google Scholar]
- Dekkers, H.P.J.M. Circularly Polarized Luminescence: A Probe for Chirality in the Excited State. In Circular Dichroism: Principles and Applications, 2nd ed; Berova, N., Nakanishi, K., Woody, R.W., Eds.; Wiley-VCH: New York, NY, USA, 2000; Chapter 7. [Google Scholar]
- Frisch, M.J.; Trucks, G.W.; Schlegel, H.B.; Scuseria, G.E.; Robb, M.A.; Cheeseman, J.R; Scalmani, G.; Barone, V.; Mennucci, B.; Petersson, G.A.; et al. Gaussian 09; Gaussian, Inc: Wallingford, CT, USA, 2013. [Google Scholar]
- Hatano, M. Induced Circular Dichroims in Biopolymer-Dye Systems; Springer: Heidelberg, Germany, 1986. [Google Scholar]
- Mason, S.F.; Norman, B.J. Outer-sphere co-ordination and optical activity in transition-metal complexes. Chem. Commun 1965, 335–336. [Google Scholar]
- Bosnich, B. Asymmetric syntheses, asymmetric transformations, and asymmetric inductions in an optically active solvent. J. Am. Chem. Soc 1967, 89, 6143–6148. [Google Scholar]
- Bezrodnaya, T.V.; Mel’nik, V.I.; Puchkovskaya, G.A.; Savranskii, L.I. Vibrational and electronic spectra of benzophenone in different phase states: Ab initio calculations and experiment. J. Struct. Chem 2006, 47, 194–199. [Google Scholar]
- Hayward, L.D.; Totty, R.N. Induced optical rotation and circular dichroism of symmetric and racemic aliphatic carbonyl compounds. J. Chem. Soc. D. Chem. Commun 1969, 676–677. [Google Scholar]
- Noack, K. Circular dichroism induction in an optically inactive compound by intermolecular interaction with an optically active solvent. Helv. Chim. Acta 1969, 52, 2501–2507. [Google Scholar]
- Desiraju, G.R.; Steiner, T. The Weak Hydrogen Bond in Structural Chemistry and Biology; Oxford University Press: Oxford, UK, 1999. [Google Scholar]
- Dillion, J.; Nakanishi, K. Use of copper hexafluoroacetylacetonate for the determination of the absolute configuration of alcohols. J. Am. Chem. Soc 1974, 96, 4055–4057. [Google Scholar]
- Dillion, J.; Nakanishi, K. Use of complexing agents for determining the absolute configurations of α-glycols and α-amino alcohols. Basic systems. J. Am. Chem. Soc 1974, 96, 4057–4059. [Google Scholar]
- Dillion, J.; Nakanishi, K. Use of complexing agents for determining the absolute configurations of α-glycols and α-amino alcohols. Applications to complex natural products. J. Am. Chem. Soc 1974, 96, 4059–4061. [Google Scholar]
- Dillion, J.; Nakanishi, K. Absolute configurational studies of vicinal glycols and amino alcohols. II. With Pr(dpm)3. J. Am. Chem. Soc 1975, 97, 5417–5422. [Google Scholar]
- Andersen, N.H.; Bottino, B.J.; Moore, A.; Shaw, J.R. Metal ion probes of molecular geometry. II. A direct spectroscopic determination of the absolute configuration of hydroxyl bearing asymmetric centers based on the shift reagent, Eu(FOD). J. Am. Chem. Soc 1974, 96, 603–604. [Google Scholar]
- Brittain, H.G.; Richardson, F.S. Circularly polarized emission studies on the chiral nuclear magnetic resonance lanthanide shift reagent tris(3-trifluoroacetyl-d-camphorato)europium(III). J. Am. Chem. Soc 1976, 98, 5858–5863. [Google Scholar]
- Brittain, H.G.; Richardson, F.S. Circularly polarized emission studies on chiral and achiral europium(III) β-diketonate complexes in an optically active solvent. J. Am. Chem. Soc 1976, 99, 65–70. [Google Scholar]
- Brittain, H.G. Correlation of circularly polarized luminescence induced in Tb(dpm)3 by chiral solvents with the absolute configuration of those solvents. J. Am. Chem. Soc 1980, 102, 1207–1280. [Google Scholar]
- Kobayashi, K.; Asakawa, Y.; Kikuchi, Y.; Toi, H.; Aoyama, Y. CH–π interaction as an important driving force of host-guest complexation in apolar organic media. Binding of monools and acetylated compounds to resorcinol cyclic tetramer as studied by proton NMR and circular dichroism spectroscopy. J. Am. Chem. Soc 1993, 115, 2648–2654. [Google Scholar]
- Huang, X.; Rickman, B.H.; Borhan, B.; Berova, N.; Nakanishi, K. Zinc porphyrin tweezer in host-guest complexation: Determination of absolute configurations of diamines, amino acids, and amino alcohols by circular dichroism. J. Am. Chem. Soc 1998, 120, 6185–6186. [Google Scholar]
- Kurtán, T.; Nesnas, N.; Li, Y.-Q.; Huang, X.; Nakanishi, K.; Berova, N. Chiral recognition by CD-sensitive dimeric zinc porphyrin host. 1. Chiroptical protocol for absolute configurational assignments of monoalcohols and primary monoamines. J. Am. Chem. Soc 2001, 123, 5962–5973. [Google Scholar]
- Kurtán, T.; Nesnas, N.; Koehn, F.E.; Li, Y.-Q.; Nakanishi, K.; Berova, N. Chiral recognition by CD-sensitive dimeric zinc porphyrin host. 2. Structural studies of host–guest complexes with chiral alcohol and monoamine conjugates. J. Am. Chem. Soc 2001, 123, 5974–5982. [Google Scholar]
- Borovkov, V.V.; Lintuluoto, J.M.; Sugeta, H.; Fujiki, M.; Arakawa, R.; Inoue, Y. Supramolecular chirogenesis in zinc porphyrins: Equilibria, binding properties, and thermodynamics. J. Am. Chem. Soc 2002, 124, 2993–3006. [Google Scholar]
- Borovkov, V.V.; Hembury, G.A.; Inoue, Y. The origin of solvent-controlled supramolecular chirality switching in a bis(zinc porphyrin) system. Angew. Chem. Int. Ed 2003, 42, 5310–5314. [Google Scholar]
- Borovkov, V.V.; Hembury, G.A.; Yamamoto, N.; Inoue, Y. Supramolecular chirogenesis in zinc porphyrins: Investigation of zinc-freebase bis-porphyrin, new mechanistic insights, extension of sensing abilities, and solvent effect. J. Phys. Chem. A 2003, 107, 8677–8686. [Google Scholar]
- Borovkov, V.V.; Fujii, I.; Muranaka, A.; Hembury, G.A.; Tanaka, T.; Ceulemans, A.; Kobayashi, N.; Inoue, Y. Rationalization of supramolecular chirality in a bisporphyrin system. Angew. Chem. Int. Ed 2004, 116, 5597–5601. [Google Scholar]
- Borovkov, V. Supramolecular chirality in porphyrin chemistry. Symmetry 2014, 6, 256–294. [Google Scholar]
- Aimi, J.; Oya, K.; Tsuda, A.; Aida, T. Chiroptical sensing of asymmetric hydrocarbons using a homochiral supramolecular box from a bismetalloporphyrin rotamer. Angew. Chem. Int. Ed 2007, 46, 2031–2035. [Google Scholar]
- Green, M.M.; Khatri, C.; Peterson, N.C. A macromolecular conformational change driven by a minute chiral solvation energy. J. Am. Chem. Soc 1993, 115, 4941–4942. [Google Scholar]
- Green, M.M.; Park, J.-W.; Sato, T.; Teramoto, A.; Lifson, S.; Robin, L.B.; Selinger, R.L.B.; Selinger, J.V. The macromolecular route to chiral amplification. Angew. Chem. Int. Ed 1999, 38, 3138–3154. [Google Scholar]
- Yashima, E.; Matsushima, T.; Okamoto, Y. Poly((4-carboxyphenyl)acetylene) as a probe for chirality assignment of amines by circular dichroism. J. Am. Chem. Soc 1995, 117, 11596–11597. [Google Scholar]
- Yashima, E.; Maeda, K.; Okamoto, Y. Memory of macromolecular helicity assisted by interaction with achiral small molecules. Nature 1999, 399, 449–451. [Google Scholar]
- Palmans, A.R.A.; Vekemans, J.A.J.M.; Havinga, E.E.; Meijer, E.W. Sergeants-and-soldiers principle in chiral columnar stacks of disc-shaped molecules with C3 symmetry. Angew. Chem. Int. Ed. Engl 1997, 36, 2648–2651. [Google Scholar]
- George, S.J.; Tomović, Z.; Smulders, M.M.J.; de Greef, T.F.A.; Leclére, P.E.L.G.; Meijer, E.W.; Schenning, A.P.H.J. Helicity induction and amplification in an oligo(p-phenylenevinylene) assembly through hydrogen-bonded chiral acids. Angew. Chem. Int. Ed 2007, 46, 8206–8211. [Google Scholar]
- George, S.J.; Tomović, Z.; Schenning, A.P.H.J.; Meijer, E.W. Insight into the chiral induction in supramolecular stacks through preferential chiral solvation. Chem. Commun 2011, 47, 3451–3453. [Google Scholar]
- Fenniri, H.; Deng, B.-L.; Ribbe, A.E. Helical rosette nanotubes with tunable chiroptical properties. J. Am. Chem. Soc 2002, 124, 11064–11072. [Google Scholar]
- Xiao, J.; Xu, J.; Cui, S.; Liu, H.; Wang, S.; Li, Y. Supramolecular helix of an amphiphilic pyrene derivative induced by chiral tryptophan through electrostatic interactions. Org. Lett 2008, 10, 645–648. [Google Scholar]
- Stepanenko, V.; Li, X.Q.; Gershberg, J.; Würthner, F. Evidence for kinetic nucleation in helical nanofiber formation directed by chiral solvent for a perylene bisimide organogelator. Chem. Eur. J 2013, 19, 4176–4183. [Google Scholar]
- Nakashima, H.; Fujiki, M.; Koe, J.R.; Motonaga, M. Solvent and temperature effects on the chiral aggregation of poly(alkylarylsilane)s bearing remote chiral groups. J. Am. Chem. Soc 2001, 123, 1963–1969. [Google Scholar]
- Nakashima, H.; Koe, J.R.; Torimitsu, K.; Fujiki, M. Transfer and amplification of chiral molecular information to polysilylene aggregates. J. Am. Chem. Soc 2001, 123, 4847–4848. [Google Scholar]
- Shinitzky, M. Space asymmetry as a possible global feature. Chirality 2013, 25, 308–311. [Google Scholar]
- Pavlov, V.V.; Klabunovskii, E.I. Homochirality origin in nature: Possible versions. Curr. Org. Chem 2014, 18, 93–114. [Google Scholar]
- Kawagoe, Y.; Fujiki, M.; Nakano, Y. Limonene magic: Noncovalent molecular chirality transfer leading to ambidextrous circularly polarised luminescent π-conjugated polymers. New J. Chem 2010, 34, 637–647. [Google Scholar]
- Nakano, Y.; Liu, Y.; Fujiki, M. Ambidextrous circular dichroism and circularly polarised luminescence from poly(9,9-di-n-decylfluorene) by terpene chirality transfer. Polym. Chem 2010, 1, 460–469. [Google Scholar]
- Zhang, W.; Yoshida, K.; Fujiki, M.; Zhu, X. Unpolarized-light-driven amplified chiroptical modulation between chiral aggregation and achiral disaggregation of an azobenzene-alt-fluorene copolymer in limonene. Macromolecules 2011, 44, 5105–5111. [Google Scholar]
- Fujiki, M.; Jalilah, A.J.; Suzuki, N.; Taguchi, M.; Zhang, W.; Abdellatif, M.M.; Nomura, K. Chiral optofluidics: Gigantic circularly polarized light enhancement of all-trans-poly(9,9-di-n-octylfluorene-2,7-vinylene) during mirror-symmetry-breaking aggregation by optically tuning fluidic media. RSC Adv 2012, 2, 6663–6671. [Google Scholar]
- Lee, D.; Jin, Y.-J.; Suzuki, N.; Fujiki, M.; Sakaguchi, T.; Kim, S.; Lee, W.-E.; Kwak, G. Solvent-to-polymer chirality transfer in intramolecular stack structure. Macromolecules 2012, 45, 5379–5386. [Google Scholar]
- Fujiki, M.; Kawagoe, Y.; Nakano, Y.; Nakao, A. Mirror-symmetry-breaking in poly[(9,9-di-n-octylfluorenyl-2,7-diyl)-alt-biphenyl] (PF8P2) is susceptible to terpene chirality, achiral solvents, and mechanical stirring. Molecules 2013, 18, 7035–7057. [Google Scholar]
- Liu, J.; Zhang, J.; Zhang, S.; Suzuki, N.; Fujiki, M.; Wang, L.; Li, L.; Zhang, W.; Zhou, N.; Zhu, X. Chiroptical generation and amplification of hyperbranched π-conjugated polymers in aggregation states driven by limonene chirality. Polym. Chem 2014, 5, 784–791. [Google Scholar]
- Dellaportas, P.; Jones, R.G.; Holder, S.J. Induction of preferential helical screw senses in optically inactive polysilanes via chiral solvation. Macromol. Rapid Commun 2002, 23, 99–103. [Google Scholar]
- Toyoda, S.; Fujiki, M. Cooperative preferential helical ordering in poly(alkylarylsilylene) copolymers. Macromolecules 2001, 34, 640–644. [Google Scholar]
- Nakano, Y.; Ichiyanagi, F.; Naito, M.; Yang, Y.; Fujiki, M. Chiroptical generation and inversion during the mirror-symmetry-breaking aggregation of dialkylpolysilanes due to limonene chirality. Chem. Commun 2012, 48, 6636–6638. [Google Scholar]
- Watanabe, K.; Iida, H.; Akagi, K. Circularly polarized blue luminescent spherulites consisting of hierarchically assembled ionic conjugated polymers with a helically π-stacked structure. Adv. Mater 2012, 24, 6451–6456. [Google Scholar]
- Yang, Y.; da Costa, R.C.; Smilgies, D.-M.; Campbell, A.J.; Fuchter, M.J. Induction of circularly polarized electroluminescence from an achiral light-Emitting polymer via a chiral small-molecule dopant. Adv. Mater 2013, 25, 2624–2628. [Google Scholar]
- Guerra, G.; Vitagliano, V.M.; de Rosa, C.; Petraccone, V.; Corradini, P. Polymorphism in melt crystallized syndiotactic polystyrene samples. Macromolecules 1990, 23, 1539–1544. [Google Scholar]
- Buono, A.M.; Immediata, I.; Rizzo, P.; Guerra, G. Detection and memory of nonracemic molecules by a racemic host polymer film. J. Am. Chem. Soc 2007, 129, 10992–10993. [Google Scholar]
- Guadagno, L.; Raimondo, M.; Silvestre, C.; Immediata, I.; Rizzoc, P.; Guerra, G. Processing, thermal stability and morphology of chiral sensing syndiotactic polystyrene films. J. Mater. Chem 2008, 18, 567–572. [Google Scholar]
- Rizzo, P.; Beltrani, M.; Guerra, G. Induced vibrational circular dichroism and polymorphism of syndiotactic polystyrene. Chirality 2010, 22, E67–E73. [Google Scholar]
- Rizzo, P.; Lepera, E.; Guerra, G. Enantiomeric guests with the same signs of chiral optical responses. Chem. Commun 2014, 50, 8185–8188. [Google Scholar]
- Ureña, F.P.; Moreno, J.R.A.; González, J.J.L. Conformational study of (R)-(+)-limonene in the liquid phase using vibrational spectroscopy (IR, Raman, and VCD) and DFT calculations. Tetrahedron Asymmetry 2009, 20, 89–97. [Google Scholar]
- Moradpour, A.; Nicoud, J.F.; Balavoine, G.; Kagan, H.; Tsoucaris, G. Photochemistry with circularly polarized light. Synthesis of optically active hexahelicene. J. Am. Chem. Soc 1971, 93, 2353–2354. [Google Scholar]
- Kagan, H.; Amoradpour, A.; Nicoud, J.F.; Balavoine, G.; Martin, R.H.; Cosyn, J.P. Photochemistry with circularly polarised light. II. asymmetric synthesis of octa and nonahelicene. Tetrahedron Lett 1971, 27, 2479–2482. [Google Scholar]
- Bernstein, W.J.; Calvin, M.; Buchardt, O. Absolute asymmetric synthesis. I. Mechanism of the photochemical synthesis of nonracemic helicenes with circularly polarized light. wavelength dependence of the optical yield of octahelicene. J. Am. Chem. Soc 1972, 94, 494–498. [Google Scholar]
- Takahashi, O.; Kohno, Y.; Nishio, M. Relevance of weak hydrogen bonds in the conformation of organic compounds and bioconjugates: Evidence from recent experimental data and high-level ab initio MO calculations. Chem. Rev 2010, 110, 6049–6076. [Google Scholar]
- Laarhoven, W.H.; Cuppen, T.J.H.M. Chiral solvent-induced asymmetric synthesis; photosynthesis of optically enriched hexahelicene. J. Chem. Soc. Chem. Commun 1977. [Google Scholar] [CrossRef]
- Akagi, K.; Piao, G.; Kaneko, S.; Sakamaki, K.; Shirakawa, H.; Kyotani, M. Helical polyacetylene synthesized with a chiral nematic reaction field. Science 1998, 282, 1683–1686. [Google Scholar]
- Goto, H.; Akagi, K. Optically active conjugated polymers prepared from achiral monomers by polycondensation in a chiral nematic solvent. Angew. Chem. Int. Ed 2005, 44, 4322–4328. [Google Scholar]
- Goto, H.; Akagi, K. Asymmetric electrochemical polymerization: Preparation of polybithiophene in a chiral nematic liquid crystal field and optically active electrochromism. Macromolecules 2005, 38, 1091–1098. [Google Scholar]
- Matsushita, S.; Kyotani, M.; Akagi, K. Hierarchically controlled helical graphite films prepared from iodine-doped helical polyacetylene films using morphology-retaining carbonization. J. Am. Chem. Soc 2011, 133, 17977–17992. [Google Scholar]
- San Jose, B.A.; Matsushita, S.; Akagi, K. Lyotropic chiral nematic liquid crystalline aliphatic conjugated polymers based on disubstituted polyacetylene derivatives that exhibit high dissymmetry factors in circularly polarized luminescence. J. Am. Chem. Soc 2012, 134, 19795–19807. [Google Scholar]
- Park, J.; Goh, M.; Akagi, K. Helical nylons and polyphthalamides synthesized by chiral interfacial polymerizations between chiral nematic liquid crystal and water layers. Macromolecules 2014, 47, 2784–2795. [Google Scholar]
- Aoki, T.; Kaneko, T.; Maruyama, N.; Sumi, A.; Takahashi, M.; Sato, T.; Teraguchi, M. Helix-sense-selective polymerization of phenylacetylene having two hydroxy groups using a chiral catalytic system. J. Am. Chem. Soc 2003, 125, 6346–6347. [Google Scholar]
- Teraguchi, M.; Tanioka, D.; Kaneko, T.; Aoki, T. Helix-sense-selective polymerization of achiral phenylacetylenes with two N-alkylamide groups to generate the one-handed helical polymers stabilized by intramolecular hydrogen bonds. ACS Macro Lett 2012, 1, 1258–1261. [Google Scholar]
- Kim, H.; Lee, D.; Lee, S.; Suzuki, N.; Fujiki, M.; Lee, C.-L.; Kwak, G. Optically active conjugated polymer from solvent chirality transfer polymerization in monoterpenes. Macromol. Rapid Commun 2013, 34, 1471–1479. [Google Scholar]

































© 2014 by the authors; licensee MDPI, Basel, Switzerland This article is an open access article distributed under the terms and conditions of the Creative Commons Attribution license (http://creativecommons.org/licenses/by/3.0/).
Share and Cite
Fujiki, M. Supramolecular Chirality: Solvent Chirality Transfer in Molecular Chemistry and Polymer Chemistry. Symmetry 2014, 6, 677-703. https://doi.org/10.3390/sym6030677
Fujiki M. Supramolecular Chirality: Solvent Chirality Transfer in Molecular Chemistry and Polymer Chemistry. Symmetry. 2014; 6(3):677-703. https://doi.org/10.3390/sym6030677
Chicago/Turabian StyleFujiki, Michiya. 2014. "Supramolecular Chirality: Solvent Chirality Transfer in Molecular Chemistry and Polymer Chemistry" Symmetry 6, no. 3: 677-703. https://doi.org/10.3390/sym6030677
APA StyleFujiki, M. (2014). Supramolecular Chirality: Solvent Chirality Transfer in Molecular Chemistry and Polymer Chemistry. Symmetry, 6(3), 677-703. https://doi.org/10.3390/sym6030677
