Superspheres: Intermediate Shapes between Spheres and Polyhedra
Abstract
:1. Introduction
2. Cubic Superspheres
(1)
3. {111} Regular-Octahedral and {110} Rhombic-Dodecahedral Superspheres
(2)
(3a)
(3b)
(4a)
(4b)
4. {100}-{111}-{110} Polyhedral Superspheres
(5)
,
for two values of p. 
- Three basic polyhedra
- (a) {100} cube at point P.
- (b) {111} octahedron at point R.
- (c) {110} dodecahedron at point S.
- Combination of two basic polyhedra
- (a) {100}-{111} polyhedra changing from the {100} cube to the {111} octahedron along the line from P to R via Q, by truncating the eight vertices of the cube (The shape at point Q is {100}-{111} cuboctahedron).
- (b) {111}-{110} polyhedra changing from the {111} octahedron to the {110} dodecahedron along the line from R to S, by chamfering the 12 edges of the octahedron.
- (c) {110}-{100} polyhedra changing from the {110} dodecahedron to the {100} cube along the line from S to P, by truncating six of the 14 vertices of the dodecahedron.
- Combinations of all three basic polyhedra
- (a) {100}-{111}-{110} polyhedra with mutually non-connected {110} surfaces in Region 1 (R-1).
- (b) {100}-{111}-{110} polyhedra with mutually connected {110} surfaces in Region 2 (R-2).

(6)5. Discussion
5.1. Shape Transitions of Superspheres from a Sphere to Various Polyhedra
- (i) the {100} cube type given by (2),
- (ii) the {111} regular-octahedral type given by (3),
- (iii) the {110} rhombic-dodecahedral type given by (4) and
- (iv) the {100}-{111}-{110} polyhedral type given by (5) with
and
.
and
.
and
.
and
in Region 1 with N = S/V2/3 ≈ 5.05 has the minimum total surface area
for the same V [8,10]. The a and b dependence of N can be calculated easily using the results shown in the appendix. 5.2. Shape of Small Metal Particles
Acknowledgment
References
- Fujii, T.; Tamura, T.; Kato, M.; Onaka, S. Size-Dependent equilibrium shape of Co-Cr particles in Cu. Microsc. Microanal. 2002, 8, 1434–1435. [Google Scholar]
- Onaka, S.; Kobayashi, N.; Fujii, T.; Kato, M. Energy analysis with a superspherical shape approximation on the spherical to cubical shape transitions of coherent precipitates in cubic materials. Mat. Sci. Eng. 2002, A347, 42–49. [Google Scholar]
- Onaka, S.; Kobayashi, N.; Fujii, T.; Kato, M. Simplified energy analysis on the equilibrium shape of coherent γ’ precipitates in gamma matrix with a superspherical shape approximation. Intermetallics 2002, 10, 343–346. [Google Scholar] [CrossRef]
- Onaka, S. Averaged Eshelby tensor and elastic strain energy of a superspherical inclusion with uniform eigenstrains. Phil. Mag. Let. 2001, 81, 265–272. [Google Scholar] [CrossRef]
- Onaka, S. Geometrical analysis of near polyhedral shapes with round edges in small crystalline particles or precipitates. J. Mat. Sci. 2008, 43, 2680–2685. [Google Scholar] [CrossRef]
- Jaklic, A.; Leonardis, A.; Solina, F. Segmentation and Recovery of Superquadrics (Computational Imaging and Vision); Kluwer Academic: Dordrecht, The Netherlands, 2000; Volume 20, pp. 13–39. [Google Scholar]
- Onaka, S. Simple equations giving shapes of various convex polyhedra: The regular polyhedra and polyhedra composed of crystallographically low-index planes. Phil. Mag. Let. 2006, 86, 175–183. [Google Scholar] [CrossRef]
- Miyazawa, T.; Aratake, M.; Onaka, S. Superspherical-shape approximation to describe the morphology of small crystalline particles having near-polyhedral shapes with round edges. J. Math. Chem. 2012, 50, 249–260. [Google Scholar] [CrossRef]
- Onaka, S.; Fujii, T.; Kato, M. Elastic strain energy due to misfit strains in a polyhedral precipitate composed of low-index planes. Acta Mater. 2007, 55, 669–673. [Google Scholar] [CrossRef]
- Suárez, J.; Gancedo, E.; Manuel Álvarez, J.; Morán, A. Optimum compactness structures derived from the regular octahedron. Eng. Struct. 2008, 30, 3396–3398. [Google Scholar] [CrossRef]
- Menon, S.K.; Martin, P.L. Determination of the anisotropy of surface free energy of fine metal particles. Ultramicroscopy 1986, 20, 93–98. [Google Scholar] [CrossRef]
- Wang, G.L. Transmission electron microscopy of shape-controlled nanocrystals and their assemblies. J. Phys. Chem. 2000, 104, 1153–1175. [Google Scholar] [CrossRef]
- Niu, W.; Zheng, S.; Wang, D.; Liu, X.; Li, H.; Han, S.; Chen, J.; Tang, Z.; Xu, G. Selective synthesis of single-crystalline rhombic dodecahedral, octahedral, and cubic gold nanocrystals. J. Am. Chem. Soc. 2009, 131, 697–703. [Google Scholar]
- Jeong, G.W.; Kim, M.; Lee, Y.W.; Choi, W.; Oh, W.T.; Park, Q.-H.; Han, S.W. Polyhedral Au Nanocrystals exclusively bound by {110} facts: The rhombic dodecahedron. J. Am. Chem. Soc. 2009, 131, 1672–1673. [Google Scholar]
- Ribis, J.; de Carlan, Y. Interfacial strained structure and orientation relationships of the nanosized oxide particles deduced from elasticity-driven morphology in oxide dispersion strengthened materials. Acta Mater. 2012, 60, 238–252. [Google Scholar] [CrossRef]
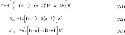
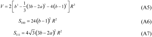
Appendix
and the
,
and
surface area, S100, S111 and S110 of the polyhedra shown in Figure 6 are written as a function of a and b. In Region 1, these are given by



© 2012 by the authors; licensee MDPI, Basel, Switzerland. This article is an open-access article distributed under the terms and conditions of the Creative Commons Attribution license (http://creativecommons.org/licenses/by/3.0/).
Share and Cite
Onaka, S. Superspheres: Intermediate Shapes between Spheres and Polyhedra. Symmetry 2012, 4, 336-343. https://doi.org/10.3390/sym4030336
Onaka S. Superspheres: Intermediate Shapes between Spheres and Polyhedra. Symmetry. 2012; 4(3):336-343. https://doi.org/10.3390/sym4030336
Chicago/Turabian StyleOnaka, Susumu. 2012. "Superspheres: Intermediate Shapes between Spheres and Polyhedra" Symmetry 4, no. 3: 336-343. https://doi.org/10.3390/sym4030336
APA StyleOnaka, S. (2012). Superspheres: Intermediate Shapes between Spheres and Polyhedra. Symmetry, 4(3), 336-343. https://doi.org/10.3390/sym4030336
