Lattice Boltzmann Modeling of Conjugate Heat Transfer for Power-Law Fluids: Symmetry Breaking Effects of Magnetic Fields and Heat Generation in Inclined Enclosures
Abstract
1. Introduction
- Introducing a detailed coupled magnetothermal model for conjugate heat transfer of power-law fluids under various magnetic field configurations.
- Demonstrating how magnetic field topology, heat absorption/production, and the power-law index jointly shape vortex structures, isotherm distributions, and entropy generation patterns.
- Identifying the conditions under which heat generation amplifies or weakens magnetic-field-induced flow suppression.
- Providing engineering insights for optimizing thermal systems involving non-Newtonian fluids subjected to magnetic control.
2. Materials and Methods
2.1. Explanation of the Available Problem
2.2. Basic Equations
2.3. Extracted Equations Related to the LBM
2.4. Boundary Conditions
3. Mesh-Independence Verification
4. Description of the Obtained Outcomes
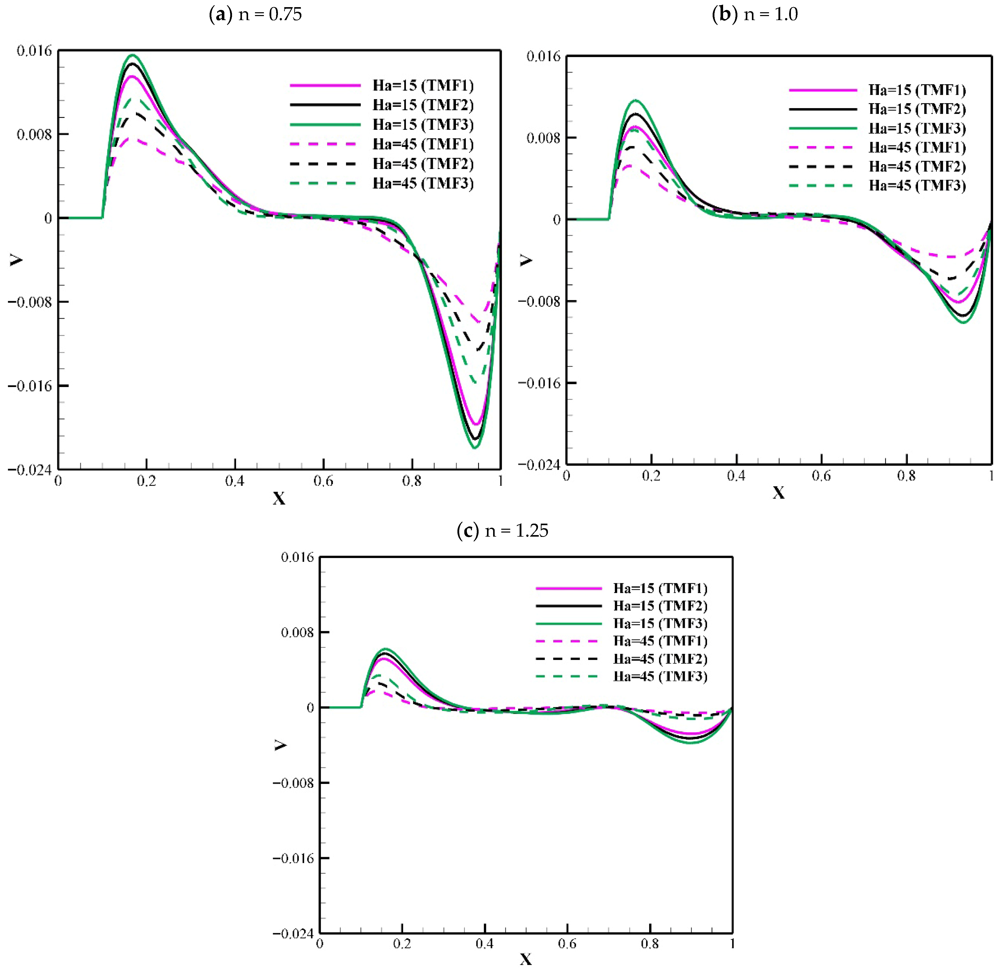
- In all cases, for a dilatant fluid, two symmetrical vortices are formed on both sides of the chamber in a clockwise and counterclockwise manner, but for a pseudo-plastic fluid, the main vortexes are broken into smaller vortices at the top and bottom of the chamber which is still symmetrical. At HAPC = +5, the secondary vortices formed become larger and more powerful.
- Due to the isotherms, in all cases for the dilatant fluid, the dominance of thermal conductivity is manifested. This indicates that the isotherms are parallel to the conductor wall and adjacent to the barrier. However, for the pseudo-plastic fluid, the width, curvature, and dispersion of the isotherms indicate the strengthening and dominance of the convection effects.
- The pattern of isotherms for the dilatant fluid does not change much with increasing HAPC, but for the pseudo-plastic fluid, enhancing the HAPC leads to a decline in temperature gradient near the conductive wall, but the density of lines increases near the wall with a cold temperature. In this scenario, convection has complete control over the HT mechanism. At TCR = 50, the temperature also reaches 1.25, which indicates that not only is the heat not transferred from the wall to the fluid, but there is also reverse HT.
- According to isotherms, with the increase in the TCR, the temperature decreases significantly throughout the conductor wall. The high thermal resistance of the conductor wall is the result of the low TCR value, which leads to the linearization of the isotherms. The reason for not observing temperature changes in the vertical direction is due to the low value of the TCR. With the increment of the TCR, nonlinear behaviors within the conductive wall are observed.
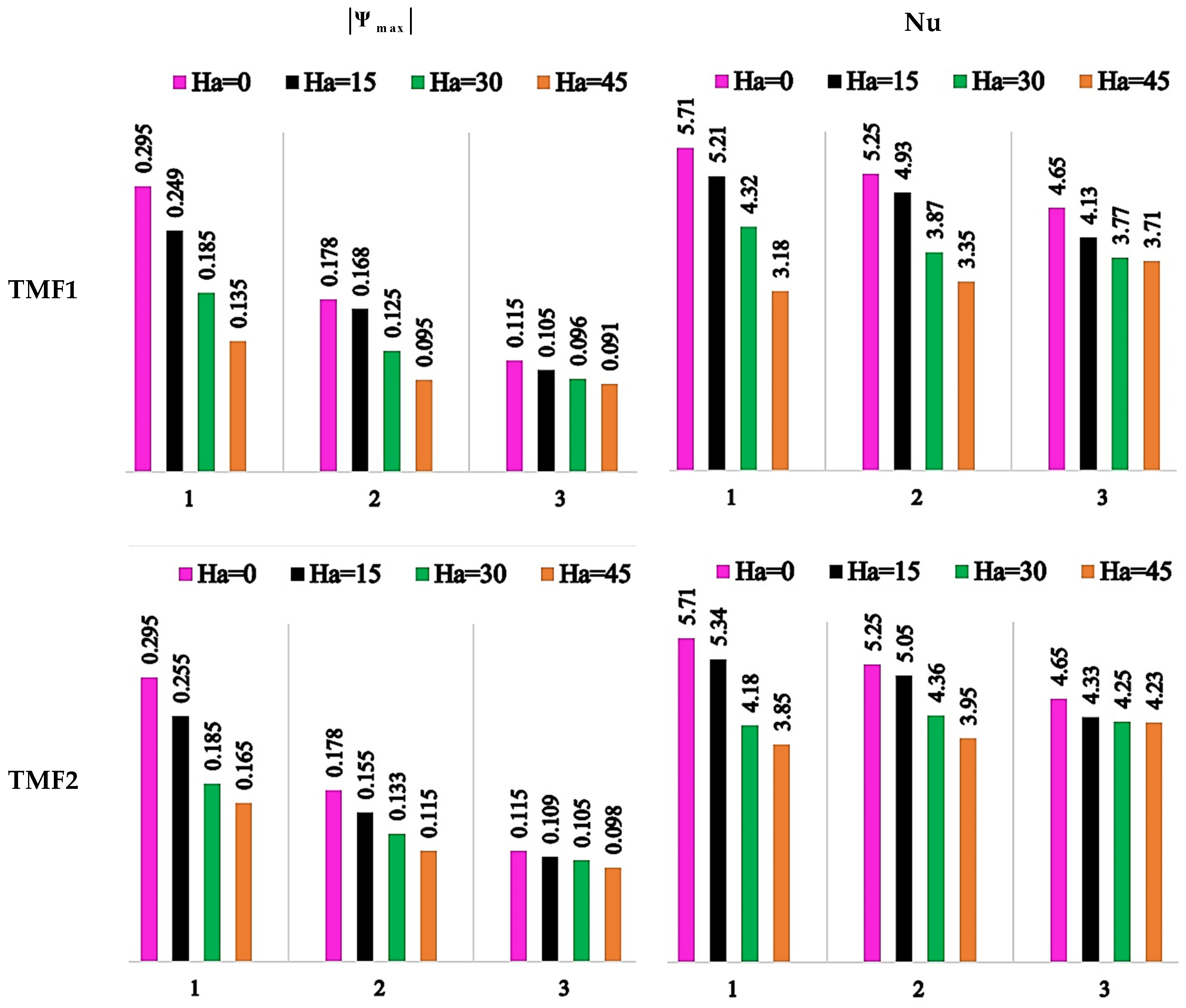
- By changing the type of fluid and due to changes in the PL index, the power of the flow created within the enclosure can be controlled such that the flow power for the pseudo-plastic fluid is much higher than that for the dilatant fluid. The reason for this issue can be found in the higher apparent viscosity for the dilatant fluid, which is determined based on the increase in the PL index. An increase in fluid viscosity leads to a decline in the ease of movement of the fluid within the chamber. For the pseudo-plastic fluid, a stronger current can be achieved by enhancing the HAPC, which is more evident when increasing the TCR.
- Given the lines of entropy due to fluid friction, it is understandable that the pattern of the lines for the dilatant fluid is almost the same in all cases. The highest amount of irreversibility is observed near the barrier and the side walls, where there is the greatest temperature gradient. The density of the lines close to the walls, where the velocity gradient is greatest, rises with the augmentation of the irreversible HAPC, but the pattern of the entropy lines is different for the pseudo-plastic fluid because the fluid’s friction plays an effective part in EG in this scenario, in contrast to the dilatant fluid.
- According to the definition of the mean Nu in Equation (50), the maximum values of the mean Nu is acquired when the TCR is the highest. The higher rate of heat transferred to the fluid placed in the areas near the conductive wall is the cause of this issue. The negative values of mean Nu when HAPC > 0 demonstrate the inverted HT, HT from the fluid to the wall.
- Augmentation of the HAPC leads to a decrease in the average Nu (according to the isotherms in Figure 6), which has a different impact with different fluid types and is less for the dilatant fluid than the pseudo-plastic fluid. A decline of 97%, 29%, and 26% for pseudo-plastic, Newtonian, and dilatant fluids, respectively, can be achieved by increasing the HAPC from −5 to +5 for TCR = 1. This influence is about 136%, 45%, and 30% for TCR = 10 and about 135%, 47%, and 42% for TCR = 50.
- The EG grew up with an increment of the TCR and the HAPC. This increase is due to the increased share of the HT in the EG. The difference between the values of entropy due to the increase in the HAPC declines with the increment of the PL index because, with the increase in the PL index, the tendency of the fluid to flow more smoothly decreases and the HAPC cannot effectively increase this phenomenon. Increasing the difference in the EG values by increasing the HAPC is enough to grow the TCR. For the pseudo-plastic fluid, for example, an increase in the HAPC from −5 to +5 causes increases of 44% and 86% for TCR = 1 and TCR = 50, respectively.
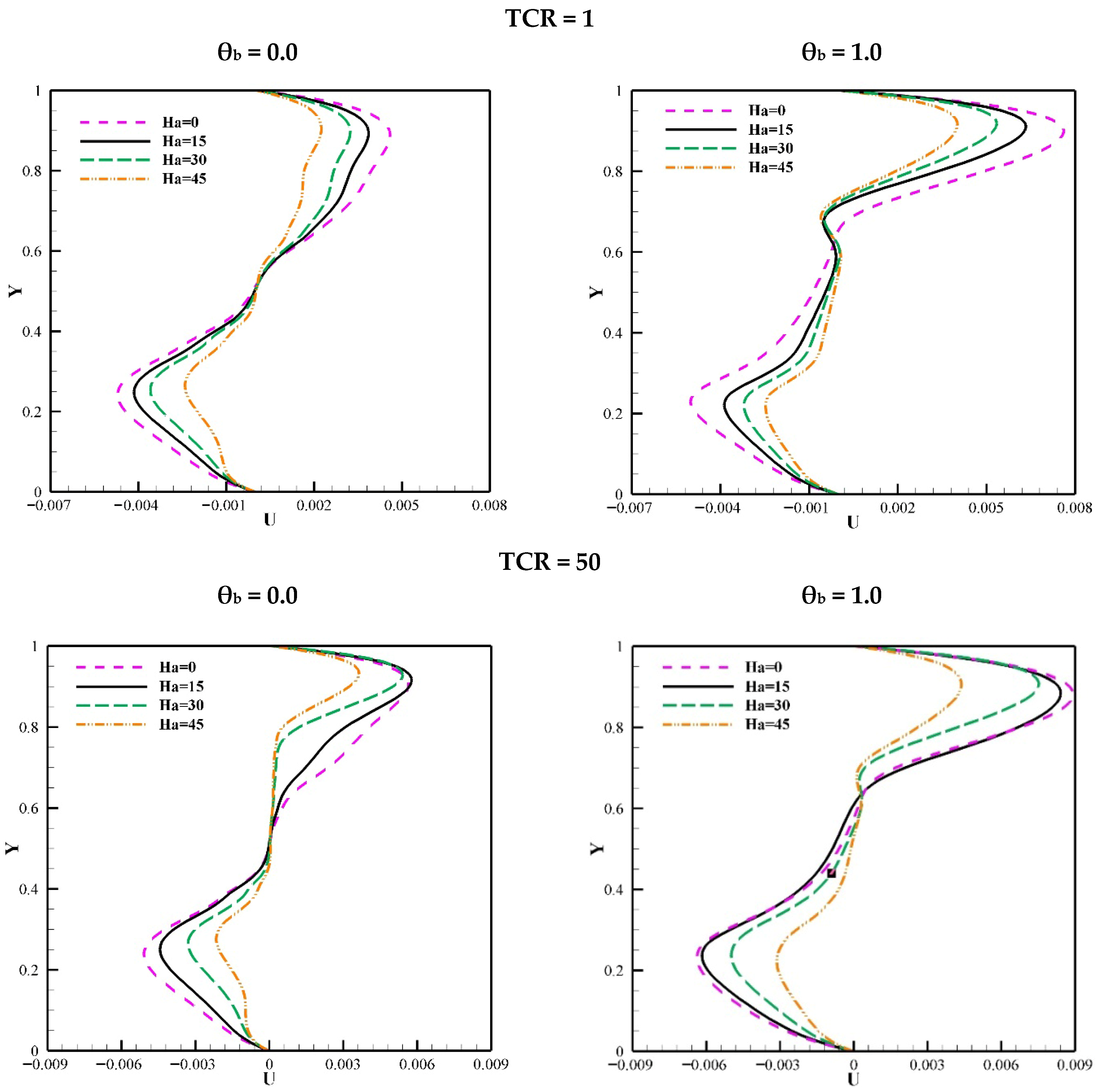
- Both increasing the TCR and decreasing the barrier temperature enhance the average Nu. Lowering the barrier temperature increases heat transfer, subsequently elevating the average Nu.
- The decrease in the mean Nu due to the increase in the Ha can be controlled by adjusting the barrier temperature. If the barrier temperature is higher, the influence of the MF is more pronounced. For example, at TCR = 50, an increase in the Ha from 0 to 45 would result in decreases of 38%, 45%, and 55% in the mean Nu for θb = 0.0, 0.5, and 1.0, respectively. This can be attributed to the increase in convection effects (increase in speed according to Figure 15). At a higher TCR, one can expect a further decrease in the mean Nu due to an increment of Ha.
- It should be noted that in addition to decreasing the mean Nu by an increment of the Ha and HAPC, the impact of increasing the MF’s strength increases when increasing the HAPC. Because both the mean Nu reduction factors reinforce each other, about 16%, 31%, and 59% of the Nu amount decreased, respectively, with increases in the Ha for HAPC = −5, HAPC = 0, and HAPC = +5.
- In the case of EG, it is very important to state that HAPC ≤ 0 decreases, while this parameter increases HAPC > 0.
5. Conclusions
- To influence the flow power and the HT rate, it can benefit from the existence of a barrier in exchange for temperature change. Obtaining the lowest mean Nu value for the highest EG value is the result of placing the hindrance at the highest temperature, and the greatest effect of the presence of the MF is seen in this case.
- The amount of HT can be affected by the angle of the cavity placement angle such that the maximum impact of the obstacle temperature change occurs at the zero angle.
- To have a higher average Nu, it is sufficient to increase the TCR. For this issue, the effectiveness of the MF becomes more evident, and the increase in buoyancy forces is more visible, although values of EG are more in this scenario.
- The decrease in the speed gradient and the value of the HT rate is the result of the increase in the strength of the Lorentz force, which is less with the increase in the PL index. It is enough to reduce the Ha and decrease EG.
- If it is intended to reduce the effectiveness of the FF under the impact of the MF, the TCR, the HAP, the barrier temperature change, and the angle of the chamber placement, it is enough to use a fluid with a higher PL index.
- The higher flow power and the HT rate are the result of the non-uniform application of the MF, so the flow power and mean Nu are up to 38% and 25% higher in the non-uniform application of the MF. Enhancing the impact of the change in MF depends on the increase in the Ha value.
- It is very momentous to increase the share of the MF in the EG to enhance the TCR and the barrier temperature, decrease the PL index, and increase the HAPC. Although in most cases, the reduction in EG is achieved by reducing the Ha, due to the presence of heat production, EG increases with the increase in the Ha value.
Limitations and Future Work
Author Contributions
Funding
Data Availability Statement
Acknowledgments
Conflicts of Interest
Nomenclature
| Nomenclature | |||
| B | MF strength | ||
| B0 | MF power in uniform mode | ||
| Be | Bejan number | ||
| c | Discrete lattice velocity | ||
| Cp | Specific heat | ||
| F | External force | ||
| f | The function of the density distribution | ||
| h | MF distribution function | ||
| g | Energy distribution function | ||
| H | Cavity height and length | ||
| Ha | Hartmann number | ||
| k | Thermal conductivity | ||
| n | Power-law index | ||
| p | Pressure | ||
| Pr | Prandtl number | ||
| Q | Volumetric HAP | ||
| S | Total entropy | ||
| T | Temperature | ||
| T0, Tc | Reference and cold-wall temperature | ||
| W | Thickness of conductive wall | ||
| u (u, v) | Macroscopic velocities | ||
| x(x,y) | Lattice coordinates | ||
| Greek Symbols | |||
| α | Thermal diffusivity | ||
| β | Thermal expansion coefficient | ||
| τf | Flow field relaxation time | ||
| τg | Temperature field relaxation time | ||
| τh | MF relaxation time | ||
| υ | Kinematic viscosity | ||
| θ | Dimensionless temperature | ||
| θb | Barrier temperature | ||
| λ | Enclosure placement angle | ||
| ρ | Density | ||
| µ | Dynamic viscosity | ||
| φ | Solid volume fraction | ||
| ψ | Stream function | ||
| ω | Weighting factor | ||
| η | Effective viscosity multiplier | ||
| σ | Electrical conductivity | ||
| Subscripts | |||
| c | Cold | ||
| f | Fluid | ||
| h | Hot | ||
| s | Solid | ||
| Shortened Words | |||
| FF | Fluid flow | ||
| EG | Entropy generation | ||
| HT | Heat transfer | ||
| HAP | Heat absorption/production | ||
| HAPC | Heat absorption/production coefficient | ||
| MF | Magnetic field | ||
| Nu | Nusselt number | ||
| PL | Power-law | ||
| Ra | Rayleigh number | ||
| SF | EG arising from fluid friction | ||
| SM | EG arising from MF | ||
| SH | EG arising from HT | ||
| TCR | Thermal conductivity ratio | ||
| TMF | Type of applied MF | ||
References
- Bittencourt, F.L.; Debenest, G.; Martins, M.F. Free convection development caused by bed shrinkage in a vacuum-induced smoldering reactor. Chem. Eng. J. 2022, 430, 132847. [Google Scholar] [CrossRef]
- Liu, X.; Liu, Z.; Mishra, D.D.; Chen, Z.; Zhao, J.; Hu, C. Evaporation rate far beyond the input solar energy limit enabled by introducing convective flow. Chem. Eng. J. 2022, 429, 132335. [Google Scholar] [CrossRef]
- Nemati, M.; Sani, H.M.; Chamkha, A.J. Optimal wall natural convection for a non-Newtonian fluid with heat generation/absorption and magnetic field in a quarter-oval inclined cavity. Phys. Scr. 2021, 96, 125234. [Google Scholar] [CrossRef]
- Xiao, C.; Zhang, G.; Hu, P.; Yu, Y.; Mo, Y.; Fazilati, M.A.; Toghraie, D. Heat and mass transfer analysis of natural convection in a liquid desiccant closed-loop system: The effect of heat source and heat sink temperature. Energy Rep. 2022, 8, 1816–1828. [Google Scholar] [CrossRef]
- Nemati, M.; Armaghani, T.; Nour, M. The possibility of managing system thermal characteristics via active/passive methods: A mathematical modeling for MHD power-law free convection in an inclined chamber. Comput. Appl. Math. 2025, 44, 238. [Google Scholar] [CrossRef]
- Rostami, S.; Ellahi, R.; Oztop, H.F.; Goldanlou, A.S. A study on the effect of magnetic field and the sinusoidal boundary condition on free convective heat transfer of non-Newtonian power-law fluid in a square enclosure with two constant-temperature obstacles using lattice Boltzmann method. J. Therm. Anal. Calorim. 2021, 144, 2557–2573. [Google Scholar] [CrossRef]
- Kebriti, S.; Moqtaderi, H. Numerical simulation of convective non-Newtonian power-law solid-liquid phase change using the lattice Boltzmann method. Int. J. Therm. Sci. 2021, 159, 106574. [Google Scholar] [CrossRef]
- Nemati, M.; Sefid, M. The Application of Multiple Relaxation Time Lattice Boltzmann Method to Simulate the Newtonian and Non-Newtonian MHD Natural Convection in Cavity with Lozenge Barrier. Fluid Mech. Aerodyn. J. 2021, 10, 17–35. [Google Scholar]
- Al-Chlaihawi, K.K.; Alaydamee, H.H.; Faisal, A.E.; Al-Farhany, K.; Alomari, M.A. Newtonian and non-Newtonian nanofluids with entropy generation in conjugate natural convection of hybrid nanofluid-porous enclosures: A review. Heat Transf. 2022, 51, 1725–1745. [Google Scholar] [CrossRef]
- Alsabery, A.I.; Naganthran, K.; Azizul, F.M.; Hashim, I.; Nazar, R. Numerical study of conjugate natural convection heat transfer of a blood filled horizontal concentric annulus. Int. Commun. Heat Mass Transf. 2020, 114, 104568. [Google Scholar] [CrossRef]
- Nemati, M.; Sefid, M.; Jamir, T.; Chamkha, A.J. Temperature Reduction of a Hot Component Enclosed in a Ring Filled with Power-Law Ferrofluid Under the Effect of Magnetic Field and Heat Absorption: Benefit from LBM Ability to Simulate Radiation–Convection Heat Transfer. Iran. J. Sci. Technol. Trans. Mech. Eng. 2024, 48, 1851–1878. [Google Scholar] [CrossRef]
- Nemati, M.; Sefid, M. Magnetohydrodynamics combined convection modeling via LBM for shear thinning nanofluids within an inclined enclosure: Appraisement of heat transfer and entropy under the impact of various parameters. Comput. Part. Mech. 2023, 10, 965–989. [Google Scholar] [CrossRef]
- Kempannagari, A.K.; Buruju, R.R.; Naramgari, S.; Vangala, S. Effect of Joule heating on MHD non-Newtonian fluid flow past an exponentially stretching curved surface. Heat Transf. 2020, 49, 3575–3592. [Google Scholar] [CrossRef]
- Elelamy, A.F.; Elgazery, N.S.; Ellahi, R. Blood flow of MHD non-Newtonian nanofluid with heat transfer and slip effects: Application of bacterial growth in heart valve. Int. J. Numer. Methods Heat Fluid Flow 2020, 30, 4883–4908. [Google Scholar] [CrossRef]
- Reddy, M.G.; Vijayakumari, P.; Krishna, L.; Kumar, K.G.; Prasannakumara, B.C. Convective heat transport in a heat generating MHD vertical layer saturated by a non-Newtonian nanofluid: A bidirectional study. Multidiscip. Model. Mater. Struct. 2020, 16, 1669–1689. [Google Scholar] [CrossRef]
- Mahabaleshwar, U.S.; Nagaraju, K.R.; Kumar, P.V.; Nadagouda, M.N.; Bennacer, R.; Sheremet, M.A. Effects of Dufour and Soret mechanisms on MHD mixed convective-radiative non-Newtonian liquid flow and heat transfer over a porous sheet. Therm. Sci. Eng. Prog. 2020, 16, 100459. [Google Scholar] [CrossRef]
- Tanveer, A.; Khan, M.; Salahuddin, T.; Malik, M.Y.; Khan, F. Theoretical investigation of peristaltic activity in MHD based blood flow of non-Newtonian material. Comput. Methods Programs Biomed. 2020, 187, 105225. [Google Scholar] [CrossRef]
- Khan, M.W.; Khan, M.I.; Hayat, T.; Alsaedi, A. Numerical solution of MHD flow of power law fluid subject to convective boundary conditions and entropy generation. Comput. Methods Programs Biomed. 2020, 188, 105262. [Google Scholar] [CrossRef]
- Ellahi, R.; Sait, S.M.; Shehzad, N.; Ayaz, Z. A hybrid investigation on numerical and analytical solutions of electro-magnetohydrodynamics flow of nanofluid through porous media with entropy generation. Int. J. Numer. Methods Heat Fluid Flow 2020, 30, 834–854. [Google Scholar] [CrossRef]
- Ghaffari, A.; Mustafa, I.; Muhammad, T.; Altaf, Y. Analysis of entropy generation in a power-law nanofluid flow over a stretchable rotatory porous disk. Case Stud. Therm. Eng. 2021, 28, 101370. [Google Scholar] [CrossRef]
- Ahmad, S.; Ullah, H.; Hayat, T.; Alhodaly, M.S. Time-dependent power-law nanofluid with entropy generation. Phys. Scr. 2020, 96, 025208. [Google Scholar] [CrossRef]
- Deng, S.; Li, M.; Yang, Y.; Xiao, T. Heat transfer and entropy generation in two layered electroosmotic flow of power-law nanofluids through a microtube. Appl. Therm. Eng. 2021, 196, 117314. [Google Scholar] [CrossRef]
- Bhatti, M.M.; Zeeshan, A.; Asif, M.A.; Ellahi, R.; Sait, S.M. Non-uniform pumping flow model for the couple stress particle-fluid under magnetic effects. Chem. Eng. Commun. 2022, 209, 1058–1069. [Google Scholar] [CrossRef]
- Bhatti, M.M.; Arain, M.B.; Zeeshan, A.; Ellahi, R.; Doranehgard, M.H. Swimming of Gyrotactic Microorganism in MHD Williamson nanofluid flow between rotating circular plates embedded in porous medium: Application of thermal energy storage. J. Energy Storage 2022, 45, 103511. [Google Scholar] [CrossRef]
- Zeeshan, A.; Shehzad, N.; Atif, M.; Ellahi, R.; Sait, S.M. Electromagnetic flow of SWCNT/MWCNT suspensions in two immiscible water-and engine-oil-based newtonian fluids through porous media. Symmetry 2022, 14, 406. [Google Scholar] [CrossRef]
- Ishtiaq, F.; Ellahi, R.; Bhatti, M.M.; Alamri, S.Z. Insight in thermally radiative cilia-driven flow of electrically conducting non-Newtonian Jeffrey fluid under the influence of induced magnetic field. Mathematics 2022, 10, 2007. [Google Scholar] [CrossRef]
- Ellahi, R.; Alamri, S.Z.; Basit, A.; Majeed, A. Effects of MHD and slip on heat transfer boundary layer flow over a moving plate based on specific entropy generation. J. Taibah Univ. Sci. 2018, 12, 476–482. [Google Scholar] [CrossRef]
- Sait, S.M.; Ellahi, R.; Shehzad, N.; Mobin, N. Numerical simulation and mathematical modeling of electro-osmotic Couette–Poiseuille flow of MHD power-law nanofluid with entropy generation. Symmetry 2019, 11, 1038. [Google Scholar]
- Kefayati, G.H.R. Mesoscopic simulation of mixed convection on non-Newtonian nanofluids in a two sided lid-driven enclosure. Adv. Powder Technol. 2015, 26, 576–588. [Google Scholar] [CrossRef]
- Afrand, M.; Pordanjani, A.H.; Aghakhani, S.; Oztop, H.F.; Abu-Hamdeh, N. Free convection and entropy generation of a nanofluid in a tilted triangular cavity exposed to a magnetic field with sinusoidal wall temperature distribution considering radiation effects. Int. Commun. Heat Mass Transf. 2020, 112, 104507. [Google Scholar] [CrossRef]
- Abderrahmane, A.; Qasem, N.A.; Younis, O.; Marzouki, R.; Mourad, A.; Shah, N.A.; Chung, J.D. MHD Hybrid Nanofluid Mixed Convection Heat Transfer and Entropy Generation in a 3-D Triangular Porous Cavity with Zigzag Wall and Rotating Cylinder. Mathematics 2022, 10, 769. [Google Scholar] [CrossRef]
- Cherif, B.M.; Abderrahmane, A.; Saeed, A.M.; Qasem, N.A.; Younis, O.; Marzouki, R.; Chung, J.D.; Shah, N.A. Hydrothermal and Entropy Investigation of Nanofluid Mixed Convection in Triangular Cavity with Wavy Boundary Heated from below and Rotating Cylinders. Nanomaterials 2022, 12, 1469. [Google Scholar] [CrossRef] [PubMed]
- Shahid, H.; Yaqoob, I.; Khan, W.A.; Rafique, A. Mixed convection in an isosceles right triangular lid driven cavity using multi relaxation time lattice Boltzmann method. Int. Commun. Heat Mass Transf. 2021, 128, 105552. [Google Scholar] [CrossRef]
- El Abdallaoui, M.; Amahmid, A.; Hasnaoui, M.; Pop, I. Simulation of natural convection around an inclined heating triangular cylinder using lattice Boltzmann method: On the stabilization of the oscillatory regime by using nanoparticles. High Temp. 2020, 58, 852–863. [Google Scholar] [CrossRef]
- Kim, G.B.; Hyun, J.M.; Kwak, H.S. Transient buoyant convection of a power-law non-Newtonian fluid in an enclosure. Int. J. Heat Mass Transf. 2003, 46, 3605–3617. [Google Scholar]
- Acharya, S.; Dash, S.K. Natural convection in a cavity with undulated walls filled with water-based non-Newtonian power-law CuO–water nanofluid under the influence of the external magnetic field. Numer. Heat Transf. Part A Appl. 2019, 76, 552–575. [Google Scholar] [CrossRef]
- Nemati, M.; Sefid, M.; Karimipour, A.; Chamkha, A.J. Lattice Boltzmann method formulation for simulation of thermal radiation effects on non-Newtonian Al2O3 free convection in entropy determination. Appl. Math. Mech. 2024, 45, 1085–1106. [Google Scholar] [CrossRef]
- Imani, G. Lattice Boltzmann method for conjugate natural convection with heat generation on non-uniform meshes. Comput. Math. Appl. 2020, 79, 1188–1207. [Google Scholar] [CrossRef]
- Ferhi, M.; Djebali, R.; Al-Kouz, W.; Abboudi, S.; Chamkha, A.J. MHD conjugate heat transfer and entropy generation analysis of MWCNT/water nanofluid in a partially heated divided medium. Heat Transf. 2021, 50, 126–144. [Google Scholar] [CrossRef]
- Karani, H.; Huber, C. Lattice Boltzmann formulation for conjugate heat transfer in heterogeneous media. Phys. Rev. E 2015, 91, 023304. [Google Scholar] [CrossRef]
- Pareschi, G.; Frapolli, N.; Chikatamarla, S.S.; Karlin, I.V. Conjugate heat transfer with the entropic lattice Boltzmann method. Phys. Rev. E 2016, 94, 013305. [Google Scholar] [CrossRef] [PubMed]
- Chen, S.; Gong, W.; Yan, Y. Conjugate natural convection heat transfer in an open-ended square cavity partially filled with porous media. Int. J. Heat Mass Transf. 2018, 124, 368–380. [Google Scholar] [CrossRef]
- Nee, A. Hybrid meso-macroscopic simulation of three-dimensional natural convection combined with conjugate heat transfer. Therm. Sci. Eng. Prog. 2020, 19, 100584. [Google Scholar] [CrossRef]
- Bouchair, R.; Bourouis, A.; Omara, A. Conjugate MHD natural convection in a square cavity with a non-uniform heat source thick solid partition. Int. J. Comput. Methods Eng. Sci. Mech. 2022, 23, 396–411. [Google Scholar] [CrossRef]
- Selimefendigil, F.; Öztop, H.F. Conjugate natural convection in a nanofluid filled partitioned horizontal annulus formed by two isothermal cylinder surfaces under magnetic field. Int. J. Heat Mass transfer. 2017, 108, 156–171. [Google Scholar] [CrossRef]
- Geridonmez, B.P.; Oztop, H.F. Conjugate natural convection flow of a nanofluid with oxytactic bacteria under the effect of a periodic magnetic field. J. Magn. Magn. Mater. 2022, 170135. [Google Scholar] [CrossRef]
- Nemati, M.; Sefid, M.; Toghraie, D. Lattice Boltzmann method’s ability to calculate entropy during MHD non-Newtonian ferrofluid-free convection under volumetric radiation and heat generation/absorption. J. Therm. Anal. Calorim. 2024, 149, 3759–3779. [Google Scholar] [CrossRef]
- Nemati, M.; Reddy, N.K.; Sefid, M.; Karimipour, A.; Chamkha, A.J. Power-Law Nanofluid Magnetohydrodynamics Combined Convection in the Presence of Heat Absorption/Generation: A Lattice Boltzmann Analysis to Compute Thermal Performance Index. J. Nanofluids 2023, 12, 2381–2399. [Google Scholar] [CrossRef]
- Abdulkadhim, A.; Hamzah, H.K.; Ali, F.H.; Yıldız, Ç.; Abed, A.M.; Abed, E.M.; Arıcı, M. Effect of heat generation and heat absorption on natural convection of Cu-water nanofluid in a wavy enclosure under magnetic field. Int. Commun. Heat Mass Transf. 2021, 120, 105024. [Google Scholar] [CrossRef]
- Lawal, K.K.; Jibril, H.M. Unsteady MHD natural convection flow of heat generating/absorbing fluid near a vertical plate with ramped temperature and motion. J. Taibah Univ. Sci. 2019, 13, 433–439. [Google Scholar] [CrossRef]
- Nemati, M.; Sani, H.M.; Jahangiri, R.; Sefid, M.; Mohammad Sajadi, S.; Baleanu, D.; Ghaemi, F. Convection heat transfer under the effect of uniform and periodic magnetic fields with uniform internal heat generation: A new comprehensive work to develop the ability of the multi relaxation time lattice Boltzmann method. J. Therm. Anal. Calorim. 2022, 147, 7883–7897. [Google Scholar] [CrossRef]
- Mahmoudi, A.; Mejri, I.; Abbassi, M.A.; Omri, A. Analysis of MHD natural convection in a nanofluid-filled open cavity with non uniform boundary condition in the presence of uniform heat generation/absorption. Powder Technol. 2015, 269, 275–289. [Google Scholar] [CrossRef]
- Mliki, B.; Abbassi, M.A.; Omri, A.; Zeghmati, B. Augmentation of natural convective heat transfer in linearly heated cavity by utilizing nanofluids in the presence of magnetic field and uniform heat generation/absorption. Powder Technol. 2015, 284, 312–325. [Google Scholar] [CrossRef]
- Khodadadi, R.; Raisi, A.; Ghasemi, B. Numerical study of natural convection heat transfer of a Non-Newtonian power-law fluid inside a triangular cavity containing an isothermal heat source. J. Mech. Eng. 2022, 52, 119–128. [Google Scholar]
- Khodamoradi, M.; Reisi, A. Investigation of the Effect of Geometric Parameters on the Natural Convection Heat Transfer of a Non-Newtonian Fluid in a Square Enclosure with two constant Temperature Barriers. J. Mech. Eng. 2022, 52, 123–132. [Google Scholar]
- Bai, J.; Hu, X.; Tao, Y.H.; Ji, W.H. Investigation of non-Newtonian power-law free convection affected by a magnetic field in an inclined quarter-circle chamber containing the lozenge-shaped obstacle via MRT-LBM of first and second laws of thermodynamics. Eng. Anal. Bound. Elem. 2022, 145, 335–351. [Google Scholar]
- Sun, C.; Zhang, Y.; Farahani, S.D.; Hu, C.; Nemati, M.; Sajadi, S.M. Analysis of power-law natural conjugate heat transfer under the effect of magnetic field and heat absorption/production based on the first and second laws of thermodynamics for the entropy via lattice Boltzmann method. Eng. Anal. Bound. Elem. 2022, 144, 165–184. [Google Scholar] [CrossRef]
- Rezaie, M.R.; Norouzi, M. Numerical investigation of MHD flow of non-Newtonian fluid over confined circular cylinder: A lattice Boltzmann approach. J. Braz. Soc. Mech. Sci. Eng. 2018, 40, 185. [Google Scholar] [CrossRef]
- Shan, F.; Du, H.; Chai, Z.; Shi, B. Lattice Boltzmann modeling of the capillary rise of non-Newtonian power-law fluids. Int. J. Numer. Methods Fluids 2022, 94, 251–271. [Google Scholar] [CrossRef]
- Ren, Q. Investigation of pumping mechanism for non-Newtonian blood flow with AC electrothermal forces in a microchannel by hybrid boundary element method and immersed boundary-lattice Boltzmann method. Electrophoresis 2018, 39, 1329–1338. [Google Scholar] [CrossRef]
- Kumar, S.; Gangawane, K.M.; Oztop, H.F. Applications of lattice Boltzmann method for double-diffusive convection in the cavity: A review. J. Therm. Anal. Calorim. 2022, 147, 10889–10921. [Google Scholar] [CrossRef]
- Selimefendigil, F.; Öztop, H.F. Thermal management for conjugate heat transfer of curved solid conductive panel coupled with different cooling systems using non-Newtonian power law nanofluid applicable to photovoltaic panel systems. Int. J. Therm. Sci. 2022, 173, 107390. [Google Scholar] [CrossRef]
- Lemus-Mondaca, R.A.; Moraga, N.O.; Riquelme, J. Unsteady 2D conjugate natural non-Newtonian convection with non-Newtonian liquid sterilization in square cavity. Int. J. Heat Mass Transf. 2013, 61, 73–81. [Google Scholar] [CrossRef]
- Kashyap, D.; Dass, A.K.; Oztop, H.F.; Abu-Hamdeh, N. Multiple-relaxation-time lattice Boltzmann analysis of entropy generation in a hot-block-inserted square cavity for different Prandtl numbers. Int. J. Therm. Sci. 2021, 165, 106948. [Google Scholar] [CrossRef]
- Jiang, M.; Ma, K.; Li, J.; Liu, Z. Hydrodynamic resolved simulation of a char particle combustion by immersed boundary-lattice Boltzmann method. Int. Commun. Heat Mass Transf. 2022, 132, 105915. [Google Scholar] [CrossRef]
- He, X.; Sidi, M.O.; Ahammad, N.A.; Elkotb, M.A.; Elattar, S.; Algelany, A.M. Artificial neural network joined with lattice boltzmann method to study the effects of mhd on the slip velocity of fmwnt/water nanofluid flow inside a microchannel. Eng. Anal. Bound. Elem. 2022, 143, 95–108. [Google Scholar] [CrossRef]
- Geier, M.; Kutscher, K.; Krafczyk, M. A Direct Effective Viscosity Approach for Modeling and Simulating Bingham Fluids with the Cumulant Lattice Boltzmann Method. Open J. Fluid Dyn. 2021, 11, 34. [Google Scholar] [CrossRef]
- Kefayati, G.; Bassom, A.P. A lattice Boltzmann method for single-and two-phase models of nanofluids: Newtonian and non-Newtonian nanofluids. Phys. Fluids 2021, 33, 102008. [Google Scholar] [CrossRef]
- Hill, B.M.; Leonardi, C.R. Lattice Boltzmann simulation of transient blood flow in arterial geometries using a regularised, viscoplastic and shear-thinning fluid. Int. J. Numer. Methods Biomed. Eng. 2021, 37, e3456. [Google Scholar] [CrossRef]
- Hosseini, S.A.; Huang, F.; Thévenin, D. Lattice Boltzmann model for simulation of flow in intracranial aneurysms considering non-Newtonian effects. Phys. Fluids 2022, 34, 073105. [Google Scholar] [CrossRef]
- Adam, S.; Hajabdollahi, F.; Premnath, K.N. Cascaded lattice Boltzmann modeling and simulations of three-dimensional non-Newtonian fluid flows. Comput. Phys. Commun. 2021, 262, 107858. [Google Scholar] [CrossRef]
- Yuki, J.Q.; Sen, I.; Sakib, M.M.; Nag, P.; Molla, M.M. Multiple-relaxation-time lattice Boltzmann simulation of magnetic field effect on natural convection of non-Newtonian nanofluid in rectangular enclosure. Adv. Appl. Math. Mech. 2021, 13, 1142–1168. [Google Scholar] [CrossRef]
- Noble, S.; Poirier, M.; Thomas, J. Blending and Cavern Formation within Non-Newtonian Fluids in Stirred Tanks: Application to Nuclear Waste Fluid Processing. Chem. Eng. Sci. 2022, 266, 118184. [Google Scholar] [CrossRef]
- Ginzburg, I. Steady-state two-relaxation-time lattice Boltzmann formulation for transport and flow, closed with the compact multi-reflection boundary and interface-conjugate schemes. J. Comput. Sci. 2021, 54, 101215. [Google Scholar] [CrossRef]
- Gibanov, N.S.; Sheremet, M.A. Numerical Investigation of Conjugate Natural Convection in a Cavity with a Local Heater by the Lattice Boltzmann Method. Fluids 2021, 6, 316. [Google Scholar] [CrossRef]
- Nemati, M.; Farahani, S.D. Using lattice Boltzmann method to control entropy generation during conjugate heat transfer of power-law liquids with magnetic field and heat absorption/production. Comput. Part. Mech. 2022, 10, 331–354. [Google Scholar] [CrossRef]
- Nemati, M.; Chamkha, A.J. Examination of effective strategies on changing the amount of heat transfer and entropy during non-Newtonian magneto-nanofluid mixed convection inside a semi-ellipsoidal cavity. J. Magn. Magn. Mater. 2023, 578, 170652. [Google Scholar] [CrossRef]























| Mesh Size | 60 × 60 | 80 × 80 | 100 × 100 | 120 × 120 | 140 × 140 | |
|---|---|---|---|---|---|---|
| n = 0.75 | Nu | 4.01 | 4.19 | 4.32 | 4.37 | 4.41 |
| Error % | - | 4.45 | 3.01 | 1.3 | 0.75 | |
| 0.178 | 0.18 | 0.185 | 0.188 | 0.191 | ||
| n = 1.25 | Nu | 3.64 | 3.71 | 3.77 | 3.79 | 3.79 |
| Error % | - | 1.9 | 1.4 | 0.7 | 0 | |
| 0.093 | 0.094 | 0.096 | 0.097 | 0.097 |
| Dimensionless Parameters | Values |
|---|---|
| Ha | 0, 15, 30, and 45 |
| TMF | TMF1, TMF2, and TMF3 |
| HAPC | −5, 0, and +5 |
| θb | 0.0, 0.5, and 1.0 |
| λ | 0, 45°, and 90° |
| TCR | 1, 10, and 50 |
| n | 0.75, 1.0, and 1.25 |
Disclaimer/Publisher’s Note: The statements, opinions and data contained in all publications are solely those of the individual author(s) and contributor(s) and not of MDPI and/or the editor(s). MDPI and/or the editor(s) disclaim responsibility for any injury to people or property resulting from any ideas, methods, instructions or products referred to in the content. |
© 2026 by the authors. Licensee MDPI, Basel, Switzerland. This article is an open access article distributed under the terms and conditions of the Creative Commons Attribution (CC BY) license.
Share and Cite
Nemati, M.; Barghi Jahromi, M.S.; Nour, M.M.; Safari, A.; Saffari Pour, M.; Armaghani, T.; Babanezhad, M. Lattice Boltzmann Modeling of Conjugate Heat Transfer for Power-Law Fluids: Symmetry Breaking Effects of Magnetic Fields and Heat Generation in Inclined Enclosures. Symmetry 2026, 18, 137. https://doi.org/10.3390/sym18010137
Nemati M, Barghi Jahromi MS, Nour MM, Safari A, Saffari Pour M, Armaghani T, Babanezhad M. Lattice Boltzmann Modeling of Conjugate Heat Transfer for Power-Law Fluids: Symmetry Breaking Effects of Magnetic Fields and Heat Generation in Inclined Enclosures. Symmetry. 2026; 18(1):137. https://doi.org/10.3390/sym18010137
Chicago/Turabian StyleNemati, Mohammad, Mohammad Saleh Barghi Jahromi, Manasik M. Nour, Amir Safari, Mohsen Saffari Pour, Taher Armaghani, and Meisam Babanezhad. 2026. "Lattice Boltzmann Modeling of Conjugate Heat Transfer for Power-Law Fluids: Symmetry Breaking Effects of Magnetic Fields and Heat Generation in Inclined Enclosures" Symmetry 18, no. 1: 137. https://doi.org/10.3390/sym18010137
APA StyleNemati, M., Barghi Jahromi, M. S., Nour, M. M., Safari, A., Saffari Pour, M., Armaghani, T., & Babanezhad, M. (2026). Lattice Boltzmann Modeling of Conjugate Heat Transfer for Power-Law Fluids: Symmetry Breaking Effects of Magnetic Fields and Heat Generation in Inclined Enclosures. Symmetry, 18(1), 137. https://doi.org/10.3390/sym18010137

