An Efficient Q-Learning-Based Multi-Objective Intelligent Hybrid Genetic Algorithm for Mixed-Model Assembly Line Efficiency
Abstract
1. Introduction
1.1. Related Literature
1.2. Research Gap
1.3. Structure of the Paper
2. Problem Description and Mathematical Model
3. Proposed Optimization Approach
3.1. Reinforcement Learning-Based Parameter Tuning
3.1.1. State Definition
3.1.2. Action Definition
3.1.3. Reward Function
| Algorithm 1. Intelligent Hybrid Genetic Algorithm with Q-Learning |
| Input: problem_files, mutation set M, crossover set C, episodes E, learning rate α, discount factor β, initial exploration ε, decay εdecay, action magnitudes cc, cr, stagnation threshold Ts Output: , final Pareto fronts, cycle time Z1, avg. flow time Z2 ![]() |
4. Empirical Application Proposed Approach
4.1. Implementation of the Proposed Approach
4.2. Performance Analysis
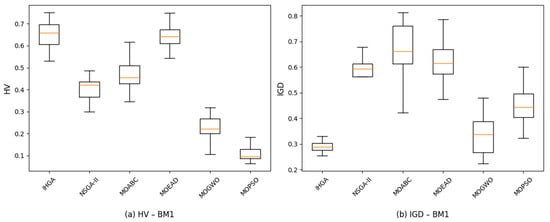
5. Computational Experiments and Analysis
6. Conclusions
Author Contributions
Funding
Data Availability Statement
Conflicts of Interest
References
- Boysen, N.; Fliedner, M.; Scholl, A. Sequencing mixed-model assembly lines: Survey, classification and model critique. Eur. J. Oper. Res. 2009, 192, 349–373. [Google Scholar] [CrossRef]
- Liu, X.; Yang, X.; Lei, M. Optimisation of mixed-model assembly line balancing problem under uncertain demand. J. Manuf. Syst. 2021, 59, 214–227. [Google Scholar] [CrossRef]
- Fattahi, P.; Askari, A. A Multi-objective mixed-model assembly line sequencing problem with stochastic operation time. J. Optim. Ind. Eng. 2018, 11, 157–167. [Google Scholar]
- Manavizadeh, N.; Tavakoli, L.; Rabbani, M.; Jolai, F. A multi-objective mixed-model assembly line sequencing problem in order to minimize total costs in a Make-To-Order environment, considering order priority. J. Manuf. Syst. 2013, 32, 124–137. [Google Scholar] [CrossRef]
- Bai, Y.; Zhao, H.; Zhu, L. Mixed-model assembly line balancing using the hybrid genetic algorithm. In Proceedings of the 2009 International Conference on Measuring Technology and Mechatronics Automation, Zhangjiajie, China, 11–12 April 2009; pp. 242–245. [Google Scholar]
- Simaria, A.S.; Vilarinho, P.M. A genetic algorithm based approach to the mixed-model assembly line balancing problem of type II. Comput. Ind. Eng. 2004, 47, 391–407. [Google Scholar] [CrossRef]
- Mamun, A.A.; Khaled, A.A.; Ali, S.M.; Chowdhury, M.M. A heuristic approach for balancing mixed-model assembly line of type I using genetic algorithm. Int. J. Prod. Res. 2012, 50, 5106–5116. [Google Scholar] [CrossRef]
- Özcan, U.; Çerçioğlu, H.; Gökçen, H.; Toklu, B. Balancing and sequencing of parallel mixed-model assembly lines. Int. J. Prod. Res. 2010, 48, 5089–5113. [Google Scholar] [CrossRef]
- Chica, M.; Cordón, Ó.; Damas, S.; Bautista, J. A robustness information and visualization model for time and space assembly line balancing under uncertain demand. Int. J. Prod. Econ. 2013, 145, 761–772. [Google Scholar] [CrossRef]
- Bautista, J.; Alfaro, R.; Batalla, C. Modeling and solving the mixed-model sequencing problem to improve productivity. Int. J. Prod. Econ. 2015, 161, 83–95. [Google Scholar] [CrossRef]
- Mosadegh, H.; Ghomi, S.F.; Süer, G. Heuristic approaches for mixed-model sequencing problem with stochastic processing times. Int. J. Prod. Res. 2017, 55, 2857–2880. [Google Scholar] [CrossRef]
- Bautista, J.; Alfaro-Pozo, R.; Batalla-García, C. Consideration of human resources in the Mixed-model Sequencing Problem with Work Overload Minimization: Legal provisions and productivity improvement. Expert Syst. Appl. 2015, 42, 8896–8910. [Google Scholar] [CrossRef]
- Yang, C.; Gao, J.; Sun, L. A multi-objective genetic algorithm for mixed-model assembly line rebalancing. Comput. Ind. Eng. 2013, 65, 109–116. [Google Scholar] [CrossRef]
- Mumtaz, J.; Zailin, G.; Mirza, J.; Rauf, M.; Sarfraz, S.; Shehab, E. Makespan minimization for flow shop scheduling problems using modified operators in genetic algorithm. In Advances in Manufacturing Technology XXXII; IOS Press: Amsterdam, The Netherlands, 2018; pp. 435–440. [Google Scholar]
- Zhang, B.; Xu, L.; Zhang, J. A multi-objective cellular genetic algorithm for energy-oriented balancing and sequencing problem of mixed-model assembly line. J. Clean. Prod. 2020, 244, 118845. [Google Scholar] [CrossRef]
- Noorul Haq, A.; Rengarajan, K.; Jayaprakash, J. A hybrid genetic algorithm approach to mixed-model assembly line balancing. Int. J. Adv. Manuf. Technol. 2006, 28, 337–341. [Google Scholar] [CrossRef]
- Su, P.; Lu, Y. Combining genetic algorithm and simulation for the mixed-model assembly line balancing problem. In Proceedings of the Third International Conference on Natural Computation (ICNC 2007), Haikou, China, 24–27 August 2007; pp. 314–318. [Google Scholar]
- Sivasankaran, P.; Shahabudeen, P.M. Genetic algorithm for concurrent balancing of mixed-model assembly lines with original task times of models. Intell. Inf. Manag. 2013, 5, 84–92. [Google Scholar] [CrossRef]
- Delice, Y.; Aydoğan, E.K.; Söylemez, İ.; Özcan, U. An ant colony optimisation algorithm for balancing two-sided U-type assembly lines with sequence-dependent set-up times. Sādhanā 2018, 43, 199. [Google Scholar] [CrossRef]
- Li, J.; Gao, J. Balancing manual mixed-model assembly lines using overtime work in a demand variation environment. Int. J. Prod. Res. 2014, 52, 3552–3567. [Google Scholar] [CrossRef]
- Tang, Q.; Liang, Y.; Zhang, L.; Floudas, C.A.; Cao, X. Balancing mixed-model assembly lines with sequence-dependent tasks via hybrid genetic algorithm. J. Glob. Optim. 2016, 65, 83–107. [Google Scholar] [CrossRef]
- Hu Li, B.; Xiao, T.; Zhang, L.; Xu, W.; Xiao, T. Robust balancing of mixed model assembly line. COMPEL-Int. J. Comput. Math. Electr. Electron. Eng. 2009, 28, 1489–1502. [Google Scholar] [CrossRef]
- Chong, K.E.; Omar, M.K.; Bakar, N.A. Solving assembly line balancing problem using genetic algorithm with heuristics-treated initial population. In Proceedings of the the World Congress on Engineering, London, UK, 2–4 July 2008. [Google Scholar]
- Yu, Z.-Q.; Su, P. Combining genetic algorithm and simulation analysis for mixed-model assembly line balancing problem. Comput. Integr. Manuf. Syst. 2008, 6, 12. [Google Scholar]
- Akpınar, S.; Bayhan, G.M. A hybrid genetic algorithm for mixed model assembly line balancing problem with parallel workstations and zoning constraints. Eng. Appl. Artif. Intell. 2011, 24, 449–457. [Google Scholar] [CrossRef]
- AkpıNar, S.; Bayhan, G.M.; Baykasoglu, A. Hybridizing ant colony optimization via genetic algorithm for mixed-model assembly line balancing problem with sequence dependent setup times between tasks. Appl. Soft Comput. 2013, 13, 574–589. [Google Scholar] [CrossRef]
- Kucukkoc, I.; Yaman, R. A new hybrid genetic algorithm to solve more realistic mixed-model assembly line balancing problem. Int. J. Logist. Syst. Manag. 2013, 14, 405–425. [Google Scholar] [CrossRef]
- Kazemi, S.M.; Ghodsi, R.; Rabbani, M.; Tavakkoli-Moghaddam, R. A novel two-stage genetic algorithm for a mixed-model U-line balancing problem with duplicated tasks. Int. J. Adv. Manuf. Technol. 2011, 55, 1111–1122. [Google Scholar] [CrossRef]
- Rabbani, M.; Montazeri, M.; Farrokhi-Asl, H.; Rafiei, H. A multi-objective genetic algorithm for a mixed-model assembly U-line balancing type-I problem considering human-related issues, training, and learning. J. Ind. Eng. Int. 2016, 12, 485–497. [Google Scholar] [CrossRef][Green Version]
- Hamzadayi, A.; Yildiz, G. A genetic algorithm based approach for simultaneously balancing and sequencing of mixed-model U-lines with parallel workstations and zoning constraints. Comput. Ind. Eng. 2012, 62, 206–215. [Google Scholar] [CrossRef]
- He, X.; Hao, J. Adaptive and Improved Genetic Algorithm for Mixed-model Assembly Line Balancing Problem. Adv. Inf. Sci. Serv. Sci. 2013, 5, 375. [Google Scholar]
- Rabbani, M.; Siadatian, R.; Farrokhi-Asl, H.; Manavizadeh, N. Multi-objective optimization algorithms for mixed model assembly line balancing problem with parallel workstations. Cogent Eng. 2016, 3, 1158903. [Google Scholar] [CrossRef]
- Rekiek, B.; De Lit, P.; Pellichero, F.; L’Eglise, T.; Fouda, P.; Falkenauer, E.; Delchambre, A. A multiple objective grouping genetic algorithm for assembly line design. J. Intell. Manuf. 2001, 12, 467–485. [Google Scholar] [CrossRef]
- Zhang, W.; Gen, M. An efficient multiobjective genetic algorithm for mixed-model assembly line balancing problem considering demand ratio-based cycle time. J. Intell. Manuf. 2011, 22, 367–378. [Google Scholar] [CrossRef]
- Rabbani, M.; Mousavi, Z.; Farrokhi-Asl, H. Multi-objective metaheuristics for solving a type II robotic mixed-model assembly line balancing problem. J. Ind. Prod. Eng. 2016, 33, 472–484. [Google Scholar] [CrossRef]
- Rabani, M.; Yazdanbakhsh, M.; Farrokhi-Asl, H. Solving a multi-objective mixed-model assembly line balancing and sequencing problem. J. Ind. Syst. Eng. 2017, 10, 155–170. [Google Scholar]
- Ab Rashid, M.F.F.; Tiwari, A.; Hutabarat, W. Integrated optimization of mixed-model assembly sequence planning and line balancing using Multi-objective Discrete Particle Swarm Optimization. Artif. Intell. Eng. Des. Anal. Manuf. 2019, 33, 332–345. [Google Scholar] [CrossRef]
- Saif, U.; Guan, Z.; Zhang, L.; Zhang, F.; Wang, B.; Mirza, J. Multi-objective artificial bee colony algorithm for order oriented simultaneous sequencing and balancing of multi-mixed model assembly line. J. Intell. Manuf. 2019, 30, 1195–1220. [Google Scholar] [CrossRef]
- Zhao, X.; Chen, Y.; Rauf, M.; Wang, C. Differential Evolution Algorithm to Solve the Parallel Batch Processing Machine Scheduling Problem with Multiple Jobs. Eng. Proc. 2023, 45, 22. [Google Scholar]
- Paprocka, I.; Krenczyk, D. On Energy Consumption and Productivity in a Mixed-Model Assembly Line Sequencing Problem. Energies 2023, 16, 7091. [Google Scholar] [CrossRef]
- Rauf, M.; Guan, Z.; Sarfraz, S.; Mumtaz, J.; Shehab, E.; Jahanzaib, M.; Hanif, M. A smart algorithm for multi-criteria optimization of model sequencing problem in assembly lines. Robot. Comput.-Integr. Manuf. 2020, 61, 101844. [Google Scholar] [CrossRef]
- Kim, Y.K.; Kim, J.Y.; Kim, Y. An endosymbiotic evolutionary algorithm for the integration of balancing and sequencing in mixed-model U-lines. Eur. J. Oper. Res. 2006, 168, 838–852. [Google Scholar] [CrossRef]
- Ding, L.; Luo, D.; Mudassar, R.; Yue, L.; Meng, L. A novel deep self-learning method for flexible job-shop scheduling problems with multiplicity: Deep reinforcement learning assisted the fluid master-apprentice evolutionary algorithm. Swarm Evol. Comput. 2025, 94, 101907. [Google Scholar] [CrossRef]
- Chen, Y.; Du, J.; Mumtaz, J.; Zhong, J.; Rauf, M. An efficient Q-learning integrated multi-objective hyper-heuristic approach for hybrid flow shop scheduling problems with lot streaming. Expert Syst. Appl. 2025, 262, 125616. [Google Scholar] [CrossRef]
- Su, H.; Wang, G.; Rauf, M. Optimization of Multi-Operator Human–Robot Collaborative Disassembly Line Balancing Problem Using Hybrid Artificial Fish Swarm Algorithm. Eng. Proc. 2024, 75, 16. [Google Scholar]










| Reference | Method | Reference | Method |
|---|---|---|---|
| Tang, Liang [21] | RPW in the initial population | Bai, Zhao and Zhu [5] | Integration of GA with SA |
| Haq, Rengarajan, and Jayaprakash [16] | RPW in the initial population | Hu Li, Xiao [22] | GA integrating robust criteria |
| Chong, Omar, and Bakar [23] | RPW in the initial population | YU and SU [24] | Simulation-based GA |
| Akpınar and Bayhan [25] | KW, RPW, and MYM in the initial population | Mamun, Khaled [7] | Priority rules for initial population |
| AkpıNar, Bayhan, and Baykasoglu [26] | Ant colony optimization with GA | Kucukkoc and Yaman [27] | Modified Comsoal method and GA |
| Kazemi, Ghodsi [28] | Two-stage GA | Simaria and Vilarinho [6,29] | Priority rules, iterative GA |
| Hamzadayi and Yildiz [30] | Priority rules and hybrid GA | He and Hao [31,32] | Chromosome coding and decoding rule |
| Rekiek, De Lit [33] | PROMETHEE | Zhang and Gen [34,35] | Pareto-based scale-independent GA |
| 0.05 | −0.05 | 0.07 | −0.07 |
| Tasks/Models | A | B | C | D | E | Tasks/Models | A | B | C | D | E |
|---|---|---|---|---|---|---|---|---|---|---|---|
| 1 | 2.17 | 2.20 | 2.40 | 2.42 | 2.31 | 13 | 0.65 | 0.65 | 0.65 | 0.65 | 0.64 |
| 2 | 1.29 | 1.32 | 1.07 | 1.17 | 1.07 | 14 | 2.50 | 2.41 | 2.41 | 2.47 | 0.00 |
| 3 | 0.47 | 0.41 | 0.34 | 0.36 | 0.37 | 15 | 1.46 | 1.44 | 1.43 | 1.43 | 1.43 |
| 4 | 0.00 | 0.00 | 0.65 | 0.65 | 0.77 | 16 | 1.42 | 1.42 | 1.42 | 1.45 | 1.47 |
| 5 | 1.50 | 1.56 | 1.43 | 1.45 | 1.39 | 17 | 0.81 | 0.81 | 0.81 | 0.83 | 0.85 |
| 6 | 2.67 | 2.58 | 2.59 | 0.00 | 0.00 | 18 | 0.69 | 0.74 | 0.63 | 0.71 | 0.63 |
| 7 | 0.00 | 0.00 | 0.00 | 2.37 | 2.44 | 19 | 1.00 | 1.00 | 1.00 | 1.00 | 0.93 |
| 8 | 0.61 | 0.60 | 0.64 | 0.64 | 0.54 | 20 | 0.00 | 0.00 | 0.60 | 0.55 | 0.53 |
| 9 | 0.86 | 0.86 | 0.85 | 0.85 | 0.83 | 21 | 1.21 | 1.28 | 1.25 | 1.25 | 1.18 |
| 10 | 0.48 | 0.48 | 0.47 | 0.47 | 0.51 | 22 | 1.09 | 1.11 | 1.20 | 0.00 | 1.20 |
| 11 | 0.61 | 0.60 | 0.69 | 0.66 | 0.64 | 23 | 0.00 | 0.00 | 0.00 | 0.87 | 0.00 |
| 12 | 0.50 | 0.51 | 0.53 | 0.53 | 0.51 | 24 | 0.00 | 0.00 | 0.00 | 1.12 | 0.00 |
| Stations | Station 1 | Station 2 | Station 3 | Station 4 | Station 5 | Station 6 | Station 7 | Model Sequence |
|---|---|---|---|---|---|---|---|---|
| Tasks | 1, 2, 3 | 4, 5, 8 | 6, 7, 9 | 10, 13, 15, 17 | 11, 12, 14 | 16, 18, 20, 22, 24 | 19, 21, 23, 25 |
| PMs/Algorithms | Cycle Time | Flow Time | TOPSIS | Ranking |
|---|---|---|---|---|
| IHGA | 3.85 | 22.23 | 1 | 1 |
| NSGA-II | 4.94 | 22.41 | 0.43 | 2 |
| MOABC | 5.71 | 22.62 | 0.03 | 6 |
| MOEAD | 5.15 | 22.37 | 0.32 | 3 |
| MOGWO | 5.38 | 22.81 | 0.19 | 4 |
| MOPSO | 5.53 | 22.26 | 0.12 | 5 |
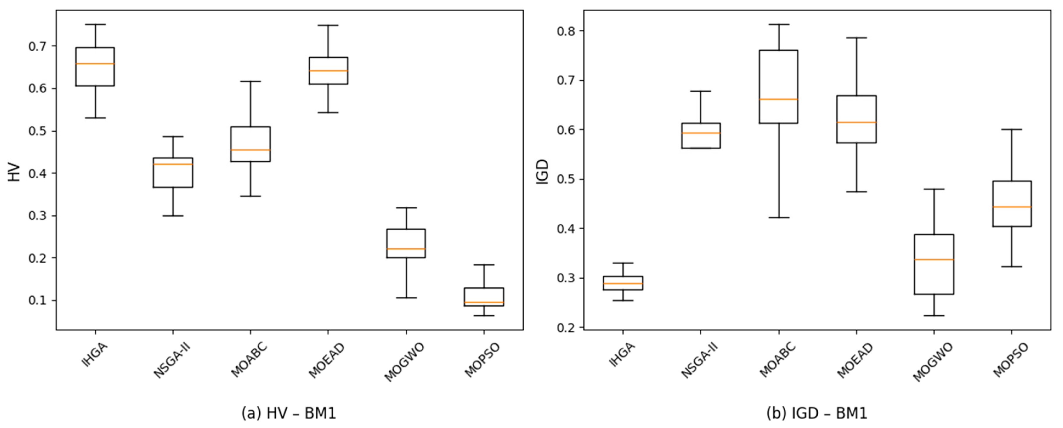
| BM 1 (n = 3, k = 20) | ||||||
|---|---|---|---|---|---|---|
| Algorithms | CT | FT | HV | IGD | NP | TOPSIS |
| IHGA | 2.00 | 6.00 | 0.65 | 0.29 | 0.25 | 1.00 |
| NSGA-II | 2.00 | 6.03 | 0.39 | 0.56 | 0.23 | 0.98 |
| MOABC | 2.75 | 6.15 | 0.45 | 0.64 | 0.15 | 0.01 |
| MOEAD | 2.20 | 6.00 | 0.61 | 0.61 | 0.08 | 0.73 |
| MOGWO | 2.40 | 6.05 | 0.23 | 0.30 | 0.15 | 0.47 |
| MOPSO | 2.10 | 6.18 | 0.09 | 0.46 | 0.23 | 0.84 |
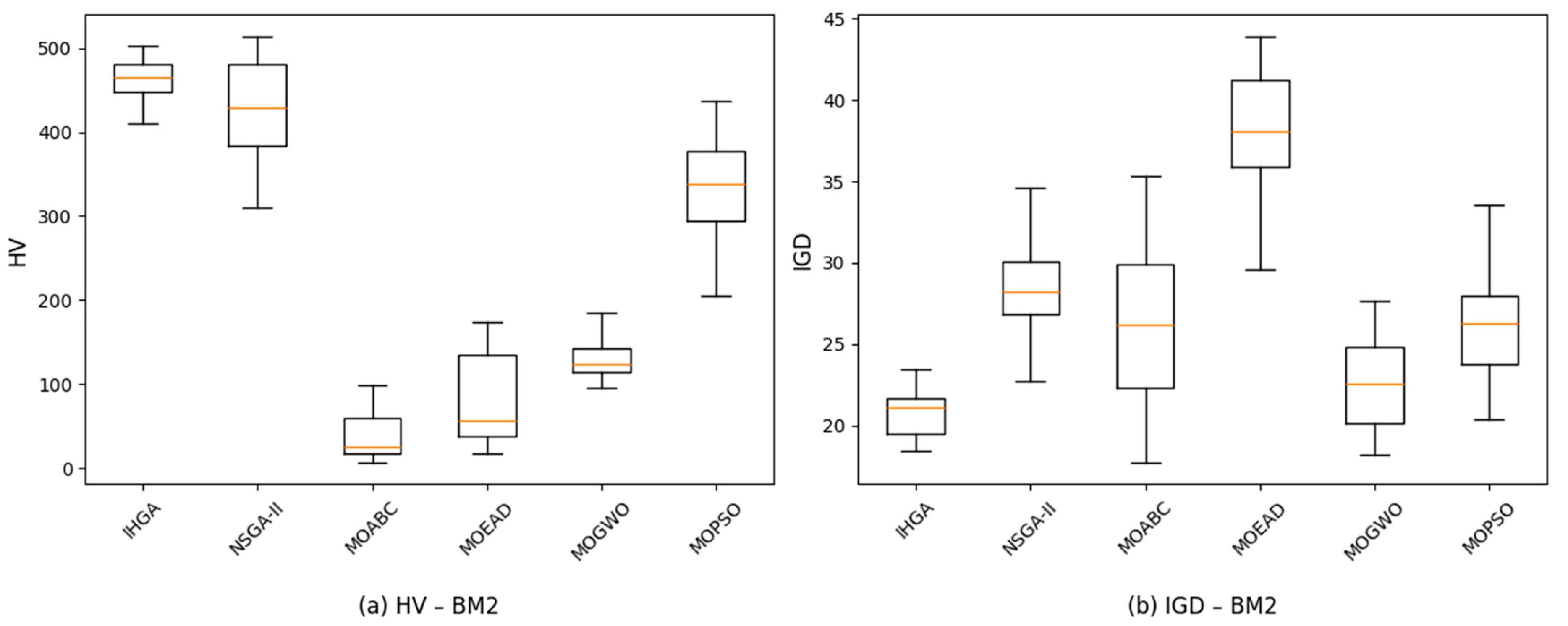
| BM 2 (n = 4, K= 62) | ||||||
| Algorithms | CT | FT | HV | IGD | NP | TOPSIS |
| IHGA | 18.30 | 87.90 | 472.64 | 21.95 | 0.25 | 1.00 |
| NSGA-II | 19.80 | 87.90 | 439.04 | 31.11 | 0.08 | 0.90 |
| MOABC | 27.70 | 106.06 | 20.17 | 24.55 | 0.25 | 0.29 |
| MOEAD | 30.10 | 106.38 | 36.50 | 37.14 | 0.08 | 0.13 |
| MOGWO | 31.95 | 87.90 | 123.23 | 25.21 | 0.17 | 0.27 |
| MOPSO | 22.75 | 88.19 | 353.05 | 19.23 | 0.17 | 0.70 |
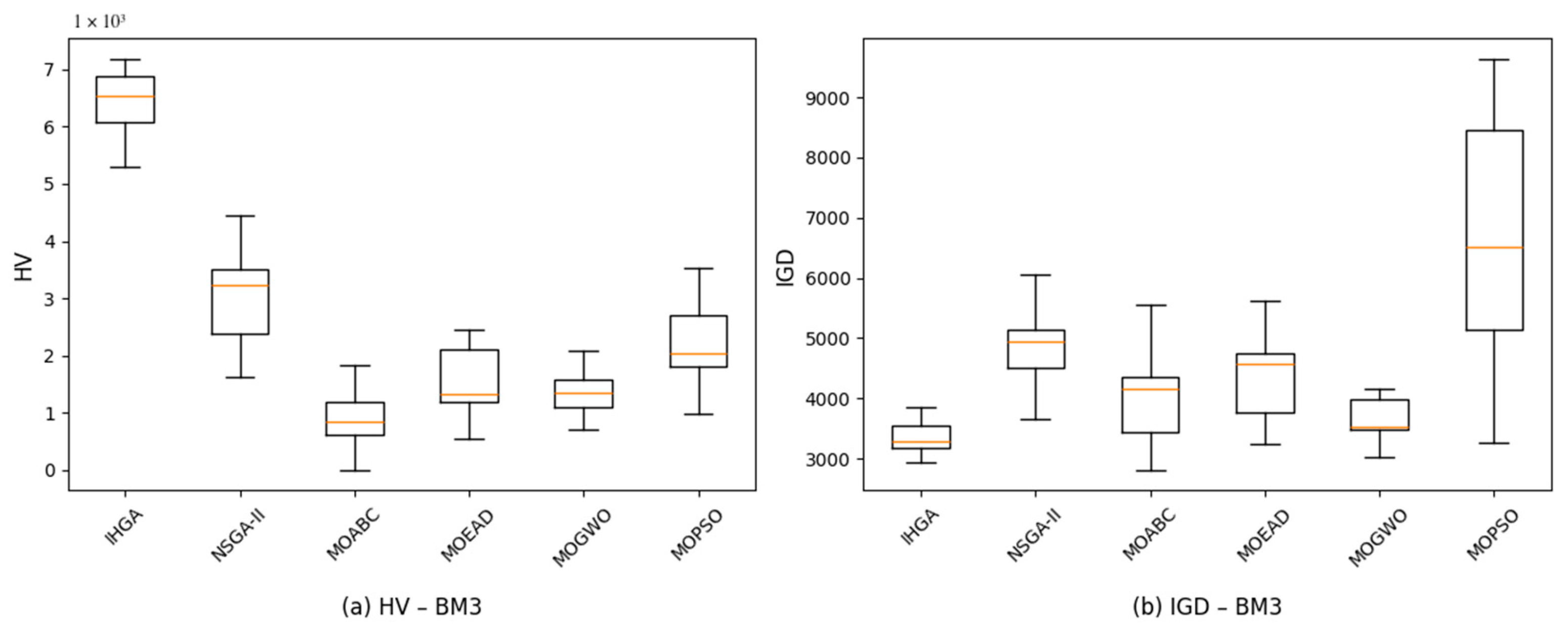
| BM 3 (n = 5, K= 112) | ||||||
| Algorithms | CT | FT | HV | IGD | NP | TOPSIS |
| IHGA | 31,725.67 | 145,709.27 | 645,447,067.40 | 3316.29 | 0.33 | 1.00 |
| NSGA-II | 34,648.00 | 163,890.60 | 336,390,076.40 | 4983.07 | 0.11 | 0.72 |
| MOABC | 39,243.00 | 212,236.40 | 112,323,234.21 | 3947.08 | 0.11 | 0.14 |
| MOEAD | 41,606.00 | 204,704.20 | 128,979,341.23 | 3947.08 | 0.11 | 0.09 |
| MOGWO | 31,768.50 | 166,512.00 | 146,591,649.20 | 3319.22 | 0.22 | 0.77 |
| MOPSO | 35,394.00 | 210,167.40 | 212,852,628.00 | 6321.21 | 0.11 | 0.32 |
Disclaimer/Publisher’s Note: The statements, opinions and data contained in all publications are solely those of the individual author(s) and contributor(s) and not of MDPI and/or the editor(s). MDPI and/or the editor(s) disclaim responsibility for any injury to people or property resulting from any ideas, methods, instructions or products referred to in the content. |
© 2025 by the authors. Licensee MDPI, Basel, Switzerland. This article is an open access article distributed under the terms and conditions of the Creative Commons Attribution (CC BY) license (https://creativecommons.org/licenses/by/4.0/).
Share and Cite
Rauf, M.; Mumtaz, J.; Adeel, R.; Minhas, K.A.; Usman, M. An Efficient Q-Learning-Based Multi-Objective Intelligent Hybrid Genetic Algorithm for Mixed-Model Assembly Line Efficiency. Symmetry 2025, 17, 811. https://doi.org/10.3390/sym17060811
Rauf M, Mumtaz J, Adeel R, Minhas KA, Usman M. An Efficient Q-Learning-Based Multi-Objective Intelligent Hybrid Genetic Algorithm for Mixed-Model Assembly Line Efficiency. Symmetry. 2025; 17(6):811. https://doi.org/10.3390/sym17060811
Chicago/Turabian StyleRauf, Mudassar, Jabir Mumtaz, Rabia Adeel, Kaynat Afzal Minhas, and Muhammad Usman. 2025. "An Efficient Q-Learning-Based Multi-Objective Intelligent Hybrid Genetic Algorithm for Mixed-Model Assembly Line Efficiency" Symmetry 17, no. 6: 811. https://doi.org/10.3390/sym17060811
APA StyleRauf, M., Mumtaz, J., Adeel, R., Minhas, K. A., & Usman, M. (2025). An Efficient Q-Learning-Based Multi-Objective Intelligent Hybrid Genetic Algorithm for Mixed-Model Assembly Line Efficiency. Symmetry, 17(6), 811. https://doi.org/10.3390/sym17060811


