Studies on Rhodanine Derivatives for Estimation of Chemical Reactivity Parameters by DFT
Abstract
1. Introduction
2. Materials and Methods
3. Results
3.1. Electrochemical and UV-Vis Data
3.2. Computation of Molecular and QSAR Properties
3.3. Computation of Ligands Chemical Reactivity Parameters
3.4. Correlation of Molecular and QSAR Properties
3.5. Correlation of Quantum Chemical Reactivity Parameters
4. Discussion
5. Conclusions
Supplementary Materials
Author Contributions
Funding
Data Availability Statement
Conflicts of Interest
Abbreviations
| A | electron affinity |
| B3LYP | Becke, 3-parameter, Lee–Yang–Parr |
| CME | chemically modified electrode |
| CV | cyclic voltammetry |
| DFT | density functional theory |
| DL | detection limit |
| DPV | differential pulse voltammetry |
| Ea1 | potential of the first anodic peak |
| Ec1 | potential of the first cathodic peak |
| CPE | controlled potential electrolysis |
| HBA | hydrogen bond acceptor |
| HBD | hydrogen bond donor |
| HOMO | highest occupied molecular orbital |
| HSAB | Pearson’s Hard and Soft Acids and Bases Principle |
| I | ionization potential |
| logP | octanol/water partition coefficient |
| LUMO | lowest unoccupied molecular orbital |
| MHP | maximum hardness principle |
| MinElPot | minimum value of electrostatic potential |
| PSA | polar surface area |
| QSAR | quantitative structure-activity relationship |
| TBAP | tetrabutylammonium perchlorate |
| THz | terahertz = 1012 cycles per second. “Tera” is the prefix in the SI system denoting 1012 (or a trillion); 1 THz = 1012Hz. |
| ΔE | energy gap between frontier molecular orbitals |
| η | global hardness |
| σ | global softness |
| χ | electronegativity |
| ω | global electrophilicity index |
References
- Marenich, A.V.; Ho, J.; Coote, M.L.; Cramer, C.J.; Truhlar, D.G. Computational Electrochemistry: Prediction of Liquid-Phase Reduction Potentials. Phys. Chem. Chem. Phys. 2014, 16, 15068–15106. [Google Scholar] [CrossRef]
- Ho, J.; Coote, M.; Cramer, C.; Truhlar, D. Theoretical Calculation of Reduction Potentials. In Organic Electrochemistry: Revised and Expanded; CRC Press: Boca Raton, FL, USA, 2015; pp. 229–259. ISBN 9781420084016. [Google Scholar]
- Mohan, M.; Pangannaya, S.; Satyanarayan, M.N.; Trivedi, D.R. Photophysical and Electrochemical Properties of Organic Molecules: Solvatochromic Effect and DFT Studies. Opt. Mater. 2018, 77, 211–220. [Google Scholar] [CrossRef]
- Stefaniu, A.; Pop, M.D.; Arnold, G.L.; Birzan, L.; Pintilie, L.; Diacu, E.; Ungureanu, E.M. DFT Calculations and Electrochemical Studies on Azulene Ligands for Heavy Metal Ions Detection Using Chemically Modified Electrodes. J. Electrochem. Sci. Eng. 2018, 8, 73–75. [Google Scholar] [CrossRef]
- Avcı, D.; Tamer, Ö.; Başoğlu, A.; Atalay, Y. 5-Methyl-2-Thiophenecarboxaldehyde: Experimental and TD/DFT Study. J. Mol. Struct. 2018, 1174, 52–59. [Google Scholar] [CrossRef]
- David, C.I.; Prabakaran, G.; Sundaram, K.; Ravi, S.; Parimala devi, D.; Abiram, A.; Nandhakumar, R. Rhodanine-Based Fluorometric Sequential Monitoring of Silver (I) and Iodide Ions: Experiment, DFT Calculation and Multifarious Applications. J. Hazard. Mater. 2021, 419, 126449. [Google Scholar] [CrossRef]
- Wang, L.; Ye, D.; Li, W.; Liu, Y.; Li, L.; Zhang, W.; Ni, L. Fluorescent and Colorimetric Detection of Fe(III) and Cu(II) by a Difunctional Rhodamine-Based Probe. Spectrochim. Acta A Mol. Biomol. Spectrosc. 2017, 183, 291–297. [Google Scholar] [CrossRef]
- Kulinich, A.V.; Derevyanko, N.A.; Ishchenko, A.A.; Gusyak, N.B.; Kobasa, I.M.; Romańczyk, P.P.; Kurek, S.S. Structure and Redox Properties of Polymethine Dyes: Electrochemical and DFT/TD-DFT Study. Dyes Pigm. 2019, 161, 24–33. [Google Scholar] [CrossRef]
- Kouassi, K.A.R.; Benié, A.; N’guessan, K.N.; Koné, M.G.-R.; Ganiyou, A.; Bohoussou, K.V.; Coulibaly, W.K. Orbital Analysis of Natural Bonds, Calculations of the Functional Theory of Density Time-Dependent and Absorption Spectral of a Series of Rhodanine Derivatives. Med. J. Chem. 2020, 10, 453. [Google Scholar] [CrossRef]
- Bai, C.-B.; Wang, W.-G.; Zhang, J.; Wang, C.; Qiao, R.; Wei, B.; Zhang, L.; Chen, S.-S.; Yang, S. A Fluorescent and Colorimetric Chemosensor for Hg2+ Based on Rhodamine 6G With a Two-Step Reaction Mechanism. Front. Chem. 2020, 8, 14. [Google Scholar] [CrossRef]
- Vishaka, H.V.; Saxena, M.; Chandan, H.R.; Ojha, A.A.; Balakrishna, R.G. Paper Based Field Deployable Sensor for Naked Eye Monitoring of Copper (II) Ions; Elucidation of Binding Mechanism by DFT Studies. Spectrochim. Acta A Mol. Biomol. Spectrosc. 2019, 223, 117291. [Google Scholar] [CrossRef]
- Ghosh, K.; Rathi, S. A Novel Probe for Selective Colorimetric Sensing of Fe(II) and Fe(III) and Specific Fluorometric Sensing of Fe(III): DFT Calculation and Logic Gate Application. RSC Adv. 2014, 4, 48516–48521. [Google Scholar] [CrossRef]
- Sen, P.; Mpeta, L.S.; Mack, J.; Nyokong, T. New Difluoroboron Complexes Based on N,O-Chelated Schiff Base Ligands: Synthesis, Characterization, DFT Calculations and Photophysical and Electrochemical Properties. J. Lumin. 2020, 224, 117262. [Google Scholar] [CrossRef]
- Vadivel, I.; Udhayakumari, D. A Review on Schiff Base as Colorimetric and Fluorescence Sensors for D-Metal Ions. Curr. Chem. Lett. 2023, 12, 739–758. [Google Scholar] [CrossRef]
- Santana, J.A.; Ishikawa, Y. DFT Calculations of the Electrochemical Adsorption of Sulfuric Acid Anions on the Pt(110) and Pt(100) Surfaces. Electrocatalysis 2020, 11, 86–93. [Google Scholar] [CrossRef]
- Rakib, E.M.; Boga, C.; Calvaresi, M.; Chigr, M.; Franchi, P.; Gualandi, I.; Ihammi, A.; Lucarini, M.; Micheletti, G.; Spinelli, D.; et al. A Multidisciplinary Study of Chemico-Physical Properties of Different Classes of 2-Aryl-5(or 6)-Nitrobenzimidazoles: NMR, Electrochemical Behavior, ESR, and DFT Calculations. Arab. J. Chem. 2021, 14, 103179. [Google Scholar] [CrossRef]
- Vasile (Corbei), A.-A.; Ungureanu, E.-M.; Stanciu, G.; Cristea, M.; Stefaniu, A. Evaluation of (Z)-5-(Azulen-1-Ylmethylene)-2-Thioxothiazolidin-4-Ones Properties Using Quantum Mechanical Calculations. Symmetry 2021, 13, 1462. [Google Scholar] [CrossRef]
- Guerraoui, A.; Goudjil, M.; Direm, A.; Guerraoui, A.; Şengün, İ.Y.; Parlak, C.; Djedouani, A.; Chelazzi, L.; Monti, F.; Lunedei, E.; et al. A Rhodanine Derivative as a Potential Antibacterial and Anticancer Agent: Crystal Structure, Spectral Characterization, DFT Calculations, Hirshfeld Surface Analysis, in Silico Molecular Docking and ADMET Studies. J. Mol. Struct. 2023, 1280, 135025. [Google Scholar] [CrossRef]
- Mousavi, S.M.; Zarei, M.; Hashemi, S.A.; Babapoor, A.; Amani, A.M. A Conceptual Review of Rhodanine: Current Applications of Antiviral Drugs, Anticancer and Antimicrobial Activities. Artif. Cells Nanomed. Biotechnol. 2019, 47, 1132–1148. [Google Scholar] [CrossRef]
- Krátký, M.; Vinšová, J.; Stolaříková, J. Antimicrobial Activity of Rhodanine-3-Acetic Acid Derivatives. Bioorg. Med. Chem. 2017, 25, 1839–1845. [Google Scholar] [CrossRef]
- Abdel Hafez, N.A.; Elsayed, M.A.; El-Shahawi, M.M.; Awad, G.E.A.; Ali, K.A. Synthesis and Antimicrobial Activity of New Thiazolidine-Based Heterocycles as Rhodanine Analogues. J. Heterocycl. Chem. 2018, 55, 685–691. [Google Scholar] [CrossRef]
- Wu, Y.; Ding, X.; Xu, S.; Yang, Y.; Zhang, X.; Wang, C.; Lei, H.; Zhao, Y. Design and Synthesis of Biaryloxazolidinone Derivatives Containing a Rhodanine or Thiohydantoin Moiety as Novel Antibacterial Agents against Gram-Positive Bacteria. Bioorg. Med. Chem. Lett. 2019, 29, 496–502. [Google Scholar] [CrossRef]
- Cheng, S.; Zou, Y.; Chen, X.; Chen, J.; Wang, B.; Tian, J.; Ye, F.; Lu, Y.; Huang, H.; Lu, Y.; et al. Design, Synthesis and Biological Evaluation of 3-Substituted-2-Thioxothiazolidin-4-One (Rhodanine) Derivatives as Antitubercular Agents against Mycobacterium tuberculosis Protein Tyrosine Phosphatase B. Eur. J. Med. Chem. 2023, 258, 115571. [Google Scholar] [CrossRef] [PubMed]
- Sung, H.; Ferlay, J.; Siegel, R.L.; Laversanne, M.; Soerjomataram, I.; Jemal, A.; Bray, F. Global Cancer Statistics 2020: GLOBOCAN Estimates of Incidence and Mortality Worldwide for 36 Cancers in 185 Countries. CA Cancer J. Clin. 2021, 71, 209–249. [Google Scholar] [CrossRef]
- bin Ahmad Kamar, A.K.D.; Ju Yin, L.; Tze Liang, C.; Tjin Fung, G.; Avupati, V.R. Rhodanine Scaffold: A Review of Antidiabetic Potential and Structure–Activity Relationships (SAR). Med. Drug Discov. 2022, 15, 100131. [Google Scholar] [CrossRef]
- Rai, H.; Singh, R.; Bharti, P.S.; Kumar, P.; Rai, S.; Varma, T.; Chauhan, B.S.; Nilakhe, A.S.; Debnath, J.; Dhingra, R.; et al. Rhodanine Composite Fluorescence Probes to Detect Pathological Hallmarks in Alzheimer’s Disease Models. Sens. Actuators B Chem. 2024, 407, 135364. [Google Scholar] [CrossRef]
- Sun, J.; Zhong, H.; Wang, K.; Li, N.; Chen, L. Gains from No Real PAINS: Where ‘Fair Trial Strategy’ Stands in the Development of Multi-Target Ligands. Acta Pharm. Sin. B 2021, 11, 3417–3432. [Google Scholar] [CrossRef] [PubMed]
- Kratky, M.; Sramel, P.; Bodo, P.; Prnova, M.S.; Kovacikova, L.; Majekova, M.; Vinsova, J.; Stefek, M. Novel Rhodanine Based Inhibitors of Aldose Reductase of Non-Acidic Nature with p-Hydroxybenzylidene Functional Group. Eur. J. Med. Chem. 2023, 246, 114922. [Google Scholar] [CrossRef]
- Hiba, I.H.; Koh, J.K.; Lai, C.W.; Mousavi, S.M.; Badruddin, I.A.; Hussien, M.; Wong, J.P. Polyrhodanine-Based Nanomaterials for Biomedical Applications: A Review. Heliyon 2024, 10, e28902. [Google Scholar] [CrossRef] [PubMed]
- Leslee, D.B.C.; Karuppannan, S.; Karmegam, M.V.; Gandhi, S.; Subramanian, S.A. Fluorescent Turn-On Carbazole-Rhodanine Based Sensor for Detection of Ag+ Ions and Application in Ag+ Ions Imaging in Cancer Cells. J. Fluoresc. 2019, 29, 75–89. [Google Scholar] [CrossRef]
- Nan, Z.; Min, Z.; Chun-xiang, H.; Zhao-qiang, J.; Li-fen, L. An Improved Spectrophotometric Method for the Determination of Silver with 5-[p-(Dimethylamino)Benzylidene]Rhodanine. Talanta 1990, 37, 531–533. [Google Scholar] [CrossRef]
- Ludlow, J.W.; Guikema, J.A.; Consigli, R.A. Use of 5-(4-Dimethylaminobenzylidene)Rhodanine in Quantitating Silver Grains Eluted from Autoradiograms of Biological Material. Anal. Biochem. 1986, 154, 104–109. [Google Scholar] [CrossRef] [PubMed]
- Chandrasekaran, P.O.; Aswathy, A.; James, K.; Kala, K.; Ragi, M.T.; Manoj, N. A Molecular Chameleon: Fluorometric to Pb2+, Fluorescent Ratiometric to Hg2+ and Colorimetric to Ag+ Ions. J. Photochem. Photobiol. A Chem. 2021, 407, 113050. [Google Scholar] [CrossRef]
- Wang, Y.; Xu, T.; Song, E.; Jiang, Y.; Wang, F.; Gu, C.; Ju, X.; Bian, Y.; Song, Y.; Kengara, F.O.; et al. Ultrasensitive Detection of Trace Hg(II) in Acidic Conditions Using DMABR Loaded on Sepiolite: Function, Application and Mechanism Studies. J. Hazard. Mater. 2024, 474, 134734. [Google Scholar] [CrossRef] [PubMed]
- Chen, Y.; Han, S.; Yang, S.; Pu, Q. Rhodanine Stabilized Gold Nanoparticles for Sensitive and Selective Detection of Mercury (II). Dyes Pigm. 2017, 142, 126–131. [Google Scholar] [CrossRef]
- Bayindir, S. A Simple Rhodanine-Based Fluorescent Sensor for Mercury and Copper: The Recognition of Hg2+ in Aqueous Solution, and Hg2+/Cu2+ in Organic Solvent. J. Photochem. Photobiol. A Chem. 2019, 372, 235–244. [Google Scholar] [CrossRef]
- Saleh Hussein, A.; Lafzi, F.; Bayindir, S.; Toprak, M. The Selective Turn-on Recognition of Fluoride Ions Using 5-Aryl-Rhodanines: Colorimetric & Fluorescent Detection. J. Photochem. Photobiol. A Chem. 2023, 438, 114574. [Google Scholar] [CrossRef]
- Lin, J.; Jiang, C.; Liu, Z.; Zhao, J.; Huo, L.; Fan, E.; Zhang, P.; Deng, K. Porous Hollow Carbon Microspheres from Poly(Aniline-Co-Rhodanine) Prepared in Micellar Template for High-Performance Supercapacitors. J. Energy Storage 2024, 83, 110674. [Google Scholar] [CrossRef]
- Altunbaş, E.; Solmaz, R.; Kardaş, G. Corrosion Behaviour of Polyrhodanine Coated Copper Electrode in 0.1M H2SO4 Solution. Mater. Chem. Phys. 2010, 121, 354–358. [Google Scholar] [CrossRef]
- Solmaz, R.; Altunbaş Şahin, E.; Döner, A.; Kardaş, G. The Investigation of Synergistic Inhibition Effect of Rhodanine and Iodide Ion on the Corrosion of Copper in Sulphuric Acid Solution. Corros. Sci. 2011, 53, 3231–3240. [Google Scholar] [CrossRef]
- Umoren, S.A.; Solomon, M.M. Protective Polymeric Films for Industrial Substrates: A Critical Review on Past and Recent Applications with Conducting Polymers and Polymer Composites/Nanocomposites. Prog. Mater. Sci. 2019, 104, 380–450. [Google Scholar] [CrossRef]
- Wang, G.; Huang, Y.; Tang, X.; Li, J.; Dai, J.; Liu, B.; Zhang, J.; Xiong, J. A Rhodanine Modified Poly-Triarylamine Dye Function as a Hole Transport Layer for Inverted Perovskite Solar Cells. Dyes Pigm. 2024, 222, 111843. [Google Scholar] [CrossRef]
- Bulut, N.; Keser, S.; Zanchet, A.; Zuchowski, P.S.; Ates, T.; Kilic, İ.; Kaygili, O. A Comprehensive Study of Cytosine-ZnO Interactions: Theoretical and Experimental Insights. Phys. B Condens. Matter 2025, 697, 416732. [Google Scholar] [CrossRef]
- Boulkroune, M.; Ignatovich, L.; Muravenko, V.; Spura, J.; Chibani, A.; Jouikov, V. Correlation of the Homo–Lumo Gap in Furyl and Thienyl Nitrones and Nitroethenes with Their Electrochemical Redox Potentials*. Chem. Heterocycl. Compd. 2014, 49, 1579–1588. [Google Scholar] [CrossRef]
- Hu, T.; Lai, Q.; Fan, W.; Zhang, Y.; Liu, Z. Advances in Portable Heavy Metal Ion Sensors. Sensors 2023, 23, 4125. [Google Scholar] [CrossRef] [PubMed]
- Bai, C.; Meng, Q.; Song, Q.; Wang, S.; Chen, M.; Wang, X.; Liu, X.; Wei, B.; Qiao, R.; Zhang, L.; et al. A Novel Colorimetric/Fluorometric Dual-Channel Probe for Selective Detection of Sn2+ with Long-Wavelength Emission and Its Bioimaging Applications. Sens. Actuators B Chem. 2024, 417, 136135. [Google Scholar] [CrossRef]
- Brovelli, F.; Rivas, B.L.; Bernède, J.C.; del Valle, M.A.; Díaz, F.R.; Berredjem, Y. Electrochemical and Optical Studies of 1,4-Diaminoanthraquinone for Solar Cell Applications. Polym. Bull. 2007, 58, 521–527. [Google Scholar] [CrossRef]
- Wu, T.Y.; Tsao, M.H.; Chen, F.L.; Su, S.G.; Chang, C.W.; Wang, H.P.; Lin, Y.C.; Sun, I.W. Synthesis and Characterization of Three Organic Dyes with Various Donors and Rhodanine Ring Acceptor for Use in Dye-Sensitized Solar CellsJ. Iran. Chem. Soc. 2010, 7, 707–720. [Google Scholar] [CrossRef]
- Méndez-Hernández, D.D.; Tarakeshwar, P.; Gust, D.; Moore, T.A.; Moore, A.L.; Mujica, V. Simple and Accurate Correlation of Experimental Redox Potentials and DFT-Calculated HOMO/LUMO Energies of Polycyclic Aromatic Hydrocarbons. J. Mol. Model. 2013, 19, 2845–2848. [Google Scholar] [CrossRef]
- Becke, A.D. Density-Functional Exchange-Energy Approximation with Correct Asymptotic Behavior. Phys. Rev. A 1988, 38, 3098–3100. [Google Scholar] [CrossRef]
- Becke, A.D. Density-functional Thermochemistry. IV. A New Dynamical Correlation Functional and Implications for Exact-exchange Mixing. J. Chem. Phys. 1996, 104, 1040–1046. [Google Scholar] [CrossRef]
- Chen, L.; Süß, D.; Sukuba, I.; Schauperl, M.; Probst, M.; Maihom, T.; Kaiser, A. Performance of DFT Functionals for Properties of Small Molecules Containing Beryllium, Tungsten and Hydrogen. Nucl. Mater. Energy 2020, 22, 100731. [Google Scholar] [CrossRef]
- Ungureanu, E.M.; Popescu, M.; Tatu, G.L.; Birzan, L.; Isopescu, R.; Stanciu, G.; Buica, G.O. Electrochemical Comparison on New (Z)-5-(Azulen-1-Ylmethylene)-2-Thioxo-Thiazolidin-4-Ones. Symmetry 2021, 13, 588. [Google Scholar] [CrossRef]
- Arnold, G.L.; Lazar, I.G.; Buica, G.O.; Ungureanu, E.M.; Birzan, L. New Azulene Modified Electrodes for Heavy Metal Ions Recognition. Bulg. Chem. Commun. 2017, 49, 205–210. [Google Scholar]
- Kshirsagar, V.; Gandhem, S.; Gautam, M.D. Electrochemical Studies on P-Dimethylaminobenzylidine Rhodanine and Its Application as Amperometric Reagent. Rasayan J. Chem. 2010, 3, 772–776. [Google Scholar]
- Sada, P.K.; Bar, A.; Jassal, A.K.; Kumar, P.; Srikrishna, S.; Singh, A.K.; Kumar, S.; Singh, L.; Rai, A. A Novel Rhodamine Probe Acting as Chemosensor for Selective Recognition of Cu2+ and Hg2+ Ions: An Experimental and First Principle Studies. J. Fluoresc. 2024, 34, 2035–2055. [Google Scholar] [CrossRef] [PubMed]
- Thamaraiselvi, P.; Duraipandy, N.; Kiran, M.S.; Easwaramoorthi, S. Triarylamine Rhodanine Derivatives as Red Emissive Sensor for Discriminative Detection of Ag+ and Hg2+ Ions in Buffer-Free Aqueous Solutions. ACS Sustain. Chem. Eng. 2019, 7, 9865–9874. [Google Scholar] [CrossRef]
- Buica, G.-O.; Ungureanu, E.-M.; Birzan, L.; Razus, A.; Bujduveanu, M.-R. Films of Poly(4-Azulen-1-Yl-2,6-Bis(2-Thienyl) Pyridine) for Heavy Metals Ions Complexation. Electrochim. Acta 2011, 56, 5028–5036. [Google Scholar] [CrossRef]
- Matica, O.T.; Brotea, A.G.; Ungureanu, E.-M.; Mandoc, L.R.; Birzan, L. Electrochemical and Spectral Studies of Rhodanine in View of Heavy Metals Determination. Electrochem. Sci. Adv. 2023, 3, e2100218. [Google Scholar] [CrossRef]
- Matica, O.T.; Brotea, A.G.; Ungureanu, E.-M.; Stefaniu, A. Electrochemical and Spectral Studies on Benzylidenerhodanine for Sensor Development for Heavy Metals in Waters. Appl. Sci. 2022, 12, 2681. [Google Scholar] [CrossRef]
- Matica, O.T.; Musina, C.; Brotea, A.G.; Ungureanu, E.M.; Cristea, M.; Isopescu, R.; Buica, G.O.; Razus, A.C. Electrochemistry of Rhodanine Derivatives as Model for New Colorimetric and Electrochemical Azulene Sensors for the Detection of Heavy Metal Ions. Symmetry 2023, 15, 752. [Google Scholar] [CrossRef]
- Birzan, L.; Cristea, M.; Draghici, C.C.; Tecuceanu, V.; Maganu, M.; Hanganu, A.; Razus, A.C.; Buica, G.O.; Ungureanu, E.M. Vinylazulenes Chromophores: Synthesis and Characterization. Dyes Pigm. 2016, 131, 246–255. [Google Scholar] [CrossRef]
- Shao, Y.; Molnar, L.F.; Jung, Y.; Kussmann, J.; Ochsenfeld, C.; Brown, S.T.; Gilbert, A.T.B.; Slipchenko, L.V.; Levchenko, S.V.; O’Neill, D.P.; et al. Advances in Methods and Algorithms in a Modern Quantum Chemistry Program Package. Phys. Chem. Chem. Phys. 2006, 8, 3172–3191. [Google Scholar] [CrossRef] [PubMed]
- Parr, R.G.; Weitao, Y. Density-Functional Theory of Atoms and Molecules; Oxford University Press: Oxford, UK, 1995; ISBN 9780195092769. [Google Scholar]
- Lee, C.; Yang, W.; Parr, R.G. Development of the Colle-Salvetti Correlation-Energy Formula into a Functional of the Electron Density. Phys. Rev. B 1988, 37, 785–789. [Google Scholar] [CrossRef] [PubMed]
- Hehre, W.J. A Guide to Molecular Mechanics and Quantum Chemical Calculations; Wavefunction: Irvine, CA, USA, 2003; ISBN 189066118X. [Google Scholar]
- Chai, J.-D.; Head-Gordon, M. Long-Range Corrected Hybrid Density Functionals with Damped Atom–Atom Dispersion Corrections. Phys. Chem. Chem. Phys. 2008, 10, 6615–6620. [Google Scholar] [CrossRef]
- Sastri, V.S.; Perumareddi, J.R. Molecular Orbital Theoretical Studies of Some Organic Corrosion Inhibitors. Corrosion 1997, 53, 617–622. [Google Scholar] [CrossRef]
- Yankova, R.; Genieva, S.; Halachev, N.; Dimitrova, G. Molecular Structure, Vibrational Spectra, MEP, HOMO-LUMO and NBO Analysis of Hf(SeO3)(SeO4)(H2O)4. J. Mol. Struct. 2016, 1106, 82–88. [Google Scholar] [CrossRef]
- Pearson, R.G.; Songstad, J. Application of the Principle of Hard and Soft Acids and Bases to Organic Chemistry. J. Am. Chem. Soc. 1967, 89, 1827–1836. [Google Scholar] [CrossRef]
- Pearson, R.G. Recent Advances in the Concept of Hard and Soft Acids and Bases. J. Chem. Educ. 1987, 64, 561. [Google Scholar] [CrossRef]
- De Proft, F.; Liu, S.; Parr, R.G. Chemical Potential, Hardness, Hardness and Softness Kernel and Local Hardness in the Isomorphic Ensemble of Density Functional Theory. J. Chem. Phys. 1997, 107, 3000–3006. [Google Scholar] [CrossRef]
- Luo, X.; Huang, W.; Shi, Q.; Xu, W.; Luan, Y.; Yang, Y.; Wang, H.; Yang, W. Electrochemical Sensor Based on Lead Ion-Imprinted Polymer Particles for Ultra-Trace Determination of Lead Ions in Different Real Samples. RSC Adv. 2017, 7, 16033–16040. [Google Scholar] [CrossRef]
- Murugaperumal, P.; Nallathambi, S. A Comprehensive Review on Colorimetric and Fluorometric Investigations of Dual Sensing Chemosensors for Cu2+ and Fe3+ Ions from the Year 2017 to 2023. Spectrochim. Acta A Mol. Biomol. Spectrosc. 2025, 326, 125193. [Google Scholar] [CrossRef] [PubMed]
- Zarrouk, A.; Zarrok, H.; Salghi, R.; Hammouti, B.; Al-Deyab, S.S.; Touzani, R.; Bouachrine, M.; Warad, I.; Hadda, T.B. A Theoretical Investigation on the Corrosion Inhibition of Copper by Quinoxaline Derivatives in Nitric Acid Solution. Int. J. Electrochem. Sci. 2012, 7, 6353–6364. [Google Scholar] [CrossRef]
- Liu, M.; Wang, K.; Wang, H.; Lu, J.; Xu, S.; Zhao, L.; Wang, X.; Du, J. Simple and Sensitive Colorimetric Sensors for the Selective Detection of Cu(II). RSC Adv. 2021, 11, 11732–11738. [Google Scholar] [CrossRef] [PubMed]
- Wang, H.; Wang, X.; Wang, H.; Wang, L.; Liu, A. DFT Study of New Bipyrazole Derivatives and Their Potential Activity as Corrosion Inhibitors. J. Mol. Model. 2007, 13, 147–153. [Google Scholar] [CrossRef] [PubMed]
- Parr, R.G.; v. Szentpály, L.; Liu, S. Electrophilicity Index. J. Am. Chem. Soc. 1999, 121, 1922–1924. [Google Scholar] [CrossRef]
- Fatma, N.; Mehata, M.S.; Pandey, N.; Pant, S. Flavones Fluorescence-Based Dual Response Chemosensor for Metal Ions in Aqueous Media and Fluorescence Recovery. J. Fluoresc. 2020, 30, 759–772. [Google Scholar] [CrossRef]
- Roy, N.; Dutta, A.; Mondal, P.; Paul, P.C.; Sanjoy Singh, T. Coumarin Based Fluorescent Probe for Colorimetric Detection of Fe3+ and Fluorescence Turn On-Off Response of Zn2+ and Cu2+. J. Fluoresc. 2017, 27, 1307–1321. [Google Scholar] [CrossRef]





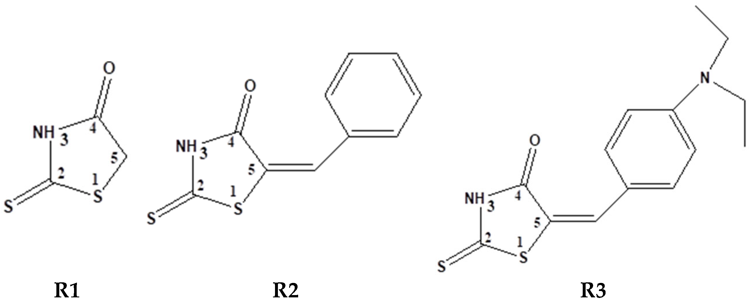
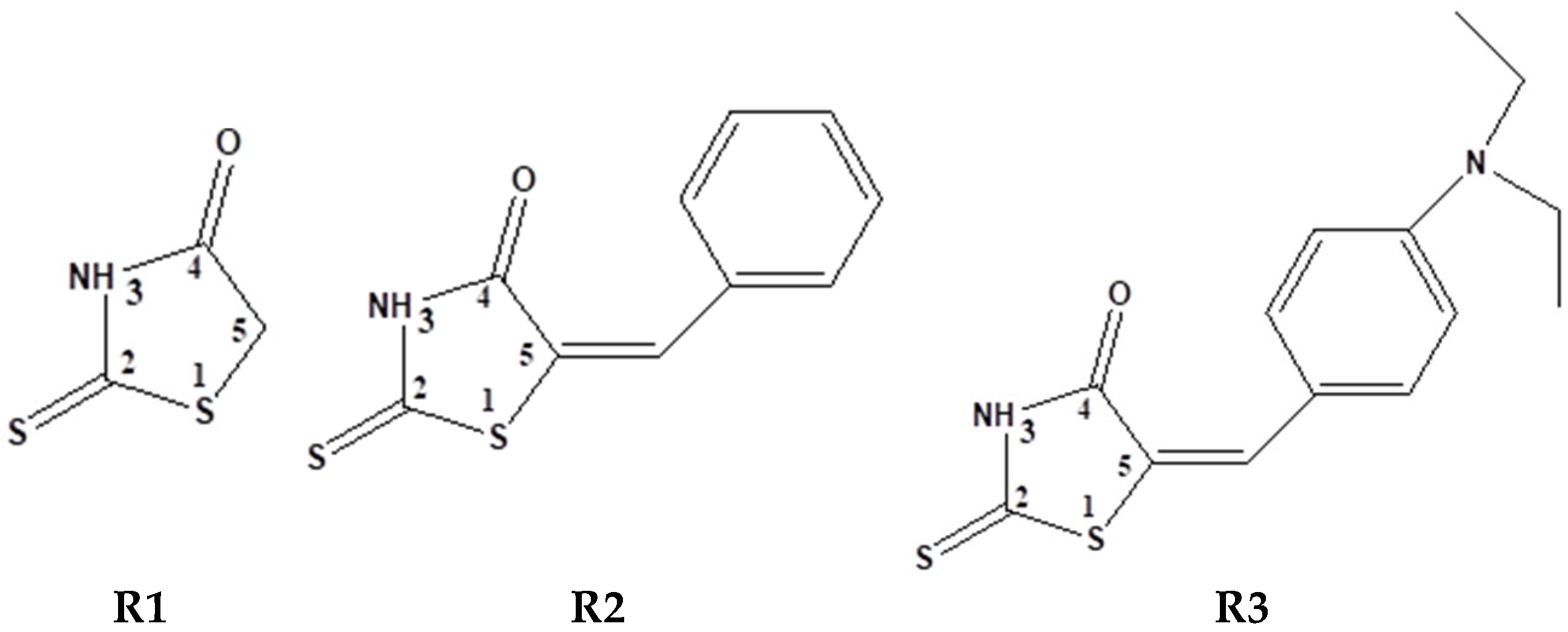
| Crt. No. | Property\Ligand | R1 | R2 | R3 |
|---|---|---|---|---|
| 1 | Ea1 (V) from DPV 0.5 mM | +1.234 V (a1) | +0.681 V (a1) +0.811 V (a2) | +0.436 V (a1) +0.753 V (a2) |
| 2 | Ec1 (V) from DPV 0.5 mM | −2.084 V (c1) | −1.522 V (c1) | −1.759 V (c1) −3.151 V (c3) |
| 3 | UV-Vis maximum wavelength (nm)/frequency (THz) | 293.5/1021.44 | 374/801.58 | 474/632.47 |
| Reference | [59] | [60] | [61] |
| R1 | R2 | R3 | |
|---|---|---|---|
| 1 | ![]() | ![]() | ![]() |
| 2 | ![]() | ![]() | ![]() |
| Crt. No. | Property\Ligand | R1 | R2 | R3 |
|---|---|---|---|---|
| 1 | DLCd | 10−6 | 5∙10−6 | 10−6 |
| 2 | DLPb | 5∙10−8 | 7∙10−7 | 10−8 |
| 3 | DLCu | 10−6 | 10−5 | 10−5 |
| 4 | DLHg | 2∙10−6 | 10−5 | 5∙10−6 |
| Reference | [59] | [60] | [61] |
| Compound | λmax (nm) | A (λmax) vs. C (R2) | Reference |
|---|---|---|---|
| R1 | 293.5 | A (293.5) = −0.0635 + 0.089•C (0.975) | [59] |
| 251 | A (251) = −0.0623 + 0.0753•C (0.974) | ||
| R2 | 374 | A (374) = −0.026 + 0.0699•C (0.999) | [60] |
| 360 | A (360) = −0.025 + 0.0650•C (0.999) | ||
| 272.2 | A (272) = −0.030 + 0.0185•C (0.999) | ||
| 237 | A (237) = 0.013 + 0.0168•C (0.999) | ||
| R3 | 474 | A (474) = −0.0216 + 0.0689•C (0.992) | [61] |
| 321 | A (321) = 0.0057 + 0.0179•C (0.994) | ||
| 295 | A (295) = 0.0059 + 0.0249•C (0.994) | ||
| 251 | A (251) = 0.0008 + 0.0214•C (0.993) |
| Crt. Nr. | Parameter\Compound | Method | R1 C3H3NOS2 | R2 C10H7NOS2 | R3 C16H16N2OS2 |
|---|---|---|---|---|---|
| 1 | Molecular weight (g·mol−1) | 133.191 | 221.301 | 292.424 | |
| 2 | Energy (au) | B3LYP | −1042.62 | −1311.84 | −1524.49 |
| ωB97XD | −1042.50 | −1311.61 | −1524.20 | ||
| 3 | Dipolemoment (D) | B3LYP | 2.06 | 3.98 | 8.84 |
| ωB97XD | 2.15 | 3.91 | 8.10 | ||
| 4 | EHOMO (eV) | B3LYP | −6.79 | −6.58 | −5.67 |
| ωB97XD | −8.85 | −8.42 | −7.41 | ||
| 5 | ELUMO (eV) | B3LYP | −2.36 | −2.99 | −2.55 |
| ωB97XD | −0.45 | −1.23 | −0.86 | ||
| 6 | Area (Å2) | B3LYP | 126.91 | 220.5 | 308.84 |
| ωB97XD | 126.42 | 219.61 | 306.68 | ||
| 7 | Volume (Å3) | B3LYP | 104.28 | 201.62 | 287.6 |
| ωB97XD | 103.87 | 200.9 | 286.33 | ||
| 8 | PSA (Å2) | B3LYP | 26.157 | 26.048 | 27.017 |
| ωB97XD | 26.085 | 25.931 | 26.825 | ||
| 9 | Ovalityindex | B3LYP | 1.18 | 1.33 | 1.47 |
| ωB97XD | 1.18 | 1.32 | 1.46 | ||
| 10 | Polarizability (10−30 m3) | B3LYP | 48.78 | 56.88 | 63.97 |
| ωB97XD | 47.82 | 55.97 | 63.05 | ||
| 11 | LogP | B3LYP | 0.26 | 2.04 | 3.00 |
| ωB97XD | 0.26 | 2.04 | 3.00 | ||
| 12 | MinLocIonPot (kJ·mol−1) | B3LYP | 7.82 | 7.73 | 7.37 |
| ωB97XD | 10.02 | 9.94 | 9.63 | ||
| 13 | MinElPot (kJ·mol−1) | B3LYP | −135.18 | −148.26 | −175.37 |
| ωB97XD | −135.56 | −145.35 | −168.09 |
| Crt. Nr. | Parameter\Compound | Method | R1 C3H3NOS2 | R2 C10H7NOS2 | R3 C16H16N2OS2 |
|---|---|---|---|---|---|
| 1 | Molecular weight (g·mol−1) | 133.191 | 221.301 | 292.424 | |
| 2 | Energy (au) | B3LYP | −1042.64 | −1311.85 | −1524.52 |
| ωB97XD | −1042.51 | −1311.62 | −1524.22 | ||
| 3 | Dipole moment (D) | B3LYP | 3.48 | 5.87 | 14.12 |
| ωB97XD | 3.69 | 5.65 | 12.09 | ||
| 4 | EHOMO (eV) | B3LYP | −6.78 | −6.47 | −5.50 |
| ωB97XD | −8.87 | −8.33 | −7.22 | ||
| 5 | ELUMO (eV) | B3LYP | −2.25 | −2.95 | −2.67 |
| ωB97XD | −0.36 | −1.21 | −1.03 | ||
| 6 | Area (Å2) | B3LYP | 126.89 | 220.67 | 310.57 |
| ωB97XD | 126.40 | 219.84 | 306.66 | ||
| 7 | Volume (Å3) | B3LYP | 104.22 | 201.68 | 288.11 |
| ωB97XD | 103.80 | 201.00 | 286.40 | ||
| 8 | PSA (Å2) | B3LYP | 26.25 | 26.16 | 26.92 |
| ωB97XD | 26.17 | 26.05 | 26.89 | ||
| 9 | Ovality index | B3LYP | 1.18 | 1.33 | 1.47 |
| ωB97XD | 1.18 | 1.32 | 1.46 | ||
| 10 | Polarizability (10−30 m3) | B3LYP | 48.76 | 56.90 | 64.08 |
| ωB97XD | 47.79 | 56.00 | 63.14 | ||
| 11 | LogP | B3LYP | 0.26 | 2.04 | 3.00 |
| ωB97XD | 0.26 | 2.04 | 3.00 | ||
| 12 | MinLocIonPot (kJ·mol−1) | B3LYP | 7.77 | 7.79 | 7.63 |
| ωB97XD | 9.98 | 10.02 | 9.91 | ||
| 13 | MinElPot (kJ·mol−1) | B3LYP | −151.36 | −172.48 | −221.79 |
| ωB97XD | −149.24 | −163.60 | −202.17 |
| Crt. No. | Parameter, Units | Parameter’ Formula | R1 | R2 | R3 | |||
|---|---|---|---|---|---|---|---|---|
| B3LYP | ωB97XD | B3LYP | ωB97XD | B3LYP | ωB97XD | |||
| 1 | Ionization potential (I), eV | I = −EHOMO | 6.790 | 8.850 | 6.580 | 8.420 | 5.670 | 7.410 |
| 2 | Electron affinity (A), eV | A = −ELUMO | 2.360 | 0.450 | 2.990 | 1.230 | 2.550 | 0.860 |
| 3 | Energy gap (ΔE) | ΔE = I − A | 4.430 | 8.400 | 3.590 | 7.190 | 3.120 | 6.550 |
| 4 | Electronegativity (χ), eV | χ = (I + A)/2 | 4.575 | 4.650 | 4.785 | 4.825 | 4.110 | 4.135 |
| 5 | Global hardness (η), eV | η = (I − A)/2 | 2.215 | 4.200 | 1.795 | 3.595 | 1.560 | 3.275 |
| 6 | Global softness (σ), (eV)−1 | σ = l/η | 0.451 | 0.238 | 0.557 | 0.278 | 0.641 | 0.305 |
| 7 | Global electrophilicity index (ω), eV | ω = μ2/2 η | 4.725 | 2.574 | 6.378 | 3.238 | 5.414 | 2.610 |
| Crt. No. | Parameter, Units | Parameter’ Formula | R1 | R2 | R3 | |||
|---|---|---|---|---|---|---|---|---|
| B3LYP | ωB97XD | B3LYP | ωB97XD | B3LYP | ωB97XD | |||
| 1 | Ionization potential (I), eV | I = −EHOMO | 6.780 | 8.870 | 6.470 | 8.330 | 5.500 | 7.220 |
| 2 | Electron affinity (A), eV | A = −ELUMO | 2.250 | 0.360 | 2.950 | 1.210 | 2.670 | 1.030 |
| 3 | Energy gap (ΔE) | ΔE = I − A | 4.530 | 8.510 | 3.520 | 7.120 | 2.830 | 6.190 |
| 4 | Electronegativity (χ), eV | χ = (I + A)/2 | 4.515 | 4.615 | 4.710 | 4.770 | 4.085 | 4.125 |
| 5 | Global hardness (η), eV | η = (I − A)/2 | 2.265 | 4.255 | 1.760 | 3.560 | 1.415 | 3.095 |
| 6 | Global softness (σ), (eV)−1 | σ = l/η | 0.442 | 0.235 | 0.568 | 0.281 | 0.707 | 0.323 |
| 7 | Global electrophilicity index (ω), eV | ω = μ2/2 η | 4.725 | 2.503 | 6.302 | 3.196 | 5.897 | 2.749 |
| Correlation | Method | Medium | a | B | R2 |
|---|---|---|---|---|---|
| Electrochemical oxidation potential (y in V) vs. EHOMO (x in eV) | B3LYP | Gas | −5.14 | −1.69 | 0.7349 |
| Solvent | −4.85 | −1.96 | 0.7836 | ||
| ωB97XD | Gas | −6.64 | −2.23 | 0.8315 | |
| Solvent | −6.30 | −2.58 | 0.8545 | ||
| Electrochemical reduction potential (y in V) vs. ELUMO (x in eV) | B3LYP | Gas | −5.57 | −1.68 | 0.7677 |
| Solvent | −6.23 | −2.06 | 0.9737 | ||
| ωB97XD | Gas | −4.77 | −2.24 | 0.9397 | |
| Solvent | −5.51 | −2.66 | 0.9981 | ||
| UV-Vis frequency (y in tHz) vs. EHOMO (x in eV) | B3LYP | Gas | −1078.70 | −298.93 | 0.8326 |
| Solvent | −887.01 | −272.88 | 0.8729 | ||
| ωB97XD | Gas | −1252.72 | −251.77 | 0.9106 | |
| Solvent | −999.26 | −223.31 | 0.9278 | ||
| UV-Vis frequency (y in tHz) vs. ELUMO (x in eV) | B3LYP | Gas | 1398.47 | 220.24 | nlc |
| Solvent | 1769.19 | 362.40 | nlc | ||
| ωB97XD | Gas | 1067.28 | 293.84 | nlc | |
| Solvent | 1118.75 | 346.44 | 0.6331 | ||
| UV Vis frequency (y in tHz) vs. ΔE (x in eV) | B3LYP | Gas | −268.70 | 292.78 | 0.9925 |
| Solvent | −8.32 | 227.98 | 0.9989 | ||
| ωB97XD | Gas | −705.72 | 206.53 | 0.9899 | |
| Solvent | −395.54 | 166.92 | 0.9985 |
| Crt. No. | Correlated Parameters | Medium | a | b | R2 | |||
|---|---|---|---|---|---|---|---|---|
| B3LYP | ωB97XD | B3LYP | ωB97XD | B3LYP | ωB97XD | |||
| 1 | Energy (y in au) vs. A (x) | Gas | nlc | nlc | nlc | nlc | nlc | nlc |
| Solvent | −126.12 | −923.30 | −444.81 | −426.34 | 0.4211 | 0.6258 | ||
| 2 | Energy (y in au) vs. I (x) | Gas | −3649.91 | −3862.43 | 371.36 | 312.36 | 0.8382 | 0.9148 |
| Solvent | −3410.79 | −3547.44 | 338.85 | 276.98 | 0.8779 | 0.9317 | ||
| 3 | Dipole moment (y in D) vs. A (x) | Gas | nlc | nlc | nlc | nlc | nlc | nlc |
| Solvent | nlc | nlc | nlc | nlc | nlc | nlc | ||
| 4 | Dipole moment (y in D) vs. I (x) | Gas | 42.02 | 38.74 | −5.84 | −4.14 | 0.9985 | 0.9999 |
| Solvent | 60.06 | 49.45 | −8.36 | −5.20 | 0.9997 | 0.9897 | ||
| 5 | Oxidation potential (y in V) vs. I (x) | Gas | −2.05 | −2.35 | 0.43 | 0.37 | 0.7349 | 0.8315 |
| Solvent | −1.79 | −1.99 | 0.40 | 0.33 | 0.7836 | 0.8545 | ||
| 6 | Reduction potential (y in V) vs. A (x) | Gas | −2.95 | −2.10 | 0.46 | 0.42 | 0.7677 | 0.9397 |
| Solvent | −2.99 | −2.08 | 0.47 | 0.38 | 0.9737 | 0.9981 | ||
| 7 | Area (y in Å2) vs. A (x) | Gas | nlc | nlc | nlc | nlc | nlc | nlc |
| Solvent | nlc | nlc | nlc | nlc | nlc | nlc | ||
| 8 | Area (y in Å2) vs. I (x) | Gas | 1125.43 | 1190.10 | −142.86 | −118.22 | 0.8769 | 0.9397 |
| Solvent | 1040.25 | 1069.28 | −131.34 | −104.62 | 0.9118 | 0.9532 | ||
| 9 | Volume (y in Å3) vs. A (x) | Gas | nlc | nlc | nlc | nlc | nlc | nlc |
| Solvent | nlc | nlc | nlc | nlc | nlc | nlc | ||
| 10 | Volume (y in Å3) vs. I (x) | Gas | 1105.10 | 1177.50 | −142.95 | −119.18 | 0.8618 | 0.9313 |
| Solvent | 1014.30 | 1056.98 | −130.61 | −105.64 | 0.8987 | 0.9462 | ||
| 11 | PSA (y in Å2) vs. A (x) | Gas | nlc | nlc | nlc | nlc | nlc | nlc |
| Solvent | nlc | nlc | nlc | nlc | nlc | nlc | ||
| 12 | PSA (y in Å2) vs. I (x) | Gas | 31.85 | 31.05 | −0.86 | −0.58 | 0.9251 | 0.8053 |
| Solvent | 30.13 | 30.30 | −0.59 | −0.48 | 0.8925 | 0.7966 | ||
| 13 | Ovality index (y) vs. A (x) | Gas | nlc | nlc | nlc | nlc | nlc | nlc |
| Solvent | nlc | nlc | nlc | nlc | nlc | nlc | ||
| 14 | Ovality index (y) vs. I (x) | Gas | 2.77 | 2.84 | −0.23 | −0.18 | 0.8718 | 0.9487 |
| Solvent | 2.62 | 2.65 | −0.21 | −0.16 | 0.9074 | 0.9617 | ||
| 15 | Polarizability (y in 10−30 m3) vs. A (x) | Gas | nlc | nlc | nlc | nlc | nlc | nlc |
| Solvent | nlc | nlc | nlc | nlc | nlc | nlc | ||
| 16 | Polarizability (y in 10−30 m3) vs. I (x) | Gas | 131.65 | 137.38 | −11.83 | −9.94 | 0.8607 | 0.9293 |
| Solvent | 124.55 | 127.89 | −10.88 | −8.88 | 0.8977 | 0.9448 | ||
| 17 | LogP (y) vs. A (x) | Gas | nlc | nlc | nlc | nlc | nlc | nlc |
| Solvent | −5.73 | −0.52 | 2.86 | 2.64 | 0.5242 | 0.7225 | ||
| 18 | LogP (y) vs. I (x) | Gas | 14.65 | 16.02 | −2.03 | −1.73 | 0.7554 | 0.8487 |
| Solvent | 13.42 | 14.32 | −1.87 | −1.54 | 0.8026 | 0.8706 | ||
| 19 | MinLocIonPot (y in eV) vs. A (x) | Gas | nlc | nlc | nlc | nlc | nlc | nlc |
| Solvent | nlc | nlc | nlc | nlc | nlc | nlc | ||
| 20 | MinLocIonPot (y in eV) vs. I (x) | Gas | 5.10 | 7.58 | 0.40 | 0.28 | 0.917 | 0.99 |
| Solvent | 6.96 | 9.56 | 0.12 | 0.05 | 0.8829 | 0.5907 | ||
| 21 | MinElPOT (y in kJ·mol−1) vs. A (x) | Gas | nlc | nlc | nlc | nlc | nlc | nlc |
| Solvent | nlc | nlc | nlc | nlc | nlc | nlc | ||
| 22 | MinElPOT (y in kJ·mol−1) vs. I (x) | Gas | −369.10 | −335.40 | 34.06 | 22.58 | 0.9859 | 0.9999 |
| Solvent | −519.51 | −436.03 | 54.02 | 32.48 | 0.9961 | 0.9962 | ||
| Crt. No. | Correlated Property in Gas | a | b | R2 | Method |
|---|---|---|---|---|---|
| 1 | Energy (y in au) vs. I (x) | −3862.43 | 312.36 | 0.9148 | ωB97XD |
| 2 | Dipole moment (y in D) vs. I (x) | 38.74 | −4.14 | 0.9999 | ωB97XD |
| 42.02 | −5.84 | 0.9985 | B3LYP | ||
| 3 | Reduction potential (y in V) vs. A (x) | 1190.10 | −118.22 | 0.9397 | ωB97XD |
| 4 | Area (y in Å2) vs. I (x) | 1190.10 | −118.22 | 0.9397 | ωB97XD |
| 5 | Volume (y in Å3) vs. I (x) | 1177.50 | −119.18 | 0.9313 | ωB97XD |
| 6 | PSA (y in Å2) vs. I (x) | 31.85 | −0.86 | 0.9251 | B3LYP |
| 7 | Ovality index (y) vs. I (x) | 2.84 | −0.18 | 0.9487 | ωB97XD |
| 8 | Polarizability (y in 10−30 m3) vs. I (x) | 137.38 | −9.94 | 0.9293 | ωB97XD |
| 9 | MinElPOT (y in kJ·mol−1) vs. I (x) | −335.40 | 22.58 | 0.9999 | ωB97XD |
| −369.10 | 34.06 | 0.9859 | B3LYP |
| Crt. No. | Correlated Property in Polar Solvent | a | b | R2 | Method |
|---|---|---|---|---|---|
| 1 | Energy (y in au) vs. I (x) | −3547.44 | 276.98 | 0.9317 | ωB97XD |
| 2 | Dipole moment (y in D) vs. I (x) | 49.45 | −5.20 | 0.9897 | ωB97XD |
| 60.06 | −8.36 | 0.9997 | B3LYP | ||
| 3 | Reduction potential (y in V) vs. A (x) | −2.08 | 0.38 | 0.9981 | ωB97XD |
| −2.99 | 0.47 | 0.9737 | B3LYP | ||
| 4 | Area (y in Å2) vs. I (x) | 1069.28 | −104.62 | 0.9532 | ωB97XD |
| 1040.25 | −131.34 | 0.9118 | B3LYP | ||
| 5 | Volume (y in Å3) vs. I (x) | 1056.98 | −105.64 | 0.9462 | ωB97XD |
| 6 | Ovality index (y) vs. I (x) | 2.65 | −0.16 | 0.9617 | ωB97XD |
| 7 | Polarizability (y in 10−30 m3) vs. I (x) | 127.89 | −8.88 | 0.9448 | ωB97XD |
| 8 | MinElPot (y in kJ·mol−1) vs. I (x) | −436.03 | 32.48 | 0.9962 | ωB97XD |
| −519.51 | 54.02 | 0.9961 | B3LYP |
| Crt. No. | Correlated Parameters | a | b | R2 | Method |
|---|---|---|---|---|---|
| 1 | σ (y) vs. I (x) | 1.48 | −0.15 | 0.9007 | B3LYP |
| 2 | ω (y) vs. A (x) | −1.20 | 2.55 | 0.9832 | B3LYP |
| Crt. No. | Correlated Parameters | a | b | R2 | Method |
|---|---|---|---|---|---|
| 1 | η (y) vs. I (x) | −1.81 | 0.67 | 0.9516 | ωB97XD |
| 2 | σ (y) vs. I (x) | 0.70 | −0.05 | 0.9831 | ωB97XD |
| 3 | ω (y) vs. A (x) | −1.34 | 2.63 | 0.9634 | B3LYP |
Disclaimer/Publisher’s Note: The statements, opinions and data contained in all publications are solely those of the individual author(s) and contributor(s) and not of MDPI and/or the editor(s). MDPI and/or the editor(s) disclaim responsibility for any injury to people or property resulting from any ideas, methods, instructions or products referred to in the content. |
© 2025 by the authors. Licensee MDPI, Basel, Switzerland. This article is an open access article distributed under the terms and conditions of the Creative Commons Attribution (CC BY) license (https://creativecommons.org/licenses/by/4.0/).
Share and Cite
Ungureanu, E.-M.; Musina, C.E.; Matica, O.-T.; Isopescu, R.; Stanciu, G.; Stefaniu, A. Studies on Rhodanine Derivatives for Estimation of Chemical Reactivity Parameters by DFT. Symmetry 2025, 17, 444. https://doi.org/10.3390/sym17030444
Ungureanu E-M, Musina CE, Matica O-T, Isopescu R, Stanciu G, Stefaniu A. Studies on Rhodanine Derivatives for Estimation of Chemical Reactivity Parameters by DFT. Symmetry. 2025; 17(3):444. https://doi.org/10.3390/sym17030444
Chicago/Turabian StyleUngureanu, Eleonora-Mihaela, Cornelia Elena Musina (Borsaru), Ovidiu-Teodor Matica, Raluca Isopescu, Gabriela Stanciu, and Amalia Stefaniu. 2025. "Studies on Rhodanine Derivatives for Estimation of Chemical Reactivity Parameters by DFT" Symmetry 17, no. 3: 444. https://doi.org/10.3390/sym17030444
APA StyleUngureanu, E.-M., Musina, C. E., Matica, O.-T., Isopescu, R., Stanciu, G., & Stefaniu, A. (2025). Studies on Rhodanine Derivatives for Estimation of Chemical Reactivity Parameters by DFT. Symmetry, 17(3), 444. https://doi.org/10.3390/sym17030444







