Next Article in Journal
Chaotic Real Number Generator with Quantum Wave Equation
Previous Article in Journal
MOSSNet: A Lightweight Dual-Branch Multiscale Attention Neural Network for Bryophyte Identification
 
 
Font Type:
Arial Georgia Verdana
Font Size:
Aa Aa Aa
Line Spacing:
Column Width:
Background:
Article

Investigation into Enhancing Ultrasonic Cleaning Efficiency Through Symmetrical Transducer Configuration

The Institute of Technological Sciences, Wuhan University, Wuhan 430072, China
*
Authors to whom correspondence should be addressed.
Symmetry 2025, 17(3), 348; https://doi.org/10.3390/sym17030348
Submission received: 22 January 2025 / Revised: 17 February 2025 / Accepted: 22 February 2025 / Published: 25 February 2025
(This article belongs to the Section Engineering and Materials)

Abstract

This paper investigates the symmetrical layout effect in ultrasonic cleaning via acoustic solid coupling simulation, with emphasis on how the symmetrical arrangement of transducers influences sound pressure distribution. Two specific transducer layout methods are examined: uniform arrangement at the bottom and symmetrical arrangement along the sides. The findings indicate that when the tank length is an integer multiple of one-quarter of the acoustic wavelength, the symmetrical side arrangement markedly enhances the sound pressure level within the tank and optimizes the propagation and reflection of acoustic waves. In megasonic cleaning, focusing is achieved through a 7 × 7 transducer array by precisely controlling the phase, and the symmetrical arrangement ensures uniform sound pressure distribution. By integrating 1 MHz megasonic sources from both focused and unfocused configurations, the overall sound pressure distribution and peak sound pressure at the focal point are calculated using multi-physics field coupling simulations. A comparative analysis of the sound fields generated by focused and unfocused sources reveals that the focused source can produce significantly higher sound pressure in specific regions. Leveraging the enhanced cleaning capability of the focused acoustic wave in targeted areas while maintaining broad coverage with the unfocused acoustic wave significantly improves the overall cleaning efficiency. Ultrasonic cleaning finds extensive applications in industries such as electronic component manufacturing, medical device sterilization, and automotive parts cleaning. Its efficiency and environmental friendliness make it highly significant for both daily life and industrial production.

1. Introduction

Ultrasonic cleaning, as an efficient and versatile cleaning technology, finds extensive application in both industrial and medical sectors. The effectiveness of ultrasonic cleaning is contingent upon the uniformity of sound pressure distribution and the optimization of the sound field within the cleaning tank. Research has demonstrated that symmetry is a critical factor influencing the sound field distribution [1]. A symmetrical arrangement of transducers can markedly enhance the uniformity of sound pressure, minimize energy loss, and optimize the propagation and reflection of sound waves. Ultrasonic cleaning has garnered significant attention owing to its advantages of minimal residue, rapid cleaning time, and high efficiency [2]. It primarily leverages the cavitation effect, thermal effect, acoustic streaming, and atomization generated by ultrasound in water [3,4]. Researchers developed a 0.27 L small ultrasonic cleaning tank and a 45 kHz single sensor based on harmonic response analysis to improve the cleaning effect [5]. Yuan F. et al. demonstrated that microbubble cleaning is the most effective in removing low-viscosity petroleum hydrocarbons, followed by ultrasound. Compared with traditional water washing, both of these two cleaning methods show significantly higher effects. When dealing with high-viscosity petroleum hydrocarbon contaminants, microbubble cleaning is more effective than clean water, but slightly less effective than the ultrasonic method [6]. Researchers used the ultrasonic-assisted surfactant cleaning method to remove crude oil from waste hydrodesulfurization catalysts, proving that the ultrasonic-assisted process improves the interfacial performance and enhances the oil removal effect [7]. At a low NaCl concentration (0.3 mol/L), the destruction rate of aluminum foil is higher than that in distilled water. At higher salt concentrations, cavitation mainly occurs in the upper part of the container [8]. Muthukumaran et al. [9] employed 50 k Hz ultrasonic cleaning for flat polysulfone membranes fouled by dairy wastewater, demonstrating that ultrasonic cleaning markedly enhances cleaning efficiency. To further optimize cleaning performance, surfactants can be incorporated into the cleaning solution or the ultrasonic power can be increased. Chevrolet [10] designed a cleaning system based on the theory of ultrasonic cavitation. By using powerful ultrasonic waves to generate alternating pressure changes, it was found that after using the cleaning system based on ultrasonic cleaning, the contaminants in the channels of the roller bearing raceways could be well removed. The ultrasonic cavitation effect can also accelerate the dispersion and emulsification ability of the cleaning agent on the interface and improve the cleaning efficiency. This phenomenon is primarily attributed to the effect of microjets generated during the ultrasonic cavitation process [11]. The chemical mechanism of ultrasonic cleaning is that ultrasonic cavitation decomposes water molecules in the liquid into hydroxyl radicals (OH) [12], and the addition of strong oxidants in the cleaning solution can improve the cleaning efficiency. Kim, H et al. designed a dual-frequency megasonic system driven simultaneously by frequencies of 1 MHz and 3 MHz, measured the sound pressure levels, and evaluated its performance. The results indicated that the average sound pressure levels at the operating frequencies of 1 MHz and 3 MHz increased by 59.0% and 71.5%, respectively [13]. The primary distinction between ultrasonic cleaning and megasonic cleaning lies in the frequency of the sound waves employed. Ultrasonic cleaning operates at a lower frequency, resulting in stochastic cavitation effects. In contrast, megasonic cleaning employs a higher frequency, leveraging the acoustic pressure gradient to induce acoustic streaming, thereby enhancing the cleaning efficacy [14]. Megasonic cleaning utilizes high-frequency sound waves to accelerate the molecules in the cleaning liquid, thereby generating acoustic streaming. This acoustic streaming continuously impinges on the surface of the object being cleaned, effectively dislodging adhered particles and causing them to be suspended in the cleaning liquid [15,16]. Barbagini F. et al. [17] found that when experimentally studying the functional relationship between the removal efficiency of particles and the megasonic power, low-power megasonic waves tend to cause particles to be redeposited on the wafer surface again after removal. Researchers have also investigated the effects of additives and tension on ultrasonic cleaning at different frequencies and powers [18,19]. In megasonic cleaning, due to the high frequency, it is difficult for acoustic cavitation to occur. The cleaning mechanism is not based on acoustic cavitation effects but rather on factors like the sound pressure gradient. Particle removal during megasonic cleaning mainly relies on generated acoustic streaming, with frequency, power, and cleaning time being important parameters [20,21,22]. Because megasonic wave cleaning is gentler compared to ultrasonic wave cleaning, it is increasingly used in semiconductor manufacturing [23]. Many researchers aim to efficiently remove contaminants while avoiding surface damage during the process of megasonic cleaning [24]. Comparing ultrasonic wave cleaning with megasonic wave cleaning reveals that the latter causes significantly less damage to wafers [25]. Researchers have shown that nano-sized pattern structures are prone to adverse damage during the cleaning process [26]. Kim et al. investigated the mechanism of particle removal by microbubbles in ultrasonic cleaning through visualization, and the results indicated that there is some damage to the pattern structure while removing particles [27]. Bichitra Nanda Sahoo et al. explored megasonic chemical cleaning of pattern structures using a solution containing dissolved gas and surfactants [28].
This paper first outlines the fundamental principles of ultrasonic and megasonic cleaning. Subsequently, it investigates the impact of the symmetrical arrangement of transducers in the ultrasonic cleaning tank on the uniformity of sound pressure distribution and the stress applied to the cleaned objects. Through acoustic solid coupling simulations, methods to enhance cleaning efficiency were explored. This study draws the following conclusions: First, when the tank length is an integer multiple of one-quarter of the acoustic wavelength, transducers symmetrically installed on the side walls can significantly increase the sound pressure level within the tank. This symmetrical configuration optimizes the propagation paths and reflection characteristics of the acoustic waves, thereby reducing energy loss and enhancing the cleaning effect. Second, in megasonic cleaning tanks, by employing a symmetrical layout of transducers and precisely adjusting their phases, the sound pressure gradient in the target area can be substantially increased. The symmetrical arrangement ensures uniform sound pressure distribution within the tank, while phase control generates focused areas that enhance cleaning in specific regions. Third, combining focused and unfocused sound sources leverages the strong cleaning power of focused acoustic waves and the uniform coverage of unfocused acoustic waves, thereby improving the overall cleaning efficiency.

2. Materials and Methods

2.1. Ultrasonic Cleaning

Ultrasonic cleaning technology has been extensively adopted as a well-established environmental protection method across various sectors, including manufacturing, industry, national defense, and healthcare. The ultrasonic cleaning system primarily consists of three components: the ultrasonic generator, which produces high-frequency electrical signals; the transducer, which converts electrical energy into mechanical energy; and the cleaning tank, which holds the cleaning solution.
Ultrasonic cleaning relies mainly on the cavitation effect generated by ultrasound in liquid. When ultrasound propagates in a liquid, it creates local negative pressure and generates tiny vapor bubbles. When the external pressure increases, the bubbles collapse to produce microjets that generate strong shock waves, thereby removing dirt from the surface of objects. As shown in Figure 1, the schematic diagram illustrates acoustic cavitation collapse [14]. When ultrasonic cleaning machines process objects with irregular shapes or complex structures, they may struggle to ensure uniform cleaning performance. The cavitation effect predominantly occurs near the liquid surface, while for internal complex structures, particularly in narrow gaps or shielded areas, the propagation and effectiveness of ultrasonic waves can diminish, leading to suboptimal cleaning outcomes. Optimizing the sound field design can enhance cleaning efficiency.
In an incompressible infinite liquid, there is a cavitation bubble with an initial radius of R 0 . The interior of the bubble contains an ideal gas. P 0 represents the hydrostatic pressure of the liquid, P V is the vapor pressure inside the bubble, P g 0 is the gas pressure within the bubble, ρ denotes the density of the liquid, σ represents the surface tension of the bubble, and γ signifies the specific heat ratio of the gas. When exposed to an ultrasonic field P A in a liquid with a frequency f a and initial positive pressure P a at a radius R 0 , considering energy viscous dissipation during cavitation bubble motion and radiation damping due to sound wave emission from bubble vibration into the surrounding medium, we can derive an evolution equation for bubble radius R:
R d 2 R / d t 2 + 3 / 2 d R / d t 2 = 1 / ρ P 0 + 2 σ / R 0 P V R 0 / R 3 γ + P V P A P 0 2 σ / R 4 μ / ρ R d R / d t + R / ρ c d P 0 + 2 σ / R 0 R 0 / R 3 γ P A / d t
P A = P a sin 2 π f a t
In the formula, μ represents the viscosity coefficient of the liquid, with 4 μ / ρ R denoting viscous losses.
In the sound field, the movement of bubbles is associated with the resonant frequency f r . Continuous bubble oscillation occurs when f r < f a , resulting in steady-state cavitation. Maximum energy coupling and significant cavitation effects are observed when f r = f a . Transient cavitation takes place when f r > f a .
f r = 1 / 2 π R 0 1 / ρ 3 γ P 0 + 2 σ / R 0
The duration of a bubble is brief, leading to an instantaneous peak in pressure and temperature.
P max = P g P 0 γ 1 / P g γ / γ 1
T max = T g P 0 γ 1 / P g
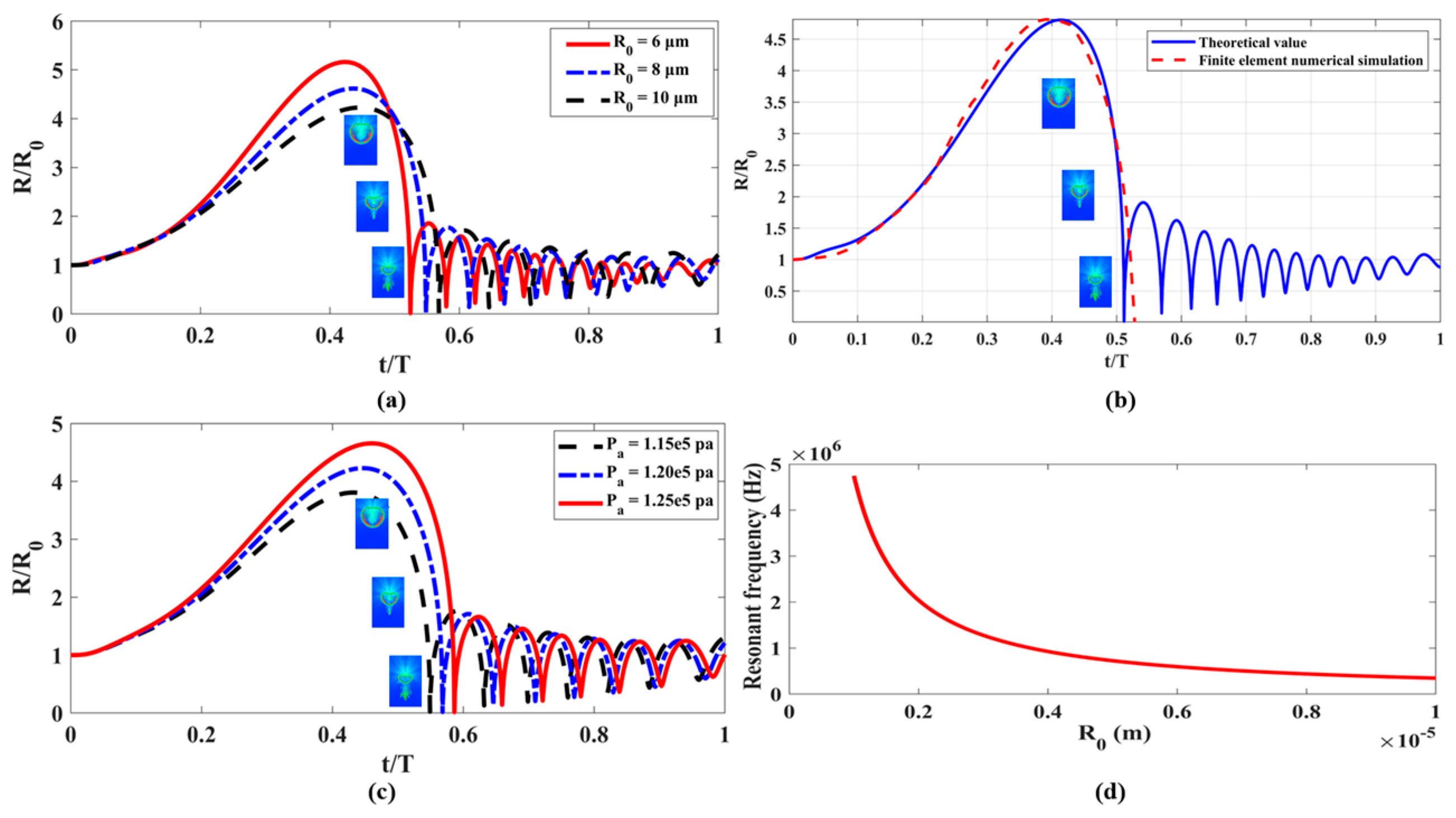
The evolution process of a single bubble under the influence of an acoustic field is shown in Figure 2. Different initial radii expansion ratios of the bubble are explored under a 30 K Hz sound field and a sound pressure of 1.2 × 105 Pa, as shown in Figure 2a. The simulated and theoretical values of the bubble expansion ratio under the same parameters are presented in Figure 2b, showing high similarity between the two, confirming that the simulation results closely approximate the theoretical values. The effect of different sound pressures on the bubble expansion ratio is investigated by subjecting a 10 μm cavitation bubble to a 30 kHz sound field, as shown in Figure 2c. The results indicate that higher sound pressures lead to larger expansion ratios for cavitation bubbles. The resonant frequencies of different radius cavitation bubbles are displayed in Figure 2d. When the driving frequency is lower than the resonant frequency, transient cavitation occurs as the bubble oscillates repeatedly and collapses within the acoustic field. On the other hand, when driven at frequencies higher than its resonant frequency, stable cavitation occurs where bubbles oscillate without collapsing within the acoustic field. During the ultrasonic cleaning process, acoustic cavitation can cause certain damage to the objects being cleaned. Future design optimizations could focus on increasing localized sound pressure to enhance cleaning efficiency and reduce the cleaning duration.
The essential components for ultrasonic cleaning primarily consist of the cleaning tank, ultrasonic transducer, cleaning solution, items to be cleaned, temperature control system, and filtration and circulation system. During ultrasonic cleaning, most laboratories employ containers with regular shapes such as circular or square designs to ensure uniform propagation of ultrasonic waves. Custom-made cleaning containers can adopt either regular or irregular shapes depending on the specific cleaning requirements of different objects. To validate the simulation accuracy, a comparative simulation experiment is conducted utilizing a high-power ultrasonic cleaning machine. This equipment features multiple transducers installed at the bottom to serve as sound sources, ensuring the required sound pressure levels for effective cleaning. By strategically configuring the transducers and optimizing the ultrasonic frequency, optimal synergy between the ultrasonic waves and the cleaning agent can be achieved, leading to superior cleaning performance. Figure 3a illustrates the comparison between the aluminum foil corrosion test results [29] and the characteristic sound pressure distribution. The dimensions of the ultrasonic tank are 245 mm × 340 mm × 225 mm (width × length × depth), with a volume of 18 L. Eight PZT4 transducers are installed beneath the cleaning tank, operating at a frequency of 28 kHz. The power output can be adjusted within the range of 0 to 400 W. The tank walls are constructed from stainless steel. Due to the absence of a cooling system, experiments requiring temperatures below ambient cannot be conducted. During the experiments, the water temperature fluctuates within ±1 °C around room temperature. During the experiment, cavitation effects in the cleaning tank cause a certain degree of corrosion on the aluminum foil. The results indicate a high correlation between the extent of corrosion and the simulated sound pressure distribution. There is a significant positive correlation between the degree of corrosion and the simulated sound pressure distribution. This finding not only strengthens the validity of the simulation model but also further proves the high reference value of the simulation results in practical applications.
Figure 3b presents two ultrasonic cleaning models (model 1 and model 2), each equipped with eight transducers, with silicon wafers fixed in the cleaning tank for the acoustic solid coupling simulations. Model 1 features 8 transducers symmetrically installed at the center of the bottom of the cleaning tank. Model 2, on the other hand, comprises 6 transducers symmetrically positioned at the center of the bottom and an additional transducer at each symmetrical position on the side walls, totaling 8 transducers. Model 3 is an improvement based on model 2. The size of the cleaning tank of model 2 is fine-tuned to make it meet an integer multiple of 1/4 of the wavelength.
This symmetrical configuration ensures uniform sound field distribution within the cleaning tank, thereby enabling thorough and even cleaning of all object surfaces. The sound field distributions of the three models at different frequencies are simulated. To facilitate a more intuitive and visual comparison of the sound field distribution, a horizontal cross-section was taken through the middle of the cleaning tank to analyze the sound pressure and sound pressure level. The acoustic solid coupling model utilized in this study is based on the KQ-400KDE high-power ultrasonic cleaning machine, which measures 330 mm × 240 mm × 150 mm (length × width × height). The ultrasonic frequency is set to 40 kHz, for this study, and the power is set to 400 W. The cleaning tank’s four sides are constructed of stainless steel. When coupling multiple physical fields such as the sound field, solid mechanics, and electrostatics, it is essential to first define the initial boundary conditions to accurately describe the physical properties of each module. Specifically, the sound field module encompasses hard sound boundaries, initial values, and far-field calculations; the solid mechanics module includes elastic materials, degrees of freedom, initial values, piezoelectric materials, and fixed constraints; and the electrostatic mechanics module covers charge conservation, initial values, grounding, terminals, and potential values. The simulation of the cleaning tank is completed in the software COMSOL 6.2. As shown in Figure 4, the modeling process is presented. The materials of the cleaning tank include the piezoelectric material group (Lead Zirconate Titanate, PZT-4), aluminium (Alumina), steel (AISI 4340), and liquid water (Water liquid). Among them, the piezoelectric ring material is Lead Zirconate Titanate (PZT-4), the wall of the cleaning tank is aluminium (Alumina), the bolt material is steel (AISI 4340), and the water area material is water. In the actual ultrasonic cleaning system, implementing a symmetrical configuration may face some challenges. Firstly, precisely controlling the phase and position of the transducers requires high-precision manufacturing and installation techniques. In addition, the size, shape and material of the cleaning tank may also affect the propagation and reflection of sound waves, thus requiring an optimized design for specific applications. It is assumed that the cleaning solution is uniform and, non-viscous, and the material of the storage tank has no influence on the propagation of sound waves.

2.2. Megasonic Cleaning

Megasonic cleaning is predominantly utilized for the precision cleaning of delicate components such as semiconductor wafers and optical devices, demonstrating limited applicability in conventional industrial cleaning processes. For larger workpieces, megasonic cleaning may yield inferior results compared to traditional cleaning methods. During the megasonic cleaning process, a significant amount of energy is dissipated. Future research could focus on enhancing the energy efficiency of this process. The mechanism of megasonic cleaning primarily leverages the high-frequency vibration effect. By utilizing a transducer, megahertz-level high-energy sound waves are generated, creating a robust sound pressure gradient and acoustic streaming. This continuous bombardment by high-speed fluid effectively dislodges fine particles adhering to the surface of the object being cleaned. The high frequency of megasonic cleaning ensures that no cavitation bubbles form during the process, unlike in ultrasonic cleaning, thereby preventing potential damage to the object’s surface. The efficacy of megasonic cleaning is closely tied to the thickness of the boundary layer. As illustrated in Figure 5, the boundary layer is a microscopic thin film formed on the sample’s surface due to liquid flow friction. Within this layer, the liquid’s flow rate is significantly lower than that of the bulk solution, making it challenging to remove tiny particles smaller than the layer’s thickness. Megasonic waves reduce the boundary layer’s thickness; higher sound wave frequencies result in thinner boundary layers, enabling the removal of even smaller particle contaminants. In fields requiring high-precision cleaning, such as nanoscale precision cleaning, megasonic cleaning technology offers substantial advantages.
δ a = 2 μ / ω ρ
The μ represents the viscosity of the medium. ω = 2 π f , and the variable frepresents the frequency, while ρ 0 represents the liquid density.
According to the frequency of ultrasound, the ability to remove pollutant particles of different sizes is shown in Table 1.
If V is the tangential velocity of the external potential flow area along the solid surface, and the boundary layer thickness is δ a , we calculate the shear flow velocity V p at the location of the particles within the boundary layer thickness.
V p = R × ( d v / d y ) | 0 R
The physical adsorption force between microparticles and solid surface molecules is mainly the van der Waals attraction. Before studying the removal force of particles, it is necessary to study the adhesion force of particles. When a spherical particle interacts with a wall, the adhesion force is given by the following equation: F a = A R / 6 z 0 2 1 + a 2 / ( R Z 0 ) . Here, A is the Hamaker constant; Z 0 is the distance between the particle and the plane, typically taken as 0.4 nm; and a is the contact radius between the particle and the substrate. The function relationship of the adhesion torque is τ a a F a , and the function relationship of the fluid-induced drag torque on particles is τ d = 6 π μ v p R 2 .
In Figure 6, the megasonic cleaning equipment mainly includes the Chemical/DI Dispense Arms, Megasonic Plate, and Spin and Wafer Support Assembly. Chu C. l. et al. [25] demonstrated through research that in the cleaning process of high aspect ratio objects, megasonic cleaning improves the removal rate of contaminants while reducing the damage to the objects. The Figure 7 illustration comparatively analyzes the performance of wafers during the ultrasonic cleaning and megasonic cleaning processes. It can be clearly seen from the figure that megasonic cleaning shows a significant advantage in reducing wafer scratches and defects. In the sidewall and bottom of the through-hole areas, after ultrasonic cleaning, heavy debris often remains on the wafer surface, which adheres tightly and is difficult to completely remove. In contrast, megasonic cleaning can remove contaminants more thoroughly from the sidewalls, the bottom of the through-holes, and the entire surface of the wafer, and the cleaning effect is more ideal. Additionally, for the sidewall area of the metal gate etching, obvious contamination traces can still be observed after ultrasonic cleaning, indicating that its cleaning ability is lacking in this fine structure. However, megasonic cleaning shows a stronger cleaning ability in this aspect, with relatively less destructiveness and more comprehensive protection of the wafer structure. Megasonic cleaning represents a gentler cleaning mechanism compared to ultrasonic cleaning [23]. To sum up, megasonic cleaning shows more superior performance in the field of wafer cleaning. It can not only remove contaminants more thoroughly but also effectively reduce scratches and defects on the wafer surface, providing a more reliable guarantee for the semiconductor manufacturing process.
In megasonic cleaning, high-frequency sound waves propagate through a liquid medium when the wavelength is sufficiently short, resulting in the formation of high-velocity acoustic streams within the liquid. These acoustic streams continuously impact the surface of objects, effectively dislodging microscopic particles that adhere to it. This cleaning technique not only removes contaminants and particles smaller than 0.2 microns but also avoids cavitation due to its elevated frequency, thereby preventing damage to the surfaces being cleaned; thus, it represents a remarkably gentle cleaning method.
The primary mechanism of megasonic cleaning involves leveraging the acoustic streaming effect induced by the acoustic pressure gradient to achieve effective cleaning. During operation, the megasonic cleaning device precisely controls the phase of sound waves, generating highly energy-dense focal points. The acoustic pressure gradients at these focal points are exceptionally pronounced, significantly enhancing the cleaning efficiency in these regions and their immediate surroundings. The resulting acoustic streaming produces a highly penetrating water flow that can easily penetrate the boundary layer of the cleaning liquid and directly impact the surface of the object to be cleaned. This enhanced penetration not only improves the cleaning efficiency but also facilitates more direct and effective interaction between the acoustic streaming and contaminants, leading to their separation from the object’s surface. Additionally, the focused acoustic wave design in megasonic cleaning technology optimally distributes energy, minimizing energy dissipation in non-target areas and ensuring precise energy utilization for the cleaning task. This optimized energy usage enhances both cleaning precision and overall energy efficiency, making megasonic cleaning an efficient and environmentally friendly method. In order to comparatively analyze the sound pressure generated by the focal point and its influence on the acoustic solid coupling simulation, two acoustic solid coupling models were constructed. Figure 8a depicts a traditional megasonic source, whose acoustic waves are uniformly distributed in the space. Meanwhile Figure 8b shows the focused megasonic source model. White represents the non-focused sound source, and red represents the focused sound source. The megasonic frequency is 1 MHz. In the megasonic cleaning acoustic solid simulation, six silicon wafer samples were selected as the solid simulation objects. Selecting six silicon wafers provides an adequate sample size for a robust statistical analysis and comparison. By examining the changes in these wafers before and after megasonic cleaning, the consistency and stability of the cleaning process can be effectively evaluated.
In Figure 9, the white region denotes non-focused sound sources, whereas the red region highlights focused sound sources. By adjusting the phase, the red sound sources are accurately focused at a position 20 mm above. Model c retains a 7 × 7 centrosymmetric arrangement of megasound sources. The outermost ring comprises 24 non-focusing megasound sources, while the central 25 megasound sources achieve focusing at 20 mm above the horizontal plane through phase adjustment. This centrosymmetric distribution of both non-focusing and focusing megasound sources ensures sound field uniformity. In contrast, model d features a more intricate layout with a “rice-shaped” structure. It also includes 24 non-focusing and 25 focusing megasound sources, all arranged in a centrosymmetric pattern to maintain sound field uniformity. In the simulation study of megasonic cleaning, a model is established based on some assumptions and simplified conditions. In the simulation, it is assumed that the cleaning liquid is a homogeneous medium, ignoring the impurities or bubbles that may exist in the actual solution. If the temperature change is ignored in the simulation, it may lead to a calculation deviation of the sound pressure distribution. Future research should pay more attention to the influence of these factors and improve the accuracy and practicability of the research through experimental verification and more refined simulation methods.

3. Results

3.1. Ultrasonic Cleaning

Figure 10a illustrates the simulation results of the acoustic solid coupling for model 1. The symmetrical arrangement of transducers at the bottom ensures uniform sound pressure distribution within the cleaning tank. This uniformity is critical for maintaining consistent and stable cleaning performance across different positions. The centrosymmetric configuration facilitates the formation of a stable sound field, thereby preventing issues such as cleaning dead zones or over-cleaning that can arise from non-uniform sound pressure. Figure 10b illustrates the simulation results of the acoustic solid coupling for model 2. Unlike model 1, model 2 innovatively installs transducers on the sidewalls, which work in conjunction with the bottom transducer to form a focused sound field. Six transducers are symmetrically distributed at the bottom center, and one transducer is symmetrically installed on each of the two sidewalls. The symmetrically distributed transducers can significantly increase the sound pressure level in the cleaning tank, thereby enhancing the cavitation effect. The cavitation effect is the core mechanism of ultrasonic cleaning, and its intensity is directly related to the sound pressure. By optimizing the sound pressure distribution, this layout can remove the stains on the object surface more efficiently and reduce energy loss at the same time. Figure 10c illustrates the simulation results of the acoustic solid coupling following model 3. After precise adjustments, the dimensions of the cleaning tank were modified to ensure that its length is an integer multiple of one-quarter of the wavelength. This modification significantly improved the acoustic wave propagation characteristics within the tank, achieving optimal resonance conditions. The sound pressure was notably enhanced, reaching unprecedented levels. Additionally, the transformed acoustic wave superposition mode not only boosted the sound pressure but also ensured uniform wave propagation throughout the cleaning tank, effectively addressing the issue of uneven sound pressure distribution. Higher sound pressure facilitates the initiation of acoustic cavitation, thereby enhancing cleaning efficiency [30]. Consequently, every corner of the tank experienced consistent and robust sound pressure, thereby enhancing the overall cleaning efficiency.
To gain a deeper understanding of the magnitude and distribution characteristics of the pressure exerted on silicon wafers during the ultrasonic cleaning process, an acoustic solid coupling model was established. When constructing the acoustic solid coupling model, we incorporated the design concept of symmetry to enhance both accuracy and reliability. This symmetry is primarily reflected in two key aspects: first, the symmetrical arrangement of transducers within the cleaning tank; second, the symmetrical placement of the silicon wafers. By ensuring geometric symmetry for both the transducers and the silicon wafers, the acoustic solid coupling model not only improves the simulation accuracy but also more precisely simulates the force conditions experienced by the silicon wafers during the cleaning process. In this study, six 100 mm diameter silicon wafers were selected and placed at the center of the cleaning tank to ensure the representativeness and accuracy of the results. Silicon-based wafers are extensively utilized in the semiconductor and microelectronics industries, and investigating their ultrasonic cleaning behavior holds significant practical application value. Six specimens were selected as solid simulation objects, providing an adequate sample size for robust statistical analysis and comparison. By examining the changes in various silicon wafers before and after megasonic cleaning, the consistency and stability of the cleaning process could be assessed. This arrangement ensures a more uniform pressure distribution on the silicon wafers, leading to more reliable data. Two different models were designed for the comparative analysis. In model 1, eight transducers were evenly distributed beneath the cleaning tank, following the traditional design of ultrasonic cleaning tanks. In model 2, additional transducers were installed on the sidewalls to work in conjunction with the bottom transducers, forming a focused sound field. The purpose of this design is to enhance cleaning efficiency and uniformity by improving the pressure distribution on the surface of the silicon wafers through the focused sound field. Figure 11 illustrates the pressure distribution on the silicon wafers in the cleaning tank. Figure 11a shows the acoustic solid coupling simulation results for model 1, indicating relatively low pressure and poor uniformity in the pressure distribution. This may be attributed to interference from the bottom transducers during wave propagation, causing localized increases and decreases in pressure. In contrast, Figure 11b presents the acoustic solid coupling simulation results for model 2, where the combined action of the transducers results in improved pressure distribution. Figure 11c shows the simulation results of the acoustic solid coupling of model 3. By adjusting the size of the cleaning tank to meet the key condition that it is an integer multiple of one fourth of the wavelength, the resonance principle of sound waves is ingeniously utilized, resulting in a significant increase in the pressure on the silicon wafers in the cleaning tank.
Figure 12 illustrates in detail the sound pressure and sound pressure level at the transverse section line through the center of the cleaning tank, providing essential reference data for comparing these metrics across the three models. As shown in Table 2, the maximum sound pressure of model 1 is approximately 2 × 105 Pa, and the corresponding sound pressure level is approximately 222.7 dB. In contrast, model 2 shows a significant increase in maximum sound pressure to approximately 9 × 105 Pa, with the sound pressure level rising to around 238.6 dB. Model 3 further elevates the maximum sound pressure to approximately 2.6 × 106 Pa, with the sound pressure level reaching about 245.3 dB. From an in-depth analysis of these key maximum values, it is evident that model 3 exhibits the highest sound pressure and sound pressure level at the intercept position among the three models. This suggests that it possesses significant advantages in sound energy transmission and concentration, thereby providing a more robust cleaning force for silicon wafers, which has the potential to substantially enhance both cleaning effectiveness and efficiency. In contrast, model 1 demonstrates relatively lower performance in terms of the maximum sound pressure and sound pressure level, with the lowest values among the three models. Ultrasonic cleaning primarily depends on the cavitation effect, wherein tiny bubbles in the liquid oscillate vigorously and burst instantaneously under the influence of ultrasonic waves, releasing a powerful shock force [31]. Among the three models, model 1 exhibits the lowest sound pressure value, resulting in the weakest cavitation effect under identical conditions. This may lead to the inadequate cleaning of silicon wafers and reduced efficiency. Model 2 has successfully resulted in a notable increase in the sound pressure and sound pressure level. The maximum sound pressure level of model 2 is 7.14% higher than that of model 1, while that of model 3 is 10.15% higher than that of model 1.

3.2. Megasonic Cleaning

The simulation results presented in Figure 13a and Figure 14a are based on the model illustrated in Figure 8a. In model a, a 7 × 7 array of megasonic sources was arranged in a centrosymmetric distribution pattern. These sources were directly mounted on the bottom of the cleaning tank, transmitting acoustic energy through the cleaning liquid to exert pressure on the wafers within. A sound-solid coupling model was developed to simulate a standard, non-phase-controlled megasonic cleaning environment, allowing for the observation of the magnitude and distribution characteristics of the pressure acting on the wafers in the absence of any focusing effect. Consequently, this layout leads to a relatively uniform distribution of acoustic energy throughout the cleaning tank, with an overall sound pressure level that may be insufficient for achieving a robust cleaning effect in targeted areas. In contrast, the simulation results depicted in Figure 13b correspond to the model shown in Figure 8b, where the same 7 × 7 array of megasonic sources is focused on a specific area 20 mm above the baseline by controlling the phase. Model b retains the same 7 × 7 centrosymmetric arrangement of megasonic sources but introduces phase control for each source. By precisely adjusting the phase of each megasonic source, the model achieves focused acoustic wave energy with the focal point positioned 20 mm above the horizontal plane of the cleaning tank. A sound solid coupling model is developed to simulate a cleaning environment that exhibits efficient energy focusing characteristics, thereby enabling an investigation into the specific effects of focused acoustic waves on the cleaning efficiency and quality of wafers. This focusing mechanism effectively concentrates the acoustic energy into a narrow region through the precise regulation of the phase and amplitude of each source, thereby generating significantly higher sound pressure at the focal point. This design not only enhances the sound pressure level in the target area but also markedly improves the cleaning efficiency. By precisely controlling the position and intensity of the focused sound beam, sufficiently high pressure can be generated in the cleaning area, effectively removing contaminants and particles, thus making the cleaning process more efficient and precise. Meanwhile, megasonic cleaning reduces the thickness of the acoustic boundary layer, which is more conducive to the removal of contaminants [32].
Figure 15a and Figure 15b, respectively, present the schematic diagrams of the pressure on the silicon wafer under the acoustic solid coupling effect of model a and model b. For model a, where the megasonic sources were uniformly distributed in space without a specific focusing mechanism, the acoustic energy was relatively evenly dispersed throughout the cleaning tank, resulting in no significant energy concentration. While this design ensured wide coverage and uniformity of the cleaning process to some extent, its effectiveness in removing deep-seated dirt and particles was limited. In contrast, model b precisely focused a 7 × 7 array of megasonic sources at a position 20 mm above the silicon wafer. This focusing mechanism efficiently concentrated the acoustic energy in a specific cleaning area, thereby significantly increasing the sound pressure level and enhancing the cleaning efficiency in that region. Consequently, the removal of dirt and particles was notably improved.
Table 3 shows the sound pressure values near the focal point. Figure 16a and Figure 17a visually illustrate the sound pressure distribution of model c. The non-focusing megasonic source ensures a uniform energy distribution, while the focusing megasonic source significantly enhances the cleaning effect in targeted areas. Figure 16a and Figure 17b depict the sound pressure distribution characteristics of model d. Its design improves the concentration of the sound beam both vertically and horizontally, thereby enhancing the focusing effect. Moreover, the inclusion of the non-focusing megasonic source provides supplementary energy throughout the cleaning tank, resulting in a more uniform and efficient sound field. Compared to model c, model d achieves higher sound pressure levels in the focusing area, which further improves the overall cleaning efficiency.
Figure 18a and Figure 18b, respectively, present the schematic diagrams of the pressure on the silicon wafer under the acoustic solid coupling effect of model c and model d. Through comparison, it can be clearly seen that the pressure on the silicon wafer in model d is significantly greater than that in model c. The location and layout of the focused megasonic source in model d not only improve the concentration of acoustic energy, but also significantly enhance the concentration of the acoustic beam in the vertical and horizontal directions. In the megasonic cleaning process, by precisely controlling the phase to generate focusing in a specific area, the cleaning ability of this area can be greatly improved, thereby meeting the cleaning requirements of higher precision.

4. Discussion

In the ultrasonic cleaning system, the arrangement of transducers significantly influences the sound pressure distribution within the cleaning tank and the final cleaning efficacy. When transducers are symmetrically installed on the side walls and the tank length is one quarter of the acoustic wavelength, combined with transducers symmetrically positioned at the center of the bottom, a higher sound pressure level can be generated inside the tank. Under this specific configuration, the accumulation and intensification of acoustic wave energy reach their maximum, forming a high-intensity sound pressure field. This enhanced sound pressure field can more effectively act on the surface of the object to be cleaned, increasing the impact and stripping force of the acoustic waves on contaminants, thereby significantly improving the cleaning performance. By adjusting the position of the transducers and optimizing the dimensions of the tank while leveraging the symmetrical layout, the efficiency and quality of ultrasonic cleaning can be enhanced. In the megasonic cleaning tank, by using symmetrically arranged transducers and precisely adjusting their phases, the sound pressure gradient in the target area can be significantly increased, achieving precise focusing of the acoustic waves at specific positions. This focusing effect concentrates the sound energy in the target area, generating a strong local impact and an enhanced cleaning effect. Compared with non-focused ultrasonic cleaning, this method can more accurately remove contaminants from specific areas on the object’s surface, significantly improving the accuracy and efficiency of the cleaning process. Further exploration of non-focused and focused megasonic sources reveals that centrosymmetric distribution ensures sound field uniformity. The concentrated energy of the focused megasonic source can effectively remove stubborn dirt and tiny particles.

5. Conclusions

This study investigates the symmetrical arrangement of transducers in an ultrasonic cleaning tank and its specific impact on the uniformity of sound pressure distribution and the stress experienced by the object to be cleaned. The following conclusions are drawn from this research:
(1) When transducers are symmetrically installed on the side walls and the length of the cleaning tank is an integer multiple of one-quarter of the acoustic wavelength, the sound pressure level within the tank significantly increases. This symmetrical configuration optimizes the propagation and reflection paths of the acoustic waves, minimizes energy loss, and ensures a more uniform sound field distribution.
(2) In megasonic cleaning tanks, symmetrical phase control enhances the sound pressure gradient in the target area. By symmetrically arranging the transducers and precisely adjusting their phases, the intensity of the focused acoustic wave can be greatly increased, effectively removing stubborn stains and significantly improving localized cleaning efficiency.
(3) Combining focused and unfocused sound sources in a symmetrical layout leverages the strengths of both. The focused sound source provides deep cleaning for specific areas with its high-intensity capabilities, while the unfocused sound source ensures comprehensive coverage and uniform cleaning across the entire cleaning area.
The simulation results of this study may be affected by the liquid composition and temperature fluctuations. In practical applications, these factors may lead to changes in the sound pressure distribution and cleaning efficiency. Future studies will conduct actual verification through physical experiments and further explore the influence of different cleaning liquids, temperatures, and complex geometric shapes of the cleaning tank on the ultrasonic cleaning effect.

Author Contributions

Conceptualization, L.W. and S.L.; methodology, L.W.; software, L.W.; validation, L.W., S.L. and F.D.; formal analysis, L.W.; investigation, L.W.; resources, L.W.; data curation, L.W.; writing—original draft preparation, L.W.; writing—review and editing, L.W.; visualization, L.W.; supervision, F.D.; project administration, S.L.; funding acquisition, S.L. All authors have read and agreed to the published version of the manuscript.

Funding

This work was supported by the National Key R&D Program of China (No. 2022YFB3207100), and the Hubei Provincial Strategic Scientist Training Plan (No. 2022EJD009).

Data Availability Statement

The data presented in this study are available on request from the corresponding author.

Acknowledgments

The authors wish to thank the anonymous reviewers for their useful comments and suggestions, which resulted in improvements in this manuscript.

Conflicts of Interest

The authors declare no conflicts of interest.

References

  1. Geng, S. Distribution and Experimental Research of Multi-Vibration Source Ultrasonic Cleaning Energy Field. Master’s Dissertation, Tianjin University of Science and Technology, Tianjin, China, 2021. [Google Scholar]
  2. Salo, S.; Wirtanen, G. Ultrasonic cleaning applications in dairies: Case studies on cheese moulds and milk transportation crates. Br. Food J. 2007, 109, 31–42. [Google Scholar] [CrossRef]
  3. Sarasua Miranda, J.A.; Ruiz-Rubio, L.; Aranzabe Basterrechea, E.; Vilas-Vilela, J.L. Non-Immersion Ultrasonic Cleaning: An Efficient Green Process for Large Surfaces with Low Water Consumption. Processes 2021, 9, 585. [Google Scholar] [CrossRef]
  4. Yusof, N.S.M.; Babgi, B.; Aksu, A.; Madhavan, J.; Ashokkumar, M. Physical and chemical effects of acoustic cavitation in selected ultrasonic cleaning applications. Ultrason. Sonochem. 2016, 29, 568–576. [Google Scholar] [CrossRef]
  5. Worradechaudom, W.; Chaiaiad, C.; Thongsri, J. Development of a Small Ultrasonic Cleaning Bath based on Harmonic Response Analysis. In Proceedings of the International Technical Conference on Circuits/Systems, Computers, and Communications (ITC-CSCC), Okinawa, Japan, 2–5 July 2024; pp. 1–5. [Google Scholar] [CrossRef]
  6. Yuan, F.; Zhao, X.; Wu, Z.H.; Ding, Y.; Yang, Q. Washing performance of microbubbles on porous media. J. Water Process Eng. 2024, 58, 104761. [Google Scholar] [CrossRef]
  7. Tian, M.; Liu, H.; Cui, J.; Weng, Y.; Wang, X.; Feng, E.; Zhang, W.; Cao, C.; Wen, J.; Huang, G.; et al. Mechanism of highly efficient oil removal from spent hydrodesulfurization catalysts by ultrasound-assisted surfactant cleaning methods. J. Hazard. Mater. 2024, 472, 134514. [Google Scholar] [CrossRef] [PubMed]
  8. Kuchinskiy, M.; Lyubimova, T.; Rybkin, K.; Sadovnikova, A.; Galishevskiy, V. Investigation of Cavitation in NaCl Solutions in a Sonochemical Reactor Using the Foil Test Method. Fluid Dyn. Mater. Process. 2024, 20, 1093–1102. [Google Scholar] [CrossRef]
  9. Muthukumaran, S.; Yang, K.; Seuren, A.; Kentish, S.; Ashokkumar, M.; Stevens, G.; Grieser, F. The use of ultrasonic cleaning for ultrafiltration membranes in the dairy industry. Sep. Purif. Technol. 2004, 39, 99–107. [Google Scholar] [CrossRef]
  10. Korolev, A.V.; Korolev, A.A.; Bolkunov, V.V.; Vasin, A.N. Ultrasonic cleaning of bearing components. Russ. Eng. Res. 2011, 31, 85–87. [Google Scholar] [CrossRef]
  11. Zhao, F.; Yan, Q.; Cheng, D. Numerical study on the desorption processes of oil droplets inside oil-contaminated sand under cavitation micro-jets. Ultrason. Sonochem. 2021, 78, 105745. [Google Scholar] [CrossRef]
  12. Bogdan, N. Observations of water cavitation intensity under practical ultrasonic cleaning conditions. Ultrason. Sonochem. 2007, 14, 13–18. [Google Scholar] [CrossRef]
  13. Kim, H.; Lee, Y.; Lim, E. Dual-Frequency Megasonic Waveguide for Nano-Pattern Cleaning. IEEE Trans. Semicond. Manuf. 2015, 28, 521–527. [Google Scholar] [CrossRef]
  14. Mondal, J.; Lakkaraju, R.; Ghosh, P.; Ashokkumar, M. Acoustic cavitation-induced shear: A mini-review. Biophys Rev 2021, 13, 1229–1243. [Google Scholar] [CrossRef] [PubMed]
  15. Gale, G.W.; Busnaina, A.A. Roles of cavitation and acoustic streaming in megasonic cleaning. Part. Sci. Technol. 2007, 17, 229–238. [Google Scholar] [CrossRef]
  16. Kuehn, T.H.; Kittelson, D.B.; Wu, Y.; Gouk, R. Particle removal from semiconductor wafers by megasonic cleaning. J. Aerosol Sci. 1996, 27, S427–S428. [Google Scholar] [CrossRef]
  17. Barbagini, F.; Janssens, T.; Bearda, T.; Armini, S.; Van Hoeymissen, J.; Mertens, P.; Fransaer, J. Particle removal from Si substrates in organic solvents using megasonic energy. ECS Trans. 2007, 11, 101–108. [Google Scholar] [CrossRef]
  18. Leong, T.; Collis, J.; Manasseh, R.; Ooi, A.; Novell, A.; Bouakaz, A.; Ashokkumar, M.; Kentish, S. The role of surfactant headgroup, chain length, and cavitation microstreaming on the growth of bubbles by rectified diffusion. J. Phys. Chem. C 2011, 115, 24310–24316. [Google Scholar] [CrossRef]
  19. Camerotto, E.; Brems, S.; Hauptmann, M.; Pacco, A.; Struyf, H.; Mertens, P.W.; De Gendt, S. Influence of surface tension on cavitation noise spectra and particle removal efficiency in high frequency ultrasound fields. J. Appl. Phys. 2012, 112, 114322. [Google Scholar] [CrossRef]
  20. Bakhtari, K.; Guldiken, R.O.; Makaram, P.; Busnaina, A.A. Experimental and numerical investigation of nanoparticle removal using acoustic streaming and the effect of time. J. Electrochem. Soc. 2006, 153, G846–G850. [Google Scholar] [CrossRef]
  21. Doinikov, A.A. Translational motion of a spherical bubble in an acoustic standing wave of high intensity. Phys. Fluids 2002, 14, 1420–1425. [Google Scholar] [CrossRef]
  22. Olim, M.A. Theoretical evaluation of megasonic cleaning for submicron particles. J. Electrochem. Soc. 1997, 144, 3657–3659. [Google Scholar] [CrossRef]
  23. Kumari, S.; Keswani, M.; Singh, S.; Beck, M.; Liebscher, E.; Raghavan, S. Enhanced megasonic processing of wafers in MegPie® using carbonated ammonium hydroxide solutions. Microelectron. Eng. 2014, 114, 148–153. [Google Scholar] [CrossRef]
  24. Kim, T.-G.; Wostyn, K.L.; Mertens, P.; Busnaina, A.A.; Park, J.-G. Quantitative Measurement of Pattern Collapse and Particle Removal Force. ECS Trans. 2007, 11, 123. [Google Scholar] [CrossRef]
  25. Chu, C.L.; Lu, T.Y.; Fuh, Y.K. The suitability of ultrasonic and megasonic cleaning of nanoscale patterns in ammonia hydroxide solutions for particle removal and feature damage. Semicond. Sci. Technol. 2020, 35, 045001. [Google Scholar] [CrossRef]
  26. Kim, W.; Kim, T.-H.; Choi, J.; Kim, H.-Y. Mechanism of particle removal by megasonic waves. Appl. Phys. Lett. 2009, 94, 081908. [Google Scholar] [CrossRef]
  27. Kim, W.; Park, K.; Oh, J.; Choi, J.; Kim, H.-Y. Visualization and minimization of disruptive bubble behavior in ultrasonic field. Ultrasonics 2010, 50, 798–802. [Google Scholar] [CrossRef]
  28. Sahoo, B.N.; Han, S.Y.; Kim, H.-T.; Ando, K.; Kim, T.-G.; Kang, B.-K.; Klipp, A.; Yerriboina, N.P.; Park, J.-G. Chemically controlled megasonic cleaning of patterned structures using solutions with dissolved gas and surfactant. Ultrason. Sonochem. 2022, 82, 105859. [Google Scholar] [CrossRef]
  29. Worapol, T.; Jatuporn, T. Development of an industrial ultrasonic cleaning tank based on harmonic response analysis. Ultrasonics 2019, 91, 68–76. [Google Scholar] [CrossRef]
  30. Wei, L.; Liu, S.; Dong, F. Mechanism study of micro-jet generation induced by acoustic cavitation. J. Hydrodyn. 2025. [Google Scholar] [CrossRef]
  31. Wu, H.; Jin, Y.; Li, Y.; Zheng, H.; Lai, X.; Ma, J.; Ohl, C.-D.; Yu, H.; Li, D. Exploring viscosity influence mechanisms on coating removal: Insights from single cavitation bubble behaviours in low-frequency ultrasonic settings. Ultrason. Sonochem. 2024, 104, 106810. [Google Scholar] [CrossRef]
  32. Zhang, L.; Lu, X.; Busnaina, A.A. Non-contact Post-CMP megasonic cleaning of cobalt wafers. Mater. Sci. Semicond. Process. 2023, 156, 107278. [Google Scholar] [CrossRef]
Figure 1. Schematic diagram of acoustic cavitation collapse.
Figure 1. Schematic diagram of acoustic cavitation collapse.
Symmetry 17 00348 g001
Figure 2. Shows the evolution process of a single bubble radius under the influence of an acoustic field (a) Different radii (b) Theoretical simulation comparison (c) Different sound pressures (d) Resonant frequency.
Figure 2. Shows the evolution process of a single bubble radius under the influence of an acoustic field (a) Different radii (b) Theoretical simulation comparison (c) Different sound pressures (d) Resonant frequency.
Symmetry 17 00348 g002
Figure 3. (a) Aluminum foil corrosion test results [29] (b) Two types of ultrasonic cleaning models.
Figure 3. (a) Aluminum foil corrosion test results [29] (b) Two types of ultrasonic cleaning models.
Symmetry 17 00348 g003
Figure 4. Model of the flow field diagram.
Figure 4. Model of the flow field diagram.
Symmetry 17 00348 g004
Figure 5. The thickness of the boundary layer decreases as the frequency increases [30] (a) Acoustic boundary layer (b) Thickness of acoustic boundary layer.
Figure 5. The thickness of the boundary layer decreases as the frequency increases [30] (a) Acoustic boundary layer (b) Thickness of acoustic boundary layer.
Symmetry 17 00348 g005
Figure 6. Megasonic cleaning [25].
Figure 6. Megasonic cleaning [25].
Symmetry 17 00348 g006
Figure 7. Comparison before and after cleaning [25]. (a) Ultrasonic cleaning. (b) Megasonic cleaning.
Figure 7. Comparison before and after cleaning [25]. (a) Ultrasonic cleaning. (b) Megasonic cleaning.
Symmetry 17 00348 g007
Figure 8. (a) Unfocused megasonic source (Model a) (b) Focused megasonic source (Model b).
Figure 8. (a) Unfocused megasonic source (Model a) (b) Focused megasonic source (Model b).
Symmetry 17 00348 g008
Figure 9. Non-focused sound sources combined with focused sound sources (a) Model c (b) Model d.
Figure 9. Non-focused sound sources combined with focused sound sources (a) Model c (b) Model d.
Symmetry 17 00348 g009
Figure 10. The distribution of the sound pressure and sound pressure level at 40 kHz (a) Model 1 (b) Model 2 (c) Model 3.
Figure 10. The distribution of the sound pressure and sound pressure level at 40 kHz (a) Model 1 (b) Model 2 (c) Model 3.
Symmetry 17 00348 g010
Figure 11. The pressure exerted on the silicon wafers in the cleaning tank. (a) Model 1 (b) Model 2. (c) Model 3.
Figure 11. The pressure exerted on the silicon wafers in the cleaning tank. (a) Model 1 (b) Model 2. (c) Model 3.
Symmetry 17 00348 g011
Figure 12. The distribution of the sound pressure and sound pressure level on the horizontal cross section.
Figure 12. The distribution of the sound pressure and sound pressure level on the horizontal cross section.
Symmetry 17 00348 g012
Figure 13. Sound pressure distribution (a) Model a (b) Model b.
Figure 13. Sound pressure distribution (a) Model a (b) Model b.
Symmetry 17 00348 g013
Figure 14. The distribution of the cross-sectional sound pressure and the values of sound pressure along the cross-sectional line (a) Model a (b) Model b.
Figure 14. The distribution of the cross-sectional sound pressure and the values of sound pressure along the cross-sectional line (a) Model a (b) Model b.
Symmetry 17 00348 g014
Figure 15. The pressure exerted on the silicon wafer (a) Model a (b) Model b.
Figure 15. The pressure exerted on the silicon wafer (a) Model a (b) Model b.
Symmetry 17 00348 g015
Figure 16. Sound pressure distribution (a) Model c (b) Model d.
Figure 16. Sound pressure distribution (a) Model c (b) Model d.
Symmetry 17 00348 g016
Figure 17. The distribution of the cross-sectional sound pressure and the values of the sound pressure along the cross-sectional line (a) Model c (b) Model d.
Figure 17. The distribution of the cross-sectional sound pressure and the values of the sound pressure along the cross-sectional line (a) Model c (b) Model d.
Symmetry 17 00348 g017
Figure 18. The pressure exerted on the silicon wafe (a) Model c (b) Model d.
Figure 18. The pressure exerted on the silicon wafe (a) Model c (b) Model d.
Symmetry 17 00348 g018
Table 1. Relationship between ultrasound frequency and particle size.
Table 1. Relationship between ultrasound frequency and particle size.
Frequency (K Hz)Boundary Layer Thickness
(μm)—Water
In Relation to Particle Size
(μm)
253.57>5
402.822 5
1201.630.5 3
4000.890.2 0.8
9500.570.1 0.3
Table 2. Sound pressure level comparison.
Table 2. Sound pressure level comparison.
Maximum Sound Pressure LevelGrowth Rate
Model 1222.7/
Model 2238.6↑ 7.14%
Model 3245.3↑ 10.15%
Table 3. Sound pressure values near the focus point.
Table 3. Sound pressure values near the focus point.
Sound Pressure Value
Model a4734 Pa
Model b248,869 Pa
Model c110,525 Pa
Model d131,103 Pa
Disclaimer/Publisher’s Note: The statements, opinions and data contained in all publications are solely those of the individual author(s) and contributor(s) and not of MDPI and/or the editor(s). MDPI and/or the editor(s) disclaim responsibility for any injury to people or property resulting from any ideas, methods, instructions or products referred to in the content.

Share and Cite

MDPI and ACS Style

Wei, L.; Liu, S.; Dong, F. Investigation into Enhancing Ultrasonic Cleaning Efficiency Through Symmetrical Transducer Configuration. Symmetry 2025, 17, 348. https://doi.org/10.3390/sym17030348

AMA Style

Wei L, Liu S, Dong F. Investigation into Enhancing Ultrasonic Cleaning Efficiency Through Symmetrical Transducer Configuration. Symmetry. 2025; 17(3):348. https://doi.org/10.3390/sym17030348

Chicago/Turabian Style

Wei, Lei, Sheng Liu, and Fang Dong. 2025. "Investigation into Enhancing Ultrasonic Cleaning Efficiency Through Symmetrical Transducer Configuration" Symmetry 17, no. 3: 348. https://doi.org/10.3390/sym17030348

APA Style

Wei, L., Liu, S., & Dong, F. (2025). Investigation into Enhancing Ultrasonic Cleaning Efficiency Through Symmetrical Transducer Configuration. Symmetry, 17(3), 348. https://doi.org/10.3390/sym17030348

Note that from the first issue of 2016, this journal uses article numbers instead of page numbers. See further details here.

Article Metrics

Back to TopTop