Next Article in Journal
Eigenvalues for the Generalized Laplace Operator of Slant Submanifolds in the Sasakian Space Forms Admitting Semi-Symmetric Metric Connection
Next Article in Special Issue
Confidence Intervals for the Variance and Standard Deviation of Delta-Inverse Gaussian Distributions with Application to Traffic Mortality Count
Previous Article in Journal
Intelligent Performance Degradation Prediction of Light-Duty Gas Turbine Engine Based on Limited Data
Previous Article in Special Issue
Gumbel–Logistic Unit Distribution with Application in Telecommunications Data Modeling
 
 
Font Type:
Arial Georgia Verdana
Font Size:
Aa Aa Aa
Line Spacing:
Column Width:
Background:
Article

A Flexible Unit Distribution Based on a Half-Logistic Map with Applications in Stochastic Data Modeling

by
Vladica S. Stojanović
1,*,
Hassan S. Bakouch
2,
Gadir Alomair
3,*,
Amira F. Daghestani
4 and
Željko Grujčić
5
1
Department of Informatics & Computer Sciences, University of Criminal Investigation and Police Studies, 1000 Belgrade, Serbia
2
Department of Mathematics, College of Science, Qassim University, Buraydah 51452, Saudi Arabia
3
Department of Quantitative Methods, School Business, King Faisal University, Al-Ahsa 31982, Saudi Arabia
4
Department of Mathematics, College of Science and Humanities, Imam Abdulrahman Bin Faisal University, Jubail 35811, Saudi Arabia
5
Department of Informatics, Mathematics and Statistics, School of Engineering Management, University Union Nikola Tesla, 11000 Belgrade, Serbia
*
Authors to whom correspondence should be addressed.
Symmetry 2025, 17(2), 278; https://doi.org/10.3390/sym17020278
Submission received: 16 January 2025 / Revised: 2 February 2025 / Accepted: 8 February 2025 / Published: 11 February 2025

Abstract

In this manuscript, a new two-parameter stochastic distribution is proposed and obtained by a continuous half-logistic transformation of the quasi-Lindley (QL) distribution to the unit interval. The resulting distribution, named the quasi-Lindley half-logistic unit (QHU) distribution, is examined in terms of its key stochastic properties, such as asymmetry conditions, shape and modality, moments, etc. In addition, the stochastic dominance of the proposed distribution with respect to its parameters is considered, and it is shown that the QHU distribution, in contrast to the QL distribution that is always positively asymmetric, can have both asymmetric forms. The parameters of the QHU distribution are estimated by the maximum likelihood (ML) method, and the asymptotic properties of thusly obtained estimators are examined. Finally, an application of the proposed distribution in modeling some real-world phenomena is also presented.

1. Introduction

Proportional variables are particularly important in contemporary science as well as in human activity in general. They can be used as stochastic models that describe the ratio of the number of successes to the number of attempts in some experiment, the proportion of respondents who have a tendency to buy a product, or the rate of attendance at public events. Typically, stochastic distributions defined on a unit interval are used to model the behavior of such random variables (RVs), i.e., proportions and percentages (see, e.g., [1,2,3,4,5]). It is worth noting that the modeling of such variables is considered outside of traditional stochastic models since the data are limited in the range ( 0 , 1 ) . A typical approach is to apply continuously differentiable transformations of distributions defined on the infinite interval ( 0 , + ) to distributions defined on the unit interval (see, e.g., [6,7,8,9]). In this sense, some of widely used examples are logarithmic transformations [10,11,12] as well as half-logistic transformations (see, e.g., [13,14,15]). However, in this manuscript, a different form of half-logistic mapping is applied. Also, several other unit distributions based on transformations of the Lindley distribution have been proposed [16,17,18,19,20,21]. Still, most of them are limited to (only) one form of asymmetry and atypical non-zero values at the ends of the unit interval, which is somewhat unsuitable for practical application.
Motivated by this issue, and similarly as in Stojanović et al. [22,23,24], we propose here a new stochastic unit distribution based on a more general, half-logistic transformation of the so-called quasi-Lindley (QL) distribution, introduced in Shanker and Mishra [25]. The half-logistic transformation is chosen for its ability to map the semi-infinite interval ( 0 , + ) into the finite unit interval ( 0 , 1 ) in a smooth and bijective manner. As will be shown below, this transformation provides greater flexibility to the baseline distribution. Namely, the QL distribution is always unimodal and positively skewed, but the newly obtained quasi-Lindley half-logistic unit (QHU) distribution can have both asymmetric properties, in addition to being unimodal, its probability density function (PDF) can also be increasing. In terms of modeling and application, this is highly desirable, as the QHU distribution can describe both boundaries with “vanishing” and those with increasing extremes. Therefore, the proposed QHU distribution represents a certain advance in the field of distribution theory, with both theoretical and practical implications.
The remaining part of the manuscript is structured as follows: The transformation procedure for obtaining the QHU distribution is described in Section 2, where some basic properties of this distribution are also presented. Section 3 discusses the maximum likelihood (ML) method for estimating the parameters of the QHU distribution, along with asymptotic properties and numerical study of the ML estimators. The application of the QHU distribution in fitting real-world data is presented in Section 4, where it is also shown that it has considerable flexibility and can be used to describe the various types of empirical data. Finally, Section 5 contains concluding remarks.

2. The QHU Distribution

In this section, the definition and some main features of the QHU distribution are described. In addition, the moment-based features, hazard rate function, stochastic ordering, and information structure of the proposed distribution are also considered.

2.1. Definition and Main Properties

Let us first consider a random variable (RV) Y with a quasi-Lindley distribution, which is defined by the PDF
g ( y ; α , β ) = β α + 1 ( α + β y ) e β y ,
where y > 0 and α , β > 0 are the unknown parameters. It should be noted that the quasi-Lindley distribution represents a generalization of the ordinary, one-parameter Lindley distribution, which is obtained from Equation (1) when α = β . Now, for some C > 0 , we can define a half-logistic map φ : ( 0 , + ) 2 ( 0 , 1 ) , as a bijective, continuous transformation
X = φ ( Y ; C ) = ( 1 exp ( C Y ) ) 1 / 2
by means of which a new RV X is obtained. Thereby,
lim y 0 + φ ( y ; C ) = 0 + , lim y + φ ( y ; C ) = 1 ;
that is, the RV X is well defined on the unit interval ( 0 , 1 ) . Using Equation (1) and the inverse transformation Y = φ 1 ( X ; C ) = C 1 ln ( 1 X 2 ) 1 , the PDF for the RV X is obtained as follows:
f ( x ; α , β ) = g φ 1 ( x ; C ) ; α , β · | φ 1 ( x ; C ) x | = 2 β x C ( α + 1 ) 1 x 2 β C 1 α β C ln 1 x 2 .
By the reparametrization ( β / C , α ) ( λ , θ ) , the previous equality gives the following two-parameter PDF:
f ( x ; λ , θ ) = 2 λ x θ + 1 1 x 2 λ 1 θ λ ln 1 x 2 ,
which is well-defined on x ( 0 , 1 ) because f ( x ; λ , θ ) 0 and 0 1 f ( x ; λ , θ ) = 1 . Also, the reparameterization β / C λ gives the unique so-called shape parameter, and α θ is the scale parameter, which are discussed in more detail below. Therefore, we say that the RV X has a quasi-Lindley half-logistic unit (QHU) distribution with the parameters λ > 0 , θ > 0 , and we write X : QH ( λ , θ ) . Some features of the QHU distribution can be given by the following statement:
Theorem 1.
Let X : L ( θ , λ ) be the RV with the QHU distribution, whose PDF is given by Equation (2). Then, the QHU distribution is unimodal when λ > 1 and has a monotonically increasing distribution when 0 < λ 1 .
Proof. 
According to definition of the PDF f ( x ; λ , θ ) , given by Equation (2), it can be easily seen that it satisfies the boundary conditions
lim x 0 + f ( x ; λ , θ ) = 0 + , lim x 1 f ( x ; λ , θ ) = 0 + , λ > 1 , + , λ 1 .
Furthermore, after some computations, the partial derivative of the function f ( x ; λ , θ ) , with respect to x ( 0 , 1 ) , can be obtained as follows:
f ( x ; λ , θ ) x = 2 λ 1 x 2 λ 2 θ + 1 θ + θ ( 1 2 λ ) + 2 λ x 2 + λ ( 2 λ 1 ) x 2 1 ln 1 x 2 2 f ( x ; θ , λ ) x 2 = λ x λ 3 θ + 1 ( λ 1 ) ( λ 2 ) θ λ ln x + λ ( 3 2 λ ) , λ 1 , 2 , 1 ( θ + 1 ) x 2 , λ = 1 , λ 2 ( 1 λ ) ( θ + 1 ) x , λ = 2 .
According to this, it is obvious that the equation f ( x ; θ , λ ) / x = 0 is equivalent to the equation ψ ( x ; λ , θ ) = 0 , where
ψ ( x ; λ , θ ) = θ + θ ( 1 2 λ ) + 2 λ x 2 + λ ( 2 λ 1 ) x 2 1 ln 1 x 2 .
For the function ψ ( x ; λ , θ ) , it is easy to obtain
lim x 0 + ψ ( x ; λ , θ ) = θ > 0 , lim x 1 ψ ( x ; λ , θ ) = , λ > 1 2 , λ = 1 + , λ < 1 ,
and based on that, the following two cases can be observed:
( i ) When λ > 1 , the equation f ( x , λ , θ ) / x = 0 has real solutions, which guarantee that the QHU distribution has at least one mode. Further, ψ ( x ; λ , θ ) has the derivative
ψ ( x ; λ , θ ) x = 2 x θ ( 1 2 λ ) λ ( 2 λ + 1 ) x 2 3 1 x 2 + λ ( 2 λ 1 ) ln 1 x 2
which is strictly decreasing on x ( 0 , 1 ) when λ > 1 because it is valid that
2 ψ ( x ; λ , θ ) x 2 = 4 λ x 2 2 λ 1 1 x 2 + 2 ( λ 1 ) 1 x 2 2 2 ( θ ( 2 λ 1 ) + λ ( 2 λ + 1 ) x 2 3 1 x 2 λ ( 2 λ 1 ) ln 1 x 2 ) < 0 .
This fact then implies that the QHU distribution has a unique mode.
( i i ) In the case when 0 < λ 1 and using similar considerations as before, it is simply concluded that functions ψ ( x ; λ , θ ) and f ( x , λ , θ ) / x are positive for all x ( 0 , 1 ) . Thus, the PDF f ( x ; λ , θ ) is then an increasing function. □
Remark 1.
According to the previous theorem, it follows that the function f ( x ; λ , θ ) vanishes at x = 0 , while at x = 1 it has a dual behavior, given by the second of Equations (3). At the same time, the shape of the QHU distribution depends only on the parameter λ, where the edge case λ = 1 , as well as 0 < λ < 1 , give a monotonically increasing PDF. Thus, λ is the shape parameter of the QHU distribution (see also Remark 2). This can be seen in Figure 1a, which shows plots of the PDFs for various parameter values λ > 0 , θ > 0 . In this way, the significant flexibility of the QHU distribution with respect to changes in its parameters is noticeable.
Plots in Figure 1b show the graphs of the cumulative distribution function (CDF) of the QHU distribution, which is simply obtained after the following integration by parts:
F ( x ; λ , θ ) : = P { X < x } = 0 x f ( t ; λ , θ ) d t = 2 λ θ + 1 0 x t ( 1 t 2 ) λ 1 θ λ ln ( 1 t 2 ) d t = 2 λ θ + 1 1 2 λ ( 1 t 2 ) λ θ λ ln ( 1 t 2 ) | t = 0 t = x + 0 x t ( 1 t 2 ) λ 1 d t = 1 θ + 1 θ ( 1 x 2 ) λ θ λ ln ( 1 x 2 ) ( 1 t 2 ) λ | t = 0 t = x = 1 1 x 2 λ θ + 1 λ ln 1 x 2 θ + 1 ,
where 0 < x < 1 . Note that the function F ( x ; λ , θ ) is well defined at the ends of the unit interval because for all values of the parameters λ , θ > 0 holds
lim x 0 + F ( x ; λ , θ ) = 0 + , lim x 1 F ( x ; λ , θ ) = 1 .
The above-mentioned CDF provides another important feature of the QHU distributed RVs, related to their stochastic ordering, that is, the so-called stochastic dominance relations.
Theorem 2.
Let the CDF of the QHU distributed RV X be defined as in Equation (2). Then, the following statements hold:
(i)
when λ 1 λ 2 , it follows F ( x ; λ 1 , θ ) F ( x ; λ 2 , θ ) ;
(ii)
when θ 1 θ 2 , it follows F ( x ; λ , θ 1 ) F ( x ; λ , θ 2 ) .
Proof. 
( i ) After some calculation, the partial derivative of the function F ( x ; λ , θ ) with respect to λ > 0 is obtained as follows:
F ( x , λ , θ ) λ = 1 x 2 λ ln 1 x 2 λ ln 1 x 2 θ θ + 1 .
Obviously, the inequalities 1 x 2 > 0 and ln ( 1 x 2 ) < 0 hold for each x ( 0 , 1 ) . Thus, for each λ > 0 and θ > 0 , it is valid that λ ln 1 x 2 θ < 0 , that is,
F ( x , λ , θ ) λ > 0 , x ( 0 , 1 ) .
Therefore, the CDF F ( x ; λ , θ ) is increasing on λ > 0 , which confirms the statement of this part of the theorem.
( i i ) In the same way as in the previous part of the proof, this statement follows from
F ( x , λ , θ ) θ = λ 1 x 2 λ ln 1 x 2 ( θ + 1 ) 2 > 0 , x ( 0 , 1 ) , λ > 0 , θ > 0 ,
which means that F ( x ; λ , θ ) increases on θ > 0 . Thus, the theorem is completely proven. □
Remark 2.
The previous theorem, although simple in its structure, indicates, as already pointed out, a stochastic order of RVs with the QHU distribution. By definition of the stochastic ordering (see, e.g., Fill and Machida [26]) for any two RVs X 1 : QH ( λ 1 , θ 1 ) and X 2 : QH ( λ 2 , θ 2 ) , it is valid that
X 1 X 2 ( x ) P { X 1 > x } P { X 2 > x } λ 1 λ 2 θ 1 θ 2 .
Therefore, the stochastic order of the RVs with QHU distribution depends (only) on their parameters ( λ , θ ) , although they do not have the same “influence”. Namely, for arbitrary x ( 0 , 1 ) , after some calculations, it is simply shown that
lim λ + F ( x ; λ , θ ) = 1 , lim θ + F ( x ; λ , θ ) = 1 ( 1 x 2 ) λ .
So, when λ + , the QHU distributed RV X reduces to the degenerate Dirac δ-distribution
f 0 ( x ) = + , x = 0 , 0 , x 1 ,
while the case θ + gives a well-known Kumaraswamy distribution (see also Section 5). The PDF of this distribution, in general form, reads as follows:
f 1 ( x ; α , β ) = α β x α 1 ( 1 x α ) β 1 ,
where is in our case α = 2 and β = λ . On the contrary, in the “opposite” limiting cases one can easily obtain:
lim λ 0 + F ( x ; λ , θ ) = 0 , lim θ 0 + F ( x ; λ , θ ) = 1 ( 1 x 2 ) λ 1 λ ln ( 1 x 2 ) .
Based on the above, it can be noted (again) that λ > 0 represents the shape parameter, while θ is the scale parameter of the QHU distribution, as is shown in the following Figure 2. At the same time, it is worth noting that the value θ = 0 gives a regular CDF of the QHU distribution, so this case can also be considered as a regular value of this parameter. In contrast, in the case λ 0 + , no CDF of any RV is obtained.

2.2. Moments and Shape-Based Properties

Some other stochastic properties of the QHU distribution can also be examined by some calculations. Thus, using successive integration by parts and the induction method, the moments of order k N are obtained as follows:
μ k ( λ , θ ) : = E ( X k ) = 0 1 x k f ( x ; λ , θ ) = Γ k 2 + 1 Γ ( λ + 1 ) θ + λ Ψ k 2 + λ + 1 λ Ψ ( λ ) ( θ + 1 ) Γ k 2 + λ + 1 ,
where Γ n and Ψ n = Γ ( n ) / Γ ( n ) are the gamma and digamma function, respectively. According to Equation (5), for the mean and the variance of the RV X ones, we obtain
E ( X ) = μ 1 ( λ , θ ) = π Γ ( λ + 1 ) θ + λ Ψ λ + 3 2 λ Ψ ( λ ) 2 ( θ + 1 ) Γ λ + 3 2 , Var ( X ) = μ 2 ( λ , θ ) μ 1 ( λ , θ ) 2 = Γ ( λ + 1 ) 4 ( θ + 1 ) 2 4 ( θ + 1 ) θ + 2 1 λ + 1 Γ ( λ + 2 ) π Γ ( λ + 1 ) θ + λ Ψ λ + 3 2 λ Ψ ( λ ) 2 Γ λ + 3 2 2 .
The 3D plots of the mean and variance, depending on the parameters λ , θ > 0 , are shown in Figure 3. It can be seen that the variance has “low” values, which means that the QHU distribution provides a significant amount of information. Therefore, it can be useful for describing real-world phenomena, which will be discussed in more detail later. In a similar way, the skewness coefficient of the QHU distributed RV X is as follows:
S ( λ , θ ) = E ( X μ 1 ( α , θ ) ) 3 Var ( X ) 3 / 2 = μ 3 ( α , θ ) 3 μ 1 ( α , θ ) Var ( X ) μ 1 ( α , θ ) 3 Var ( X ) 3 / 2 .
Due to the complexity though, a more detailed procedure for calculating the skewness coefficient will be omitted, while the 3D plot of its dependence in relation to ( λ , θ ) is given in the following Figure 4a. For instance, when λ = θ = 1 , the following is obtained:
E ( X ) = μ 1 ( 1 , 1 ) = 1 3 γ + 1 + Ψ 5 2 0.7601 , Var ( X ) = 5 8 1 9 γ + 1 + Ψ 5 2 2 0.0472 , S ( 1 , 1 ) = 1 27 γ + 1 + Ψ 5 2 3 5 8 1 9 γ + 1 + Ψ 5 2 2 γ + 1 + Ψ 5 2 + 1 5 γ + 1 + Ψ 7 2 5 8 1 9 γ + 1 + Ψ 2 5 2 3 / 2 1.0505 ,
where γ 0.57721 is the Euler–Mascheroni constant. A more precise examination of the skewness of the QHU distribution is enabled by the following statement, which gives the necessary and sufficient conditions of its asymmetry.
Theorem 3.
Let X : QH ( θ , λ ) be the RV with the QHU distribution and
ξ ( λ ) : = 2 · 3 λ λ ln 3 4 2 · 3 λ 4 λ 1
be the function defined on the interval ( λ 1 , λ 2 ) , where λ 1 is an asymptotic point, and λ 2 is a positive zero of the function ξ ( λ ) . Then, the following statements hold:
(i)
The QHU distribution is positively asymmetric when θ > ξ ( λ ) and λ 1 < λ < λ 2 , or θ > 0 and λ > λ 2 .
(ii)
The QHU distribution is negatively asymmetric when λ λ 1 , or 0 < θ < ξ ( λ ) and λ 1 < λ < λ 2 .
Proof. 
First, note that the median m ( 0 , 1 ) of the QHU distribution is obtained from its CDF, given by Equation (4), as a solution of the equation:
F ( m ; λ , θ ) = 0 m f ( x ; λ , θ ) d x = 1 1 m 2 λ θ + 1 λ ln 1 m 2 θ + 1 = 1 2 .
By substituting the value m = 1 / 2 in Equation (6), the following is obtained:
θ + 1 = 2 3 4 λ θ λ ln 3 4 + 1 ,
which after some rearrangement yields
( θ + 1 ) 2 · 3 λ 4 λ = 2 · λ · 3 λ ln 3 4 < 0 .
From here, by solving equations 2 · 3 λ 4 λ = 0 and ξ ( λ ) = 0 , the asymptotic point λ 1 = ln 2 / ln 4 / 3 2.409 and the zero function λ 2 5.834 are easily computed. In addition, the inequality θ = ξ ( λ ) > 0 holds if and only if λ 1 < λ < λ 2 (see Figure 4b, below). In that way, the following two cases can be observed:
(i)
The RV X : QH ( θ , λ ) is positively asymmetric if and only if the inequality m = F 1 ( 1 / 2 ; λ , θ ) < 1 / 2 is valid, that is, F ( 1 / 2 ; λ , θ ) > 1 / 2 . Then, the inequalities θ > ξ ( λ ) and λ 1 < λ λ 2 are easily obtained. Finally, when λ > λ 2 , it follows that ξ ( λ ) < 0 , so the QHU distribution is then positively asymmetric for any θ > 0 .
(ii)
Otherwise, using a similar procedure as above, when λ λ 1 or F ( 1 / 2 ; λ , θ ) < 1 / 2 , it is easy to conclude that the QHU distribution is negatively skewed.
Remark 3.
Through the dependence θ = ξ ( λ ) , when 0 < λ < λ 2 , the areas of positive and negative asymmetries of the QHU distribution can be clearly observed, as is shown in Figure 4b. Notice that the asymptotic case ( λ , θ ) ( λ 1 , + ) is quite interesting because the QHU distribution has an (approximately) “symmetric" shape. As already explained in Remark 2, the QHU distribution then has an approximately Kumaraswamy distribution, with a PDF of
f 1 ( x ; 2 , λ 1 ) = 2 λ 1 x ( 1 x 2 ) λ 1 1 , x ( 0 , 1 ) .
Nevertheless, it is worth noting that the QHU distribution is always asymmetric, and even the dependence θ = ξ ( λ ) does not indicate its symmetry. This dependence simply means that the median is equal to m = 1 / 2 , but the “true” symmetry of the QHU distribution does not exist, as is confirmed by its PDF given by Equation (2), and this may be a certain drawback of the proposed distribution. Let us point out again that, unlike the standard QL distribution, which is always positively skewed, the QHU distribution exhibits both positive and negative skewness, as a consequence of the interaction between its parameters. All of this provides significant flexibility to the QHU distribution compared to some other standard unit distributions, making it particularly suitable for applications in modeling empirical distributions of real-world data with different skew directions.

2.3. Reliability and Information Properties

According to Equations (2) and (4), the so-called hazard rate function (HRF) of the QHU distributed RV X can be obtained as follows:
h ( x ; λ , θ ) : = f ( x ; λ , θ ) 1 F ( x ; λ , θ ) = 2 λ x 1 x 2 1 1 θ + 1 λ ln 1 x 2 .
Obviously, the HRF is strictly increasing on x ( 0 , 1 ) , which means that the probability of failure increases with respect to x. Moreover, it is simply verified that the function h ( x ; λ , θ ) is also increasing with respect to both parameters ( λ , θ ) . Thus, similar to Theorem 2 and the previous consideration of stochastic ordering, one can say that the RV X 1 : QH ( λ 1 , θ 1 ) is smaller than X 2 : QH ( λ 2 , θ 2 ) in the hazard rate order (denoted as X 1 X 2 ), if their HRFs satisfy inequality h ( x ; λ 1 , θ 1 ) h ( x ; λ 2 , θ 2 ) for all x ( 0 , 1 ) . Therefore, the following is valid:
X 1 X 2 λ 1 λ 2 θ 1 θ 2 ,
and the graphs of HRFs of QHU distributed RVs for some parameter values ( λ , θ ) are presented in Figure 5a below. Note that here one can see both the growth of HRFs and their increase in accordance with the increase in parameter values.
In the following, the entropy of the QHU distribution is considered as an important measure of its uncertainty. One typical way of defining entropy is so-called Rényi entropy:
H α ( X ) : = 1 1 α ln 0 1 f ( x ; λ , θ ) α d x ,
where α ( 0 , + ) and α 1 . Using Equation (7) and the definition of the QHU distribution, one obtains the following theorem:
Theorem 4.
The Rényi entropy of the QHU distributed RV X : QH ( λ , θ ) can be expressed as
H α ( X ) : = α 1 α ln λ 2 θ + 1 + 1 1 α ln G α ; θ , λ ln 2 ,
where
G α ; λ , θ : = j = 0 + ( 1 ) j ω j α + 1 ( α 1 ) / 2 j exp θ ω j λ Γ α + 1 , θ ω j λ ,
ω j : = ω j ( α ; λ ) = j + α ( λ 1 ) + 1 , and Γ a , b : = b t a 1 e t d t is the incomplete gamma function.
Proof. 
Using the definition of the Rényi entropy given by Equation (7), we get
H α ( X ) = 1 1 α ln I ( α ; λ , θ ) ,
where:
I ( α ; λ , θ ) : = 0 1 f ( x ; λ , θ ) α d x = 2 λ θ + 1 α 0 1 x α 1 x 2 α ( λ 1 ) θ λ ln ( 1 x 2 ) α d x = 2 λ α 1 ( θ + 1 ) α θ + t α exp θ t λ α ( λ 1 ) + 1 1 exp θ t λ ( α 1 ) / 2 d t ,
and t = θ λ ln ( 1 x 2 ) . Obviously, inequalities 0 < exp ( θ t ) / λ 1 hold when t θ , so the above integral is absolutely convergent. Thus, by applying the generalized binomial formula and changing the order of the integral and sum, it follows that
I ( α ; λ , θ ) = 2 λ α 1 ( θ + 1 ) α θ + t α exp θ t λ α ( λ 1 ) + 1 j = 0 + ( α 1 ) / 2 j ( 1 ) j exp j ( θ t ) λ d t = 2 λ α 1 ( θ + 1 ) α j = 0 + ( 1 ) j ( α 1 ) / 2 j exp θ ω j λ θ + t α exp ω j t λ d t = 2 α 1 λ 2 α ( θ + 1 ) α j = 0 + ( 1 ) j ω j α + 1 ( α 1 ) / 2 j exp θ ω j λ θ ω j / λ + z α exp z d z = 2 α 1 λ 2 α ( θ + 1 ) α G α ; λ , θ ,
where ω j t / λ = z . Then, after substitution the last term in Equation (9) and some algebraic computations, Equation (8) is easily obtained. □
Remark 4.
According to previous theorem, the limit case α 1 gives the Shannon entropy:
H ( X ) : = E ln f ( X ) = lim α 1 H α ( X ) = ln θ + 1 2 λ 2 G ( α ; θ , λ ) / α G ( α ; λ , θ ) | α = 1 ,
where G ( 1 ; λ , θ ) = ( θ + 1 ) / λ 2 and the above partial derivative exists but is omitted due to its complexity. A 3D plot of the Shannon entropy in dependence of the parameters ( λ , θ ) , shown in Figure 5b, indicates that the highest values H ( X ) 1 are achieved for “small" parameters λ , θ 0 .

3. Parameters Estimation and Simulation Study

This section presents a procedure for estimating the parameters ( λ , θ ) of the QHU-distributed RV X based on the observation of a random sample x 1 , , x n of length n. Similar to most other results related to unit distributions (see, e.g., [3,5,7]), we consider here the maximum likelihood (ML) method. It is well known that ML estimators use all the available information in the data and thus often provide optimal parameter estimates. Also, they usually have desirable theoretical properties, including consistency, asymptotic normality, and efficiency, as established below. In addition, some other estimation methods here, such as the method of moments, are associated with the complexity of calculating the moments of the QHU distribution, defined by Equation (5). As is known, the ML estimators ( λ ^ , θ ^ ) are obtained by maximizing the likelihood function
L λ , θ | x 1 , , x n = i = 1 n f ( x i ; λ , θ ) = 2 λ θ + 1 n i = 1 n x i 1 x i 2 λ 1 ( θ λ ln ( 1 x i 2 ) ) ,
and this solution is the same as one that maximizes the log-likelihood function:
λ , θ | x 1 , , x n = ln L λ , θ | x 1 , , x n = i = 1 n ln f ( x i ; λ , θ ) .
Differentiating ( λ , θ ) with respect to each parameter yields the ML-estimators ( λ ^ , θ ^ ) as solutions of the coupled equations:
λ , θ λ = n λ + i = 1 n ln z i i = 1 n ln z i θ λ ln z i = 0 λ , θ θ = n θ + 1 + i = 1 n 1 θ λ ln z i = 0 ,
where z i = 1 x i 2 , i = 1 , 2 , , n . The existence and asymptotic properties of the estimators ( λ ^ , θ ^ ) can be expressed by the following proposition:
Theorem 5.
The coupled system of Equation (10) has at least one solution ( λ ^ , θ ^ ) which is a consistent and asymptotic bi-variate normal estimator for the true parameters ( λ , θ ) .
Proof. 
Let us consider the first of Equation (10), for which it is valid that
lim λ 0 + λ , θ λ = + , lim λ + λ , θ λ = i = 1 n ln z i < 0 ,
as well as
2 ( λ , θ ) λ 2 = n λ 2 i = 1 n ln 2 z i ( θ λ ln z i ) 2 < 0 .
Hence, λ , θ / λ is decreasing on λ , from positive to negative values, so equation λ , θ / λ = 0 has a unique solution λ = λ ^ . In addition, the standard calculation gives
E ln f ( X ; λ , θ ) λ = E 2 ln f ( X ; λ , θ ) λ 2 = 0 ,
that is, the Fisher’s regularity conditions are met. According to the asymptotic theory of ML-estimation (see, e.g., Li and Babu [27]), it follows the almost sure convergence λ ^ a s λ , when n . Thus, λ ^ is a consistent estimator for λ , and a similar one can be proved for other estimators θ ^ . Finally, the asymptotic normality of both estimators holds according to
( λ ^ , θ ^ ) T d N ( λ , θ ) T , 1 n I ( λ , θ ) 1 , n ,
where the above convergence is in distribution,
I ( λ , θ ) = E 2 ( λ , θ ) λ 2 2 ( λ , θ ) λ θ 2 ( λ , θ ) θ λ 2 ( λ , θ ) θ 2
is the Fisher information matrix, and
2 ( λ , θ ) λ θ = 2 ( λ , θ ) θ λ = i = 1 n ln z i ( θ λ ln z i ) 2 , 2 ( λ , θ ) θ 2 = n ( θ + 1 ) 2 i = 1 n 1 ( θ λ ln z i ) 2 .
Remark 5.
By reparametrization θ = γ · λ , both equations in (10) can be solved with respect to λ. In this way, the following is obtained:
λ = A ( γ ) 1 C = B ( γ ) 1 γ B ( γ ) ,
where
A ( γ ) : = 1 n i = 1 n ln z i γ ln z i , B ( γ ) : = 1 n i = 1 n ( γ ln z i ) 1 , C : = 1 n i = 1 n ln z i .
Therefore, the estimate γ ^ can be obtained as a solution of the following equation:
A ( γ ) 1 1 γ B ( γ ) C B ( γ ) = 0 ,
and according to Equations (12) and (13), the estimators λ ^ and θ ^ = γ ^ · λ ^ are simply determined.
In the following section, numerical simulations of the proposed estimation procedure were carried out based on the generated samples x 1 , , x n from the QHU distribution. For this purpose, three different kind of samples are considered:
(i)
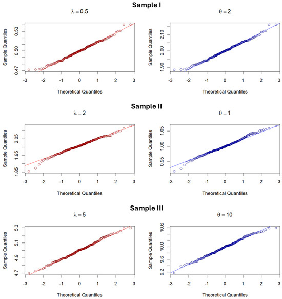
Sample I is taken from negatively asymmetric, increasing QHU distribution QH ( λ , θ ) with parameters γ = 4 , λ = 1 / 2 , θ = 2 .
(ii)
Sample II is taken from negatively asymmetric QHU distribution QH ( λ , θ ) with parameters γ = 1 / 2 , λ = 2 , θ = 1 .
(iii)
Sample III is taken from positively asymmetric QHU distribution QH ( λ , θ ) with parameters γ = 2 , λ = 5 , θ = 10 .
For all samples, different lengths are considered, equal to n { 50 , 150 , 500 , 1500 } , and some of their realizations are shown on the left plots in Figure 6. Note also that these samples were chosen with parameter values that allow for three possible cases of the QHU distribution: increasing PDF as well as unimodal ones with positive and negative skewness. In addition, the sample sizes were chosen to be similar to some real-world data that will be analyzed later. Simulated values of samples are generated using the R-package “distr” [28], and according to Equations (12) and (13), ML estimates γ ^ , λ ^ and θ ^ = γ ^ · λ ^ are simply computed. To this end, numerical solving of Equation (13) is carried out using the R-function “nlimb()”, developed for the box-constrained optimization [29]. It should be noted that the function being optimized here, given by Equation (13), depends (only) on one variable, namely the parameter γ , so its estimates can be obtained with a short computation time and with satisfactory accuracy. In addition, as is shown in Theorem 5, the ML estimates have the AN property which ensures that their distributions approach the multivariate normal distribution as the sample size increases, providing a robust framework for inference. For these reasons, the proposed estimates for both parameters λ , θ are expected to have desirable properties, such as consistency and AN characteristics. To check these facts and the efficiency of proposed estimators, we generated S = 200 independent sample simulations and the results of the statistical analysis of thus obtained ML estimates are presented in the following Table 1, Table 2 and Table 3.
The upper parts of Table 1, Table 2 and Table 3 contain the summary statistics of the ML estimates, i.e., minimums (Min), mean values (Means), maximums (Max), standard deviations (SD), the mean-square (MSEE) and fractional estimation errors (FEE). Based on this, we can note that ML estimators are efficient because SD, MSEE, and FEE values decrease with increasing sample size, that is, there is a convergence of ML estimation methods. At the same time, it can be observed that the ML estimates for both parameters λ and θ in most cases exhibit the properties of stability and asymptotic normality (AN). In that aim, the lower parts of Table 1, Table 2 and Table 3 contain the results of Anderson–Darling (AD) and Shapiro–Wilks (W) normality tests. Their test statistics, denoted by AD and W, respectively, as well as the corresponding p-values are computed using the R-package “nortest” [30]. The results obtained in this way confirm that the AN property, given by Equation (11), is confirmed for ML parameter estimates in almost all cases. Confirmation of these can also be seen in the right panels of Figure 6, where the empirical distributions of some samples are shown along with the appropriate fitted PDFs. Furthermore, in order to compare the distribution of thus-obtained estimates with the Gaussian distribution, Q-Q plots of both parameters for samples of size n = 1500 are shown in Figure 7.

4. Applications of the QHU Distribution

This section discusses some practical applications of the QHU distribution in real-world data modeling. For this purpose, as well as to compare the efficiency of the proposed model with some exciting ones, we have used the following three datasets, a brief description of which is given below.

4.1. Series A (Pollster Ratings)

The first dataset, Series A, was obtained from the GitHub, Inc. database, specifically from the ’Pollster Ratings’ dataset [31]. This dataset represents the ratings of organizations involved in organizing polls, expressed as percentages of accuracy and methodological transparency. These ratings are critical in statistical and social sciences, where accurate polling methods are essential for decision-making and public policy. Since the data are bounded between 0 and 1 and exhibit a negatively skewed distribution, the QHU distribution is well-suited for modeling such proportional data, and in this way, a sample size of n = 94 was obtained.

4.2. Series B (Antibiotics Usage)

The second dataset, Series B, was obtained from a study conducted at the General Hospital of Vranje, Serbia. It represents the percentage of antibiotic usage before and during the COVID-19 pandemic. This dataset is highly relevant in medical and epidemiological research, where changes in antibiotic usage patterns are often studied to understand public health trends. The data are positively skewed and exhibit a peak around the lower bound, making the QHU distribution particularly effective for capturing these characteristics. In this way, a dataset of length n = 174 was obtained, which was also (in a larger scope) considered in Stojanović et al. [24].

4.3. Series C (Telecommunication Data)

The third dataset, Series C, represents the percentage of time spent by end-users using telecommunications services. The data were collected as part of a telecommunications traffic study in India and are available on the Kaggle platform [32]. This dataset is significant for the field of network optimization and telecommunications, where bounded data often arise in studies of service usage. Given its negatively skewed nature and full-range coverage of the unit interval, the QHU distribution is well-suited for accurately modeling these data points. This dataset, also observed in Stojanović et al. [23,24], consists of n = 542 monthly end-user costs (in Indian rupees), normalized to their maximum and minimum values, yielding a dataset within a unit interval.
Realizations of all the above series, along with their empirical distributions, can be seen in Figure 8, while their descriptive statistical analyses are presented in the following Table 4. As can be easily seen, the empirical distribution of Series A is negatively skewed, where it extends from a quarter of a unit interval. On the other hand, Series B has a significantly positively skewed distribution, with a smaller range of values, but also with a pronounced peak, that is, an elongated distribution. Finally, Series C has a negatively skewed distribution and the highest data range, spanning into entire unit intervals. In addition, let us emphasize once again that the length and shape of the empirical distributions of these series are chosen to be similar to the simulated samples discussed in previous Section 4.
Moreover, we have checked the identical independent distribution (IID) properties of the mentioned data series. For this purpose, the following two null hypotheses of the IID property, at cumulative lags m = 1 , 2 , are tested:
H 0 : ρ x ( k ) = 0 ρ | x | ( k ) = 0 , k = 1 , , m H 0 : ρ x ( k ) = 0 ρ x 2 ( k ) = 0 , k = 1 , , m .
Here, ρ x ( k ) , ρ | x | ( k ) , and ρ x 2 ( k ) are the kth-order autocorrelation functions (ACFs) of some observed time series ( x t ) , ( | x t x ¯ | ) , and ( x t x ¯ 2 ) , respectively, and x ¯ t = n 1 i = 1 n x i is the sample mean. Then, by using the results reported in Dalla et al. [33], above hypotheses can be tested using the following statistics:
C x ; | x | ( k ) = k = 1 m J x ; | x | ( k ) , C x ; x 2 ( k ) = k = 1 m J x ; x 2 ( k ) ,
where
J x ; | x | ( k ) = n 2 n k ρ ^ x ( k ) + ρ ^ | x | ( k ) , J x ; x 2 ( k ) = n 2 n k ρ ^ x ( k ) + ρ ^ x 2 ( k ) ,
and ρ ^ x ( k ) , ρ ^ | x | ( k ) , ρ ^ x 2 ( k ) are estimated kth correlations of the above series, respectively.
As shown in [33], all of the above statistics are robust and converge in distribution to a certain RV with a chi-square ( χ 2 ) distribution, that is, the following convergences hold:
J x ; | x | ( k ) , J x ; x 2 ( k ) d χ 2 2 , C x ; | x | ( k ) , C x ; x 2 ( k ) d χ 2 m 2 .
The results of the previously described IID testing can be presented as in Figure 9, where with a lag of m = 10 and a significance level of α = 5 % (shown by the dashed lines), both null hypotheses are tested for all three observed real-world data series. In doing so, the test results are obtained using the “iid.test()” function in the R package “testcorr”. According to them, it is clear that the null hypothesis of non-correlation of the observed series is not rejected in any case or at any observed level.
In the following, by applying the previously described ML estimation procedure, parameters for all series above are estimated, assuming that they can be fitted by the QHU distribution. In addition, to verify the efficiency of fitting the proposed distribution to real-world data, it is compared with the following four previously known unit stochastic distributions:
(i)
Beta distribution, whose PDF is
g 1 ( x ; a , b ) = 1 B ( a , b ) x a 1 ( 1 x ) b 1 ,
where B ( a , b ) is the beta function.
(ii)
Kumaraswamy (KUM) distribution (see, e.g., Jones [34]), whose PDF is
g 2 ( x ; a , b ) = a b x a 1 ( 1 x a ) b 1 .
(iii)
Bounded truncated Cauchy power exponential (BTCPE) distribution, proposed by Nasiru et al. [35], with the PDF
g 3 ( x ; a , b ) = 4 a b x a 1 ( 1 x a ) b 1 π 1 + ( 1 x a ) 2 b .
(iv)
The unit-Weibull (UW) distribution, introduced by Mazucheli et al. [36], with the PDF
g 4 ( x ; a , b ) = a b ( ln x ) b 1 exp ( a ( ln x ) b ) x .
(v)
The Log–Lindley (LL) distribution, introduced in [16], with the PDF
g 5 ( x ; a , b ) = b 2 1 + a b ( a ln x ) x b 1 .
Note that in all the above PDFs, 0 < x < 1 and a , b > 0 are the distribution parameters, while, for the LL distribution, a = 0 can also be (see Table 6 below). We emphasize that all of the above distributions were chosen primarily because of their flexibility, i.e., the fact that, similar to the QHU distributions, they can have both asymmetric shapes. To obtain the estimated parameter values of the distributions above, the same ML estimation method is used as for the QHU distribution. To this end, numerical optimization of the log-likelihood functions
j a , b | x 1 , , x n = i = 1 n ln g j ( x i ; a , b ) , j = 1 , 2 , 3 , 4 ,
is conducted by using the R-function “optim()” within the “stats” package. As is known, all estimates obtained in this way have similar, desirable asymptotic properties as in the case of the QHU distribution. The estimated parameter values for each series, as well as for all competing distributions, are presented in the following Table 5, Table 6 and Table 7.
Note that the estimated parameters of the QHU distribution, λ and θ , provide valuable insights into the underlying data structure and have practical implications for real-world applications. Thus, the shape parameter ( λ ) governs the skewness and modality of the distribution, and its practical implications include identifying data concentration near boundaries, detecting asymmetry, and understanding peaks or trends in the data. For instance, in pollster ratings (Series A), the negative skewness ( λ = 1.1781 ) highlights a clustering of high ratings, indicating consistent performance. Conversely, in antibiotic usage (Series B), the sharp positive skewness ( λ = 34.523 ) reflects concentrated usage near the lower boundary, informing healthcare policy. On the other hand, the scale parameter ( θ ) determines the spread or variability of the data. Practical implications include quantifying consistency or diversity in behavior. For instance, in telecommunication data (Series C), the moderate variability ( θ = 0.8590 ) suggests opportunities for segmenting users and optimizing services.
Thereafter, S = 1000 independent Monte Carlo simulations are performed for all theoretical models, and the agreement between empirical and fitted distributions was checked using MSEE statistics as well as the Akaike, Bayesian, and Hannan–Quinn information criterion (denoted with AIC, BIC, and HQIC, respectively). Their values are calculated according to the following formulas:
AIC = 2 ( k ( Θ ^ ) ) , BIC = k ln ( n ) 2 ( Θ ^ ) , HQIC = 2 ( k ln ( ln n ) ( Θ ^ ) ) ,
where k = 2 is the total number of parameters, ( Θ ^ ) is a maximized value of the log-likelihood function, and Θ ^ ( a ^ , b ^ ) , ( λ ^ , θ ^ ) are the pairs of the estimated parameters. Additionally, the asymptotic two-sample Kolmogorov–Smirnov (KS), Anderson–Darling (AD), and Cramér–von Mises (CVM) tests of distributions’ equivalence were carried out, the test statistics and corresponding p-values of which are also presented in Table 5, Table 6 and Table 7.
Based on that, it is evident that MSEE, AIC, BIC, and HQIC values are generally lower in the case when the QHU distribution is applied as the appropriate fitting model. Furthermore, in the case of Series A, the hypothesis of equivalence of the empirical and fitted distributions is not rejected only for the QHU, Beta, and Kumaraswamy distributions. Nevertheless, the QHU model outperformed the Beta and Kumaraswamy distributions in terms of all error statistics. Then, for Series B, all theoretical distributions except the LL distribution can be used as appropriate fitting models. This also indicates the advantage of the proposed QHU distribution, which is like the LL distribution derived from the Lindley distribution but has significantly greater flexibility in modeling this dataset. Finally, when it comes to Series C, only for the QHU distribution was the hypothesis of asymptotic equality of the empirical and fitted distributions not rejected. In that way, the QHU distribution allows for flexible behavior near the boundaries of the unit interval, making it suitable for datasets like Series C, where values span the entire unit interval. Some confirmation of this can be seen in the right panels of Figure 8, where the empirical and fitted distributions of all datasets are shown, and thus the relevance of generated theoretical models.

5. Concluding Remarks

This study introduces the quasi-Lindley half-logistic unit (QHU) distribution, a novel two-parameter distribution on the unit interval, addressing key limitations of existing unit distributions. We have provided a comprehensive exploration of its stochastic properties and demonstrated its superiority in fitting real-world datasets compared to established distributions. The QHU distribution is particularly useful for datasets that require flexibility, interpretability, and computational efficiency. Its ability to switch between unimodal and monotonically increasing shapes adds versatility, while its parameters ( λ for shape and θ for scale) provide meaningful insight into skewness, modality, and variability. These features make it desirable for a variety of applications, such as, for instance, public health (e.g., modeling drug use rates), telecommunications (e.g., analyzing user behavior), and social sciences, where flexibility and accurate modeling are essential. In addition, similar application can also be made in other applied fields, such as finance, reliability analysis, or insurance, where the values are normalized to a unit interval. All these can underscore the QHU distribution’s utility in providing both accurate model fits and practical insights.
At the same time, let us emphasize again that the symmetry property of the QHU distribution does not hold. This may represent a certain disadvantage of this stochastic model compared to some similar unit distributions such as, for instance, the Cauchy-logistic distribution, introduced by Stojanović et al. [24], which has this property. On the other hand, this could be a guideline for the authors in some future research, where the adaptation of the QHU distribution for regression modeling or Bayesian inference could also be explored. Finally, as a logistic regression is often applied in machine learning and data science, this may also be an additional motivation to further examine the unit distributions based on (half-)logistic maps.

Author Contributions

Conceptualization, V.S.S., H.S.B. and G.A.; methodology, V.S.S. and H.S.B.; software, V.S.S., H.S.B. and A.F.D.; validation, V.S.S., H.S.B. and G.A.; formal analysis, V.S.S. and H.S.B.; data curation, V.S.S. and Ž.G.; writing—original draft preparation, V.S.S., H.S.B. and G.A.; writing—review and editing, G.A., A.F.D. and Ž.G.; visualization, V.S.S., A.F.D. and Ž.G.; supervision, G.A. and A.F.D.; project administration, G.A. and Ž.G. All authors have read and agreed to the published version of the manuscript.

Funding

This work was funded by King Faisal University, Saudi Arabia [GRANT KFU250261].

Data Availability Statement

The original data presented in the study are openly available on the GitHub, Inc. database https://github.com/fivethirtyeight/data/tree/master/pollster-ratings (accessed on 22 December 2024) and the “Kaggle” website https://www.kaggle.com (accessed on 2 January 2025).

Acknowledgments

This work was supported by the Deanship of Scientific Research, Vice Presidency for Graduate Studies and Scientific Research, King Faisal University, Saudi Arabia [GRANT KFU250261].

Conflicts of Interest

The authors declare no conflicts of interest.

References

  1. Martínez-Flórez, G.; Azevedo-Farias, R.B.; Tovar-Falón, R. New Class of Unit-Power-Skew-Normal Distribution and Its Associated Regression Model for Bounded Responses. Mathematics 2022, 10, 3035. [Google Scholar] [CrossRef]
  2. Afify, A.Z.; Nassar, M.; Kumar, D.; Cordeiro, G.M. A New Unit Distribution: Properties and Applications. Electron. J. Appl. Stat. 2022, 15, 460–484. [Google Scholar]
  3. Alomair, G.; Akdoğan, Y.; Bakouch, H.S.; Erbayram, T. On the Maximum Likelihood Estimators’ Uniqueness and Existence for Two Unitary Distributions: Analytically and Graphically, with Application. Symmetry 2024, 16, 610. [Google Scholar] [CrossRef]
  4. Nasiru, S.; Chesneau, C.; Ocloo, S.K. The Log-Cosine-Power Unit Distribution: A New Unit Distribution for Proportion Data Analysis. Decis. Anal. J. 2024, 10, 100397. [Google Scholar] [CrossRef]
  5. Salinas, H.S.; Bakouch, H.S.; Almuhayfith, F.E.; Caimanque, W.E.; Barrios-Blanco, L.; Albalawi, O. Statistical Advancement of a Flexible Unitary Distribution and Its Applications. Axioms 2024, 13, 397. [Google Scholar] [CrossRef]
  6. Krishna, A.; Maya, R.; Chesneau, C.; Irshad, M.R. The Unit Teissier Distribution and Its Applications. Math. Comput. Appl. 2022, 27, 12. [Google Scholar] [CrossRef]
  7. Bakouch, H.S.; Hussain, T.; Tošić, M.; Stojanović, V.S.; Qarmalah, N. Unit Exponential Probability Distribution: Characterization and Applications in Environmental and Engineering Data Modeling. Mathematics 2023, 11, 4207. [Google Scholar] [CrossRef]
  8. Condino, F.; Domma, F. Unit Distributions: A General Framework, Some Special Cases, and the Regression Unit-Dagum Models. Mathematics 2023, 11, 2888. [Google Scholar] [CrossRef]
  9. Biçer, C.; Bakouch, H.S.; Biçer, H.D.; Alomair, G.; Hussain, T.; Almohisen, A. Unit Maxwell-Boltzmann Distribution and Its Application to Concentrations PoGLUtant Data. Axioms 2024, 13, 226. [Google Scholar] [CrossRef]
  10. Altun, E. The Log-Weighted Exponential Regression Model: Alternative to the Beta Regression Model. Commun. Stat. Theory Methods 2020, 50, 2306–2321. [Google Scholar] [CrossRef]
  11. Korkmaz, M.Ç.; Korkmaz, Z.S. The Unit Log–log Distribution: A New Unit Distribution with Alternative Quantile Regression Modeling and Educational Measurements Applications. J. Appl. Stat. 2023, 50, 889–908. [Google Scholar] [CrossRef] [PubMed]
  12. Shakhatreh, M.K.; Aljarrah, M.A. Bayesian Analysis of Unit Log-Logistic Distribution Using Non-Informative Priors. Mathematics 2023, 11, 4947. [Google Scholar] [CrossRef]
  13. Nasiru, S.; Chesneau, C.; Abubakari, A.G.; Angbing, I.D. Generalized Unit Half-Logistic Geometric Distribution: Properties and Regression with Applications to Insurance. Analytics 2023, 2, 438–462. [Google Scholar] [CrossRef]
  14. Alghamdi, S.M.; Shrahili, M.; Hassan, A.S.; Mohamed, R.E.; Elbatal, I.; Elgarhy, M. Analysis of Milk Production and Failure Data: Using Unit Exponentiated Half Logistic Power Series Class of Distributions. Symmetry 2023, 15, 714. [Google Scholar] [CrossRef]
  15. Alvarez, P.I.; Varela, H.; Cortés, I.E.; Venegas, O.; Gómez, H.W. Modified Unit-Half-Normal Distribution with Applications. Mathematics 2024, 12, 136. [Google Scholar] [CrossRef]
  16. Gómez-Déniz, E.; Sordo, M.A.; Calderín-Ojeda, E. The Log–Lindley Distribution as an Alternative to the Beta Regression Model With Applications in Insurance. Insur. Math. Econ. 2014, 54, 49–57. [Google Scholar] [CrossRef]
  17. Mazucheli, J.; Menezes, A.F.; Chakraborty, S. On the One Parameter Unit-Lindley Distribution and Its Associated Regression Model for Proportion Data. J. Appl. Stat. 2019, 46, 700–714. [Google Scholar] [CrossRef]
  18. Mazucheli, J.; Bapat, S.R.; Menezes, A.F. A New One-Parameter Unit-Lindley Distribution. Chilean J. Stat. 2020, 11, 53–67. [Google Scholar]
  19. Altun, E.; Cordeiro, G.M. The Unit-Improved Second-Degree Lindley Distribution: Inference and Regression Modeling. Comput. Stat. 2020, 35, 259–279. [Google Scholar] [CrossRef]
  20. Irshad, M.R.; D’cruz, V.; Maya, R. The Exponentiated Unit Lindley Distribution: Properties and Applications. Ric. Mat. 2024, 73, 1121–1143. [Google Scholar] [CrossRef]
  21. Karakaya, K.; Korkmaz, M.C.; Chesneau, C.; Hamedani, G.G. A New Alternative Unit-Lindley Distribution with Increasing Failure Rate. Sci. Iran. 2025, in press. [Google Scholar] [CrossRef]
  22. Stojanović, V.S.; Jovanović Spasojević, T.; Jovanović, M. Laplace-Logistic Unit Distribution with Application in Dynamic and Regression Analysis. Mathematics 2024, 12, 2282. [Google Scholar] [CrossRef]
  23. Stojanović, V.S.; Jovanović, M.; Pažun, B.; Langović, Z.; Grujčić, Ž. Gumbel–Logistic Unit Distribution with Application in Telecommunications Data Modeling. Symmetry 2024, 16, 1513. [Google Scholar] [CrossRef]
  24. Stojanović, V.S.; Jovanović Spasojević, T.; Bojičić, R.; Pažun, B.; Langović, Z. Cauchy–Logistic Unit Distribution: Properties and Application in Modeling Data Extremes. Mathematics 2025, 13, 255. [Google Scholar] [CrossRef]
  25. Shanker, R.; Mishra, A. A Quasi Lindley Distribution. Afr. J. Math. Comput. Sci. Res. 2013, 6, 64–71. [Google Scholar]
  26. Fill, J.A.; Machida, M. Stochastic Monotonicity and Realizable Monotonicity. Ann. Probab. 2001, 29, 938–978. [Google Scholar] [CrossRef]
  27. Li, B.; Babu, G.J. Asymptotic Theory for Maximum Likelihood Estimation. In Springer Texts in Statistics (STS); Springer: New York, NY, USA, 2019; pp. 237–259. [Google Scholar]
  28. Ruckdeschel, P.; Kohl, M.; Stabla, T.; Camphausen, F. S4 Classes for Distributions. R News 2006, 6, 2–6. Available online: https://CRAN.R-project.org/doc/Rnews (accessed on 20 December 2024).
  29. Gay, D.M. Usage Summary for Selected Optimization Routines; Computing Science Technical Report 153; AT&T Bell Laboratories: Murray Hill, NJ, USA, 1990. [Google Scholar]
  30. Gross, L. Tests for Normality. R Package Version: 1.0.4. 2013. Available online: http://CRAN.R-project.org/package=nortest (accessed on 21 December 2024).
  31. Available online: https://github.com/fivethirtyeight/data/tree/master/pollster-ratings (accessed on 22 December 2024).
  32. Mirza, M.H. “telecom_churn_dataset” (Dataset). 2023. Available online: https://www.kaggle.com/datasets/mirzahasnine/telecom-churn-dataset (accessed on 2 January 2025).
  33. Dalla, V.; Mary, Q.; Phillips, P.C.; Giraitis, L. The Testcorr Package, R Package Version: 1.0.4. 2021. Available online: https://cran.r-project.org/web/packages/testcorr/testcorr.pdf (accessed on 15 January 2025).
  34. Jones, M.C. Kumaraswamy’s Distribution: A Beta-Type Distribution with Some Tractability Advantages. Stat. Methodol. 2009, 6, 70–81. [Google Scholar] [CrossRef]
  35. Nasiru, S.; Abubakari, A.G.; Chesneau, C. New Lifetime Distribution for Modeling Data on the Unit Interval: Properties, Applications and Quantile Regression. Math. Comput. Appl. 2022, 27, 105. [Google Scholar] [CrossRef]
  36. Mazucheli, J.; Menezes, A.F.B.; Ghitany, M.E. The Unit-Weibull Distribution and Associated Inference. J. Appl. Prob. Stat. 2018, 13, 1–22. [Google Scholar]
Figure 1. Plots of the PDFs f ( x ; λ , θ ) (a) and the CDFs F ( x ; λ , θ ) (b) of the QHU distribution for some values of parameters λ , θ .
Figure 1. Plots of the PDFs f ( x ; λ , θ ) (a) and the CDFs F ( x ; λ , θ ) (b) of the QHU distribution for some values of parameters λ , θ .
Symmetry 17 00278 g001
Figure 2. (a) Plot of PDFs of the QHU distribution for various values of the shape parameter λ , when θ = 1 . (b) Plot of PDFs of the QHU distribution for various values of the scale parameter θ , when λ = 1.5 .
Figure 2. (a) Plot of PDFs of the QHU distribution for various values of the shape parameter λ , when θ = 1 . (b) Plot of PDFs of the QHU distribution for various values of the scale parameter θ , when λ = 1.5 .
Symmetry 17 00278 g002
Figure 3. 3D plots of the mean (a) and the variance (b) of the QHU distribution, versus parameters ( λ , θ ) .
Figure 3. 3D plots of the mean (a) and the variance (b) of the QHU distribution, versus parameters ( λ , θ ) .
Symmetry 17 00278 g003
Figure 4. 3D plot of the skewness coefficient (a) and asymmetry conditions (b) of the QHU distribution, depending on parameters λ , θ .
Figure 4. 3D plot of the skewness coefficient (a) and asymmetry conditions (b) of the QHU distribution, depending on parameters λ , θ .
Symmetry 17 00278 g004
Figure 5. (a) Plots of the HRF for some parameter values λ > 0 , θ 0 . (b) 3D plot of the Shannon entropy versus parameters ( λ , θ ) .
Figure 5. (a) Plots of the HRF for some parameter values λ > 0 , θ 0 . (b) 3D plot of the Shannon entropy versus parameters ( λ , θ ) .
Symmetry 17 00278 g005
Figure 6. Panels left: Monte-Carlo simulations of the RV X : QH ( λ , θ ) . Panels right: Empirical and fitted PDFs of the RV X : QH ( λ , θ ) .
Figure 6. Panels left: Monte-Carlo simulations of the RV X : QH ( λ , θ ) . Panels right: Empirical and fitted PDFs of the RV X : QH ( λ , θ ) .
Symmetry 17 00278 g006
Figure 7. Q-Q plots of parameter estimates λ ^ (left plots) and θ ^ (right plots) for samples of length n = 1500 .
Figure 7. Q-Q plots of parameter estimates λ ^ (left plots) and θ ^ (right plots) for samples of length n = 1500 .
Symmetry 17 00278 g007
Figure 8. Panels left: Observations of the real-world data series. Panels right: Empirical distributions (histograms) and fitted PDFs obtained using competing theoretical distributions.
Figure 8. Panels left: Observations of the real-world data series. Panels right: Empirical distributions (histograms) and fitted PDFs obtained using competing theoretical distributions.
Symmetry 17 00278 g008
Figure 9. Cumulative robust χ 2 -based test for the IID properties of observed data series.
Figure 9. Cumulative robust χ 2 -based test for the IID properties of observed data series.
Symmetry 17 00278 g009
Table 1. Summary statistics, estimation errors, and AN testing of parameter estimates of the QHU distribution (Sample I with the parameters λ = 0.5 and θ = 2 ).
Table 1. Summary statistics, estimation errors, and AN testing of parameter estimates of the QHU distribution (Sample I with the parameters λ = 0.5 and θ = 2 ).
Statistics n = 50 n = 150 n = 500 n = 1500
λ ^ θ ^ λ ^ θ ^ λ ^ θ ^ λ ^ θ ^
Min.0.42141.6920.44331.7780.47251.8940.47841.918
Mean0.48921.9600.49141.9730.49271.9920.50032.005
Max.0.58422.3400.54892.1990.54832.1760.53092.127
SD2.08  × 10 3 0.02920.01710.06809.13  × 10 3 0.03649.44  × 10 3 0.0376
MSEE0.03110.03950.01860.02660.01230.02930.01015.10  × 10 3
FEE (%)6.2171.9753.7311.33092.4621.4662.5341.505
A D 0.52830.52690.28170.28360.32640.32950.14060.1405
(p-value)(0.1756)(0.1770)(0.6354)(0.6294)(0.5183)(0.5133)(0.9732)(0.9732)
W0.98890.98880.99130.99120.99060.990510.99430.9942
(p-value)(0.1247)(0.1213)(0.2719)(0.2651)(0.2186)(0.2118)(0.6402)(0.6439)
Table 2. Summary statistics, estimation errors, and AN testing of parameter estimates of the QHU distribution (Sample II with the parameters λ = 2 and θ = 1 ).
Table 2. Summary statistics, estimation errors, and AN testing of parameter estimates of the QHU distribution (Sample II with the parameters λ = 2 and θ = 1 ).
Statistics n = 50 n = 150 n = 500 n = 1500
λ ^ θ ^ λ ^ θ ^ λ ^ θ ^ λ ^ θ ^
Min.1.4750.4531.6820.43581.8260.52831.8620.6312
Mean2.0521.0382.0450.96252.0231.0222.0051.003
Max.2.5972.0622.3261.8932.2551.6862.1541.3771
SD0.17950.44160.12680.34890.07320.17820.05680.1258
MSEE0.18190.06820.13690.04600.08590.03750.06610.0171
FEE (%)9.0966.8126.8454.5994.2963.7473.3071.706
A D 0.35470.7943 *0.30120.60690.17450.49760.24810.3313
(p-value)(0.4580)(0.0389)(0.5759)(0.1118)(0.9246)(0.2092)(0.7477)(0.5107)
W0.99210.98780.99500.98790.99710.99090.99540.9942
(p-value)(0.3485)(0.0858)(0.7507)(0.0863)(0.9719)(0.2455)(0.8081)(0.6325)
* 0.01 < p < 0.05 .
Table 3. Summary statistics, estimation errors, and AN testing of parameter estimates of the QHU distribution (Sample III with the parameters λ = 5 and θ = 10 ).
Table 3. Summary statistics, estimation errors, and AN testing of parameter estimates of the QHU distribution (Sample III with the parameters λ = 5 and θ = 10 ).
Statistics n = 50 n = 150 n = 500 n = 1500
λ ^ θ ^ λ ^ θ ^ λ ^ θ ^ λ ^ θ ^
Min.3.8455.8824.3906.4854.6436.9824.6886.997
Mean4.9909.8545.0109.8995.0069.9105.00310.068
Max.6.29612.5925.69211.0205.31810.7855.30410.448
SD0.40470.96990.22400.62580.12710.54820.12190.4775
MSEE0.40380.14590.22350.10130.12720.08990.12160.0676
FEE (%)8.0771.4594.4701.0132.5450.89952.4330.6756
A D 0.66900.47120.26540.36730.30630.15670.363330.1974
(p-value)(0.0795)(0.2429)(0.6899)(0.4285)(0.5622)(0.9532)(0.4376)(0.8869)
W0.98950.99190.99530.99160.99760.99440.99480.9942
(p-value)(0.1507)(0.3355)(0.7985)(0.3069)(0.9907)(0.6624)(0.7134)(0.6263)
Table 4. Summary statistics of real-world data.
Table 4. Summary statistics of real-world data.
Statistics Series A Series B Series C
Sample size ( n ) 94 174 542
Minimum 0.2500 3.08  × 10 3 2.54  × 10 3
Maximum 0.9900 0.5880 0.9929
Range 0.7400 0.5849 0.9904
Mean 0.8050 0.1671 0.6225
Median 0.8280 0.1486 0.6739
Mode 0.9900 0.1000 0.5629
Stand. deviation 0.1619 0.1026 0.2380
Variance 0.0262 0.0105 0.0566
Skewness −0.8826 1.2770 −0.9142
Kurtosis 3.6282 4.9587 3.2005
Table 5. Estimated parameters of the competing distributions for Series A along with corresponding estimation errors, fit, and test statistics.
Table 5. Estimated parameters of the competing distributions for Series A along with corresponding estimation errors, fit, and test statistics.
Parameters/StatisticsDistributions
QHU BETA KUM BTCPE UW LL
λ / a 1.17814.01603.65662.98823.79102.1067
θ / b 0.05570.97280.82790.86830.91314.5283
MSEE0.01310.01650.01460.01630.01460.0145
AIC−127.9−120.1−119.9−106.3−110.8−114.2
BIC−122.8−115.0−114.8−101.2−105.7−109.1
HQIC−125.8−118.1−117.8−104.3−108.8−112.1
K S 0.13830.15960.14890.2021 *0.2128 *0.2128 *
(p-value)(0.3248)(0.1800)(0.2456)(0.0423)(0.0277)(0.0277)
A D 451.8459.0522.5400.8473.3570.1
(p-value)(0.2635)(0.2520)(0.1960)(0.2705)(0.1980)(0.1365)
C V M 0.61490.42430.52730.55490.69700.7484
(p-value)(0.3550)(0.5450)(0.4545)(0.3980)(0.3095)(0.2865)
* 0.01 < p < 0.05 .
Table 6. Estimated parameters of the competing distributions for Series B, along with corresponding estimation errors, fit, and test statistics.
Table 6. Estimated parameters of the competing distributions for Series B, along with corresponding estimation errors, fit, and test statistics.
Parameters/StatisticsDistributions
QHU BETA KUM BTCPE UW LL
λ / a 34.5232.04211.65101.46360.09970.0000
θ / b 26.52710.18214.95013.2842.88561.0048
MSEE6.13  × 10 3 6.19  × 10 3 6.15  × 10 3 6.16  × 10 3 0.01300.0984
AIC−356.9−333.0−331.8−337.9−296.9−115.1
BIC−350.6−326.7−325.5−331.6−290.6−108.8
HQIC−354.4−330.4−329.2−335.4−294.4−112.6
K S 0.08050.09770.10920.09200.07470.3276 **
(p-value)(0.6264)(0.3773)(0.2507)(0.4537)(0.7164)(1.55  × 10 8 )
A D 206.4588.6244.7626.2552.91663.7 *
(p-value)(0.9370)(0.4305)(0.9015)(0.4195)(0.4905)(0.0495)
C V M 0.14280.59170.20850.65870.449010.902 **
(p-value)(0.9510)(0.3895)(0.8605)(0.3325)(0.5325)(2.50  × 10 4 )
* 0.01 < p < 0.05 ; ** p < 0.01 .
Table 7. Estimated parameters of the competing distributions for Series C, along with corresponding estimation errors, fit, and test statistics.
Table 7. Estimated parameters of the competing distributions for Series C, along with corresponding estimation errors, fit, and test statistics.
Parameters/StatisticsDistributions
QHU BETA KUM BTCPE UW LL
λ / a 2.10281.95971.69181.50141.50544698.0
θ / b 0.85901.18831.19711.27700.97931.5020
MSEE7.82  × 10 3 8.36  × 10 3 0.03120.02560.02500.0280
AIC−208.8−138.5−85.47−104.7−71.13−71.27
BIC−200.2−129.9−76.88−96.07−62.54−62.68
HQIC−205.5−135.2−82.11−101.3−67.77−67.91
K S 0.06640.0941 *0.1494 **0.1236 **0.1199 **0.1697 **
(p-value)(0.1829)(0.0165)(1.11  × 10 5 )(1.40  × 10 4 )(8.23  × 10 4 )(3.30  × 10 7 )
A D 3154.710,876.4 **13,792.9 **6176.9 *20,397.4 **10,543.7 **
(p-value)(0.1905)(4.00  × 10 3 )(2.50  × 10 4 )(0.0255)(2.50  × 10 4 )(5.50  × 10 3 )
C V M 0.60302.7307 *4.3424 **2.0754 *7.1820 **5.3053 **
(p-value)(0.3800)(0.0140)(2.00  × 10 3 )(0.0415)(2.50  × 10 4 )(1.00  × 10 3 )
* 0.01 < p < 0.05 ; ** p < 0.01 .
Disclaimer/Publisher’s Note: The statements, opinions and data contained in all publications are solely those of the individual author(s) and contributor(s) and not of MDPI and/or the editor(s). MDPI and/or the editor(s) disclaim responsibility for any injury to people or property resulting from any ideas, methods, instructions or products referred to in the content.

Share and Cite

MDPI and ACS Style

Stojanović, V.S.; Bakouch, H.S.; Alomair, G.; Daghestani, A.F.; Grujčić, Ž. A Flexible Unit Distribution Based on a Half-Logistic Map with Applications in Stochastic Data Modeling. Symmetry 2025, 17, 278. https://doi.org/10.3390/sym17020278

AMA Style

Stojanović VS, Bakouch HS, Alomair G, Daghestani AF, Grujčić Ž. A Flexible Unit Distribution Based on a Half-Logistic Map with Applications in Stochastic Data Modeling. Symmetry. 2025; 17(2):278. https://doi.org/10.3390/sym17020278

Chicago/Turabian Style

Stojanović, Vladica S., Hassan S. Bakouch, Gadir Alomair, Amira F. Daghestani, and Željko Grujčić. 2025. "A Flexible Unit Distribution Based on a Half-Logistic Map with Applications in Stochastic Data Modeling" Symmetry 17, no. 2: 278. https://doi.org/10.3390/sym17020278

APA Style

Stojanović, V. S., Bakouch, H. S., Alomair, G., Daghestani, A. F., & Grujčić, Ž. (2025). A Flexible Unit Distribution Based on a Half-Logistic Map with Applications in Stochastic Data Modeling. Symmetry, 17(2), 278. https://doi.org/10.3390/sym17020278

Note that from the first issue of 2016, this journal uses article numbers instead of page numbers. See further details here.

Article Metrics

Back to TopTop