Next Article in Journal
Dynamics of Nonlinear Stochastic SEIR Infectious Disease Model with Isolation and Latency Period
Previous Article in Journal
NLAPSMjSO-EDA: A Nonlinear Shrinking Population Strategy Algorithm for Elite Group Exploration with Symmetry Applications
 
 
Font Type:
Arial Georgia Verdana
Font Size:
Aa Aa Aa
Line Spacing:
Column Width:
Background:
Article

Dynamic Stress Analysis of a Strip Plate with Elliptical Holes Subjected to Incident Shear Horizontal Waves

School of Mechanical Science and Engineering, Northeast Petroleum University, Daqing 163319, China
*
Author to whom correspondence should be addressed.
Symmetry 2025, 17(2), 154; https://doi.org/10.3390/sym17020154
Submission received: 29 December 2024 / Revised: 18 January 2025 / Accepted: 20 January 2025 / Published: 21 January 2025
(This article belongs to the Section Mathematics)

Abstract

The dynamic stress analysis of a strip plate with elliptical holes under the action of an incident SH wave was performed using a complex function method and a successive mirror method. Firstly, a complex plane coordinate system of elliptic holes was established by using the complex variable function method and integral transformation method. The elliptic hole wave field and stress were established using the wave function expansion method. Then, the relation between the argument angle of any point on the edge of the ellipse hole and the angle between the vertical line and the coordinate axis was established. Using boundary conditions to solve the unknown coefficients in the equation, finally, the integral equation was simplified to a linear equation by means of the effective truncation method, and the steady-state response of dynamic stress under different parameters was analyzed. In addition, by comparing the finite element solution with the numerical solution, the accuracy of the results was effectively verified. The results show that the studied geometric model can provide solid theoretical support for the inspection of plate and shell structures, which is of great significance in practical engineering.

1. Introduction

In the field of elastic wave scattering, a striking phenomenon is observed in that the holes in the structure tend to not be circular but rather elliptical. In view of this, the inverse problem of defects containing elliptical holes in the strip plate can be roughly understood as a scattering problem of the SH wave of an elliptical hole in an infinite strip plate. In recent decades, in order to meet the needs of both theoretical development and engineering practice, many scholars have actively explored this field and achieved a series of fruitful results.
Tracing back to the beginning of elastic wave theory, Rayleigh and Lamb pioneered its establishment, which was a beacon to attract many scholars to the vast world of elastic wave research. In recent years, Hao et al. [1] studied the stress concentration of elliptical hole edges in elastic media and successfully revealed the internal law of this stress distribution through in-depth experiments and rigorous theoretical analysis, which laid a solid foundation for subsequent research. ZHAO and QI [2] focused on the surface displacement of shallowly buried elliptical holes in a soft stratified half-space under the action of SH waves, skillfully designing experiments and using advanced measurement techniques to accurately obtain the relevant data, which provided an indispensable basis for understanding the propagation effect of SH waves in complex stratigraphic structures in depth. Qi et al. [3,4] conducted a series of systematic and in-depth studies on the problem of SH wave scattering when there are cracks in the structure, and deeply analyzed the interference mechanism of cracks on the propagation characteristics of SH waves with innovative research methods and meticulous observations. Jie et al. [5] numerically calculated the DSCF for the dynamic inverse response of a double half-space, including round holes and periodic interfacial cracks. Yang et al. [6,7,8,9] explored SH wave scattering in complex environments and inclusions in media. Aerospace et al. [10] conducted an in-depth study on the dynamic response of elliptical inclusions embedded in an anisotropic half-space, and the results effectively expanded the understanding of these inclusions, providing an important reference for related engineering applications. Weng et al. [11] focused on the transient response of SH waves to dynamic stress concentrations around circular openings and successfully revealed the key characteristics of this physical process by establishing accurate mathematical models and conducting a large number of numerical simulations, which provided a strong theoretical support for dynamic response problems in practical engineering. Siddhartha et al. [12] studied the scattering properties of SH waves on irregular free surfaces and derived the expression of the induced reflection displacement caused by this scattering.
The problems related to various inclusions and defects in the banding domain have also been studied and discussed for hundreds of years. Due to the scattering of incident and reflected waves via holes, additional scattered waves occur at the interface between the holes and bands, increasing the complexity of the corresponding total wave field. Meng and Hui [13] accurately calculated the dynamic stress concentration of an infinitely long strip region with elliptical inclusions through ingenious calculation methods, providing key reference data for these inclusions in the band domain. Cai et al. [14] revealed the scattering of time harmonic SH waves via cylindrical defects at any location in an elastic band-shaped domain. Xiang et al. [15] conducted an in-depth study on the dynamic stress concentrations during the inverse plane motion caused by circular and non-circular pores in strip media, with their detailed experimental observations and accurate theoretical calculations providing a solid basis for further exploring the influence of holes in the ribbon domain on SH waves. This strongly promoted the development of research in this field. Fuqing et al. [16] proposed a mirror image method in elliptical coordinates to study the scattering of steady-state SH waves via elliptical media. Fan et al. [17] used the multi-directional iterative mirror image method to successfully solve the governing differential equation of a wave function with a boundary value condition, and their results promoted the wide application of related mathematical methods in the study of SH waves, providing a powerful tool for more accurately describing and predicting the propagation of SH waves. Kumar et al. [18] studied moving interface cracks caused by SH waves in composite bands of orthotropic materials, and their results have enriched the understanding of the interaction between SH waves and cracks, providing an important theoretical basis for the application and performance optimization of these materials.
Elastic waves have a wide range of applications, and their research value is fully reflected in many fields. Zhou et al. [19,20] combined elastic wave theory with piezomagnetic materials to study SH wave scattering and dynamic stress concentration in non-circular open piezomagnetic materials and actively carried out research on the reverse time offset imaging of SH wave seismic data and velocity model construction in the field of seismology, making important contributions to the development of seismic monitoring and geological exploration technology. In terms of geology, Zhang et al. [21,22,23] also obtained a detailed analytical solution to the problem of scattering SH waves in unique topographies, while Lee et al. [24,25,26] conducted a series of studies on the scattering of SH waves for complex geological topographies such as mountains, slopes, and basins, and obtained the corresponding analytical solutions via simulating the real environment. Qi et al. investigated the surface motion of an elliptical arc valley in the lower half of an incident SH wave and the anti-plane dynamic analysis of an elliptical tunnel [27,28]. Song [29,30] and other scholars skillfully used ultrasonic methods for the non-destructive testing and regulation of residual stress, and the results provided an effective and reliable means for the evaluation and optimization of the residual stress of engineering structures, significantly improving their safety and service life. Mei et al. [31] proposed a composite material that can detect various types of composite materials via multi-mode guided waves. In the solar thermal energy industry, Kogia et al. [32] studied electromagnetic acoustic sensors that can detect significant mechanisms in high-temperature panels via excitation-guided waves. It can be seen that the application of elastic waves in various fields is ubiquitous and that in-depth research on elastic waves is of far-reaching significance for promoting the progress of science and technology and the development of engineering.
For the study of strip domains, previous studies have mainly focused on cylinders, inclusion, and circular holes; this study, however, analyzes irregular circles, that is, oval holes, and transforms the space problem to the problem of the strip plate, expanding the research field. For the inverse problem of the scattering of elliptical holes in strip plates under incident SH waves, the scattering of SH waves can be studied using elliptical holes in the strip domain. Based on the above research background, in this study, we use the Helmholtz equation to determine the stress of the scattered incident wave and use any point of the elliptical hole edge to establish the relationship between the radial angle and the angle between the perpendicular line and the coordinate axis of the point. This cleverly avoids the use of traditional conformal transformation technology, simplifying the problem and improving the accuracy of solving the DSCF. Then, according to the free boundary condition of the edge of the strip domain and the zero tangential stress at the elliptical hole, an infinite linear algebraic equation is constructed, the stress function of the elliptical hole edge is connected by a function, and finally, a simulation analysis is carried out via a program to analyze the influence of different parameters on the dynamic stress concentration factor in detail.

2. Problem Description and Model Establishment

A schematic representation of elliptical holes at multiple locations in the banding domain under SH wave action is shown in Figure 1. All oval holes in the banded domain are numbered 1 , P 1 ,   P 2 ,   P 3 P ,   P 1 ,   P 2 ,   P 3 R 1 ,   R 2 R 3 R ,   R 1 ,   R 2 ,   R 3 V .
For the band-shaped domain problem, in order to eliminate the influence of the upper and lower boundaries on the scattering of elliptical holes, the “successive mirroring” method is adopted in this study: all elliptical holes are mirrored, and the coordinates of the mirrored elliptical holes are transformed into the original elliptical hole coordinates and then iteratively added. This is so that the band-shaped domain can be approximated as approaching infinity, not affecting the scattering of elliptical holes. The following is an analysis of the upward and downward mirroring of an elliptical hole.
As shown in Figure 2, after establishing the local coordinate system X P O P Y P and the coordinate system X P O P Y P in the horizontal direction of the elliptical hole p , the corresponding complex plane is Z P , Z ¯ P and Z P , Z ¯ P , and the corresponding angle between the two coordinate systems is β P . The relationship between the complex planes Z P , Z ¯ P and Z P , Z ¯ P can be expressed as follows:
Z P = Z P e i β P Z P = Z P e i β P
Figure 3 shows all elliptical hole coordinates after establishing an upward mirror image, wherein j represents the odd number of mirror images, U represents the upward mirror image, and p represents the first elliptical hole. The corresponding complex plane of the local coordinate system X P U j O P U j Y P U j and the horizontal coordinate system X P U j O P U j Y P U j of the elliptical hole is Z P U j , Z ¯ P U j and Z P U j , Z ¯ P U j . The coordinate system X P U j O P U j Y P U j is symmetrical along X P U j , obtaining X P U j O P U j Y P U j , and the corresponding complex plane is Z P U j , Z ¯ P U j . The relationship between the complex planes Z P U j , Z ¯ P U j and Z P U j , Z ¯ P U j is as follows:
Z P U j = Z ¯ P U j Z ¯ P U j = Z P U j
Then, the coordinate system X P U j O P U j Y P U j is rotated counterclockwise by β P to obtain the coordinate system X P U j O P U j Y P U j , and the corresponding complex plane is Z P U j , Z ¯ P U j . The relationship between the complex planes Z P U j , Z ¯ P U j and Z P U j , Z ¯ P U j is as follows:
Z P U j = Z P U j e i β P Z P U j = Z P U j e i β P
Finally, the coordinate system X P U j O P U j Y P U j translation is transformed to the coordinate system X P O P Y P , and the corresponding complex plane is Z P , Z ¯ P . The relationship between the final complex plane Z U P j , Z ¯ U P j and the complex plane Z P , Z ¯ P is as follows:
Z P U j = Z ¯ P e i β P + i ( j + 1 ) h P 1 + ( j 1 ) h P 2 e i β P
Figure 4 shows the establishment of the coordinate system of an upward mirror with an even number of elliptical holes, wherein t represents the even number of mirror images, establishing the corresponding local coordinate system X P U t O P U t Y P U t and the horizontal coordinate system X P U t O P U t Y P U t ; the corresponding complex plane is Z P U t , Z ¯ P U t and Z P U t , Z ¯ P U t . The coordinate system X P U t O P U t Y P U t rotates clockwise by an angle of β P to obtain the coordinate system X P U t O P U t Y P U t ; the corresponding complex plane is Z P U t , Z ¯ P U t and the corresponding angle between the two coordinate systems is β P U t , where β P U t = β P . The relationship between the complex plane Z P U t , Z ¯ P U t and the complex plane Z P U t , Z ¯ P U t is as follows:
Z U P t = Z P U t e i β p Z U P t = Z P U t e i β p
Then, the coordinate system X P U t O P U t Y P U t translation is transformed into the coordinate system X P O P Y P . The relationship between the complex plane Z P U t , Z ¯ P U t and the complex plane Z P , Z ¯ P is as follows:
Z P U t = Z P ( i t h P 1 + i t h P 2 ) e i β P
Similarly, as shown in Figure 5, for an elliptical hole that is mirrored downwards an odd number of times, the coordinate transformation relationship is the same as that of the upward mirror, but the translation distance is different from that of the original elliptical hole.
When the corresponding local coordinate system is X P D j O P D j Y P D j and the horizontal coordinate system is X P D j O P D j Y P D j , the corresponding complex planes are Z P D j , Z ¯ P D j and Z P D j , Z ¯ P D j , and the corresponding angle between the two coordinate systems is β P D j , where β P D j = β P .
The coordinate system X P D j O P D j Y P D j is symmetrical along X P D j , leading to X P D j O P D j Y P D j . The corresponding complex plane is Z P D j , Z ¯ P D j , and the relationship between the complex planes Z P D j , Z ¯ P D j and Z P D j , Z ¯ P D j is as follows:
Z P D j = Z ¯ P D j Z ¯ P D j = Z P D j
Rotating the coordinate system X P D j O P D j Y P D j counterclockwise by β P obtains the coordinate system X P D j O P D j Y P D j . The corresponding complex plane is Z P D j , Z ¯ P D j , and the relationship between the complex planes Z P D j , Z ¯ P D j   Z P D j , Z ¯ P D j is as follows:
Z P D j = Z P D j e i β P Z P D j = Z P D j e i β P
After transforming the translation of the coordinate system X P D j O P D j Y P D j to the coordinate system X P O P Y P , the corresponding complex plane is Z P , Z ¯ P .
In the end, the relationship between the complex planes Z P D j , Z ¯ P D j and Z P , Z ¯ P is as follows:
Z P D j = Z ¯ P e i β P i ( j 1 ) h P 1 + ( j + 1 ) h P 2 e i β P
Similarly, as shown in Figure 6, the transformation relationship of the downward mirror after an even number of downward mirrors is the same as that of the upward mirror, but the translation distance is different.
Establishing the corresponding local coordinate system X P D t O P D t Y P D t and the horizontal coordinate system X P D t O P D t Y P D t , the corresponding complex plane is Z P D t , Z ¯ P D t and Z P D t , Z ¯ P D t , and the corresponding angle between the two coordinate systems is β P D t , where β P D t = β P .
The coordinate system X P D t O P D t Y P D t is rotated clockwise by β P to obtain the coordinate system X P D t O P D t Y P D t . The corresponding complex plane is Z P D t , Z ¯ P D t , and the relationship between the complex plane Z P D t , Z ¯ P D t and the complex plane Z P D t , Z ¯ P D t is as follows:
Z P D t = Z P D t e i β p Z P D t = Z P D t e i β p
The translation of the coordinate system X P D t O P D t Y P D t is transformed into the coordinate system X P O P Y P , and finally, the relationship between the complex plane Z D P t , Z ¯ D P t and the complex plane Z P , Z ¯ P is as follows:
Z P D t = Z P + i t ( h P 1 + h P 2 ) e i β P

3. Incident Wave and Scattered Wave Field

3.1. Incident Wave Field

                   W P U j Ι ( Z P , Z ¯ P ) = W 0 exp i k 2 Z ¯ P e i β + i ( j + 1 ) h P 1 + i ( j 1 ) h P 2 e i α 0 ( Ι ) + Z P e i β i ( j + 1 ) h P 1 i ( j 1 ) h P 2 e i α 0 ( Ι ) W P U t Ι ( Z P , Z ¯ P ) = W 0 exp i k 2 Z P e i β i t ( h P 1 + h P 2 ) e i α 0 ( Ι ) + Z ¯ P e i β + i t ( h P 1 + h P 2 ) e i α 0 ( Ι )                    W P D j Ι ( Z P , Z ¯ P ) = W 0 exp i k 2 ( Z ¯ P e i β i ( j + 1 ) h P 2 i ( j 1 ) h P 1 ) e i α 0 ( Ι ) + ( Z P e i β + i ( j + 1 ) h P 2 + i ( j 1 ) h P 1 ) e i α 0 ( Ι ) W P D t Ι ( Z P , Z ¯ P ) = W 0 exp i k 2 Z P e i β + i t ( h P 1 + h P 2 ) e i α 0 ( Ι ) + Z ¯ P e i β i t ( h P 1 + h P 2 ) e i α 0 ( Ι )

3.2. Scattered Wave Field

For multiple elliptical holes in the banded domain, when the elastic wave propagates to one elliptical hole, scattering occurs, and the scattered wave continues to propagate to other holes. For the R elliptical hole, the scattered wave field generated in the elliptical hole P is as follows:
                    W R U j ( s ) ( Z R , Z ¯ R ) = n = n = + A n R H n k Z P e i β P Z P R i ( j + 1 ) h R 1 i ( j 1 ) h R 2 Z P e i β P Z P R i ( j + 1 ) h R 1 i ( j 1 ) h R 2 Z P e i β P Z P R i ( j + 1 ) h R 1 i ( j 1 ) h R 2 n e i n β R W U R t ( s ) ( Z P , Z ¯ P ) = n = n = + A n R H n k Z P e i β P Z P R i t ( h R 1 + h R 2 ) Z P e i β P Z P R i t ( h R 1 + h R 2 ) Z P e i β P Z P R i t ( h R 1 + h R 2 ) n e i n β R                     W R D j ( s ) ( Z P , Z ¯ P ) = n = n = + A n R H n k Z P e i β P Z P R + i ( j + 1 ) h R 2 + i ( j 1 ) h R 1 Z P e i β P Z P R + i ( j + 1 ) h R 2 + i ( j 1 ) h R 1 Z P e i β P Z P R + i ( j + 1 ) h R 2 + i ( j 1 ) h R 1 n e i n β R W R D t ( s ) ( Z P , Z ¯ P ) = n = n = + A n R H n k Z P e i β P Z P R + i t ( h R 1 + h R 2 ) Z P e i β P Z P R + i t ( h R 1 + h R 2 ) Z P e i β P Z P R + i t ( h R 1 + h R 2 ) n e i n β R

4. Establishment of the Elliptical Hole Equation

The traditional method can be used to solve the problem of elliptical holes, using the “angle mapping method” to map the elliptical holes into circular holes for analysis and calculation. In this paper, the relationship between the radial angle of any point of the elliptical hole and the angle between the perpendicular line of the point and the coordinate axis is established, avoiding the use of angle transformations.
As shown in Figure 7, the elliptic equation is established as follows:
X P 2 a P 2 + Y P 2 b P 2 = 1
where X p is the long axis and Y P is the short axis. Then, X P > Y P .
The polar equation at polar coordinates X P O P Y P is as follows:
X P = ρ P cos θ P Y P = ρ P sin θ P
According to Equations (12) and (13), the radiance angle at a point of the elliptical hole is as follows:
φ P = arctan a P 2 b P 2 sin θ P cos θ P

5. Radial Stress and Tangential Stress of the Incident Wave and Scattered Wave

The expressions for the radial and tangential stresses of the wave in the polar coordinate system are as follows:
τ Z ρ = G z z W z + z ¯ z W z ¯
τ Z φ = i G z z W z z ¯ z W z ¯
where W represents the wave field, τ Z ρ denotes radial stress, and τ Z φ denotes tangential stress.
According to Equations (15) and (16), the radial and tangential stresses of the incident and scattered waves after the mirrored images are as follows:
Incident wave radial stress:
τ P U j , Z ρ Ι ( Z P , Z ¯ P ) = i k G W 0 exp i k Re Z P exp ( i β P ) i ( j + 1 ) h P 1 i ( j 1 ) h P 2 e ( i α 0 Ι ) Re exp ( i β P ) exp ( i α 0 Ι ) exp ( i φ P )      τ P U t , Z ρ Ι ( Z P , Z ¯ P ) = i k G W 0 exp i k Re Z P exp ( i β p ) i t ( h P 1 + h P 2 ) e ( i α 0 Ι ) Re exp ( i α 0 Ι ) exp ( i φ P ) exp ( i β P ) τ P D j , Z ρ Ι ( Z P , Z ¯ P ) = i k G W 0 exp i k Re Z P exp ( i β P ) + i ( j + 1 ) h P 2 + i ( j 1 ) h P 1 e ( i α 0 Ι ) Re exp ( i β P ) exp ( i α 0 Ι ) exp ( i φ P )        τ P D t , Z ρ Ι ( Z P , Z ¯ P ) = i k G W 0 exp i k Re Z P exp ( i β P ) + i t ( h P 1 + h P 2 ) e ( i α 0 Ι ) Re exp ( i α 0 Ι ) exp ( i φ P ) exp ( i β P )
Tangential stress of the incident wave:
τ P U j , Z φ Ι ( Z P , Z ¯ P ) = i k G W 0 exp i k Re Z P exp ( i β P ) i ( j + 1 ) h P 1 i ( j 1 ) h P 2 e ( i α 0 Ι ) Im exp ( i β P ) exp ( i α 0 Ι ) exp ( i φ P )    τ P U t , Z φ Ι ( Z P , Z ¯ P ) = i k G W 0 exp i k Re Z P exp ( i β p ) i t ( h P 1 + h P 2 ) e ( i α 0 Ι ) Im exp ( i α 0 Ι ) exp ( i φ P ) exp ( i β P ) τ P D j , Z φ Ι ( Z P , Z ¯ P ) = i k G W 0 exp i k Re Z P exp ( i β P ) + i ( j + 1 ) h P 2 + i ( j 1 ) h P 1 e ( i α 0 Ι ) Im exp ( i β P ) exp ( i α 0 Ι ) exp ( i φ P )     τ P D t , Z φ Ι ( Z P , Z ¯ P ) = i k G W 0 exp i k Re Z P exp ( i β P ) + i t ( h P 1 + h P 2 ) e ( i α 0 Ι ) Im exp ( i α 0 Ι ) exp ( i φ P ) exp ( i β P )
Radial stress of scattered waves:
       τ R U j , Z ρ S ( Z P , Z ¯ P ) = k G 2 n = n = + A n R H n 1 1 k i ( j + 1 ) h R 1 i ( j 1 ) h R 2 × i ( j + 1 ) h R 1 i ( j 1 ) h R 2 i ( j + 1 ) h R 1 i ( j 1 ) h R 2 n + 1 e i n β R e i β P e ( i φ R ) H n + 1 1 k i ( j + 1 ) h R 1 i ( j 1 ) h R 2 × i ( j + 1 ) h R 1 i ( j 1 ) h R 2 i ( j + 1 ) h R 1 i ( j 1 ) h R 2 n 1 e i n β R e i β P e ( i φ R ) τ R U t , Z ρ S ( Z P , Z ¯ P ) = k G 2 n = n = + A n R H n 1 1 k i t h R 1 + h R 2 i t h R 1 + h R 2 i t h R 1 + h R 2 n 1 e i n β R e i β P e ( i φ R ) H n + 1 1 k i t h R 1 + h R 2 i t h R 1 + h R 2 i t h R 1 + h R 2 n + 1 e i n β R e i β P e ( i φ R )         τ R D j , Z ρ S ( Z P , Z ¯ P ) = k G 2 n = n = + A n R H n 1 1 k + i ( j + 1 ) h R 2 + i ( j 1 ) h R 1 + i ( j + 1 ) h R 2 + i ( j 1 ) h R 1 + i ( j + 1 ) h R 2 + i ( j 1 ) h R 1 n + 1 e i n β R e i β P e ( i φ ) H n + 1 1 k + i ( j + 1 ) h R 2 + i ( j 1 ) h R 1 + i ( j + 1 ) h R 2 + i ( j 1 ) h R 1 + i ( j + 1 ) h R 2 + i ( j 1 ) h R 1 n 1 e i n β R e i β P e ( i φ ) τ R D t , Z ρ S ( Z P , Z ¯ P ) = k G 2 n = n = + A n R H n 1 1 k + i t h R 1 + h R 2 + i t h R 1 + h R 2 + i t h R 1 + h R 2 n 1 e i n β R e i β P e ( i φ R ) H n + 1 1 k + i t h R 1 + h R 2 + i t h R 1 + h R 2 + i t h R 1 + h R 2 n + 1 e i n β R e i β P e ( i φ R )
Tangential stress of the scattered wave:
            τ R U j , Z φ S ( Z P , Z ¯ P ) = i k G 2 n = n = + A n R H n 1 1 k i ( j + 1 ) h R 1 i ( j 1 ) h R 2 i ( j + 1 ) h R 1 i ( j 1 ) h R 2 i ( j + 1 ) h R 1 i ( j 1 ) h R 2 n + 1 e i n β R e i β P e ( i φ R ) + H n + 1 1 k i ( j + 1 ) h R 1 i ( j 1 ) h R 2 i ( j + 1 ) h R 1 i ( j 1 ) h R 2 i ( j + 1 ) h R 1 i ( j 1 ) h R 2 n 1 e i n β R e i β P e ( i φ R ) τ R U t , Z φ S ( Z P , Z ¯ P ) = i k G 2 n = n = + A n R H n 1 1 k i t h R 1 + h R 2 i t h R 1 + h R 2 i t h R 1 + h R 2 n 1 e i n β R e i β P e ( i φ R ) + H n + 1 1 k i t h R 1 + h R 2 i t h R 1 + h R 2 i t h R 1 + h R 2 n + 1 e i n β R e i β P e i φ R              τ R D j , Z φ S ( Z P , Z ¯ P ) = i k G 2 n = n = + A n R H n 1 1 k + i ( j + 1 ) h R 2 + i ( j 1 ) h R 1 + i ( j + 1 ) h R 2 + i ( j 1 ) h R 1 + i ( j + 1 ) h R 2 + i ( j 1 ) h R 1 n + 1 e i n β R e i β P e ( i φ R ) + H n + 1 1 k + i ( j + 1 ) h R 2 + i ( j 1 ) h R 1 + i ( j + 1 ) h R 2 + i ( j 1 ) h R 1 + i ( j + 1 ) h R 2 + i ( j 1 ) h R 1 n 1 e i n β R e i β P e ( i φ R ) τ R D t , Z φ S ( Z P , Z ¯ P ) = i k G 2 n = n = + A n R H n 1 1 k + i t h R 1 + h R 2 + i t h R 1 + h R 2 + i t h R 1 + h R 2 n 1 e i n β R e i β P e ( i φ R ) + H n + 1 1 k + i t h R 1 + h R 2 + i t h R 1 + h R 2 + i t h R 1 + h R 2 n + 1 e i n β R e i β P e ( i φ R )
Among them: = Z P e i β P Z P R

6. Connection Conditions

For zero tangential radial stress, at any point on the edge of the elliptical hole P in the strip domain, we obtain the following:
τ P , Z ρ ( Z P , Z ¯ P ) = 0
Expanding Equation (17) and moving the incident wave to the right of the formula and the scattered wave to the left, we obtain the following equation:
n = n = + ξ V × V A V × 1 = η V × 1
Namely:
n = n = + ξ 1 , 1 n ξ 1 , P n ξ 1 , V n ξ P , 1 n ξ P , P n ξ P , V n ξ V , 1 n ξ V , P n ξ V , V n A 1 , 1 n A P , 1 n A V , 1 n = η 1 , 1 η P , 1 η V , 1
For Equation (18), we multiply both sides by exp i m θ at the same time and integrate π , π to obtain the following:
m = m = + n = n = + Φ V × V A V × 1 = m = m = + Ψ V × 1
Thereinto:
Ψ P , 1 m = 1 2 π π + π η P , 1 exp i m θ d θ , P 1 , V ;      Φ P , R n , m = 1 2 π π + π ξ P , j exp i m θ d θ ; P , j 1 , V ;
The finite term is determined from the above equation and calculated via a computer to obtain the coefficient matrix A, and the corresponding wave field and stress can be obtained returning to the previous formulas. The finite term used in the work is 9.

7. Dynamic Stress Concentration Coefficient

τ P , Z φ Z P , Z ¯ P = τ P , Z φ ( Z P , Z ¯ P ) i G k W 0

8. Results

For the defect problem of multiple elliptical holes in the banding domain, two holes were selected for calculation in this study. The influence of elliptical defects, the spacing between the two holes, and the thickness of the band-shaped domain on the dynamic stress concentration coefficient of the hole edge under the conditions of low-frequency incidence and medium–high-frequency incidence were analyzed.
Figure 8 shows the DSCF influence curve of hole No. 1 when the incident wave numbers are 0.1, 1, and 2 with the change in parameters. At this time, the deflection angle 0 of the incident wave is 90 ; the deflection angle of the two holes β 1 = β 2 is 0 . The maximum value of the dynamic stress concentration coefficient of the hole edge appears at about 30 and 330 at the medium-frequency incidence, and the maximum value of the dynamic stress concentration coefficient at the hole edge appears at about 0 and 180 at the low- and high-frequency incidences. At the low-frequency incidence, with the increase in parameters, the dynamic stress concentration coefficient decreases at 30 150 and 210 330 . At the middle- and high-frequency incidences, the DSCF pattern changes significantly in the right half, and in the middle frequency, it is mainly concentrated around 30 and 330 , and the DSCF also increases with the increase in parameter a1. At a high frequency, it is mainly concentrated around 0 , and with the increase in parameter a 1 , the DSCF also increases.
The data show that it is advisable to use the elliptical hole, as we must avoid angle mapping and more accurately determine the influence of any point on the DSCF of the elliptical hole edge. At the low-frequency incidence, the change in DSCF at the elliptical I confirm
Hole edge is symmetrical, and the curve of the change is very gentle, which indicates that the influence of the other hole on DSCF is weak at the low-frequency incidence.
Figure 9 shows the influence of the change in the incident wave number and the distance between the two holes on the dynamic stress concentration coefficient. At this time, the deflection angle 0 of the incident wave is 90 and the deflection angle β 1 = β 2 of the two holes is 0 . The size of the two holes is a 1   =   a 2 ;   b 1   =   b 2 . When the incident wave is low frequency, the dynamic stress concentration coefficient of the hole edge decreases continuously with the increase in the parameter d . When the incident wave is high frequency, the dynamic stress concentration coefficient of the hole edge is the largest when the parameter d   =   10 and smallest when d   =   15 .
From this, we can see that the distance between the two holes is not as large as possible, nor is it better to be smaller, and it varies with the frequency of the incident wave. However, the change in DSCF is the most stable at low frequencies and most volatile at medium frequencies.
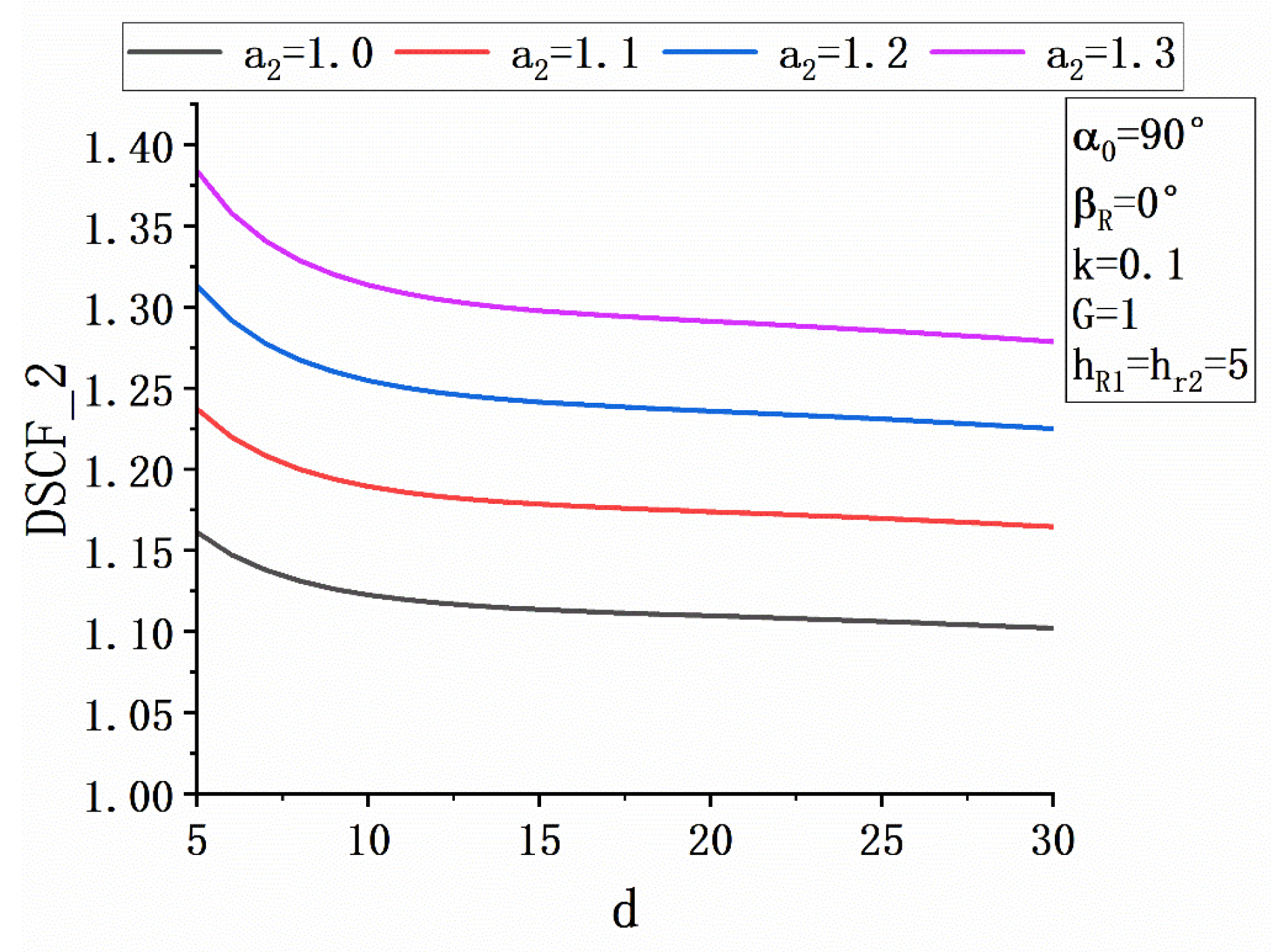
In Figure 9, we can observe that the DSCF curve is most stable at low frequencies. In order to further determine the effect of the gradual increase in parameter d on the dynamic stress at the hole edge, the incidence angle is kept at 10 and the deflection angle is 30. The parameter is increased from 5 to 30, as shown in Figure 10. With the continuous increase in parameter d, the dynamic stress concentration coefficient of the hole edge decreases continuously and the decreasing trend after d = 10 does not clearly change; that is, the rate of decrease is slow. As we have come to the same conclusion, the effect of the distance between the two holes on the DSCF tends to be stable at low frequencies.
Figure 11 shows the effect of the thickness of the band-shaped domain on the dynamic stress concentration coefficient of the hole edge when the incident wave number is 0.1, 1, and 2. At this moment, the deflection angle 0 of the incident wave is 90 ; the deflection angle β 1 = β 2 of the two holes is 0 ; the size of the two holes is a 1 = a 2 and b 1 = b 2 ; and the distance between the two holes is d = 5 . In the case of low-frequency incidence, the dynamic stress concentration coefficient of the hole edge is largest when the parameter h = 20 and smallest when the parameter h = 50 . It reaches a maximum at the medium-frequency incidence, and a maximum at the high-frequency incidence when the parameter h = 30 . At both low- and high-frequency incidences, the maximum value appears around 0 and 180 .
At the low-frequency incidence, the pattern of the DSCF is largest at d = 20 and then decreases, indicating that the DSCF changes regularly, and its magnitude changes at the low-frequency incidence.
In order to further determine the variation law at low frequency, the MAX DSCF at the hole edge was determined. Let the parameter h = 10 30 . As shown in Figure 12, the MAX DSCF exhibits a wave shape at the low-frequency incidence, which is consistent with the conclusions we obtained. As shown in the figure, the maximum dynamic stress concentration coefficient of the hole edge fluctuates at the low-frequency incidence, and it does not change constantly but fluctuates within a certain range, indicating that the thickness of the band domain has a complex influence on the maximum value of the dynamic stress concentration coefficient and not a simple linear relationship.
Therefore, we can observe that the thickness of the band domain fluctuates within a certain range, but the degree of change is not large; however, when the thickness reaches a certain value, the fluctuation in MAX DSCF will become larger. That is, the thickness has a greater influence upon it, and in order to obtain the thickness of the band domain in a rational state, we need to control it to within a certain range.

9. Conclusions

In this paper, the dynamic analysis of a strip plate containing elliptical holes under incident SH waves was performed using the complex function method and the polar coordinate transformation method. The Cartesian and polar coordinate systems of the original and mirrored elliptical holes in the strip plate were constructed, and then expressions of the wave field and stress were obtained. The relationship between the radial angle of any point of the elliptical hole edge and the angle between the perpendicular line and the coordinate axis of the elliptical hole was then established via the elliptical hole equation, and the dynamic stress effect of the SH wave incidence on the edge of the elliptical hole was determined. The research method has general significance for similar scattering problems in the band domain.
Although traditional methods for solving elliptical hole problems, such as the conformal angle mapping method, can deal with some simple geometric problems to a certain extent, their limitations gradually become apparent in problems with multiple elliptical defects in complex banding domains. In the case of irregular elliptical hole shapes and the interaction of multiple elliptical holes, it may be difficult to accurately describe the geometry and wave propagation characteristics using the conformal mapping method, resulting in complex calculations and large potential errors. At the same time, when traditional methods are used to deal with complex boundary conditions and many-body scattering problems, tedious mathematical derivation and approximation processing are often required and it is difficult to obtain accurate analytical solutions. The combination of the complex function method and the successive mirror image method can accurately describe the geometry of the elliptical hole and the scattering process of the wave in the banding domain. The analytical solution of the problem was obtained by rationally constructing the complex potential function and using the mirror principle, which allowed us to analyze the distribution and stress concentration of the wave field in depth, rather than just obtaining numerical approximations. Accurate analytical solutions are of great significance for understanding the nature of physical phenomena, verifying numerical calculation methods, and providing an accurate theoretical basis for engineering design.
The numerical results show that the size of the elliptical hole has little effect on the dynamic stress concentration phenomenon of the strip plate, but it is greatly affected by the number of incident waves. The influence of the distance between the two holes on the dynamic stress concentration of the strip plate will change with the increase in the distance and then remain stable; thus, the distance between the holes should be considered when the through holes are produced in the plate parts. The influence of the thickness of the strip plate on the dynamic stress concentration is uncertain and variable, but it will suddenly increase when it reaches a certain value, so certain restrictions are required for the thickness of the strip plate.
By studying the dynamic stress of a strip plate with elliptical holes under incident SH waves, it was found that it is feasible to study elastic waves in the band domain space. Therefore, the application of elastic waves in the detection of plate and shell structures has been rigorously theoretically verified, providing theoretical support for subsequent engineering practice.

Author Contributions

Conceptualization, Y.C. and Y.Z.; methodology, Y.Z.; validation, Y.C.; investigation, K.H.; data curation, Y.C.; writing—original draft preparation, Y.C.; writing—review and editing, Y.C.; supervision, Y.Z.; project administration, Y.Z. All authors have read and agreed to the published version of the manuscript.

Funding

This study was funded by the Talent Introduction Research Start-Up Fund of Northeast Petroleum University and the Youth Science Foundation of Northeast Petroleum University; grant numbers: 1305021867 and 15071120532. The APC was funded by Northeast Petroleum University.

Data Availability Statement

Data are contained within the article.

Conflicts of Interest

The authors declare no conflict of interest.

References

  1. Hao, H.; Kui, M.; Ming, D.; Fa, G.C. Scattering of SH wave by an elliptic hole: Surface effect and dynamic stress concentration. Acta Mech. 2023, 234, 2359–2371. [Google Scholar]
  2. Zhao, Y.; Qi, H. Ground movement of shallow buried ellipse cavity in a layered half-space impacted by SH wave. In Proceedings of the 2018 2nd International Workshop on Renewable Energy and Development (IWRED 2018), Guilin, China, 20–22 April 2018; p. 7. [Google Scholar]
  3. Qi, H.; Chu, F.; Guo, J.; Sun, R. Dynamic analysis for a vertical interface crack and the nearby circular cavity located at the piezoelectric bi-material half-space under SH-waves. Acta Mech. 2021, 232, 1113–1129. [Google Scholar] [CrossRef]
  4. Qi, H.; Yang, J. Dynamic analysis for circular inclusions of arbitrary positions near interfacial crack impacted by SH-wave in half-space. Eur. J. Mech. A Solids 2012, 36, 18–24. [Google Scholar] [CrossRef]
  5. Jie, Y.; Shen, L.; Bin, Y.; Yue, L. Scattering of SH waves in a bi-material half space with a circular hole and periodic type III interfacial cracks. Mech. Adv. Mater. Struct 2023, 30, 2863–2871. [Google Scholar]
  6. Jiang, G.; Yang, Z.; Sun, C.; Li, X.; Yang, Y. Dynamic stress concentration of a cylindrical cavity in vertical exponentially inhomogeneous half space under SH wave. Mecc. Int. J. Theor. Appl. Mech. AIMETA 2019, 54, 2411–2420. [Google Scholar] [CrossRef]
  7. Jiang, G.; Yang, Z.; Sun, C.; Sun, B.; Yang, Y. Dynamic response of a circular inclusion embedded in inhomogeneous half-space. Arch. Appl. Mech. 2018, 88, 1791–1803. [Google Scholar] [CrossRef]
  8. Yang, Z.; Bian, J.; Song, Y.; Yang, Y.; Sun, M. Scattering of cylindrical inclusions in half space with inhomogeneous shear modulus due to SH wave. Arch. Appl. Mech. 2021, 91, 3449–3461. [Google Scholar] [CrossRef]
  9. Yang, Z.; Guo, D.; Bian, J.; Yang, Y. Scattering of SH waves by elliptical cavity and type-III crack in deep anisotropic geology. Soil Dyn. Earthq. Eng. 2024, 182, 108695. [Google Scholar] [CrossRef]
  10. Jiang, G.; Yang, Z.; Sun, C.; Li, X.; Yang, Y. Dynamic analysis of anisotropic half space containing an elliptical inclusion under SH waves. Math. Methods Appl. Sci. 2020, 43, 6888–6902. [Google Scholar] [CrossRef]
  11. Weng, J.; Wang, Z.; Zhou, C.; Pei, W.; Zhou, R.; Liu, R.; Gong, Y. Transient Response of Dynamic Stress Concentration around a Circular Opening: Incident SH Wave. Appl. Sci. 2023, 13, 9824. [Google Scholar] [CrossRef]
  12. Siddhartha, K.; Kumar, S.A.; Anil, N. Scattering and reflection phenomena of SH-waves propagation through the surface irregularity in an orthotropic viscoelastic structure. Acta Mech. 2024, 235, 2745–2760. [Google Scholar]
  13. Meng, Z.X.; Hui, Q. Scattering of SH-guided wave by an elliptic inclusion in an infinite strip region. Mech. Adv. Mater. Struct. 2022, 29, 5749–5757. [Google Scholar]
  14. Cai, L.M.; Qi, H.; Pan, X.N. The Scattering of Circular Cylindrical Cavity with Time-Harmonic SH Waves in Infinite Strip Region. Appl. Mech. Mater. 2014, 3307, 3083–3088. [Google Scholar] [CrossRef]
  15. Xiang, M.; Qi, H.; Guo, J. Technical Note: The Anti-plane Scattering of SH Waves by the Non-circular Cavity in an Infinite Strip. J. Earthq. Eng. 2020, 26, 3228–3245. [Google Scholar] [CrossRef]
  16. Chu, F.; Qi, H.; Guo, J.; Wu, G. Dynamic Stress Analysis of a Shallow Unlined Elliptical Tunnel under the Action of SH Waves. J. Earthq. Eng. 2022, 26, 8169–8184. [Google Scholar] [CrossRef]
  17. Fan, Z.; Qi, H.; Guo, J. A modified multi-directional iterative mirroring method for SH waves propagation in rectangular sealed plate with a circular surface crack. Appl. Math. Lett. 2025, 160, 109321. [Google Scholar] [CrossRef]
  18. Kumar, S.; Yadav, R.P.; Renu. Moving crack caused by SH-wave propagating in a composite strip under distinct loading constraints. Arch. Appl. Mech. 2024, 94, 2889–2908. [Google Scholar] [CrossRef]
  19. Zhou, C.; Yin, W.; Yang, J.; Nie, H.; Li, X. Reverse Time Migration Imaging Using SH Shear Wave Data. Appl. Sci. 2022, 12, 9944. [Google Scholar] [CrossRef]
  20. Zhou, C.; Weng, J.; Wang, Z.; Pei, W.; Hu, N.; Zhou, R.; Gong, Y. SH Wave Scattering and Dynamic Stress Concentration in Piezomagnetic Materials with Non-Circular Openings. Appl. Sci. 2023, 13, 6972. [Google Scholar] [CrossRef]
  21. Zhang, N.; Gao, Y.; Cai, Y.; Li, D.; Wu, Y. Scattering of SH waves induced by a non-symmetrical V-shaped canyon. Geophys. J. Int. 2012, 191, 243–256. [Google Scholar]
  22. Zhang, N.; Gao, Y.; Li, D.; Wu, Y.; Zhang, F. Scattering of SH waves induced by a symmetrical V-shaped canyon: A unified analytical solution. Earthq. Eng. Eng. Vib. 2012, 11, 445–460. [Google Scholar] [CrossRef]
  23. Zhang, N.; Gao, Y.; Yang, J.; Xu, C. An analytical solution to the scattering of cylindrical SH waves by a partially filled semi-circular alluvial valley: Near-source site effects. Earthq. Eng. Eng. Vib. 2015, 14, 189–201. [Google Scholar] [CrossRef]
  24. Amornwongpaibun, A.; Lee, V.W. Scattering of anti-plane (SH) waves by a semi-elliptical hill: II—Deep hill. Soil Dyn. Earthq. Eng. 2013, 52, 126–137. [Google Scholar] [CrossRef]
  25. Ba, Z.; Wang, Y.; Liang, J.; Lee, V.W. Wave Scattering of Plane P, SV, and SH Waves by a 3D Alluvial Basin in a Multilayered Half-Space. Bull. Seismol. Soc. Am. 2020, 110, 576–595. [Google Scholar] [CrossRef]
  26. Liu, Q.; Wu, Z.; Lee, V.W. Scattering and reflection of SH waves around a slope on an elastic wedged space. Earthq. Eng. Eng. Vib. 2019, 18, 255–266. [Google Scholar] [CrossRef]
  27. Qi, H.; Chu, F.; Zhang, Y.; Wu, G.; Guo, J. Anti-Plane Dynamics Analysis of a Circular Lined Tunnel in the Ground under Covering Layer. Symmetry 2021, 13, 246. [Google Scholar] [CrossRef]
  28. Qi, H.; Chu, F.; Guo, J.; Yang, R. Surface Motion of a Half-Space Containing an Elliptical-Arc Canyon under Incident SH Waves. Mathematics 2020, 8, 1884. [Google Scholar] [CrossRef]
  29. Song, J.; Xu, C.; Li, Z. Ultrasonic nondestructive testing and regulation technology of residual stress. IOP Conf. Ser. Mater. Sci. Eng. 2018, 397, 012136. [Google Scholar] [CrossRef]
  30. Song, W.; Xu, C.; Pan, Q.; Song, J. Nondestructive testing and characterization of residual stress field using an ultrasonic method. Chin. J. Mech. Eng. 2016, 29, 365–371. [Google Scholar] [CrossRef]
  31. Mei, H.; James, R.; Haider, M.F.; Giurgiutiu, V. Multimode Guided Wave Detection for Various Composite Damage Types. Appl. Sci. 2020, 10, 484. [Google Scholar] [CrossRef]
  32. Kogia, M.; Cheng, L.; Mohimi, A.; Kappatos, V.; Gan, T.-H.; Balachandran, W.; Selcuk, C. Electromagnetic Acoustic Transducers Applied to High Temperature Plates for Potential Use in the Solar Thermal Industry. Appl. Sci. 2015, 5, 1715–1734. [Google Scholar] [CrossRef]
Figure 1. Model of multiple elliptical holes in the strip domain.
Figure 1. Model of multiple elliptical holes in the strip domain.
Symmetry 17 00154 g001
Figure 2. Establishment of an elliptical hole coordinate system in the original band domain.
Figure 2. Establishment of an elliptical hole coordinate system in the original band domain.
Symmetry 17 00154 g002
Figure 3. The coordinates of the elliptical hole are established after the odd number of times (j) is mirrored upwards.
Figure 3. The coordinates of the elliptical hole are established after the odd number of times (j) is mirrored upwards.
Symmetry 17 00154 g003
Figure 4. The elliptical hole coordinate system is established after an even number of upward mirrors.
Figure 4. The elliptical hole coordinate system is established after an even number of upward mirrors.
Symmetry 17 00154 g004
Figure 5. The elliptical hole coordinate system is established after an odd number of downward mirrors.
Figure 5. The elliptical hole coordinate system is established after an odd number of downward mirrors.
Symmetry 17 00154 g005
Figure 6. Establishment of the elliptical hole coordinate system after an even number of downward mirrors.
Figure 6. Establishment of the elliptical hole coordinate system after an even number of downward mirrors.
Symmetry 17 00154 g006
Figure 7. Schematic diagram of the elliptical hole coordinate system.
Figure 7. Schematic diagram of the elliptical hole coordinate system.
Symmetry 17 00154 g007
Figure 8. Influence curve of elliptical hole size on DSCF at the hole edge.
Figure 8. Influence curve of elliptical hole size on DSCF at the hole edge.
Symmetry 17 00154 g008
Figure 9. Effect of the distance between two wells on DSCF.
Figure 9. Effect of the distance between two wells on DSCF.
Symmetry 17 00154 g009
Figure 10. Curve of the effect of distance change between two wells on DSCF.
Figure 10. Curve of the effect of distance change between two wells on DSCF.
Symmetry 17 00154 g010
Figure 11. Effect of the thickness of the strip domain on DSCF.
Figure 11. Effect of the thickness of the strip domain on DSCF.
Symmetry 17 00154 g011
Figure 12. Effect of band domain thickness on MAX DSCF.
Figure 12. Effect of band domain thickness on MAX DSCF.
Symmetry 17 00154 g012
Disclaimer/Publisher’s Note: The statements, opinions and data contained in all publications are solely those of the individual author(s) and contributor(s) and not of MDPI and/or the editor(s). MDPI and/or the editor(s) disclaim responsibility for any injury to people or property resulting from any ideas, methods, instructions or products referred to in the content.

Share and Cite

MDPI and ACS Style

Cheng, Y.; Zhao, Y.; Han, K. Dynamic Stress Analysis of a Strip Plate with Elliptical Holes Subjected to Incident Shear Horizontal Waves. Symmetry 2025, 17, 154. https://doi.org/10.3390/sym17020154

AMA Style

Cheng Y, Zhao Y, Han K. Dynamic Stress Analysis of a Strip Plate with Elliptical Holes Subjected to Incident Shear Horizontal Waves. Symmetry. 2025; 17(2):154. https://doi.org/10.3390/sym17020154

Chicago/Turabian Style

Cheng, Yuzhen, Yuanbo Zhao, and Kun Han. 2025. "Dynamic Stress Analysis of a Strip Plate with Elliptical Holes Subjected to Incident Shear Horizontal Waves" Symmetry 17, no. 2: 154. https://doi.org/10.3390/sym17020154

APA Style

Cheng, Y., Zhao, Y., & Han, K. (2025). Dynamic Stress Analysis of a Strip Plate with Elliptical Holes Subjected to Incident Shear Horizontal Waves. Symmetry, 17(2), 154. https://doi.org/10.3390/sym17020154

Note that from the first issue of 2016, this journal uses article numbers instead of page numbers. See further details here.

Article Metrics

Back to TopTop