Traveling Wave Solutions and Symmetries of Reverse Space-Time Nonlocal Nonlinear Schrödinger Equations
Abstract
1. Introduction
2. Traveling Wave Solutions of the NNLS Equation
2.1. Traveling Wave Transformation
2.2. Overview of the Weierstrass-Type Riccati Equation Expansion Method
2.3. Solutions of Equation (8) via the Weierstrass-Type Riccati Equation Expansion Method
3. Symmetry Reductions of the NNLS Equation
3.1. Symmetry Analysis
3.2. Symmetry Reductions and Invariant Solutions
- Case 1:
- Case 2:
- Case 3:
4. The Nonlocal Multi-Component System
4.1. Symmetry Analysis
4.2. Symmetry Reductions
- Case 1: .
- Case 2: .
- Case 3: .
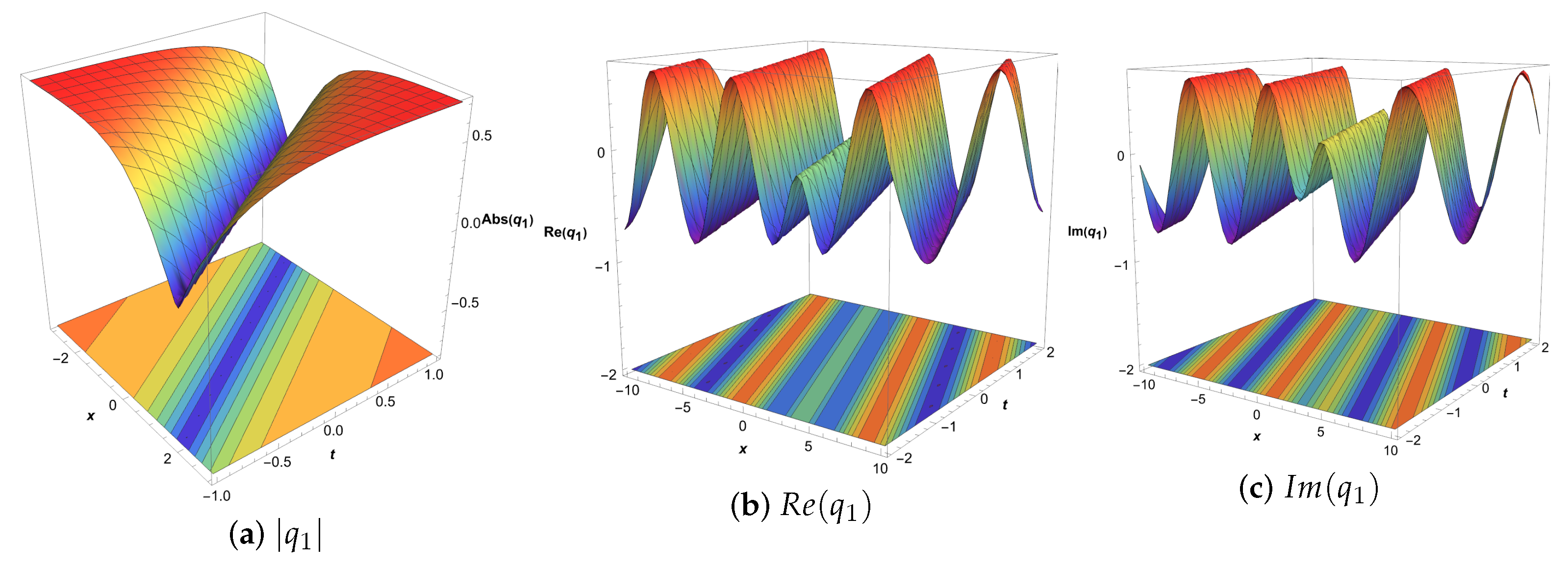
5. Dynamical Characteristics and Graphical Analysis of Solutions
6. Conclusions
Author Contributions
Funding
Data Availability Statement
Conflicts of Interest
Appendix A
| Solution No. | Type | Exact Form | Corresponding Parameters |
|---|---|---|---|
| (11) | Hyperbolic | are arbitrary real constants; constraints: | |
| (30) | Hyperbolic | arbitrary real constants | |
| (31) | Hyperbolic | arbitrary real constants | |
| (32) | Trigonometric | arbitrary real constants | |
| (33) | Trigonometric | arbitrary real constants | |
| (52) | Exponential-Logarithmic | is an arbitrary constant; | |
| (57) | Exponential | are arbitrary constants | |
| (63) | Exponential-Logarithmic | are arbitrary constants; | |
| (68) | Rational |
| Notation | Description |
|---|---|
| First-order partial derivative of the function with respect to the time variable t | |
| Second-order partial derivative of the function with respect to the space variable x | |
| Nonlocal term | |
| First-order partial derivative of the j-th component function with respect to the time variable t | |
| Second-order partial derivative of the j-th component function with respect to the space variable x | |
| Nonlocal term of the l-th component | |
| tanh | Hyperbolic tangent function |
| Hyperbolic secant function | |
| coth | Hyperbolic cotangent function |
| Second prolongation of the infinitesimal generator with subscript R | |
| Total derivative operator with respect to the time variable t | |
| Total derivative operator with respect to the space variable x |
References
- Pethick, C.J.; Smith, H. Dynamics of the Condensate; Cambridge University Press: Cambridge, UK, 2002. [Google Scholar]
- Hasegawa, A.; Tappert, F. Transmission of stationary nonlinear optical pulses in dispersive dielectric fibers. II, Normal dispersion. Appl. Phys. Lett. 1973, 23, 171–172. [Google Scholar] [CrossRef]
- Kodama, Y.; Hasegawa, A. Nonlinear pulse propagation in a monomode dielectric guide. IEEE J. Quantum Electron. 1987, 23, 510–524. [Google Scholar] [CrossRef]
- Serkin, V.N.; Matsumoto, M.; Belyaeva, T.L. Bright and dark solitary nonlinear Bloch waves in dispersion managed fiber systems and soliton lasers. Opt. Commun. 2001, 196, 159–171. [Google Scholar] [CrossRef]
- Ablowitz, M.J.; Musslimani, Z.H. Integrable nonlocal nonlinear Schrödinger equation. Phys. Rev. Lett. 2013, 110, 064105. [Google Scholar] [CrossRef]
- Ablowitz, M.J.; Musslimani, Z.H. Integrable Nonlocal Nonlinear Equations. Stud. Appl. Math. 2017, 139, 7–59. [Google Scholar] [CrossRef]
- Ablowitz, M.J.; Feng, B.F. Inverse scattering transform for the nonlocal reverse space–time nonlinear Schrödinger equation. Theoret. Math. Phys. 2018, 196, 1241–1267. [Google Scholar] [CrossRef]
- Ablowitz, M.J.; Musslimani, Z.H. Inverse scattering transform for the integrable nonlocal nonlinear Schrödinger equation. Nonlinearity 2016, 29, 915–946. [Google Scholar] [CrossRef]
- Li, Y.; Tian, S.F. Inverse scattering transform and soliton solutions of an integrable nonlocal Hirota equation. Commun. Pure Appl. Anal. 2022, 21, 293–313. [Google Scholar] [CrossRef]
- Ablowitz, M.J.; Luo, X.D.; Musslimani, Z.H. Inverse scattering transform for the nonlocal nonlinear Schrödinger equation with nonzero boundary conditions. J. Math. Phys. 2018, 59, 011501. [Google Scholar] [CrossRef]
- Ma, X.W. Binary Darboux transformation of vector nonlocal reverse-time integrable NLS equations. Chaos Solitons Fractals 2024, 180, 114539. [Google Scholar] [CrossRef]
- Yan, L.; Jian, L.; Rui, Q.W. Darboux transformation and soliton solutions for nonlocal Kundu-NLS equation. Nonlinear Dyn. 2022, 111, 745–751. [Google Scholar] [CrossRef]
- Zhang, X.; Wang, F.Y.; Yang, X.S. Soliton solutions, Darboux transformation of the variable coefficient nonlocal Fokas–Lenells equation. Nonlinear Dyn. 2024, 112, 2869–2882. [Google Scholar] [CrossRef]
- Hui, J.Z.; Yong, C. Breathers and rogue waves on the double-periodic background for the reverse-space-time derivative nonlinear Schrödinger equation. Nonlinear Dyn. 2021, 106, 3437–3451. [Google Scholar]
- Hanif, Y.; Saleem, U. On multi-hump solutions of reverse space-time nonlocal nonlinear Schrödinger equation. Phys. Scr. 2023, 98, 065211. [Google Scholar] [CrossRef]
- Bai, S.Y.; Zheng, N.L.; Ma, X.W. Hirota Bilinear Approach to Multi-Component Nonlocal Nonlinear Schrödinger Equations. Mathematics 2024, 12, 2594. [Google Scholar] [CrossRef]
- Li, L.; Duan, C.N.; Yu, F.J. An improved Hirota bilinear method and new application for a nonlocal integrable complex modified Korteweg–de Vries (MKdV) equation. Phys. Lett. A 2019, 14, 1578–1582. [Google Scholar] [CrossRef]
- Zuo, D.W.; Zhang, G.F. Exact solutions of the nonlocal Hirota equations. Appl. Math. Lett. 2019, 93, 66–71. [Google Scholar] [CrossRef]
- Li, K.G.; Wei, B.Z.; Hao, Q.C. Nondegenerate soliton dynamics of nonlocal nonlinear Schrödinger equation. Nonlinear Dyn. 2023, 111, 16483–16496. [Google Scholar] [CrossRef]
- Yang, J. General N-solitons and their dynamics in several nonlocal nonlinear Schrödinger equations. Phys. Lett. A 2018, 383, 328–337. [Google Scholar] [CrossRef]
- Yang, J. Physically significant nonlocal nonlinear Schrödinger equation and its soliton solutions. Phys. Rev. E 2018, 98, 042202. [Google Scholar] [CrossRef]
- Huang, X.; Ling, L. Soliton solutions for the nonlocal nonlinear Schrödinger equation. Eur. Phys. J. Plus 2016, 131, 148. [Google Scholar] [CrossRef]
- Zhang, Y.S.; Qiu, D.; Cheng, Y.; He, J.S. Rational solution of the nonlocal nonlinear Schrödinger equation and its application in optics. Rom. J. Phys. 2017, 62, 3–4. [Google Scholar]
- Ma, L.Z.Z. Nonlocal nonlinear Schrödinger equation and its discrete version: Soliton solutions and gauge equivalence. J. Math. Phys. 2016, 57, 083507. [Google Scholar] [CrossRef]
- Chen, S.; Mihalache, D.; Jin, K.; Li, J.; Rao, J. Bright solitons in the space-shifted PT-symmetric nonlocal nonlinear Schrödinger equation. Rom. Rep. Phys. 2023, 75, 108. [Google Scholar]
- Ye, R.; Zhang, Y. General soliton solutions to a reverse-time nonlocal nonlinear Schrödinger equation. Stud. Appl. Math. 2020, 145, 197–216. [Google Scholar] [CrossRef]
- Chen, J.; Yan, Q. Bright soliton solutions to a nonlocal nonlinear Schrödinger equation of reverse-time type. Nonlinear Dyn. 2020, 100, 2807–2816. [Google Scholar] [CrossRef]
- Wu, J. Riemann–Hilbert approach and soliton classification for a nonlocal integrable nonlinear Schrödinger equation of reverse-time type. Nonlinear Dyn. 2022, 107, 1127–1139. [Google Scholar] [CrossRef]
- Wang, X.; Li, C. Solitons, breathers and rogue waves in the coupled nonlocal reverse-time nonlinear Schrödinger equations. J. Geom. Phys. 2022, 180, 104619. [Google Scholar] [CrossRef]
- Wu, J. A novel general nonlocal reverse-time nonlinear Schrödinger equation and its soliton solutions by Riemann–Hilbert method. Nonlinear Dyn. 2023, 111, 16367–16376. [Google Scholar] [CrossRef]
- Li, B.W.; Xu, T.; Zhang, T.L. Elliptic-and hyperbolic-function solutions of the nonlocal reverse-time and reverse-space-time nonlinear Schrödinger equations. Math. Methods Appl. Sci. 2022, 45, 10877–10890. [Google Scholar] [CrossRef]
- Li, Y.X.; Bai, Y.S. Exact Solutions and Conservation Laws of the Generalized Whitham-Broer-Kaup-Boussinesq-Kupershmidt System via Lie Symmetry and Riccati Equation Methods. J. Nonlinear Math. Phys. 2025, 32, 1–23. [Google Scholar] [CrossRef]
- Han, T.; Liang, Y.; Fan, W. Dynamics and soliton solutions of the perturbed Schrodinger-Hirota equation with cubic-quintic-septic nonlinearity in dispersive media. AIMS Math. 2025, 10, 754–776. [Google Scholar] [CrossRef]
- Olver, P.J. Applications of Lie Groups to Differential Equations, 2nd ed.; Springer: New York, NY, USA, 1993. [Google Scholar]
- Bluman, G.W.; Kumei, S. Symmetries and Differential Equations; Springer: New York, NY, USA, 1989. [Google Scholar]
- Peng, L. Symmetries and Reductions of Integrable Nonlocal Partial Differential Equations. Symmetry 2019, 11, 884. [Google Scholar] [CrossRef]
- Liu, X.; Li, J.; Yu, J. Multiple soliton solutions and symmetry analysis of a nonlocal coupled KP system. Commun. Theor. Phys. 2023, 75, 69–77. [Google Scholar] [CrossRef]
- Abdeljabbar, A.B.; Ma, W.; Yildirim, A. Determinant Solutions to a (3+1)-Dimensional Generalized KP Equation with Variable Coefficients. Chin. Ann. Math. Ser. B 2012, 33, 641–650. [Google Scholar] [CrossRef]
- Abdeljabbar, A.; Tran, T.D. Pfaffian solutions to a generalized KP system with variable coefficients. Appl. Math. Sci. 2016, 10, 2351–2368. [Google Scholar] [CrossRef]
- Li, J.; Yang, Z.J.; Zhang, S.M. Periodic collision theory of multiple cosine-Hermite-Gaussian solitons in Schrödinger equation with nonlocal nonlinearity. Appl. Math. Lett. 2023, 140, 108864. [Google Scholar] [CrossRef]
- Sun, Z.-Y.; Deng, D.; Pang, Z.G.; Yang, Z.J. Nonlinear transmission dynamics of mutual transformation between array modes and hollow modes in elliptical sine-Gaussian cross-phase beams. Chaos Solitons Fractals 2024, 178, 114486. [Google Scholar] [CrossRef]




Disclaimer/Publisher’s Note: The statements, opinions and data contained in all publications are solely those of the individual author(s) and contributor(s) and not of MDPI and/or the editor(s). MDPI and/or the editor(s) disclaim responsibility for any injury to people or property resulting from any ideas, methods, instructions or products referred to in the content. |
© 2025 by the authors. Licensee MDPI, Basel, Switzerland. This article is an open access article distributed under the terms and conditions of the Creative Commons Attribution (CC BY) license (https://creativecommons.org/licenses/by/4.0/).
Share and Cite
Li, Y.-X.; Bai, Y.-S.; Ren, Y.-T. Traveling Wave Solutions and Symmetries of Reverse Space-Time Nonlocal Nonlinear Schrödinger Equations. Symmetry 2025, 17, 2037. https://doi.org/10.3390/sym17122037
Li Y-X, Bai Y-S, Ren Y-T. Traveling Wave Solutions and Symmetries of Reverse Space-Time Nonlocal Nonlinear Schrödinger Equations. Symmetry. 2025; 17(12):2037. https://doi.org/10.3390/sym17122037
Chicago/Turabian StyleLi, Yu-Xiang, Yu-Shan Bai, and Yan-Ting Ren. 2025. "Traveling Wave Solutions and Symmetries of Reverse Space-Time Nonlocal Nonlinear Schrödinger Equations" Symmetry 17, no. 12: 2037. https://doi.org/10.3390/sym17122037
APA StyleLi, Y.-X., Bai, Y.-S., & Ren, Y.-T. (2025). Traveling Wave Solutions and Symmetries of Reverse Space-Time Nonlocal Nonlinear Schrödinger Equations. Symmetry, 17(12), 2037. https://doi.org/10.3390/sym17122037

