Detour Eccentric Sum Index for QSPR Modeling in Molecular Structures
Abstract
1. Introduction
- Key contributions:
- A new topological index, called the “detour eccentric sum index (DESI),” is introduced, and the bounds for the index are obtained.
- The DESI is obtained for certain classes of graphs.
- The Quantitative Structure–Property Relationship (QSPR) for different molecular structures is studied through the DESI.
- The physical characteristics of anti-malarial and breast cancer drugs are obtained from the DESI.
- We obtain the best predictive fits from the curvilinear regression model of malaria and breast cancer drugs using the DESI.
- Our experimental results for malaria drugs show that the second-order model is the best for the DESI, providing optimal prediction for boiling point, enthalpy, and flash point.
- For breast cancer drugs, the second-order model best fits all properties except melting point, which is best described by a third-order model.
2. Detour Eccentric Sum of Graphs
Detour Eccentric Sum for Some Graph Classes
- Case 1: When n is even, there are n pairs of vertices in with detour distance , , and pairs of vertices with detour distance . Hence,
- Case 2: When n is odd, there are n pairs of vertices in with detour distance , , .□
- 1
- when
- 2
- and
- 3
- and if .
3. Correlation of Detour Graph Parameters with Drug Properties
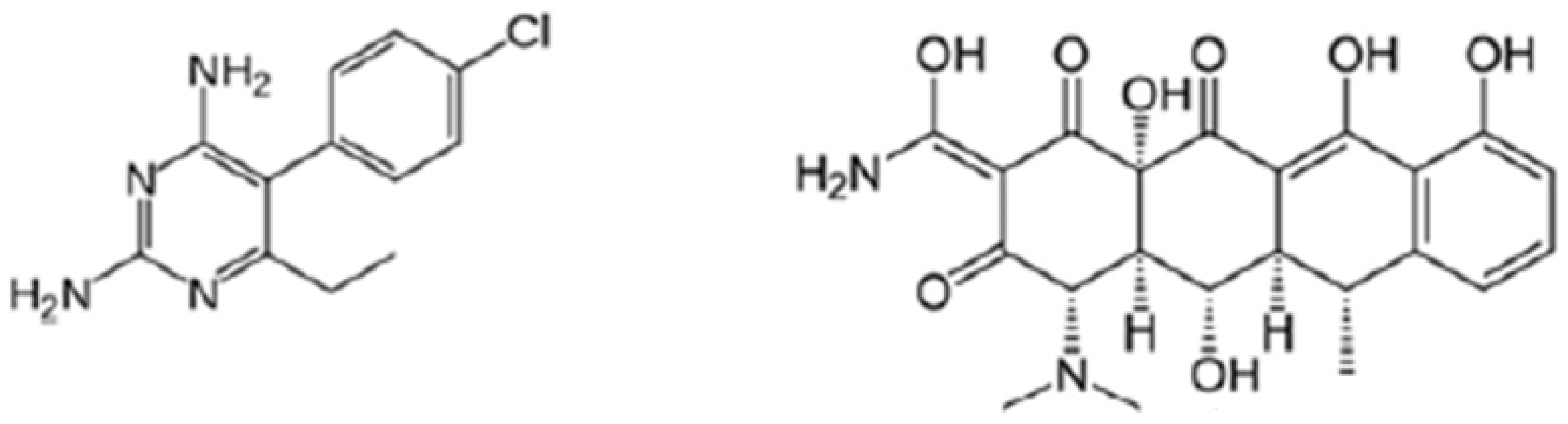
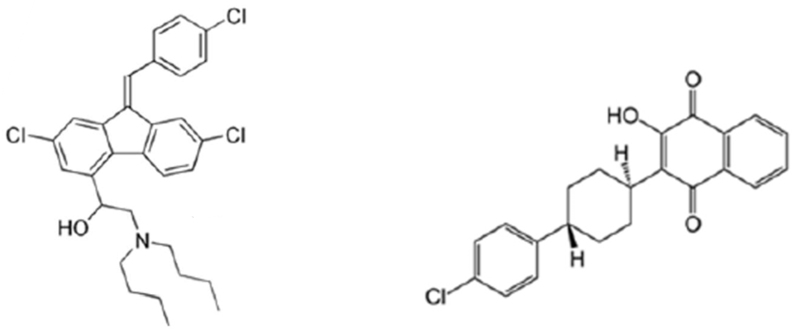
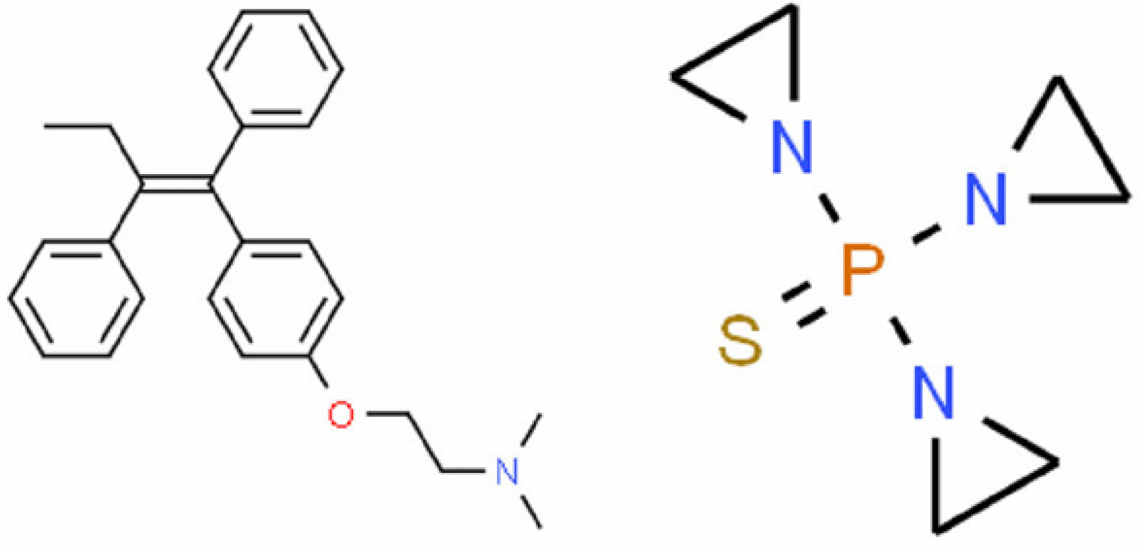
3.1. Correlation with Anti-Malaria Drugs
3.2. Correlation with Breast Cancer Drugs
4. Comparative QSPR Modeling of Drug Properties Using DESI and EDS
4.1. Curvilinear Regression Analysis of the Properties of Anti-Malaria Drugs Using DESI and EDS
4.2. Curvilinear Regression Analysis of the Properties of Breast Cancer Drugs Using DESI and EDS
5. Conclusions
Author Contributions
Funding
Data Availability Statement
Acknowledgments
Conflicts of Interest
Abbreviations
| Detour eccentricity of vertex x | |
| Sum of all detour distances of vertex x from other vertices in graph G | |
| Detour distance between vertices x and y | |
| Distance between vertices x and y | |
| Detour eccentric sum of graph G | |
| EDS | Eccentric distance sum |
| DESI | Detour eccentric sum index |
| Complete graph of order n | |
| Wheel graph of order n | |
| Cycle graph of order n | |
| Complete bipartite graph of order n | |
| Path graph of order n | |
| BOP | Boiling point |
| MLP | Melting point |
| EP | Enthalpy |
| FLP | Flash point |
| MRF | Molar refractivity |
| MOV | Molar volume |
| PO | Polarizability |
References
- Chartrand, G.; Johns, G.L.; Tian, S. Detour distance in graphs. Ann. Discret. Math. 1993, 55, 127–136. [Google Scholar]
- Balaban, A.T. Applications of graph theory in chemistry. J. Chem. Inf. Comput. Sci. 1985, 25, 334–343. [Google Scholar] [CrossRef]
- Hosoya, H. A newly proposed quantity characterizing the topological nature of structural isomers of saturated hydrocarbons. Bull. Chem. Soc. Jpn. 1971, 44, 2332–2339. [Google Scholar] [CrossRef]
- Nasir, S.; Farooq, F.B.; Parveen, S. Topological indices of novel drugs used in blood cancer treatment and its QSPR modeling. AIMS Math. 2022, 7, 11829–11850. [Google Scholar] [CrossRef]
- Ghani, M.U.; Campena, F.J.H.; Ali, S.; Dehraj, S.; Cancan, M.; Alharbi, F.M.; Galal, A.M. Characterizations of Chemical Networks Entropies by K-Banhatii Topological Indices. Symmetry 2023, 15, 143. [Google Scholar] [CrossRef]
- Nikolić, S.; Trinajstić, N. The Wiener index: Development and applications. Croat. Chem. Acta 1995, 68, 105–129. [Google Scholar]
- Lukovits, I. The detour index. Croat. Chem. Acta 1996, 69, 873–888. [Google Scholar]
- Kavithaa, S.; Kaladevi, V. Gutman index and detour Gutman index of pseudo-regular graphs. J. Appl. Math. 2017, 2017, 4180650. [Google Scholar] [CrossRef]
- Abhishek, K.; Ganesan, A. Detour distance pattern of a graph. Int. J. Pure Appl. Math. 2013, 87, 719–728. [Google Scholar] [CrossRef]
- Elakkyia, M.; Abhishek, K. Uniform number of a graph. Iran. J. Math. Sci. Inform. 2020, 15, 77–99. [Google Scholar]
- Anandkumar, V.; Iyer, R.R. Zagreb indices of the total graphs of graphs. J. Appl. Sci. Res. 2016, 12, 59–64. [Google Scholar]
- Anandkumar, V.; Iyer, R.R. On the hyper-Zagreb index of some operations on graphs. Int. J. Pure Appl. Math. 2017, 112, 239–252. [Google Scholar] [CrossRef]
- Mondal, S.; Das, K.C. Zagreb connection indices in structure property modelling. J. Appl. Math. Comput. 2023, 69, 3005–3020. [Google Scholar] [CrossRef]
- Gopika, C.; Geetha, J.; Somasundaram, K. Weighted PI index of tensor product and strong product of graphs. Discret. Math. Algorithms Appl. 2020, 13, 2150019. [Google Scholar] [CrossRef]
- Manju, S.C.; Somasundaram, K. Padmakar-Ivan index of some types of perfect graphs. Discret. Math. Lett. 2022, 9, 92–99. [Google Scholar] [CrossRef]
- Arockiaraj, M.; Campena, F.J.H.; Greeni, A.B.; Ghani, M.U.; Gajavalli, S.; Tchier, F.; Jan, A.Z. QSPR analysis of distance-based structural indices for drug compounds in tuberculosis treatment. Heliyon 2024, 10, e23981. [Google Scholar] [CrossRef]
- Boraiah, C.S. Analysis of Distance 2 Topological Models of Alkanes. Biointerface Res. Appl. Chem. 2022, 13, 162–174. [Google Scholar] [CrossRef]
- Rasheed, M.W.; Mahboob, A.; Hanif, I. Uses of Degree-Based Topological Indices in QSPR Modeling of Drug Properties. Front. Phys. 2024, 12, 1381887. [Google Scholar] [CrossRef]
- Shirakol, S.; Kalyanshetti, M.; Hosamani, S.M. QSPR Analysis of Certain Distance Based Topological Indices. Appl. Math. Nonlinear Sci. 2019, 4, 371–386. [Google Scholar] [CrossRef]
- Gupta, S.; Singh, M.K.; Madan, A.K. Eccentric distance sum: A novel graph invariant for predicting biological and physical properties. J. Math. Anal. Appl. 2002, 275, 386–401. [Google Scholar] [CrossRef]
- Singh, M.; Jangra, H.; Bharatam, P.V.; Madan, A.K. Detour matrix-based adjacent path eccentric distance sum indices for QSAR/QSPR. Part I: Development and evaluation. Int. J. Comput. Biol. Drug Des. 2014, 7, 295–316. [Google Scholar] [CrossRef]
- Buckley, F.; Harary, F. Distance in Graphs; Addison-Wesley: Boston, MA, USA, 1990. [Google Scholar]
- Chartrand, G.; Escuadro, H.; Zhang, P. Detour distance in graphs. J. Combin. Math. Combin. Comput. 2005, 53, 75–94. [Google Scholar]
- Zhao, K.; Lai, H.-J.; Zhou, J. Hamiltonian-connected graphs. Comput. Math. Appl. 2008, 55, 2707–2714. [Google Scholar] [CrossRef][Green Version]
- Padmapriya, P.; Mathad, V. The eccentric-distance sum of some graphs. Electron. J. Graph Theory Appl. (EJGTA) 2017, 5, 51–62. [Google Scholar] [CrossRef][Green Version]
- Weisstein, E.W. Complete bipartite graph. MathWorld—A Wolfram Web Resource. 2002. Available online: https://mathworld.wolfram.com/CompleteBipartiteGraph.html (accessed on 10 March 2025).[Green Version]
- Estrada-Moreno, A.; Rodríguez-Bazan, E.D.; Rodríguez-Velázquez, J.A. On distances in generalized Sierpiński graphs. Appl. Anal. Discret. Math. 2018, 12, 49–69. [Google Scholar] [CrossRef]
- Gallian, J.A. A dynamic survey of graph labeling. Electron. J. Comb. 2015, 18, DS6. [Google Scholar] [CrossRef]
- Rajendran, S.; Radhakrishnan, B.; Abhishek, K. On topological integer additive set labeled graph. Gruyter Proc. Math. 2024, in press.
- Keleta, Y.; Ramelow, J.; Cui, L.; Li, J. Molecular interactions between parasite and mosquito during midgut invasion as targets to block malaria transmission. npj Vaccines 2021, 6, 140. [Google Scholar] [CrossRef]
- Zhang, X.; Reddy, H.G.; Usha, A.; Shanmukha, M.C.; Farahani, M.R.; Alaeiyan, M. A study on anti-malaria drugs using degree-based topological indices through QSPR analysis. Math. Biosci. Eng. 2023, 20, 3594–3609. [Google Scholar] [CrossRef]















| Drugs (Chemical Formula) | BOP (°C at 760 mmHg) | EP (kJ/mol) | FLP (°C) | MRF (m3/mol) | MOV (cm3) | PO 10−24 (cm3) |
|---|---|---|---|---|---|---|
| Chloroquine (C18H26ClN3) | 460.6 | 72.1 | 232.23 | 97.4 | 287.9 | 38.6 |
| Amodiaquine (C20H22ClN3O) | 478 | 77 | 242.9 | 105.5 | 282.8 | 41.8 |
| Mefloquine (C17H16F6N2O) | 415.7 | 70.5 | 205.2 | 83 | 273.4 | 32.9 |
| Piperaquine (C40H52N6) | 721.1 | 105.3 | 389.9 | 153.7 | 414.2 | 60.9 |
| Primaquine (C15H21N3O) | 451.1 | 71 | 226.6 | 80.5 | 230.3 | 31.9 |
| Lumefantrine (C30H32Cl3NO) | 642.5 | 99.6 | 342.3 | 151 | 422.3 | 59.9 |
| Atovaquone (C22H19ClO3) | 535 | 85.4 | 277.3 | 99.5 | 271.8 | 39.5 |
| Pyrimethamine (C12H13N5) | 368.4 | 61.5 | 176.6 | 67.1 | 180.2 | 26.6 |
| Doxycycline (C22H24N2O8) | 762.6 | 116.5 | 415 | 109 | 271.1 | 43.2 |
| Properties | DD | DR |
|---|---|---|
| BOP | 0.79522 | 0.930662 |
| EP | 0.764841 | 0.94114 |
| FLP | 0.79518 | 0.930658 |
| MRF | 0.97228 | 0.81235 |
| MOV | 0.943883 | 0.737934 |
| PO | 0.972228 | 0.812386 |
| Drugs (Chemical Formula) | BOP (°C at 760 mmHg) | MLP (°C) | EP (kJ/mol) | FLP (°C) | MRF (m3/mol) | MOV (cm3) | PO 10−24 (cm3) |
|---|---|---|---|---|---|---|---|
| Abemaciclib (C27H32N8O) | 689.3 | - | 101 | 370.7 | 140.4 | 382.3 | 55.7 |
| Abraxane (C47H51NO14) | 957.1 | - | 146 | 532.6 | 219.3 | 610.6 | 86.9 |
| Anastrozole (C17H19N5) | 469.7 | 81.5 | 73.2 | 237.9 | 90 | 270.3 | 35.7 |
| Capecitabine (C15H22FN3O6) | 517 | 115.5 | 112 | 315.5 | 82.3 | 256.5 | 32.2 |
| Cyclophosphamide (C7H15Cl2N2O2P) | 336.1 | 51 | 57.9 | 157.8 | 38.4 | 156.2 | 23 |
| Everolimus (C53H83NO14) | 998.7 | 998.7 | 165.1 | 557.8 | 257.7 | 811.2 | 102.2 |
| Exemestane (C20H24O2) | 453.7 | 155.3 | 101.3 | 367.4 | 197.5 | 495.1 | 89.6 |
| Fulvestrant (C32H47F5O3S) | 674.8 | 104 | 104.1 | 361.9 | 154 | 505.1 | 61.1 |
| Ixabepilone (C27H42N2O5S) | 593.5 | - | 110 | 385.6 | 121 | 404.3 | 50.5 |
| Letrozole (C17H11N5) | 563.5 | 181 | 84.7 | 294.1 | 124.9 | 351.4 | 41.4 |
| Megestrol Acetate (C24H32O4) | 507.1 | 214 | 77.7 | 77.7 | 107.2 | 318.6 | 28.4 |
| Methotrexate (C20H22N8O5) | 537.0 | 192 | 144 | 337.4 | 140.7 | 393.0 | 61.6 |
| Tamoxifen (C26H29NO) | 482.3 | 96 | 74.7 | 140 | 118.9 | 118.9 | 47.1 |
| Theotepa (C6H12N3P) | 270.2 | 51.5 | 50.8 | 117.2 | 49.1 | 125.8 | 19.5 |
| Properties | DD | DR |
|---|---|---|
| BOP | 0.939224 | 0.861037 |
| MLP | 0.795271 | 0.879994 |
| EP | 0.943927 | 0.886779 |
| FLP | 0.83829 | 0.713036 |
| MRF | 0.96088 | 0.900722 |
| MOV | 0.961042 | 0.926225 |
| PO | 0.961042 | 0.900802 |
| Drugs | DESI | EDS |
|---|---|---|
| Chloroquine (C18H26ClN3) | 62,730 | 25,550 |
| Amodiaquine (C20H22ClN3O) | 102,153 | 33,161 |
| Mefloquine (C17H16F6N2O) | 53,396 | 11,184 |
| Piperaquine (C40H52N6) | 497,756 | 194,916 |
| Primaquine (C15H21N3O) | 41,168 | 11,964 |
| Lumefantrine (C30H32Cl3NO) | 328,156 | 91,420 |
| Atovaquone (C22H19ClO3) | 122,649 | 37,819 |
| Pyrimethamine (C12H13N5) | 20,756 | 7136 |
| Doxycycline (C22H24N2O8) | 288,272 | 41,176 |
| Physicochemical Properties | DESI | EDS | ||
|---|---|---|---|---|
| RMSE | RMSE | |||
| BOP | 0.9191 | 45.82 | 0.67 | 92.1782 |
| EP | 0.924 | 5.95 | 0.6451 | 12.87 |
| FLP | 0.9191 | 27.72 | 0.6725 | 55.76 |
| MRF | 0.8623 | 12.77 | 0.9786 | 5.0417 |
| MOV | 0.7095 | 48.95 | 0.8714 | 32.56 |
| PO | 0.862 | 5.0713 | 0.9789 | 1.9837 |
| Drugs | DESI | EDS |
|---|---|---|
| Abemaciclib (C27H32N8O) | 359,794 | 163,238 |
| Abraxane (C47H51NO14) | 1,930,037 | 4,545,804 |
| Anastrozole (C17H19N5) | 35,632 | 15,488 |
| Capecitabine (C15H22FN3O6) | 64,841 | 40,511 |
| Cyclophosphamide (C7H15Cl2N2O2P) | 6758 | 3478 |
| Everolimus (C53H83NO14) | 4,522,920 | 785,429 |
| Exemestane (C20H24O2) | 110,916 | 13,740 |
| Fulvestrant (C32H47F5O3S) | 779,714 | 274,628 |
| Ixabepilone (C27H42N2O5S) | 329,896 | 84,211 |
| Letrozole (C17H11N5) | 35,481 | 19,481 |
| Megestrol Acetate (C24H32O4) | 198,979 | 33,209 |
| Methotrexate (C20H22N8O5) | 209,154 | 116,770 |
| Tamoxifen (C26H29NO) | 81,847 | 48,709 |
| Theotepa (C6H12N3P) | 2062 | 992 |
| Physicochemical Properties | Order | DESI | EDS | ||
|---|---|---|---|---|---|
| RMSE | RMSE | ||||
| BOP | 2 | 0.84 | 94.19 | 0.82 | 99.59 |
| MLP | 3 | 0.97 | 55.06 | 0.94 | 73.71 |
| EP | 2 | 0.90 | 11.92 | 0.89 | 12.47 |
| FLP | 2 | 0.75 | 87.88 | 0.8 | 87.20 |
| MRF | 2 | 0.91 | 19.31 | 0.91 | 19.43 |
| MOV | 2 | 0.88 | 72.82 | 0.86 | 78.55 |
| PO | 2 | 0.91 | 7.66 | 0.91 | 7.70 |
Disclaimer/Publisher’s Note: The statements, opinions and data contained in all publications are solely those of the individual author(s) and contributor(s) and not of MDPI and/or the editor(s). MDPI and/or the editor(s) disclaim responsibility for any injury to people or property resulting from any ideas, methods, instructions or products referred to in the content. |
© 2025 by the authors. Licensee MDPI, Basel, Switzerland. This article is an open access article distributed under the terms and conditions of the Creative Commons Attribution (CC BY) license (https://creativecommons.org/licenses/by/4.0/).
Share and Cite
Rajendran, S.; Iyer, R.R.; Asiri, A.; Somasundaram, K. Detour Eccentric Sum Index for QSPR Modeling in Molecular Structures. Symmetry 2025, 17, 1897. https://doi.org/10.3390/sym17111897
Rajendran S, Iyer RR, Asiri A, Somasundaram K. Detour Eccentric Sum Index for QSPR Modeling in Molecular Structures. Symmetry. 2025; 17(11):1897. https://doi.org/10.3390/sym17111897
Chicago/Turabian StyleRajendran, Supriya, Radha Rajamani Iyer, Ahmad Asiri, and Kanagasabapathi Somasundaram. 2025. "Detour Eccentric Sum Index for QSPR Modeling in Molecular Structures" Symmetry 17, no. 11: 1897. https://doi.org/10.3390/sym17111897
APA StyleRajendran, S., Iyer, R. R., Asiri, A., & Somasundaram, K. (2025). Detour Eccentric Sum Index for QSPR Modeling in Molecular Structures. Symmetry, 17(11), 1897. https://doi.org/10.3390/sym17111897

