Next Article in Journal
Multi-Objective Emergency Path Planning Based on Improved Nondominant Sorting Genetic Algorithm
Next Article in Special Issue
On the Classification of Totally Geodesic and Parallel Hypersurfaces of the Lie Group Nil4
Previous Article in Journal
Obstacle Avoidance Algorithm for Multi-Robot Formation Based on Affine Transformation
 
 
Font Type:
Arial Georgia Verdana
Font Size:
Aa Aa Aa
Line Spacing:
Column Width:
Background:
Article

Supercommuting Maps on Incidence Algebras with Superalgebra Structures

Mathematics Department, University College in Al-Darb, Jazan University, Jazan 82817, Saudi Arabia
Symmetry 2025, 17(11), 1817; https://doi.org/10.3390/sym17111817
Submission received: 4 September 2025 / Revised: 12 October 2025 / Accepted: 15 October 2025 / Published: 28 October 2025
(This article belongs to the Special Issue Symmetry in Lie Groups and Lie Algebras)

Abstract

Let R be a 2-torsion-free and n ! -torsion-free commutative ring with unity, and let X be a locally finite preordered set. We endow the incidence algebra I ( X , R ) with a superalgebra structure via a nontrivial idempotent, which decomposes I ( X , R ) into even and odd parts A 0 A 1 . Our main result shows that if any two directed edges in each connected component of the complete Hasse diagram ( X , D ) lie in one cycle, then every supercommuting map on I ( X , R ) is proper. A supercommuting map θ : I ( X , R ) I ( X , R ) is defined by the condition [ θ ( x ) , x ] s = 0 for all x I ( X , R ) , where [ a , b ] s = a b ( 1 ) | a | | b | b a is the supercommutator. We prove that such maps must take the form θ ( x ) = λ x + μ ( x ) , where λ Z s ( I ( X , R ) ) (the supercenter) and μ : I ( X , R ) Z s ( I ( X , R ) ) is an R-linear map. This generalizes the known results on commuting maps of incidence algebras and other associative algebras.

1. Introduction

The study of commuting maps, defined through the commutator [ x , y ] = x y y x , has been a central topic in the structural theory of rings and algebras for decades. Early investigations by Divinsky established that the existence of non-identity commuting automorphisms forces a ring to be commutative [1]. Posner proved that every centralizing derivation on a prime ring must vanish [2]. These pioneering results laid the foundation for a systematic study of commuting and centralizing mappings in algebraic systems.
Subsequent advances were made by Brešar, who characterized commuting maps on prime and semiprime rings in the canonical form
θ ( x ) = λ x + μ ( x ) ,
where λ lies in the extended centroid and μ maps into the center of the ring [3,4,5,6]. This framework unified several results concerning derivations, automorphisms, and Lie-type maps. Later, several researchers extended these ideas to various settings, including triangular algebras, generalized matrix algebras, and incidence algebras [7,8,9]. Related work on functional identities and Engel-type conditions (n-commuting maps) was undertaken by Vukman, Brešar, and Beidar et al., highlighting the rich interplay between commutativity conditions and algebraic structure [10,11,12,13,14].
In the past decade, attention has shifted toward the graded or superalgebraic setting, where the underlying algebra A = A 0 A 1 admits a Z 2 -grading. For homogeneous elements a , b A , the supercommutator
[ a , b ] s = a b ( 1 ) | a | | b | b a
generalizes the classical commutator by incorporating a parity-dependent sign. This structure naturally arises in mathematical physics and quantum theory, where even (bosonic) and odd (fermionic) components coexist. Superalgebras thus provide a unified framework for modeling graded symmetries in supersymmetry and representation theory [15]. Within this framework, supercommuting maps have strong connections to Lie superderivations, superbiderivations, and Jordan superhomomorphisms [16,17,18,19,20]. Recent works also relate graded mappings to operator-theoretic and -analytic contexts such as Toeplitz operators and alternative rings [21,22].
The structural theory of supercommuting maps has recently gained increased attention. Ghahramani et al. characterized Lie superderivations on unital algebras containing nontrivial idempotents [23]. Luo et al. examined supercommuting maps deeply under the same settings [24]. These results exploit the Peirce decomposition of a unital algebra A with idempotent e ( e 2 = e 0 , 1 ),
A = e A e e A ( 1 e ) ( 1 e ) A e ( 1 e ) A ( 1 e ) ,
which induces a superalgebra structure via
A 0 = e A e ( 1 e ) A ( 1 e ) , A 1 = e A ( 1 e ) ( 1 e ) A e .
This decomposition allows one to reinterpret many classical ring-theoretic phenomena through the lens of graded algebra.
Parallel to these developments, incidence algebras I ( X , R ) , introduced by Ward [25] and later developed by Rota and Stanley [26], have emerged as a rich algebraic framework for studying combinatorial and order-theoretic structures. For a locally finite preordered set ( X , ) , the algebra I ( X , R ) consists of functions f : X × X R satisfying f ( x , y ) = 0 when x y , with convolution
( f g ) ( x , y ) = x z y f ( x , z ) g ( z , y ) .
Incidence algebras encode order-theoretic information through algebraic means, serving as a natural setting for derivations, automorphisms, and centralizing maps [27,28,29,30,31,32,33,34]. The present paper extends the classical commuting map theory to the supercommuting context within incidence algebras endowed with a natural Z 2 -grading.
Our main result establishes that if the Hasse diagram of a connected locally finite preordered set ( X , ) satisfies the cycle condition that any two directed edges in each connected component lie on a common cycle, every homogeneous supercommuting map θ on the incidence superalgebra I ( X , R ) is proper; that is,
θ ( f ) = λ f + μ ( f ) ,
where λ is a homogeneous central element and μ is an R-linear map with an image in the supercenter. This generalizes the theorem of Jia and Xiao [9] from the commuting to the supercommuting setting and aligns with recent graded studies by Ghahramani at el. [23] and Luo at el. [24].
This paper is organized as follows: Section 2 recalls basic notions of superalgebras and incidence algebras, including Z 2 -grading, supercommutators, and supercenters. Section 3 treats the connected case and proves that every homogeneous supercommuting map is proper under the cycle condition. Section 4 extends these results to general incidence superalgebras through restriction homomorphisms and multilinear identities. Section 5 addresses the general case by decomposing the algebra into connected components and establishing the global form of supercommuting maps. Section 6 concludes with remarks on possible extensions to improper and higher-order supercommuting maps.

2. Preliminaries

Throughout this paper, R denotes a commutative ring with identity, and all algebras are assumed to be associative and unital over R. We begin by recalling essential definitions and establishing the notation used throughout the paper.

2.1. Superalgebras and Supercommutators

An R-superalgebra (or Z 2 -graded algebra) is an R-algebra
A = A 0 A 1 ,
where A 0 (the even part) and A 1 (the odd part) are R-submodules satisfying
A i A j A i + j ( mod 2 ) for all i , j { 0 , 1 } .
An element a A is said to be homogeneous of degree  | a | { 0 , 1 } if a A | a | .
For homogeneous elements a , b A , the supercommutator is defined by
[ a , b ] s = a b ( 1 ) | a | | b | b a .
This operation extends bilinearly to all elements of A. When A 1 = 0 , it coincides with the ordinary commutator [ a , b ] = a b b a .
Definition 1.
An R-linear map θ : A A is called a supercommuting map if
[ θ ( x ) , x ] s = 0 for all x A .
If θ is homogeneous of degree t { 0 , 1 } , that is, θ ( A i ) A i + t ( mod 2 ) for each i, then θ is called a homogeneous supercommuting map.
Supercommuting maps generalize the notion of commuting maps by incorporating the parity-dependent sign ( 1 ) | a | | b | , thus capturing the graded antisymmetry intrinsic to superalgebraic structures. This graded modification is crucial in distinguishing the behavior of even and odd components and in extending commutation results to broader algebraic contexts. For further details, see [15] and the references therein.

2.2. Incidence Algebras

Let ( X , ) be a locally finite preordered set, that is, every interval
[ x , y ] = { z X x z y }
is finite for all x y . The incidence algebra  I ( X , R ) of ( X , ) over R is the set of all functions
f : { ( x , y ) X × X x y } R
under pointwise addition and convolution multiplication defined by
( f g ) ( x , y ) = x z y f ( x , z ) g ( z , y ) .
This operation is associative and admits the identity element δ defined by
δ ( x , y ) = 1 , x = y , 0 , x < y .
For each x , y X with x y , we define e x y by
e x y ( u , v ) = 1 , ( u , v ) = ( x , y ) , 0 , otherwise .
Then { e x y x y } forms an R-basis for I ( X , R ) , and the multiplication rule is given by
e x y e u v = e x v , if y = u , 0 , otherwise .
This basis description will be used repeatedly to express and compute the action of linear maps on I ( X , R ) . For further details, see [33] and the references therein.

2.3. Superalgebra Structure on Incidence Algebras

Let ( X , ) be a finite preordered set and fix an idempotent e = x X 0 e x x , where X 0 X . Then e induces a natural Z 2 -grading on I ( X , R ) via the Peirce decomposition:
I ( X , R ) = A 0 A 1 ,
where
A 0 = e I ( X , R ) e ( 1 e ) I ( X , R ) ( 1 e ) , A 1 = e I ( X , R ) ( 1 e ) ( 1 e ) I ( X , R ) e .
Thus, ( I ( X , R ) , A 0 , A 1 ) becomes a superalgebra, which we refer to as the incidence superalgebra associated with ( X , ) and e.
This construction generalizes the familiar even–odd decomposition from matrix superalgebras and provides a canonical way to study graded properties in incidence algebras.
Example 1.
Let X = { 1 , 2 } with 1 < 2 . Then I ( X , R ) consists of all upper triangular 2 × 2 matrices over R:
I ( X , R ) = a b 0 c : a , b , c R .
Choosing e = e 11 , we obtain
A 0 = a 0 0 c , A 1 = 0 b 0 0 .
Hence, ( I ( X , R ) , A 0 , A 1 ) is a superalgebra with even elements forming the diagonal subalgebra and odd elements corresponding to the strictly upper triangular part.

2.4. The Supercenter and Proper Maps

The supercenter of a superalgebra A = A 0 A 1 is defined as
Z s ( A ) = { z A [ z , a ] s = 0 for all a A } .
Elements of Z s ( A ) need not be purely even; rather, they satisfy the graded commutation relation with every homogeneous element of A.
Definition 2.
A supercommuting map θ : A A is called proper if there exists a homogeneous λ Z s ( A ) and an R-linear map μ : A Z s ( A ) such that
θ ( x ) = λ x + μ ( x ) for all x A .
This definition generalizes the notion of proper commuting maps in the nongraded setting, aligning with the classical forms established for prime and semiprime rings by Brešar [5,6]. The central problem addressed in this paper is determining under what structural conditions on ( X , ) every supercommuting map on the incidence superalgebra I ( X , R ) must be proper.
Summary of notations.
NotationDescription
RCommutative ring with unity that is 2-torsion-free and
n ! -torsion-free
XLocally finite preordered set
I ( X , R ) Incidence algebra over X and R
A 0 , A 1 Even and odd parts of superalgebra
[ a , b ] s Supercommutator: a b ( 1 ) | a | | b | b a
Z s ( A ) Supercenter of A
θ Supercommuting map: [ θ ( x ) , x ] s = 0
e x y Basis element of I ( X , R )
δ Unity element of I ( X , R )
( X , D ) Complete Hasse diagram
Equivalence on directed edges

3. The Connected Case

Let R be a 2-torsion-free commutative ring with unity, and let X be a locally finite preordered set with the complete Hasse diagram ( X , D ) such that any two directed edges in each connected component are contained in one cycle. The incidence algebra I ( X , R ) is endowed with a superalgebra structure via a nontrivial idempotent e, where A 0 = e I ( X , R ) e + ( 1 e ) I ( X , R ) ( 1 e ) is the even part (degree 0), and A 1 = e I ( X , R ) ( 1 e ) + ( 1 e ) I ( X , R ) e is the odd part (degree 1) [23]. In this section, we study supercommuting maps on I ( X , R ) when X is connected. A map θ : I ( X , R ) I ( X , R ) is called supercommuting if [ θ ( f ) , f ] s = 0 for all f I ( X , R ) , where [ a , b ] s = a b ( 1 ) | a | | b | b a for homogeneous a , b A 0 A 1 , extended linearly [19].
Lemma 1.
Let A be an R-algebra with a superalgebra structure A = A 0 A 1 , and let θ be a supercommuting map on A. Let a , b A satisfy a m = b for some integer m 2 , where b is an idempotent. Then [ θ ( a ) , b ] s = 0 .
Proof. 
Case 1. First, assume that a is homogeneous with parity | a | { 0 , 1 } . Since θ is supercommuting, we have
[ θ ( a ) , a ] s = θ ( a ) a ( 1 ) | θ ( a ) | | a | a θ ( a ) = 0 ,
so
θ ( a ) a = ( 1 ) | θ ( a ) | | a | a θ ( a ) .
Multiplying (1) on the right by another a and applying the same identity repeatedly, we obtain by induction
θ ( a ) a m = ( 1 ) m | θ ( a ) | | a | a m θ ( a ) , for all m 1 .
Now compute
[ θ ( a ) , a m ] s = θ ( a ) a m ( 1 ) | θ ( a ) | | a m | a m θ ( a ) .
But by (1),
θ ( a ) a m = ( 1 ) m | θ ( a ) | | a | a m θ ( a ) .
Since | a m | = m | a | (mod 2), the exponent in the supercommutator satisfies
( 1 ) m | θ ( a ) | | a | = ( 1 ) | θ ( a ) | | a m | .
Hence, we conclude that
[ θ ( a ) , a m ] s = 0 .
By assumption, b = a m is idempotent. The above calculation shows that
[ θ ( a ) , b ] s = 0 .
Case 2. If a is not homogeneous, write a = a 0 + a 1 with a i A i . Expand a m as a sum of monomials in a 0 and a 1 . Each monomial is homogeneous, and the calculation above shows that θ ( a ) supercommutes with each such homogeneous monomial. By linearity, the same holds for their sum. Thus,
[ θ ( a ) , a m ] s = 0 ,
for general a, i.e., [ θ ( a ) , b ] s = 0 . □
Corollary 1.
Let A be an R-algebra with a superalgebra structure, and let θ be a supercommuting map on A. If e A is an idempotent, then [ θ ( e ) , e ] s = 0 .
Proof. 
Since e is idempotent ( e 2 = e ), apply Lemma 1 with a = e , b = e , and m = 2 . Thus, [ θ ( e ) , e ] s = 0 . □
The set B = { e x y x y } forms an R-linear basis of I ( X , R ) when X is finite. For i j and i j , we write i < j or j > i for brevity. Let θ : I ( X , R ) I ( X , R ) be a supercommuting map. We denote
θ ( e i j ) = x y C i j x y e x y , for all i , j X with i j ,
with the convention that C i j x y = 0 if x y .
Lemma 2.
The supercommuting map θ satisfies
θ ( e i i ) = x X C i i x x e x x ,
and
θ ( e i j ) = x X C i j x x e x x + C i j i j e i j , i f i < j .
Proof. 
Assume | X | 2 . Since e i i is idempotent and even ( | e i i | = 0 ), by Corollary 1,
[ θ ( e i i ) , e i i ] s = θ ( e i i ) e i i e i i θ ( e i i ) = 0 .
This yields
( θ ( e i i ) e i i ) ( u , v ) = u z v θ ( e i i ) ( u , z ) e i i ( z , v ) = θ ( e i i ) ( u , i ) δ i v ,
and
( e i i θ ( e i i ) ) ( u , v ) = u z v e i i ( u , z ) θ ( e i i ) ( z , v ) = δ u i θ ( e i i ) ( i , v ) .
Thus, [ θ ( e i i ) , e i i ] s = 0 implies θ ( e i i ) ( u , i ) = θ ( e i i ) ( i , v ) for u i v . Left-multiplying by e x x , we obtain
( e x x θ ( e i i ) ) ( x , y ) = θ ( e i i ) ( x , y ) , ( e x x e i i θ ( e i i ) ) ( x , y ) = δ x i θ ( e i i ) ( i , y ) .
This gives C i i x y = 0 if x < i or i < y . For x i and y i , consider the idempotent e i i + e x x . By Corollary 1, [ θ ( e i i + e x x ) , e i i + e x x ] s = 0 , so
[ θ ( e i i ) , e x x ] s + [ θ ( e x x ) , e i i ] s = 0 .
Multiplying by e x x on the left and e y y on the right gives
C i i x y = 0 , if i x < y i .
Combining these results, we obtain θ ( e i i ) = x X C i i x x e x x .
For i < j , observe that e i i + e i j is idempotent:
( e i i + e i j ) 2 = e i i 2 + e i i e i j + e i j e i i + e i j 2 = e i i + e i j ,
since e i i e i j = e i j , e i j e i i = 0 and e i j 2 = 0 . By Corollary 1, [ θ ( e i i + e i j ) , e i i + e i j ] s = 0 , so
[ θ ( e i i ) , e i j ] s + [ θ ( e i j ) , e i i + e i j ] s = 0 .
Since | e i j | = 1 (as e i j e I ( X , R ) ( 1 e ) or ( 1 e ) I ( X , R ) e ), we have
[ θ ( e i j ) , e i j ] s = θ ( e i j ) e i j + e i j θ ( e i j ) .
As y i , j , e i i + e i j + e y y is idempotent, this gives
[ θ ( e i j ) , e y y ] s + [ θ ( e y y ) , e i j ] s = 0 .
Multiplying appropriately, we obtain C i j x y = 0 if i x < y j , C i j x j = 0 if i x < j , and C i j i y = 0 if i < y j . Thus,
θ ( e i j ) = x X C i j x x e x x + C i j i j e i j .
Lemma 3.
Let X be a connected, locally finite preordered set, and let θ : I ( X , R ) I ( X , R ) be a supercommuting map on the incidence algebra I ( X , R ) , where R is a 2-torsion-free commutative ring with unity, and I ( X , R ) is endowed with a superalgebra structure [23]. Then the coefficients C i j x y in the expansion θ ( e i j ) = x y C i j x y e x y satisfy the following relations:
(R1) 
C i l i l = C i i i i C i i l l , if i < l ;
(R2) 
C k i k i = C i i i i C i i k k , if k < i ;
(R3) 
C i i k k = C i i l l , if k < l and k i l ;
(R4) 
C i j x x = C i j y y , for all x , y X ;
(R5) 
C i j i j = C j l j l , if i < j < l .
Proof. 
From Lemma 2, we have
θ ( e i i ) = x X C i i x x e x x , θ ( e i j ) = x X C i j x x e x x + C i j i j e i j , if i < j .
Consider the supercommutator relation [ θ ( e i j ) , e y y ] s = [ e i j , θ ( e y y ) ] s for i < j and any y X , derived from the idempotent e i i + e i j + e y y (as in Lemma 2). It follows that
[ θ ( e i j ) , e y y ] s = θ ( e i j ) e y y ( 1 ) | θ ( e i j ) | · | e y y | e y y θ ( e i j ) .
Since e y y A 0 ( | e y y | = 0 ) and θ ( e i j ) may have both even and odd components, we write θ ( e i j ) = x X C i j x x e x x + C i j i j e i j , where e x x A 0 and e i j A 1 . Thus,
θ ( e i j ) e y y = x X C i j x x e x x e y y + C i j i j e i j e y y = C i j y y e y y + C i j i j δ j y e i j ,
and
e y y θ ( e i j ) = x X C i j x x e y y e x x + C i j i j e y y e i j = C i j y y e y y + C i j i j δ y i e i j .
Hence,
[ θ ( e i j ) , e y y ] s = ( C i j y y e y y + C i j i j δ j y e i j ) ( C i j y y e y y + C i j i j δ y i e i j ) = C i j i j ( δ j y δ y i ) e i j .
Similarly, for [ e i j , θ ( e y y ) ] s , since θ ( e y y ) = x X C y y x x e x x , we have
e i j θ ( e y y ) = C y y j j e i j , θ ( e y y ) e i j = C y y i i e i j ,
and therefore
[ e i j , θ ( e y y ) ] s = C y y j j e i j ( 1 ) | e i j | · 0 C y y i i e i j = ( C y y j j C y y i i ) e i j .
Equating the two expressions, we obtain
C i j i j ( δ j y δ y i ) e i j = ( C y y j j C y y i i ) e i j .
This implies the following:
  • For y = i : C i j i j ( 1 ) = C i i j j C i i i i , so C i j i j = C i i i i C i i j j .
  • For y = j : C i j i j ( 1 ) = C j j j j C j j i i , so C i j i j = C j j j j C j j i i .
  • For y i , j : 0 = C y y j j C y y i i .
Thus, for i < l , set j = l in the first case to obtain C i l i l = C i i i i C i i l l , proving (R1). For k < i , set i = k and j = i in the second case to obtain C k i k i = C i i i i C i i k k , proving (R2). For k < l with k i l , the third case gives C i i k k = C i i l l , proving (R3).
For (R5), if i < j < l , from (R2) we have C i j i j = C j j j j C j j i i , and from (R1), C j l j l = C j j j j C j j l l . By (R3), C j j i i = C j j l l , and hence C i j i j = C j l j l .
For (R4), consider i < j and k < l with k i , j and l i . The element e i i + e i j + e k l is idempotent for m 2 . By Lemma 1, we have [ θ ( e i i + e i j + e k l ) , e i i + e i j ] s = 0 , which implies
[ θ ( e k l ) , e i i + e i j ] s = 0 .
We find θ ( e k l ) = x X C k l x x e x x + C k l k l e k l , giving C k l i i = C k l j j . Similarly, for e j j + e i j + e k l , we obtain C k l i i = C k l j j for l i , j . For j k < i < j , consider e i i + e i j + e k i , which satisfies ( e i i + e i j + e k i ) m = e i i + e i j + e k i + e k j . This yields C k i i i = C k i j j . For i < j < l i , the element e j j + e i j + e j l gives C j l i i = C j l j j . From [ θ ( e i j ) , e i j ] s = 0 , we have C i j i i = C i j j j . Combining these, we obtain C k l i i = C k l j j for all i < j .
Since X is connected, for any x , y X , there exists a sequence x = x 0 , x 1 , , x s = y , where x r 1 covers or is covered by x r . Applying C k l x r 1 x r 1 = C k l x r x r recursively yields C k l x x = C k l y y , proving (R4). □
Definition 3.
For any two directed edges ( x , y ) , ( u , v ) D , define ( x , y ) ( u , v ) if and only if there exists a cycle containing both x y and u v . The relation ≈ is an equivalence relation on D.
Example 2.
Let X = { 1 , 2 , 3 , 4 } with partial order relations (or arrows) of 1 > 2 , 2 > 3 , and 2 > 4 . The corresponding Hasse diagram is the Dynkin diagram of type D 4 , and the associated complete Hasse diagram ( X , D ) is depicted in Figure 1.
Thus, ( 3 , 2 ) ( 4 , 2 ) , since the directed edges ( 3 , 2 ) and ( 4 , 2 ) are contained in the cycle { 2 , 3 , 1 , 4 } , with 2 3 , 3 1 , 1 4 , and 4 2 .
Proposition 1.
Let R be a 2-torsion-free commutative ring with unity, and let X be a finite, connected, preordered set. Let I ( X , R ) be endowed with a superalgebra structure via a nontrivial idempotent e [23]. Then every supercommuting map θ : I ( X , R ) I ( X , R ) , satisfying [ θ ( f ) , f ] s = 0 for all f I ( X , R ) , which is proper if and only if any two directed edges in the complete Hasse diagram ( X , D ) are contained in one cycle.
Proof. 
Assume that any two directed edges in ( X , D ) are contained in one cycle, i.e., the equivalence relation ≈ has a single equivalence class. By Lemma 2, for a supercommuting map θ , we have
θ ( e i i ) = x X C i i x x e x x , θ ( e i j ) = x X C i j x x e x x + C i j i j e i j , if i < j .
From Lemma 3, the coefficients satisfy:
(R1)
C i l i l = C i i i i C i i l l , if i < l ;
(R2)
C k i k i = C i i i i C i i k k , if k < i ;
(R3)
C i i k k = C i i l l , if k < l and k i l ;
(R4)
C i j x x = C i j y y , for all x , y X ;
(R5)
C i j i j = C j l j l , if i < j < l .
By (R4), C i j x x = C i j y y = λ i j for all x , y X . Therefore,
θ ( e i j ) = λ i j x X e x x + C i j i j e i j , θ ( e i i ) = λ i i x X e x x .
Since x X e x x = δ (the unity element, with δ ( x , y ) = δ x y ), we have δ Z s ( I ( X , R ) ) , as [ δ , f ] s = 0 for all f. By (R5), C i j i j = λ for all i < j , since all edges ( i , j ) are in the same equivalence class under ≈. For i = j , set C i i i i = μ i . By (R1) and (R2), for any i < l or k < i , we can adjust the coefficients to align with the supercenter.
Define
μ ( f ) = i j f ( i , j ) C i j i j e i j λ i j δ ,
where C i j i j = 0 if i = j . Then
θ ( f ) = i j f ( i , j ) λ i j δ + C i j i j e i j = λ f + μ ( f ) ,
where λ = i < j f ( i , j ) λ i j + i f ( i , i ) μ i Z s ( I ( X , R ) ) and μ ( f ) Z s ( I ( X , R ) ) , since [ e i j , f ] s = 0 for fixed i , j . Thus, θ is proper.
Conversely, if some edges ( i , j ) and ( k , l ) are not contained in the same cycle, the equivalence classes under ≈ partition D. By [9], a commuting map may be improper in such cases, and similarly, a supercommuting map may fail to be proper due to inconsistent C i j i j across equivalence classes, violating the uniformity condition (R5).
This proof extends the results of [9] to the superalgebra context using the supercenter Z s ( I ( X , R ) ) [19]. □
Example 3.
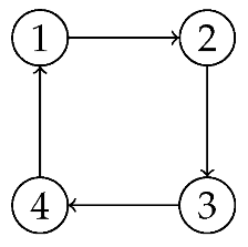
Let X = { 1 , 2 , 3 , 4 } with relations 1 < 2 , 2 < 3 , 3 < 4 , and 1 < 4 . The Hasse diagram of X is four-cycle (a square):
1 2 3 4 1 .
Symmetry 17 01817 i001
In this case, any two directed edges are contained in a cycle. For instance, ( 1 , 2 ) ( 3 , 4 ) via the cycle 1 2 3 4 1 , and ( 2 , 3 ) ( 4 , 1 ) via the same cycle. Hence, the condition of Proposition 1 is satisfied.

4. Supercommuting Maps on Incidence Algebras

Let R be a commutative ring with unity that is both 2-torsion-free and n ! -torsion-free for some positive integer n, and let ( X , ) be a locally finite preordered set, possibly infinite. Denote by I ( X , R ) the incidence algebra endowed with a superalgebra structure via a nontrivial idempotent e, where
A 0 = e I ( X , R ) e + ( 1 e ) I ( X , R ) ( 1 e )
is the even part (degree 0), and
A 1 = e I ( X , R ) ( 1 e ) + ( 1 e ) I ( X , R ) e
is the odd part (degree 1). The supercommutator is defined as
[ a , b ] s = a b ( 1 ) | a | | b | b a
for homogeneous elements a , b A 0 A 1 , and extended linearly. A map θ : I ( X , R ) I ( X , R ) is said to be supercommuting if
[ θ ( f ) , f ] s = 0 for all f I ( X , R ) .
Definition 4.
Let f I ( X , R ) and x y X . The restriction of f to the interval { z X x z y } is defined by
f | x y = x u v y f ( u , v ) e u v .
Let I ˜ ( X , R ) denote the R-subspace of I ( X , R ) generated by the elements e x y with x y . Thus, I ˜ ( X , R ) consists of those functions f I ( X , R ) that are nonzero only for finitely many pairs ( x , y ) . For each x y , the map ϕ x y : I ( X , R ) I ˜ ( X , R ) defined by ϕ x y ( f ) = f | x y is an algebra homomorphism.
Definition 5.
For a multilinear map Θ : A m A , we define its trace (or diagonal evaluation) by
Tr ( Θ ) ( f ) = Θ ( f , f , , f ) , f A .
Lemma 4.
Let θ : I ( X , R ) I ( X , R ) be a supercommuting map on the incidence algebra I ( X , R ) , where R is n ! -torsion-free for some positive integer n. Then, for any f I ( X , R ) and x < y , we have
θ ( f ) ( x , y ) = θ ( f | x y ) ( x , y ) .
Proof. 
Define the map Θ : I ( X , R ) n + 1 I ( X , R ) by
Θ ( f 1 , f 2 , , f n + 1 ) = P n + 1 ( θ ( f 1 ) , f 2 , , f n + 1 ) ,
where the polynomial P m in noncommutative variables x 1 , x 2 , , x m is defined inductively by
P 1 ( x 1 ) = x 1 , P 2 ( x 1 , x 2 ) = [ x 1 , x 2 ] s , P m ( x 1 , x 2 , , x m ) = [ P m 1 ( x 1 , x 2 , , x m 1 ) , x m ] s ,
for all m 3 . Since θ is supercommuting, we have [ θ ( f ) , f ] s = P 2 ( θ ( f ) , f ) = 0 . Consider the n-fold supercommutator
P n + 1 ( θ ( f ) , f , , f ) = [ [ [ θ ( f ) , f ] s , f ] s , , f ] s = 0 ,
where the supercommutator is applied n times. The trace of Θ satisfies
Θ ( f , f , , f ) = P n + 1 ( θ ( f ) , f , , f ) = 0 .
Linearizing Θ ( f , f , , f ) = 0 , we obtain
w S n + 1 P n + 1 ( θ ( f w ( 1 ) ) , f w ( 2 ) , , f w ( n + 1 ) ) = 0 ,
where S n + 1 is the symmetric group on { 1 , 2 , , n + 1 } . Set f 1 = f and f 2 = = f n + 1 = e y y , where e y y I ( X , R ) is the basis element satisfying e y y ( y , y ) = 1 and is zero elsewhere, with | e y y | = 0 (since e y y A 0 ). Substituting into (3), we obtain
n ! P n + 1 ( θ ( f ) , e y y , , e y y ) + w S n + 1 w ( 1 ) 1 P n + 1 ( θ ( e y y ) , f w ( 2 ) , , f w ( n + 1 ) ) = 0 .
Now replace f with f | x y I ˜ ( X , R ) , where
f | x y = x u v y f ( u , v ) e u v .
Since ϕ x y : f f | x y is an algebra homomorphism, we apply the same substitution to obtain
n ! P n + 1 ( θ ( f | x y ) , e y y , , e y y ) + w S n + 1 w ( 1 ) 1 P n + 1 ( θ ( e y y ) , f w ( 2 ) , , f w ( n + 1 ) ) = 0 .
The second terms in (4) and (5) are identical, as they depend only on θ ( e y y ) and e y y . Subtracting (5) from (4), we obtain
n ! P n + 1 ( θ ( f ) , e y y , , e y y ) P n + 1 ( θ ( f | x y ) , e y y , , e y y ) = 0 .
Since R is n ! -torsion-free, we have
P n + 1 ( θ ( f ) , e y y , , e y y ) = P n + 1 ( θ ( f | x y ) , e y y , , e y y ) .
We now evaluate both sides at ( x , y ) . For any g I ( X , R ) , compute the supercommutator with e y y :
[ g , e y y ] s ( x , y ) = ( g e y y ) ( x , y ) ( 1 ) | g | · 0 ( e y y g ) ( x , y ) = g ( x , y ) δ y y e y y ( x , z ) g ( z , y ) = g ( x , y ) δ y y .
Since x < y , δ y y = 0 unless x = y , hence [ g , e y y ] s ( x , y ) = 0 . Iteratively, for P n + 1 , we have
P 2 ( θ ( f ) , e y y ) ( x , y ) = [ θ ( f ) , e y y ] s ( x , y ) = θ ( f ) ( x , y ) δ y y = 0 ,
and higher iterates P n + 1 = [ P n , e y y ] s yield zero at ( x , y ) . Similarly, for the restricted function,
P n + 1 ( θ ( f | x y ) , e y y , , e y y ) ( x , y ) = 0 .
To refine this, note that for any f , g I ( X , R ) and x < y ,
( f g ) ( x , y ) = ( f | x y g ) ( x , y ) = ( f g | x y ) ( x , y ) = ( f | x y g | x y ) ( x , y ) .
For e x x g e y y = g ( x , y ) e x y , we have
θ ( f ) ( x , y ) e x y = [ θ ( f ) , e y y ] s ( x , y ) .
Applying ϕ x y to both sides of (6) gives
ϕ x y P n + 1 ( θ ( f ) , e y y , , e y y ) = ϕ x y P n + 1 ( θ ( f | x y ) , e y y , , e y y ) .
Since ϕ x y is an algebra homomorphism and e y y I ˜ ( X , R ) , evaluating at ( x , y ) yields
P n + 1 ( θ ( f ) , e y y , , e y y ) ( x , y ) = θ ( f ) ( x , y ) ,
because higher supercommutators vanish due to the idempotence and degree zero of e y y . Similarly,
P n + 1 ( θ ( f | x y ) , e y y , , e y y ) ( x , y ) = θ ( f | x y ) ( x , y ) .
From (6), and since R is n ! -torsion-free, it follows that
θ ( f ) ( x , y ) = θ ( f | x y ) ( x , y ) .
This completes the proof. □
Theorem 1.
Let θ : I ( X , R ) I ( X , R ) be a supercommuting map on the incidence algebra I ( X , R ) , where R is 2-torsion-free and n ! -torsion-free, and any two directed edges in the complete Hasse diagram ( X , D ) are contained in one cycle. Then θ is proper.
Proof. 
Assume n 2 without loss of generality, as the case n = 1 corresponds to the supercommuting condition [ θ ( f ) , f ] s = 0 . Restrict θ to I ˜ ( X , R ) , the subalgebra of functions that are nonzero at finitely many pairs ( x , y ) , and denote this restriction by θ I ˜ : I ˜ ( X , R ) I ( X , R ) . Since θ is supercommuting, for all f I ˜ ( X , R ) , we have [ θ I ˜ ( f ) , f ] s = [ θ ( f ) , f ] s = 0 .
By the superalgebra analog of [9] (Lemma 2.7) adapted to I ˜ ( X , R ) , if θ I ˜ satisfies
[ [ [ θ I ˜ ( f ) , f ] s , f ] s , , f ] s = 0
(with n supercommutators), then [ θ I ˜ ( f ) , f ] s = 0 , which is already true since θ is supercommuting. By the superalgebra version of [9] (Theorem 2.5), since I ˜ ( X , R ) inherits the superalgebra structure and the cycle condition holds, θ I ˜ is proper. Hence, there exist λ Z s ( I ( X , R ) ) and an R-linear map μ ˜ : I ˜ ( X , R ) Z s ( I ( X , R ) ) such that
θ I ˜ ( f ) = λ f + μ ˜ ( f ) for all f I ˜ ( X , R ) .
Since X is connected and the Hasse diagram satisfies the cycle condition, the supercenter Z s ( I ( X , R ) ) consists of diagonal functions that are constant on connected components. For a connected X, we have Z s ( I ( X , R ) ) R (analogous to [33] (Corollary 1.3.15)). Thus, we may take λ R .
Define μ : I ( X , R ) I ( X , R ) by
μ ( f ) = θ ( f ) λ f for all f I ( X , R ) .
We now show that μ is central-valued, i.e., μ ( f ) Z s ( I ( X , R ) ) for all f I ( X , R ) . For f I ˜ ( X , R ) , we have
μ ( f ) = θ ( f ) λ f = θ I ˜ ( f ) λ f = μ ˜ ( f ) Z s ( I ( X , R ) ) ,
since μ ˜ ( f ) is central. For any f I ( X , R ) and x < y , by Lemma 4, we have
θ ( f ) ( x , y ) = θ ( f | x y ) ( x , y ) .
Hence,
μ ( f ) ( x , y ) = θ ( f ) ( x , y ) λ f ( x , y ) = θ ( f | x y ) ( x , y ) λ f ( x , y ) = μ ˜ ( f | x y ) ( x , y ) = 0 ,
since μ ˜ ( f | x y ) Z s ( I ( X , R ) ) and elements of the supercenter are diagonal (i.e., zero off the diagonal), thus, μ ( f ) ( x , y ) = 0 for all x y , and
μ ( f ) = x X μ ( f ) ( x , x ) e x x .
Next, we show that μ ( f ) ( x , x ) = μ ( f ) ( y , y ) for all x , y X , ensuring μ ( f ) Z s ( I ( X , R ) ) . Since X is connected, it suffices to show μ ( f ) ( x , x ) = μ ( f ) ( y , y ) for x < y . Consider the map Θ : I ( X , R ) n + 1 I ( X , R ) defined by
Θ ( f 1 , f 2 , , f n + 1 ) = P n + 1 ( θ ( f 1 ) , f 2 , , f n + 1 ) ,
where P 1 ( x 1 ) = x 1 , P 2 ( x 1 , x 2 ) = [ x 1 , x 2 ] s , and P m ( x 1 , , x m ) = [ P m 1 ( x 1 , , x m 1 ) , x m ] s . Since θ is supercommuting, we have P 2 ( θ ( f ) , f ) = [ θ ( f ) , f ] s = 0 . Linearizing P n + 1 ( θ ( f ) , f , , f ) = 0 , we obtain
w S n + 1 P n + 1 ( θ ( f w ( 1 ) ) , f w ( 2 ) , , f w ( n + 1 ) ) = 0 .
Replace θ with μ , since μ ( f ) = θ ( f ) λ f and λ f supercommutes with f. Set f 1 = f , f 2 = e x y , and f 3 = = f n + 1 = e y y . Then
w S n + 1 w ( 1 ) = 1 P n + 1 ( μ ( f ) , f w ( 2 ) , , f w ( n + 1 ) ) = 0 ,
since terms with w ( 1 ) 1 involve μ ( e y y ) , which is diagonal. This simplifies to
( n 1 ) ! P n + 1 ( μ ( f ) , e x y , e y y , , e y y ) = 0 .
Since R is n ! -torsion-free, we have
P n + 1 ( μ ( f ) , e x y , e y y , , e y y ) ( x , y ) = 0 .
Now,
P 2 ( μ ( f ) , e x y ) = [ μ ( f ) , e x y ] s = μ ( f ) e x y ( 1 ) | μ ( f ) | · | e x y | e x y μ ( f ) .
Since μ ( f ) = z X μ ( f ) ( z , z ) e z z is diagonal and even ( | μ ( f ) | = 0 ), while | e x y | = 1 , we have
[ μ ( f ) , e x y ] s ( x , y ) = ( μ ( f ) e x y ) ( x , y ) + ( e x y μ ( f ) ) ( x , y ) = μ ( f ) ( x , x ) e x y ( x , y ) + e x y ( x , y ) μ ( f ) ( y , y ) = μ ( f ) ( x , x ) μ ( f ) ( y , y ) .
Higher supercommutators with e y y (which is even) yield
P n + 1 ( μ ( f ) , e x y , e y y , , e y y ) ( x , y ) = [ μ ( f ) , e x y ] s ( x , y ) = μ ( f ) ( x , x ) μ ( f ) ( y , y ) .
Thus,
μ ( f ) ( x , x ) μ ( f ) ( y , y ) = 0 μ ( f ) ( x , x ) = μ ( f ) ( y , y ) .
Since X is connected, μ ( f ) ( x , x ) = c for some c R , and therefore
μ ( f ) = c x X e x x Z s ( I ( X , R ) ) .
Hence, θ ( f ) = λ f + μ ( f ) , and θ is proper. The cycle condition ensures the consistency of coefficients, as in [9]. □
Example 4.
Let R = Z , which is n ! -torsion-free for all n 1 , and let X = { 1 , 2 , 3 } with the natural order 1 < 2 < 3 . The incidence algebra I ( X , R ) has the Z -basis
e 11 , e 22 , e 33 , e 12 , e 23 , e 13 ,
where e i j denotes the characteristic function of ( i , j ) .
Choose the idempotent e = e 11 + e 22 . Then the induced Z 2 -grading is
A 0 = e I ( X , R ) e + ( 1 e ) I ( X , R ) ( 1 e ) , A 1 = e I ( X , R ) ( 1 e ) + ( 1 e ) I ( X , R ) e .
Define θ : I ( X , R ) I ( X , R ) by
θ ( f ) = 2 f + i = 1 3 f ( i , i ) · j = 1 3 e j j , f I ( X , R ) .
That is, θ ( f ) is obtained by doubling f and then adding a diagonal function whose entries are all equal to the trace i = 1 3 f ( i , i ) .
Claim: θ is a supercommuting map and hence proper.
Proof. 
For f I ( X , R ) , write
θ ( f ) = 2 f + μ ( f ) ,
where μ ( f ) = i = 1 3 f ( i , i ) j = 1 3 e j j . Since μ ( f ) is diagonal with constant diagonal entries, we have μ ( f ) Z s ( I ( X , R ) ) . As 2 f clearly supercommutes with f, and central elements also supercommute, it follows that
[ θ ( f ) , f ] s = [ 2 f + μ ( f ) , f ] s = 2 [ f , f ] s + [ μ ( f ) , f ] s = 0 .
Thus, θ is supercommuting. By Theorem 1, θ is proper, with λ = 2 and μ central-valued. □

5. The General Case

In this section, we study supercommuting maps on the incidence algebra I ( X , R ) in the general case, i.e., without assuming the connectedness of X. Let R be a commutative ring with unity that is n ! -torsion-free, and let I ( X , R ) be endowed with a superalgebra structure via a nontrivial idempotent e, with an even part
A 0 = e I ( X , R ) e + ( 1 e ) I ( X , R ) ( 1 e )
and odd part
A 1 = e I ( X , R ) ( 1 e ) + ( 1 e ) I ( X , R ) e .
The supercommutator is defined as
[ a , b ] s = a b ( 1 ) | a | | b | b a ,
for homogeneous elements a , b A 0 A 1 , and extended linearly. For a positive integer n, we define the super-n-center of an R-algebra A as follows:
Z s ( A ) n = { a A [ a , x ] s n = 0 , x A } ,
where [ a , x ] s 1 = [ a , x ] s and [ a , x ] s n = [ [ a , x ] s n 1 , x ] s for n 2 . Clearly, Z s ( A ) 1 = Z s ( A ) , the supercenter of A.
Lemma 5.
Let { X i } i J be the family of connected components of a locally finite preordered set X, and let
I ( X , R ) = i J I ( X i , R )
be the incidence algebra over a commutative ring R that is n ! -torsion-free, endowed with a superalgebra structure. Let θ be a supercommuting map on I ( X , R ) , i.e., [ θ ( f ) , f ] s = 0 for all f I ( X , R ) . Then, for each i J , there exists a unique supercommuting map θ i on I ( X i , R ) and a unique map
θ i : I ( X i , R ) j J { i } Z s ( I ( X j , R ) ) n
such that the restriction of θ on I ( X i , R ) satisfies
θ | I ( X i , R ) = θ i + θ i .
Proof. 
Since X is a locally finite preordered set, its connected components { X i } i J partition X, and the incidence algebra decomposes as
I ( X , R ) = i J I ( X i , R ) ,
where each I ( X i , R ) is a subalgebra with the induced superalgebra structure. For each i J , let π i : j J I ( X j , R ) I ( X i , R ) be the canonical projection onto I ( X i , R ) , and let π i : j J I ( X j , R ) j J { i } I ( X j , R ) be the canonical projection onto the complementary subalgebra. Define
θ i = π i θ | I ( X i , R ) , θ i = π i θ | I ( X i , R ) .
Clearly, θ | I ( X i , R ) = θ i + θ i , and this decomposition is unique since π i and π i project onto complementary subspaces.
For any f I ( X i , R ) , since θ is supercommuting, we have
[ θ ( f ) , f ] s = θ ( f ) f ( 1 ) | θ ( f ) | | f | f θ ( f ) = 0 .
Write θ ( f ) = θ i ( f ) + θ i ( f ) , where θ i ( f ) I ( X i , R ) and θ i ( f ) j J { i } I ( X j , R ) . Since f I ( X i , R ) , we have f g = 0 = g f for any g I ( X j , R ) with j i , because f ( x , y ) 0 only if x , y X i . Thus,
θ ( f ) f = ( θ i ( f ) + θ i ( f ) ) f = θ i ( f ) f , f θ ( f ) = f ( θ i ( f ) + θ i ( f ) ) = f θ i ( f ) ,
since θ i ( f ) f = 0 = f θ i ( f ) . Hence,
[ θ ( f ) , f ] s = [ θ i ( f ) + θ i ( f ) , f ] s = θ i ( f ) f ( 1 ) | θ i ( f ) | | f | f θ i ( f ) = [ θ i ( f ) , f ] s = 0 .
This shows that θ i is a supercommuting map on I ( X i , R ) .
Next, we show that θ i ( f ) j J { i } Z s ( I ( X j , R ) ) n . Define the map Θ : I ( X , R ) n + 1 I ( X , R ) by
Θ ( f 1 , f 2 , , f n + 1 ) = P n + 1 ( θ ( f 1 ) , f 2 , , f n + 1 ) ,
where P 1 ( x 1 ) = x 1 , P 2 ( x 1 , x 2 ) = [ x 1 , x 2 ] s , and
P m ( x 1 , , x m ) = [ P m 1 ( x 1 , , x m 1 ) , x m ] s
for all m 2 . Since θ is supercommuting, P 2 ( θ ( f ) , f ) = [ θ ( f ) , f ] s = 0 . For n-fold supercommuting, we assume that
P n + 1 ( θ ( f ) , f , , f ) = [ θ ( f ) , f ] s n = 0 .
Linearizing this condition gives
w S n + 1 P n + 1 ( θ ( f w ( 1 ) ) , f w ( 2 ) , , f w ( n + 1 ) ) = 0 .
Let f 1 = f I ( X i , R ) and f 2 = = f n + 1 = g I ( X j , R ) for some j i . Then,
w S n + 1 P n + 1 ( θ ( f w ( 1 ) ) , f w ( 2 ) , , f w ( n + 1 ) ) = w ( 1 ) = 1 P n + 1 ( θ ( f ) , g , , g ) + w ( 1 ) 1 P n + 1 ( θ ( g ) , f w ( 2 ) , , f w ( n + 1 ) ) = 0 .
Since f I ( X i , R ) , g I ( X j , R ) , and j i , we have f g = 0 = g f . Hence,
P n + 1 ( θ ( f ) , g , , g ) = [ θ i ( f ) , g ] s n ,
because θ i ( f ) I ( X i , R ) , so
[ θ i ( f ) , g ] s = θ i ( f ) g ( 1 ) | θ i ( f ) | | g | g θ i ( f ) = 0 .
The second term involves θ ( g ) , but we focus on the first term:
w ( 1 ) = 1 P n + 1 ( θ ( f ) , g , , g ) = n ! [ θ i ( f ) , g ] s n .
Since R is n ! -torsion-free, we obtain
[ θ i ( f ) , g ] s n = 0 , g I ( X j , R ) , j i .
Thus, θ i ( f ) j J { i } Z s ( I ( X j , R ) ) n , as θ i ( f ) has support only in j J { i } I ( X j , R ) . This completes the proof. □
Proposition 2.
Let { A i } i J be a family of n ! -torsion-free R-algebras, each endowed with a superalgebra structure. If Z s ( A i ) n = Z s ( A i ) for all i J , then every n-supercommuting map on i J A i , satisfying [ θ ( a ) , a ] s n = 0 for all a i J A i , is proper if and only if every n-supercommuting map on A i is proper for all i J .
Proof. 
Let θ be an n-supercommuting map on i J A i , i.e., [ θ ( a ) , a ] s n = 0 for all a i J A i . By the superalgebra analog of Lemma 5, for each i J , the restriction satisfies
θ | A i = θ i + θ i ,
where θ i : A i A i is an n-supercommuting map and θ i : A i j J { i } Z s ( A j ) n is an R-linear map.
Sufficiency: Assume that every n-supercommuting map on A i is proper for all i J . Then, for each i J , there exists λ i Z s ( A i ) and an R-linear map μ i : A i Z s ( A i ) such that
θ i ( a i ) = λ i a i + μ i ( a i ) , a i A i .
Define an R-linear map μ : i J A i i J Z s ( A i ) by
μ ( a ) = i J μ i ( a i ) ,
where a = i J a i with a i A i . Define
C ( a ) = θ ( a ) i J λ i a i μ ( a ) ,
for all a = i J a i i J A i . We need to show that C ( a ) Z s i J A i .
Since θ is n-supercommuting, we have the linearized identity
w S n + 1 P n + 1 ( θ ( a w ( 1 ) ) , a w ( 2 ) , , a w ( n + 1 ) ) s = 0 ,
where P m ( x 1 , , x m ) s = [ P m 1 ( x 1 , , x m 1 ) s , x m ] s and P 1 ( x 1 ) s = x 1 . Set a 1 = a = i J a i and a 2 = = a n + 1 = x A i for some fixed i J . Then,
n ! P n + 1 ( C ( a ) , x , , x ) s = w S n + 1 w ( 1 ) = 1 P n + 1 ( C ( a ) , x , , x ) s = w S n + 1 w ( 1 ) 1 P n + 1 ( C ( x ) , x w ( 2 ) , , x w ( n + 1 ) ) s .
Compute C ( a ) :
C ( a ) = θ ( a ) i J λ i a i μ ( a ) = i J θ i ( a i ) + θ i ( a i ) λ i a i μ i ( a i ) .
Since θ i ( a i ) = λ i a i + μ i ( a i ) , it follows that
C ( a ) = i J θ i ( a i ) .
For x A i , evaluate
P n + 1 ( C ( a ) , x , , x ) s = P n + 1 j J θ j ( a j ) , x , , x s .
Since θ j ( a j ) k J { j } Z s ( A k ) n and x A i , for j i , we have [ θ j ( a j ) , x ] s = 0 , because θ j ( a j ) has no component in A i . Hence,
P n + 1 ( C ( a ) , x , , x ) s = P n + 1 ( θ i ( a i ) , x , , x ) s .
Moreover,
w S n + 1 w ( 1 ) 1 P n + 1 ( C ( x ) , x w ( 2 ) , , x w ( n + 1 ) ) s = w S n + 1 w ( 1 ) 1 P n + 1 ( θ i ( x ) , x , , x ) s .
Since θ i ( x ) j J { i } Z s ( A j ) n , we have P n + 1 ( θ i ( x ) , x , , x ) s = 0 because [ θ i ( x ) , x ] s n = 0 . Therefore,
w S n + 1 w ( 1 ) 1 P n + 1 ( θ i ( x ) , x , , x ) s = 0 ,
and hence,
n ! P n + 1 ( θ i ( a i ) , x , , x ) s = 0 .
Since R is n ! -torsion-free and Z s ( A j ) n = Z s ( A j ) for all j J { i } , we obtain
P n + 1 ( θ i ( a i ) , x , , x ) s = [ θ i ( a i ) , x ] s n = 0 , x A i .
Thus, θ i ( a i ) Z s ( A i ) n = Z s ( A i ) . However, since θ i ( a i ) j J { i } Z s ( A j ) n and Z s ( A i ) j J { i } Z s ( A j ) n = { 0 } , we must have θ i ( a i ) = 0 . Therefore,
C ( a ) = i J θ i ( a i ) = 0 .
This implies
θ ( a ) = i J ( λ i a i + μ i ( a i ) ) = i J λ i a i + μ ( a ) .
Since i J Z s ( A i ) = Z s i J A i and μ ( a ) i J Z s ( A i ) , we can define λ = ( λ i ) i J Z s i J A i , where λ a = i J λ i a i . Thus,
θ ( a ) = λ a + μ ( a ) ,
where λ Z s i J A i and μ : i J A i Z s i J A i are R-linear. Hence, θ is proper.
Necessity: Suppose there exists some i J such that not every n-supercommuting map on A i is proper. Then there exists an n-supercommuting map θ i : A i A i that is improper. Construct a map θ : i J A i i J A i by
θ ( a ) = i J θ i ( a i ) ,
where θ i = θ i for the given i, and for j i , θ j : A j A j is a proper n-supercommuting map, say θ j ( a j ) = λ j a j for some λ j Z s ( A j ) . For a = i J a i , we have
[ θ ( a ) , a ] s n = i J [ θ i ( a i ) , a i ] s n ,
since [ a i , a j ] s = 0 for i j . Because each θ i is n-supercommuting, we have [ θ i ( a i ) , a i ] s n = 0 , so θ is n-supercommuting. However, since θ i is improper, θ cannot be proper, as its restriction to A i is θ i . This completes the proof. □
Theorem 2.
Let R be a commutative ring with unity that is 2-torsion-free and n ! -torsion-free for some positive integer n. Let X be a locally finite preordered set with connected components { X i } i J , and let
I ( X , R ) = i J I ( X i , R )
be the incidence algebra endowed with a superalgebra structure via a nontrivial idempotent e. If any two directed edges in each connected component ( X i , D i ) of the complete Hasse diagram are contained in one cycle, then every supercommuting map θ : I ( X , R ) I ( X , R ) is proper.
Proof. 
Since X is a locally finite preordered set, its incidence algebra decomposes as
I ( X , R ) = i J I ( X i , R ) ,
where each I ( X i , R ) is a subalgebra with the superalgebra structure induced via e. By Lemma 5, for a supercommuting map θ on I ( X , R ) , the restriction to I ( X i , R ) satisfies
θ | I ( X i , R ) = θ i + θ i ,
where θ i : I ( X i , R ) I ( X i , R ) is supercommuting, and θ i : I ( X i , R ) j J { i } Z s ( I ( X j , R ) ) n .
Since each ( X i , D i ) satisfies the cycle condition (any two directed edges lie in one cycle), Theorem 1 implies that every supercommuting map θ i on I ( X i , R ) is proper. Hence, there exists λ i Z s ( I ( X i , R ) ) and an R-linear map μ i : I ( X i , R ) Z s ( I ( X i , R ) ) such that
θ i ( f i ) = λ i f i + μ i ( f i ) , f i I ( X i , R ) .
Since R is n ! -torsion-free, Lemma 5 implies that θ i ( f i ) j J { i } Z s ( I ( X j , R ) ) n . For incidence algebras, the super-n-center Z s ( I ( X j , R ) ) n coincides with the supercenter Z s ( I ( X j , R ) ) , because elements in Z s ( I ( X j , R ) ) n must supercommute with all basis elements e x y up to the n-th supercommutator, forcing them to be diagonal and constant on connected components (see [33]).
From the proof of Proposition 2, since Z s ( I ( X j , R ) ) n = Z s ( I ( X j , R ) ) , we have θ i ( f i ) = 0 for all f i I ( X i , R ) , because
θ i ( f i ) Z s ( I ( X i , R ) ) j J { i } Z s ( I ( X j , R ) ) = { 0 } .
Therefore,
θ ( f i ) = θ i ( f i ) = λ i f i + μ i ( f i ) .
For any f = i J f i I ( X , R ) , define
λ = ( λ i ) i J i J Z s ( I ( X i , R ) ) = Z s ( I ( X , R ) ) ,
and
μ ( f ) = i J μ i ( f i ) .
Since f i g j = 0 = g j f i for i j , we obtain
θ ( f ) = i J θ ( f i ) = i J ( λ i f i + μ i ( f i ) ) = λ f + μ ( f ) .
As μ i ( f i ) Z s ( I ( X i , R ) ) , we have μ ( f ) i J Z s ( I ( X i , R ) ) = Z s ( I ( X , R ) ) , and μ is R-linear. Hence, θ is proper, completing the proof. □
Example 5.
Let X = { 1 , 2 , , m } and equip X with the preorder generated by the directed m-cycle
1 < 2 < < m < 1 .
The transitive closure of these relations gives i j for every pair ( i , j ) , so every pair of vertices is comparable (in both directions). Hence,
I ( X , R ) = { f : X × X R f ( i , j ) = 0 unless i j } ,
which is the full matrix algebra M m ( R ) (identifying f with the matrix ( f ( i , j ) ) 1 i , j m ).
Choose the nontrivial idempotent e = e 11 (the matrix unit). The induced superalgebra grading is
A 0 = e M m ( R ) e + ( 1 e ) M m ( R ) ( 1 e ) , A 1 = e M m ( R ) ( 1 e ) + ( 1 e ) M m ( R ) e .
The (super-)center of M m ( R ) is the set of scalar matrices:
Z s ( M m ( R ) ) = Z ( M m ( R ) ) = R · I m .
By Theorem 2, the cycle condition (that any two directed edges lie in one cycle) is clearly satisfied here, since the single cycle contains all edges. Therefore, every supercommuting map θ : I ( X , R ) I ( X , R ) is proper; that is, there exists λ R and an R-linear map μ : M m ( R ) R · I m such that
θ ( A ) = λ A + μ ( A ) , A M m ( R ) .
Remark: Conversely, not every map of the form λ A + μ ( A ) is automatically supercommuting; additional graded constraints may further restrict the admissible λ and μ. The theorem asserts that if θ is supercommuting, then it must be of the above form.
Example 6.
Let X = X 1 X 2 , where X 1 = { 1 , 2 , 3 } forms a directed 3-cycle and X 2 = { 4 , 5 , 6 , 7 } forms a directed 4-cycle. As in Example 5, taking the transitive closure on each X i makes every pair within X i comparable. Hence,
I ( X , R ) = I ( X 1 , R ) I ( X 2 , R ) M 3 ( R ) M 4 ( R ) .
Denote
A 1 : = I ( X 1 , R ) M 3 ( R ) , A 2 : = I ( X 2 , R ) M 4 ( R ) .
The superalgebra structure is induced by the same fixed nontrivial idempotent e, which splits each block according to the matrix decomposition.
Let θ : I ( X , R ) I ( X , R ) be a supercommuting map. By Lemma 5, we may write, for i = 1 , 2 ,
θ | A i = θ i + θ i ,
where θ i : A i A i is supercommuting and
θ i : A i j i Z s ( A j ) n
takes values in the super-n-center of the other component. In our matrix algebra components, we have Z s ( A j ) n = Z s ( A j ) = R · I n j (the scalar matrices of each block). Hence, each θ i ( a i ) is a scalar matrix lying in the other block.
We now show that θ i 0 . Fix i and take a i A i and x A i arbitrarily. Linearizing the n-fold supercommuting identity (as in the proof of Proposition 2) yields a relation whose first summand equals
n ! [ θ i ( a i ) , x ] s n .
Since R is n ! -torsion-free, this implies
[ θ i ( a i ) , x ] s n = 0 , x A i .
However, θ i ( a i ) is a scalar matrix residing in the other summand, A j ( j i ), so it has zero support on A i . Therefore, the only possibility consistent with this identity and the disjoint supports is that θ i ( a i ) is the zero scalar. Hence, θ i 0 for both i = 1 , 2 .
Consequently,
θ | A i = θ i ,
i.e., there are no cross terms. By Theorem 1, each θ i is proper on its respective block. Combining these, we obtain
θ ( a 1 a 2 ) = λ 1 a 1 λ 2 a 2 + μ 1 ( a 1 ) μ 2 ( a 2 ) ,
where λ i R and μ i : A i R · I n i are R-linear. Equivalently, for any x = a 1 a 2 I ( X , R ) ,
θ ( x ) = λ x + μ ( x ) , λ = ( λ 1 , λ 2 ) R R = Z s ( A 1 A 2 ) , μ ( x ) = μ 1 ( a 1 ) μ 2 ( a 2 ) .
Thus, θ is proper on I ( X , R ) . This verifies Theorem 2 in this concrete two-component case.

6. Conclusions and Future Work

In this paper, we have advanced the theory of commuting maps on incidence algebras [9] by introducing and characterizing supercommuting maps in the context of superalgebra structures, as developed by Ghahramani and Heidari Zadeh [23]. Our main result demonstrates that, under the graph-theoretic condition that any two directed edges in each connected component of the complete Hasse diagram ( X , D ) lie within a single cycle, every supercommuting map on the incidence algebra I ( X , R ) , where R is a 2-torsion-free and n ! -torsion-free commutative ring with unity, is proper. This finding extends classical results on commuting maps in prime rings, triangular algebras, and generalized matrix algebras [4,7,8] to the superalgebra setting, employing the Peirce decomposition induced by a nontrivial idempotent to separate even and odd components.
The proofs rely on foundational Lemmas that describe the structure of supercommuting maps on basis elements (Lemmas 2 and 3) and their behavior under restrictions to connected components (Lemma 5). The culminating theorems (Theorems 1 and 2) provide a precise characterization: such maps take the form
θ ( f ) = λ f + μ ( f ) ,
where λ lies in the supercenter Z s ( I ( X , R ) ) and μ is an R-linear map into Z s ( I ( X , R ) ) .
Looking ahead, several directions merit further investigation. One may study supercommuting maps on broader classes of algebraic structures, such as generalized matrix algebras or triangular algebras equipped with supergradings, or explore functional identities and multilinear maps within superalgebras [6]. Moreover, relaxing the cycle condition, examining situations in which improper supercommuting maps arise, or extending the framework to infinite preordered sets lacking local finiteness could reveal new structural phenomena and classifications.
To guide future research, we propose the following open problems:
(i)
Characterize improper supercommuting maps on incidence algebras when the cycle condition is violated. In particular, construct explicit examples of improper maps on posets whose Hasse diagrams contain multiple equivalence classes under the relation ≈ defined in Definition 3.
(ii)
Extend the present results to incidence algebras over noncommutative rings R or rings that are not n ! -torsion-free. What modifications to the proper form θ ( f ) = λ f + μ ( f ) are required in such settings?
(iii)
Investigate higher-order supercommuting maps, where the condition is [ θ ( f ) , f ] s k = 0 for k > 1 . Can analogs of Theorems 1 and 2 be established, and what role does the super-k-center Z s ( A ) k play?
(iv)
Explore potential applications of supercommuting maps to combinatorial structures such as poset cohomology or Möbius inversion in superalgebras. For instance, how do supercommuting automorphisms influence the Möbius function in incidence algebras with supergrading?
(v)
Examine supercommuting maps on variants of incidence algebras, such as reduced incidence algebras or those arising from categories. Does the cycle condition generalize to categorical Hasse diagrams?

Funding

This research received no external funding.

Data Availability Statement

The original contributions presented in this study are included in the article. Further inquiries can be directed to the corresponding author.

Acknowledgments

The author thanks the anonymous reviewers for their insightful comments and helpful suggestions.

Conflicts of Interest

The author declare no conflict of interest.

References

  1. Divinsky, N. On commuting automorphisms of rings. Trans. Roy. Soc. Canada. Sect. 1955, 3, 49. [Google Scholar]
  2. Posner, E.C. Derivations in prime rings. Proc. Am. Math. Soc. 1957, 8, 1093–1100. [Google Scholar] [CrossRef]
  3. Brešar, M. Centralizing mappings on von Neumann algebras. Proc. Am. Math. Soc. 1991, 111, 501–510. [Google Scholar] [CrossRef]
  4. Brešar, M. Centralizing mappings and derivations in prime rings. J. Algebra 1993, 156, 385–394. [Google Scholar] [CrossRef]
  5. Brešar, M. Commuting traces of biadditive mappings, commutativity-preserving mappings and Lie mappings. Trans. Am. Math. Soc. 1993, 335, 525–546. [Google Scholar] [CrossRef]
  6. Brešar, M. Commuting maps: A survey. Taiwanese J. Math. 2004, 8, 361–397. [Google Scholar]
  7. Cheung, W.S. Commuting maps of triangular algebras. J. Lond. Math. Soc. 2001, 63, 117–127. [Google Scholar] [CrossRef]
  8. Xiao, Z.; Wei, F. Commuting mappings of generalized matrix algebras. Linear Algebra Appl. 2010, 433, 2178–2197. [Google Scholar] [CrossRef][Green Version]
  9. Jia, H.; Xiao, Z. Commuting maps on certain incidence algebras. Bull. Iran. Math. Soc. 2020, 46, 755–765. [Google Scholar] [CrossRef]
  10. Vukman, J. Commuting and centralizing mappings in prime rings. Proc. Am. Math. Soc. 1990, 109, 47–52. [Google Scholar] [CrossRef]
  11. Brešar, M. On generalized biderivations and related maps. J. Algebra 1995, 172, 764–786. [Google Scholar] [CrossRef]
  12. Beidar, K.I.; Brešar, M. Extended Jacobson density theorem for rings with derivations and automorphisms. Isr. J. Math. 2001, 122, 317–346. [Google Scholar] [CrossRef]
  13. Beidar, K.I.; Brešar, M.; Chebotar, M.A. Jordan superhomomorphisms. Commun. Algebra 2003, 31, 633–644. [Google Scholar] [CrossRef]
  14. Beidar, K.I.; Chen, T.S.; Fong, Y.; Ke, W.F. On graded polynomial identities with an antiautomorphism. J. Algebra 2002, 256, 542–555. [Google Scholar] [CrossRef][Green Version]
  15. Kac, V.G. Lie superalgebras. Adv. Math. 1977, 26, 8–96. [Google Scholar] [CrossRef]
  16. Fan, G.; Dai, X. Super-biderivations of Lie superalgebras. Linear Multilinear Algebra 2017, 65, 58–66. [Google Scholar] [CrossRef]
  17. Cheng, X.; Sun, J. Super-biderivations and linear super-commuting maps on the super-BMS3 algebra. São Paulo J. Math. Sci. 2019, 13, 615–627. [Google Scholar] [CrossRef]
  18. Lee, P.H.; Wang, Y. Supercentralizing maps in prime superalgebras. Commun. Algebra 2009, 37, 840–854. [Google Scholar] [CrossRef]
  19. Wang, Y. On skew-supercommuting maps in superalgebras. Bull. Aust. Math. Soc. 2008, 78, 397–409. [Google Scholar] [CrossRef][Green Version]
  20. Wang, Y. Supercentralizing automorphisms on prime superalgebras. Taiwanese J. Math. 2009, 13, 1441–1449. [Google Scholar] [CrossRef]
  21. Ferreira, B.L.M.; Kaygorodov, I. Commuting maps on alternative rings. Ricerche Mat. 2022, 71, 67–78. [Google Scholar] [CrossRef]
  22. Ding, Q. Commuting Toeplitz operators and H-Toeplitz operators on Bergman space. AIMS Math. 2024, 9, 2530–2548. [Google Scholar] [CrossRef]
  23. Ghahramani, H.; Heidari Zadeh, L. Lie superderivations on unital algebras with idempotents. Commun. Algebra 2024, 52, 4853–4870. [Google Scholar] [CrossRef]
  24. Luo, Y.; Wang, Y. Supercommuting maps on unital algebras with idempotents. AIMS Math. 2024, 9, 24636–24653. [Google Scholar] [CrossRef]
  25. Ward, M. Arithmetic functions on rings. Ann. Math. 1937, 38, 725–732. [Google Scholar] [CrossRef]
  26. Stanley, R.P. Enumerative Combinatorics, Volume 1, 2nd ed.; Cambridge Studies in Advanced Mathematics; Cambridge University Press: Cambridge, UK, 2011. [Google Scholar]
  27. Baclawski, K. Automorphisms and derivations of incidence algebras. Proc. Am. Math. Soc. 1972, 36, 351–356. [Google Scholar] [CrossRef][Green Version]
  28. Spiegel, E. Automorphisms of incidence algebras. Commun. Algebra 1993, 21, 2973–2981. [Google Scholar] [CrossRef]
  29. Koppinen, M. Automorphisms and higher derivations of incidence algebras. J. Algebra 1995, 174, 698–723. [Google Scholar] [CrossRef][Green Version]
  30. Siddeeque, M.A.; Alam, M.S.; Bhat, R.A. (ζ1, ζ2)-derivations of incidence algebras. Asian-Eur. J. Math. 2025, 18, 2550079. [Google Scholar] [CrossRef]
  31. Siddeeque, M.A.; Bhat, R.A.; Alam, M.S. Characterization of mixed triple derivations on incidence algebras. Filomat 2025, 39, 437–450. [Google Scholar] [CrossRef]
  32. Zhang, X.; Khrypchenko, M. Lie derivations of incidence algebras. Linear Algebra Appl. 2017, 513, 69–83. [Google Scholar] [CrossRef][Green Version]
  33. Spiegel, E.; O’Donnell, C.J. Incidence Algebras; Routledge: London, UK, 2022. [Google Scholar][Green Version]
  34. Benkovič, D. Lie triple derivations of unital algebras with idempotents. Linear Multilinear Algebra 2015, 63, 141–165. [Google Scholar] [CrossRef]
Figure 1. Hasse diagram of the poset X = { 1 , 2 , 3 , 4 } with relations 1 > 2 , 2 > 3 , and 2 > 4 .
Figure 1. Hasse diagram of the poset X = { 1 , 2 , 3 , 4 } with relations 1 > 2 , 2 > 3 , and 2 > 4 .
Symmetry 17 01817 g001
Disclaimer/Publisher’s Note: The statements, opinions and data contained in all publications are solely those of the individual author(s) and contributor(s) and not of MDPI and/or the editor(s). MDPI and/or the editor(s) disclaim responsibility for any injury to people or property resulting from any ideas, methods, instructions or products referred to in the content.

Share and Cite

MDPI and ACS Style

Alharbi, N.T. Supercommuting Maps on Incidence Algebras with Superalgebra Structures. Symmetry 2025, 17, 1817. https://doi.org/10.3390/sym17111817

AMA Style

Alharbi NT. Supercommuting Maps on Incidence Algebras with Superalgebra Structures. Symmetry. 2025; 17(11):1817. https://doi.org/10.3390/sym17111817

Chicago/Turabian Style

Alharbi, Nof T. 2025. "Supercommuting Maps on Incidence Algebras with Superalgebra Structures" Symmetry 17, no. 11: 1817. https://doi.org/10.3390/sym17111817

APA Style

Alharbi, N. T. (2025). Supercommuting Maps on Incidence Algebras with Superalgebra Structures. Symmetry, 17(11), 1817. https://doi.org/10.3390/sym17111817

Note that from the first issue of 2016, this journal uses article numbers instead of page numbers. See further details here.

Article Metrics

Back to TopTop