Bearing Fault Diagnosis Using PSO-VMD and a Hybrid Transformer-CNN-BiGRU Model
Abstract
1. Introduction
2. Experiment
2.1. Dataset Introduction
2.2. Data Selection
2.3. Feature Extraction
- (1)
- Solve the constrained variational model to perform signal decomposition. The constrained variational model is formulated as follows:
- (2)
- Introduce the quadratic penalty factor α and the Lagrange multiplier to convert the constrained variational model into an unconstrained one:
- (3)
- Apply the Alternating Direction Method of Multipliers (ADMM) to iteratively update , , in order to obtain the saddle point of the Lagrangian expression. The expression is given as follows:
- (4)
- The VMD iteration terminates when the decomposed modes satisfy the convergence condition defined in Equation (8).
- (1)
- Set the initial parameters of the PSO algorithm, including the cognitive coefficient (local search ability), the social coefficien (global search ability), the maximum number of iterations Tmax, and the velocity-position relationship coefficient K, among others.
- (2)
- Use the local minimum entropy value under random conditions as the fitness value of the particle swarm optimization algorithm. Perform Variational Mode Decomposition (VMD) on the original signal, and compute and record the Ecmfe value of each Intrinsic Mode Function (IMF) along with the corresponding particle position.
- (3)
- Compare the local minimum entropy values at each particle position, select the smallest one, and update both the individual particle’s best-known (local) minimum entropy value and the global minimum entropy value of the entire population accordingly.
- (4)
- Update each particle’s velocity and position based on the individual best and global best solutions.
- (5)
- Return to Step 3 and repeat the process until the maximum number of iterations is reached. Then, output the optimal fitness value along with the corresponding parameters α and K.
- (6)
- Output: The optimal parameter combination corresponding to the global best position is determined.
2.4. Fault Diagnosis Model
2.4.1. Transformer
2.4.2. CNN
2.4.3. BiGRU
2.4.4. Model Construction
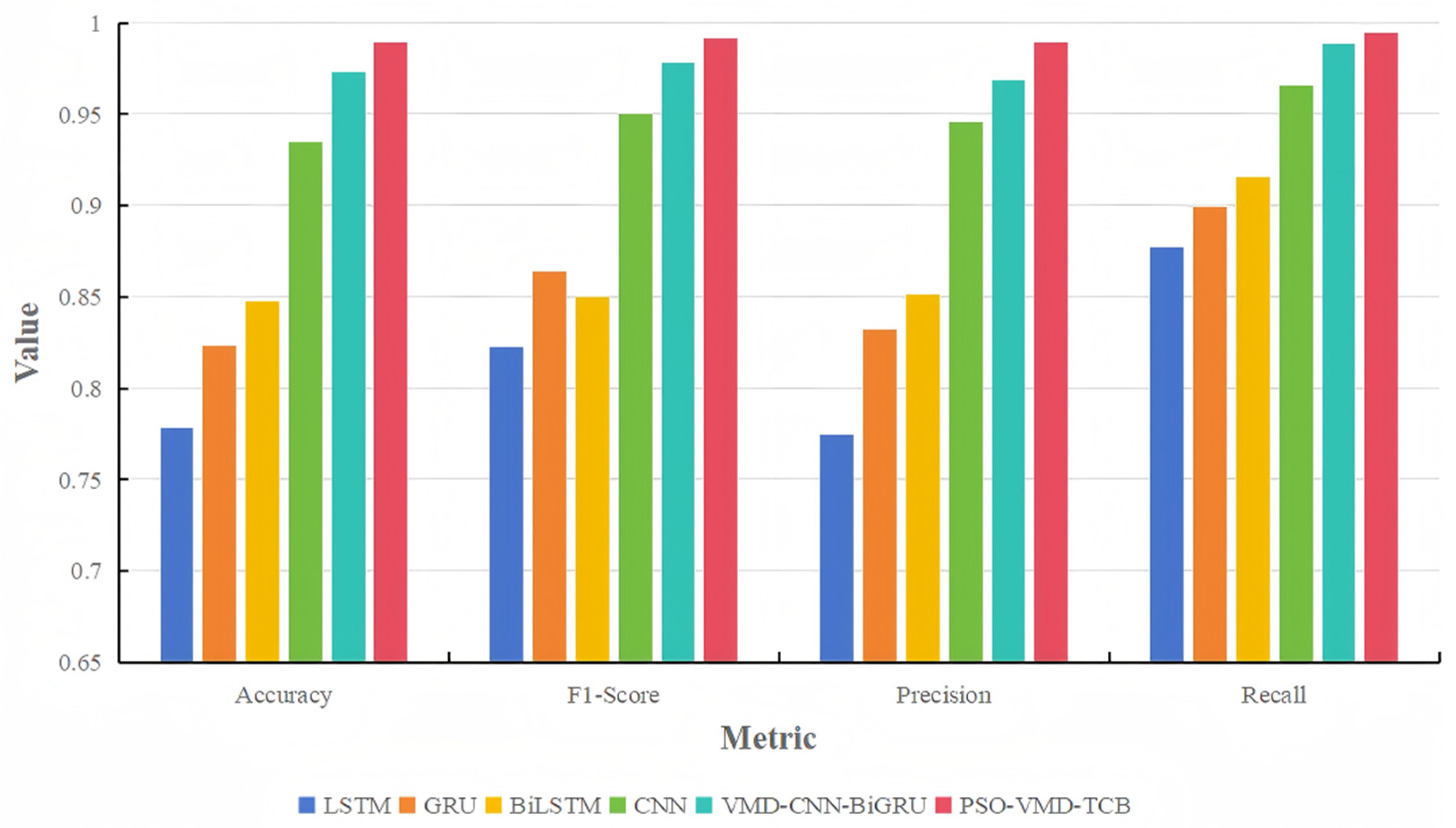
3. Result and Discussion
3.1. Impact of Feature Extraction on Results
PSO-VMD Parameter Optimization
3.2. TCB Model Structure Proposed in This Paper
4. Conclusions
Author Contributions
Funding
Data Availability Statement
Conflicts of Interest
References
- Gao, Q.W.; Liu, W.Y.; Tang, B.P.; Li, G.J. A novel wind turbine fault diagnosis method based on intergral extension load mean decomposition multiscale entropy and least squares support vector machine. Renew. Energy 2018, 116, 169–175. [Google Scholar] [CrossRef]
- Prabhakar, S.; Mohanty, A.R.; Sekhar, A.S. Application of discrete wavelet transform for detection of ball bearing race faults. Tribol. Int. 2002, 35, 793–800. [Google Scholar] [CrossRef]
- Hoang, D.T.; Kang, H.J. A survey on Deep Learning based bearing fault diagnosis. Neurocomputing 2019, 335, 327–335. [Google Scholar] [CrossRef]
- Zhao, Z.B.; Li, T.F.; Wu, J.Y.; Sun, C.; Wang, S.B.; Yan, R.Q.; Chen, X.F. Deep learning algorithms for rotating machinery intelligent diagnosis: An open source benchmark study. Isa Trans. 2020, 107, 224–255. [Google Scholar] [CrossRef]
- An, B.T.; Zhao, Z.B.; Wang, S.B.; Chen, S.W.; Chen, X.F. Sparsity-assisted bearing fault diagnosis using multiscale period group lasso. Isa Trans. 2020, 98, 338–348. [Google Scholar] [CrossRef]
- Dong, H.B.; Qi, K.Y.; Chen, X.F.; Zi, Y.Y.; He, Z.J.; Li, B. Sifting process of EMD and its application in rolling element bearing fault diagnosis. J. Mech. Sci. Technol. 2009, 23, 2000–2007. [Google Scholar] [CrossRef]
- Zou, P.; Hou, B.C.; Jiang, L.; Zhang, Z.J. Bearing Fault Diagnosis Method Based on EEMD and LSTM. Int. J. Comput. Commun. Control 2020, 15, 1–14. [Google Scholar] [CrossRef]
- Ding, J.K.; Huang, L.P.; Xiao, D.M.; Li, X.J. GMPSO-VMD Algorithm and Its Application to Rolling Bearing Fault Feature Extraction. Sensors 2020, 20, 1946. [Google Scholar] [CrossRef]
- Song, X.M.; Wei, W.H.; Zhou, J.B.; Ji, G.J.; Hussain, G.; Xiao, M.H.; Geng, G.S. Bayesian-Optimized Hybrid Kernel SVM for Rolling Bearing Fault Diagnosis. Sensors 2023, 23, 5137. [Google Scholar] [CrossRef]
- Zhou, J.B.; Xiao, M.H.; Niu, Y.; Ji, G.J. Rolling Bearing Fault Diagnosis Based on WGWOA-VMD-SVM. Sensors 2022, 22, 6281. [Google Scholar] [CrossRef]
- Wang, B.; Qiu, W.T.; Hu, X.; Wang, W. A rolling bearing fault diagnosis technique based on fined-grained multi-scale symbolic entropy and whale optimization algorithm-MSVM. Nonlinear Dyn. 2024, 112, 4435–4447. [Google Scholar] [CrossRef]
- Shao, X.R.; Kim, C.S. Unsupervised Domain Adaptive 1D-CNN for Fault Diagnosis of Bearing. Sensors 2022, 22, 4156. [Google Scholar] [CrossRef] [PubMed]
- Chen, X.H.; Yang, R.; Xue, Y.H.; Huang, M.J.; Ferrero, R.; Wang, Z.D. Deep Transfer Learning for Bearing Fault Diagnosis: A Systematic Review Since 2016. IEEE Trans. Instrum. Meas. 2023, 72, 3508221. [Google Scholar] [CrossRef]
- Liu, X.; Wu, R.Q.; Wang, R.G.; Zhou, F.; Chen, Z.F.; Guo, N.H. Bearing fault diagnosis based on particle swarm optimization fusion convolutional neural network. Front. Neurorobotics 2022, 16, 1044965. [Google Scholar] [CrossRef]
- Yan, X.; Jin, X.P.; Jiang, D.; Xiang, L. Remaining useful life prediction of rolling bearings based on CNN-GRU-MSA with multi-channel feature fusion. Nondestruct. Test. Eval. 2024, 1–26. [Google Scholar] [CrossRef]
- Xu, Z.W.; Li, Y.F.; Huang, H.Z.; Deng, Z.M.; Huang, Z.X. A novel method based on CNN-BiGRU and AM model for bearing fault diagnosis. J. Mech. Sci. Technol. 2024, 38, 3361–3369. [Google Scholar] [CrossRef]
- An, Y.Y.; Zhang, K.; Liu, Q.; Chai, Y.; Huang, X.H. Rolling Bearing Fault Diagnosis Method Base on Periodic Sparse Attention and LSTM. IEEE Sens. J. 2022, 22, 12044–12053. [Google Scholar] [CrossRef]
- Yang, Z.H.; Cen, J.; Liu, X.; Xiong, J.N.; Chen, H.H. Research on bearing fault diagnosis method based on transformer neural network. Meas. Sci. Technol. 2022, 33, 085111. [Google Scholar] [CrossRef]
- Zhou, A.Y.; Farimani, A.B. FaultFormer: Pretraining Transformers for Adaptable Bearing Fault Classification. IEEE Access 2024, 12, 70719–70728. [Google Scholar] [CrossRef]
- Dragomiretskiy, K.; Zosso, D. Variational Mode Decomposition. IEEE Trans. Signal Process. 2014, 62, 531–544. [Google Scholar] [CrossRef]
- Lecun, Y.; Bottou, L.; Bengio, Y.; Haffner, P. Gradient-based learning applied to document recognition. Proc. IEEE 1998, 86, 2278–2324. [Google Scholar] [CrossRef]
- Liang, B.; Feng, W.W. Bearing Fault Diagnosis Based on ICEEMDAN Deep Learning Network. Processes 2023, 11, 2440. [Google Scholar] [CrossRef]
- Geng, Z.; Yuan, K.; Ma, B.; Han, Y. Rolling Bearing Fault Diagnosis based on ICEEMDAN-WTATD-DaSqueezeNet. In Proceedings of the 2023 IEEE 12th Data Driven Control and Learning Systems Conference (DDCLS), Xiangtan, China, 12–14 May 2023; pp. 1510–1515. [Google Scholar]
- Bai, G.L.; Sun, W.; Cao, C.; Wang, D.F.; Sun, Q.C.; Sun, L. GAN-Based Bearing Fault Diagnosis Method for Short and Imbalanced Vibration Signal. IEEE Sens. J. 2024, 24, 1894–1904. [Google Scholar] [CrossRef]
- Wang, Y.; Li, D.X.; Li, L.; Sun, R.D.; Wang, S.Q. A novel deep learning framework for rolling bearing fault diagnosis enhancement using VAE-augmented CNN model. Heliyon 2024, 10, e35407. [Google Scholar] [CrossRef] [PubMed]





















| Serial Number | Fault Location | Damage Size (Inches) | Speed (r/min) | Load (N) |
|---|---|---|---|---|
| 1 | Normal | 0 | 1797 | 0 |
| 2 | Outer | 0.007 | 1797 | 0 |
| 3 | Outer | 0.014 | 1797 | 0 |
| 4 | Outer | 0.021 | 1797 | 0 |
| 5 | Inner | 0.007 | 1797 | 0 |
| 6 | Inner | 0.014 | 1797 | 0 |
| 7 | Inner | 0.021 | 1797 | 0 |
| 8 | Ball | 0.007 | 1797 | 0 |
| 9 | Ball | 0.014 | 1797 | 0 |
| 10 | Ball | 0.021 | 1797 | 0 |
| Parameter Name | Parameter Settings |
|---|---|
| Convolutional Layer | Number of convolution kernels: 32 Convolution kernel size: 3 |
| BiGRU Layer | The number of hidden units is 32 |
| Fully connected layer | Number of neurons: 10 |
| PSO Parameter Optimization Classification | Decomposition Number K | Penalty Factor α |
|---|---|---|
| De_normal | 6 | 1000 |
| De_7_inner | 5 | 1168 |
| De_7_ball | 6 | 1254 |
| De_7_outer | 6 | 1168 |
| De_14_inner | 4 | 1345 |
| De_14_ball | 4 | 1548 |
| De_14_outer | 6 | 1257 |
| De_21_inner | 4 | 1766 |
| De_21_ball | 4 | 1248 |
| De_21_outer | 4 | 1840 |
| Method | Accuracy (%) |
|---|---|
| CNN | 93.4 |
| CNN-Transformer | 95.3 |
| CNN-BiGRU | 95.2 |
| CNN-Transformer-BiGRU | 97.1 |
| Swarm Size | Accuracy (%) | Precision (%) | Recall (%) | F1-Score (%) |
|---|---|---|---|---|
| 10 | 98.3 | 98.0 | 98.9 | 98.4 |
| 20 | 98.6 | 98.4 | 99.0 | 98.7 |
| 30 | 98.8 | 98.6 | 99.2 | 98.9 |
| 40 | 98.8 | 98.5 | 99.1 | 98.8 |
| 50 | 98.7 | 98.4 | 99.0 | 98.7 |
| Iterations | Accuracy (%) | Precision (%) | Recall (%) | F1-Score (%) |
|---|---|---|---|---|
| 10 | 98.4 | 98.1 | 98.9 | 98.5 |
| 30 | 98.6 | 98.3 | 99.0 | 98.7 |
| 50 | 98.8 | 98.6 | 99.2 | 98.9 |
| 70 | 98.8 | 98.5 | 99.2 | 98.8 |
| 100 | 98.7 | 98.5 | 99.1 | 98.7 |
| Model | Best Accuracy | Time |
|---|---|---|
| CNN | 93.4% | 75.3 s |
| Transformer | 84.8% | 83.1 s |
| BiGRU | 96.3% | 101.7 s |
| TCB | 97.6% | 29.2 s |
| Run | Accuracy (%) | Precision (%) | Recall (%) | F1-Score (%) |
|---|---|---|---|---|
| 1 | 98.6 | 98.4 | 99.2 | 98.8 |
| 2 | 98.9 | 98.8 | 99.3 | 99.0 |
| 3 | 98.7 | 98.6 | 99.1 | 98.9 |
| 4 | 98.8 | 98.7 | 99.4 | 99.0 |
| 5 | 98.8 | 98.5 | 99.2 | 98.9 |
| References | Years | Method | Precision (%) | Recall (%) | F1-Score (%) | Accuracy (%) | Time (s) | Epochs |
|---|---|---|---|---|---|---|---|---|
| [22] | 2023 | ICEEMDAN | -- | -- | -- | 95.2 | -- | 25 |
| [23] | 2023 | ICEEMDAN-WTATD- DaSqueezeNet | 96.3 | 96.4 | 96.2 | 96.1 | 33.1 | --- |
| [24] | 2023 | IRP-WGAN | 95.2 | 95.0 | 95.1 | 97.2 | -- | 33 |
| [25] | 2024 | VAE-augmented CNN | -- | -- | -- | 96.5 | --- | -- |
| Proposed model | - | PSO-VMD-TCB | 98.8 | 99.4 | 99.1 | 98.9 | 29.2 | 18 |
Disclaimer/Publisher’s Note: The statements, opinions and data contained in all publications are solely those of the individual author(s) and contributor(s) and not of MDPI and/or the editor(s). MDPI and/or the editor(s) disclaim responsibility for any injury to people or property resulting from any ideas, methods, instructions or products referred to in the content. |
© 2025 by the authors. Licensee MDPI, Basel, Switzerland. This article is an open access article distributed under the terms and conditions of the Creative Commons Attribution (CC BY) license (https://creativecommons.org/licenses/by/4.0/).
Share and Cite
Dai, H.; Yang, D.; Zhang, L.; Liu, G. Bearing Fault Diagnosis Using PSO-VMD and a Hybrid Transformer-CNN-BiGRU Model. Symmetry 2025, 17, 1780. https://doi.org/10.3390/sym17111780
Dai H, Yang D, Zhang L, Liu G. Bearing Fault Diagnosis Using PSO-VMD and a Hybrid Transformer-CNN-BiGRU Model. Symmetry. 2025; 17(11):1780. https://doi.org/10.3390/sym17111780
Chicago/Turabian StyleDai, Hualin, Daoxuan Yang, Liying Zhang, and Guorui Liu. 2025. "Bearing Fault Diagnosis Using PSO-VMD and a Hybrid Transformer-CNN-BiGRU Model" Symmetry 17, no. 11: 1780. https://doi.org/10.3390/sym17111780
APA StyleDai, H., Yang, D., Zhang, L., & Liu, G. (2025). Bearing Fault Diagnosis Using PSO-VMD and a Hybrid Transformer-CNN-BiGRU Model. Symmetry, 17(11), 1780. https://doi.org/10.3390/sym17111780

